Newton’s Law of Cooling with Generalized Conformable Derivatives
Abstract
:1. Introduction
2. Preliminary
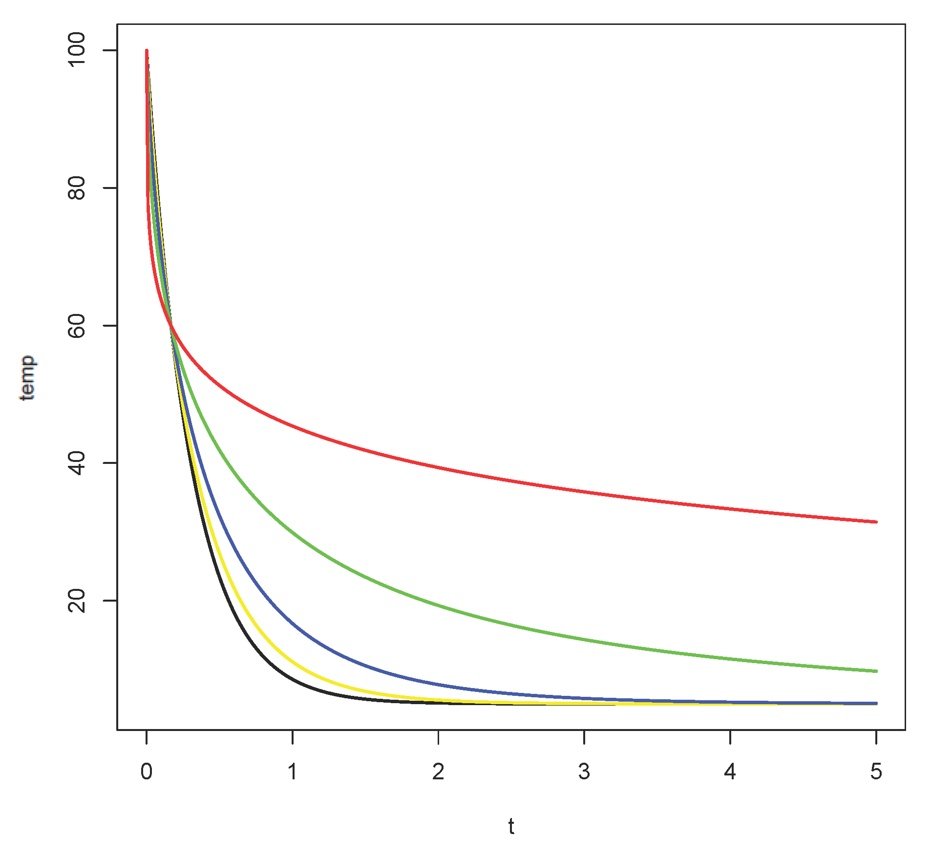
3. Results
4. Materials and Methods
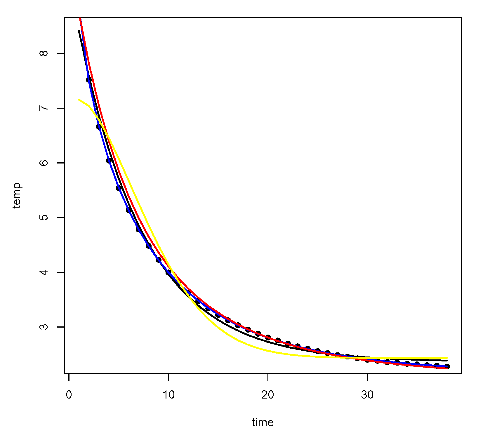
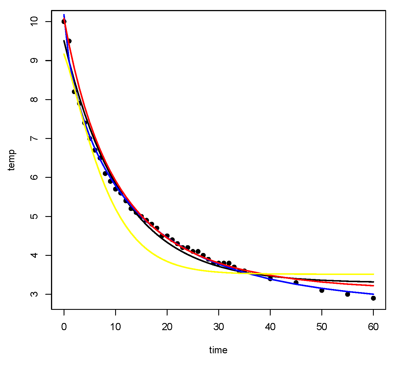
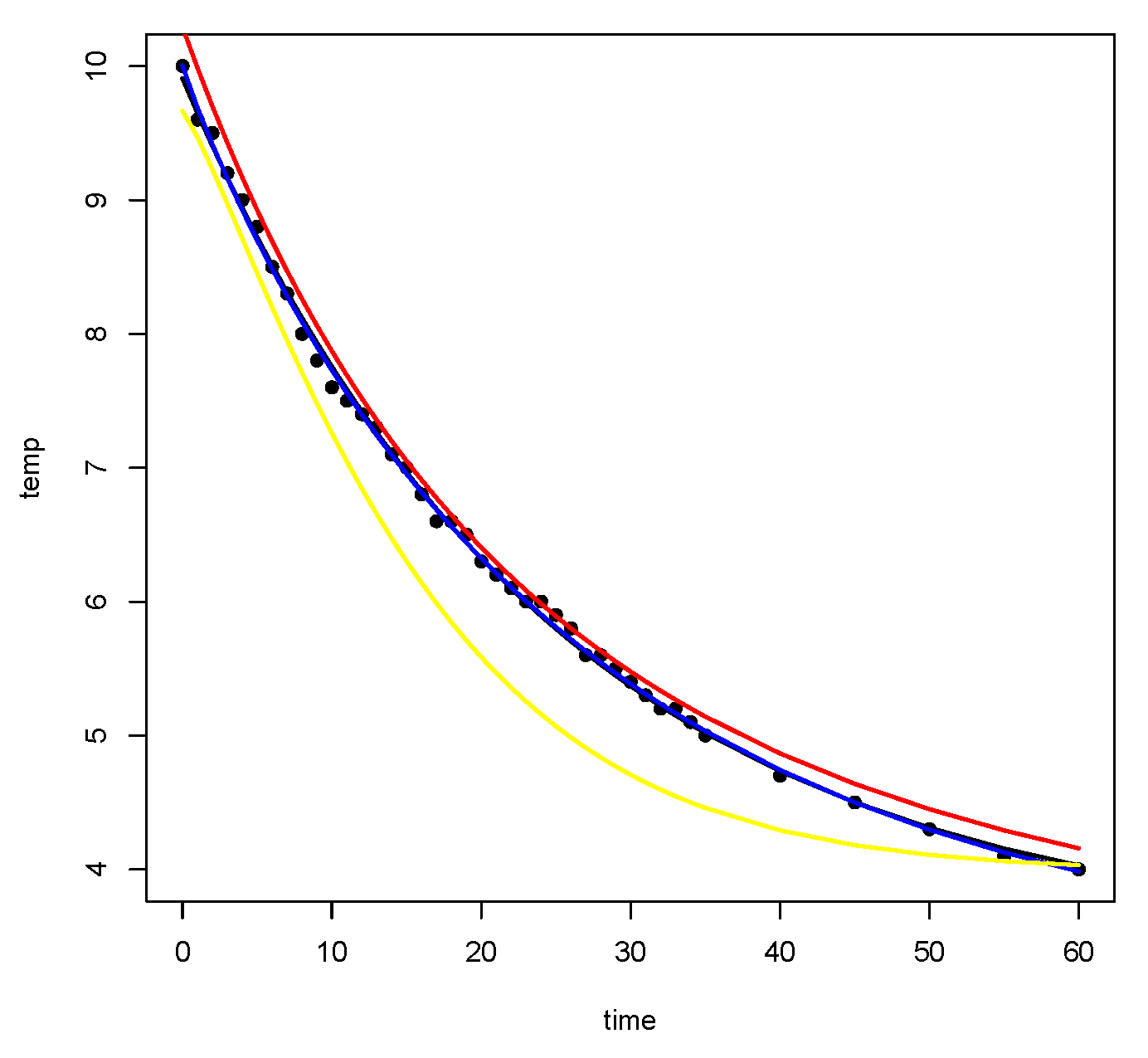
| Derivative | |||||
| Ordinary | − | 2.3619 | 8.4119 | 2.5933 | 0.1191 |
| 0.3703 | 1.9094 | 2.0215 | 13.0428 | 0.0961 | |
| Khalil et al. | 0.7923 | 2.1510 | 8.8381 | 1.9983 | 0.02607 |
| non-Conformable | 0.6666 | 2.3872 | 7.1298 | 10.8981 | 0.3973 |
| Derivative | |||||
| Ordinary | 3.2904 | 9.5120 | 0.0891 | 0.2127 | |
| 1.2440 | 3.0916 | 0.0711 | 0.9477 | 0.1557 | |
| Khalil et al. | 2.6813 | 10.1773 | 0.0516 | 0.7107 | 0.1127 |
| non-Conformable | 1.2440 | 3.0916 | 0.0711 | 0.9477 | 0.1557 |
| Derivative | |||||
| Ordinary | 3.4686 | 9.9086 | 0.0406 | 0.0703 | |
| 2.9407 | 3.1779 | 0.0407 | 0.9876 | 0.0791 | |
| Khalil et al. | 3.2229 | 10.0060 | 0.0357 | 0.9354 | 0.0640 |
| non-Conformable | 2.940 | 3.1779 | 0.04079 | 0.9876 | 0.0791 |
5. Conclusions
- (1)
- In any model, the conformable derivatives provide the best fit? We believe that each model must be analysed separately, for two fundamental questions: first, because it is clear that if we obtain the ordinary derivative, then there will always be a “critical” value of from which this model will fit as well as ordinary model. For asymptotic properties (when ) the non-conformable model used behaves like the ordinary model, hence values of t large enough, this model better represents the behaviour of the model (in this regard you can consult [13]).
- (2)
- The distortion factor used, see (6), is the same in all models, which leads us to the conclusion that said correction factor must depend on the kernel used and not be unique, that is, we must use a factor of the type . This would improve the fit of the remaining models. The application of this type of generalized equations of Newton’s law of cooling can be applied in the study of the thermal dynamics of systems with complex spatial profiles (see [25]). Estimating the time of death is a fundamental problem in forensic medicine, and to calculate it, Newton’s cooling model and its corresponding generalization, the Marshall and Hoare model, have been applied (cf. [17]). The fractional and generalized generalization of the Marshall and Hoare model will be analysed in detail in a future work.
Author Contributions
Funding
Institutional Review Board Statement
Informed Consent Statement
Data Availability Statement
Acknowledgments
Conflicts of Interest
References
- Podlubny, I. Fractional Differential Equations; Academic Press: New York, NY, USA, 1999. [Google Scholar]
- Uchaikin, V. Fractional Derivatives for Physcists and Engineers; Springer: Berlin/Heidelberg, Germany, 2013. [Google Scholar]
- de Oliveira, E.C.; Tenreiro, J.A. A Review of Definitions for Fractional Derivatives and Integral. Math. Probl. Eng. 2014, 1–6. [Google Scholar] [CrossRef] [Green Version]
- Caputo, M.; Fabrizio, M. A new definition of fractional derivative without singular kernel. Progr. Fract. Differ. Appl. 2015, 1, 73–85. [Google Scholar]
- Khalil, R.; Horani, M.; Yousef, A.; Sababheh, M.A. A new definition of fractional derivative. Comp. Appl. Math. 2014, 65, 264. [Google Scholar] [CrossRef]
- Abdeljawad, T. On conformable fractional calculus. J. Comput. Appl. Math. 2015, 279, 9402042. [Google Scholar]
- Guzmán, P.M.; Langton, G.; Lugo Motta, L.M.; Medina, J.; Napoles, J.E. A new definition of a fractional derivative of local type. J. Math. Anal. 2018, 9, 88–96. [Google Scholar]
- Nápoles, J.E.; Guzmán, P.M.; Lugo, L.M.; Kashuri, A. The Local Non-Conformable Derivative and Mittage-Leffler Function. 2019; Sumitted. [Google Scholar]
- Almeida, R.; Bastos, N.R.O.; Teresa, M.; Monteiro, T. Modeling some real phenomena by fractional differential equations. Math. Methods Appl. Sci. 2015, 39, 4846–4855. [Google Scholar] [CrossRef] [Green Version]
- Baleanu, D.; Guven, Z.; Tenreiro Machado, J.A. New Trends in Nanotechnology and Fractional Calculus Applications; Springer: Berlin/Heidelberg, Germany, 2010. [Google Scholar]
- Carreño, C.A.; Rosales, J.J.; Merchan, L.R.; Lozano, J.M.; Godínez, F.A. Comparative analysis to determine the accuracy of fractional derivatives in modeling supercapacitors. Int. J. Circuit Theory Appl. 2019, 47, 1603. [Google Scholar] [CrossRef]
- Elwakil, A.S.; Allagui, A.; Freeborn, T.J.; Maundy, B.J. Further experimental evidence of the fractional-order energy equation in supercapacitors. AEU-Int. J. Electron. Commun. 2017, 78, 209–212. [Google Scholar] [CrossRef]
- Fleitas, A.; Méndez, J.A.; Nápoles, J.E.; Sigarreta, J.M. On fractional liénard-type systems. Rev. Mex. Física 2019, 65, 618–625. [Google Scholar] [CrossRef] [Green Version]
- Fouda, M.E.; Elwakil, A.S.; Radwan, A.G.; Allagui, A. Power and energy analysis of fractional-order electrical energy storage devices. Energy 2016, 111, 785–792. [Google Scholar] [CrossRef]
- Machado, J.A.T.; Silva, M.F.; Barbosa, R.S.; Jesus, I.S.; Reis, C.M.; Marcos, M.G.; Galhano, A.F. Some applications of fractional calculus in engineering. Math. Probl. Eng. 2010. [Google Scholar] [CrossRef]
- Zhao, D.; Luo, M. General conformable fractional derivative and its physical interpretation. Calcolo 2017, 54, 903–917. [Google Scholar] [CrossRef]
- Mondol, A.; Gupta, R.; Das, S.; Dutta, T. An insight into Newton’s cooling law using fractional calculu. J. Appl. Phys. 2018, 123, 064901. [Google Scholar] [CrossRef]
- Westerlund, S.; Ekstam, L. Capacitor theory. IEEE Trans. Dielectr. Electr. Ins. 1994, 1, 826–839. [Google Scholar] [CrossRef]
- Ortega, A.; Rosales, J.J. Newton’s law of cooling with fractional conformable derivative. Rev. Mex. Física 2018, 64, 172–175. [Google Scholar] [CrossRef] [Green Version]
- Rosales, J.J.; Andrade, J.A.; Shulika, A. Conformable derivative applied to experimental Newton’s law of cooling. Rev. Mex. Física 2020, 66, 224–227. [Google Scholar] [CrossRef]
- Rosales, J.J.; Gómez, J.F.; Guía, M.; Tkach, V.I. Fractional electromagnetic waves. In Proceedings of the International Conference on Laser and Fiber-Optical Networks Modelling, Kharkov, Ukraine, 5–9 September 2011. [Google Scholar]
- Metropolis, N.; Rosenbluth, A.W.; Rosenbluth, M.N.; Teller, A.H.; Teller, E. Equation of state calculations by fast computing machines. J. Chem. Phys. 1953, 21, 1087–1092. [Google Scholar] [CrossRef] [Green Version]
- R Core Team. A Language and Environment for Statistical Computing. 2013. Available online: https://www.scirp.org/(S(351jmbntvnsjt1aadkposzje))/reference/ReferencesPapers.aspx?ReferenceID=1787696 (accessed on 19 May 2021).
- Plummer, M. JAGS: A program for analysis of Bayesian graphical models using Gibbs sampling. In Proceedings of the 3rd International Workshop on Distributed Statistical Computing, Vienna, Austria, 20–22 March 2003; Volume 124, pp. 1–10. [Google Scholar]
- Balvís, E.; Paredes, A.; Area, I.; Bendaña, R.; Carpentier, A.V.; Michinel, H.; Zaragoza, S. A Fractional Derivative Modeling of Heating and Cooling of LED Luminaires. Mathematics 2020, 8, 362. [Google Scholar] [CrossRef] [Green Version]











Publisher’s Note: MDPI stays neutral with regard to jurisdictional claims in published maps and institutional affiliations. |
© 2021 by the authors. Licensee MDPI, Basel, Switzerland. This article is an open access article distributed under the terms and conditions of the Creative Commons Attribution (CC BY) license (https://creativecommons.org/licenses/by/4.0/).
Share and Cite
Vivas-Cortez, M.; Fleitas, A.; Guzmán, P.M.; Nápoles, J.E.; Rosales, J.J. Newton’s Law of Cooling with Generalized Conformable Derivatives. Symmetry 2021, 13, 1093. https://doi.org/10.3390/sym13061093
Vivas-Cortez M, Fleitas A, Guzmán PM, Nápoles JE, Rosales JJ. Newton’s Law of Cooling with Generalized Conformable Derivatives. Symmetry. 2021; 13(6):1093. https://doi.org/10.3390/sym13061093
Chicago/Turabian StyleVivas-Cortez, Miguel, Alberto Fleitas, Paulo M. Guzmán, Juan E. Nápoles, and Juan J. Rosales. 2021. "Newton’s Law of Cooling with Generalized Conformable Derivatives" Symmetry 13, no. 6: 1093. https://doi.org/10.3390/sym13061093
APA StyleVivas-Cortez, M., Fleitas, A., Guzmán, P. M., Nápoles, J. E., & Rosales, J. J. (2021). Newton’s Law of Cooling with Generalized Conformable Derivatives. Symmetry, 13(6), 1093. https://doi.org/10.3390/sym13061093

