An Overview of the Impacts of Land Use Land Cover Changes (1980–2014) on Urban Water Security of Kolkata
Abstract
1. Introduction
2. Study Area
3. Data and Methods
3.1. Data
- (1)
- Landsat Multispectral Scanner (MSS) image (path 148, rows 44 and 45) DoA: 16 January 1980;
- (2)
- Landsat Thematic Mapper (TM) image (path 138, row 44) DoA: 14 November 1990;
- (3)
- Landsat Enhanced Thematic Mapper Plus (ETM+) image (path 138, row 44) DoA: 17 November 2000;
- (4)
- Indian Remote Sensing (IRS) Resourcesat-1 Linear Imaging Self-Scanning Sensor (LISS) III image (path 108, row 56) DoA: 3 February 2010;
- (5)
- Indian Remote Sensing (IRS) Resourcesat-1 Linear Imaging Self-Scanning Sensor (LISS) III image (path 108, row 56) DoA: 11 April 2014.
3.2. Methods
4. Land Use-Land Cover Change in Kolkata Municipal Corporation Area Since 1980
4.1. Overviewing Analysis for the Kolkata Municipal Corporation Area (KMC)
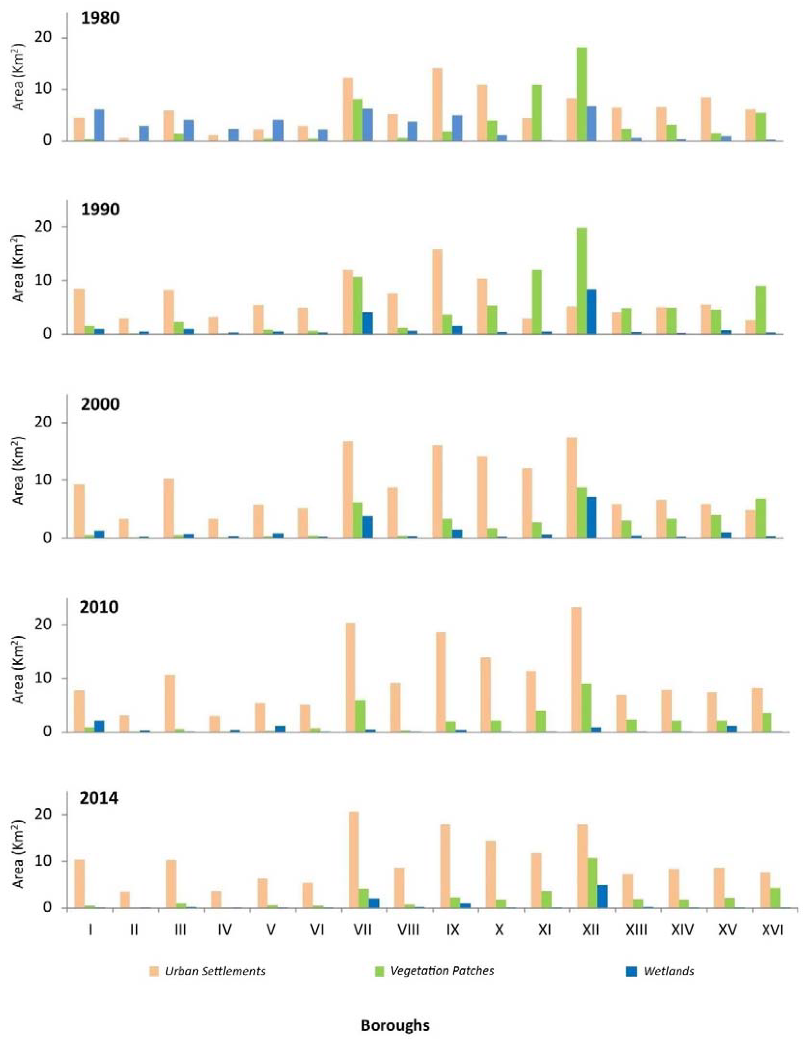
4.2. Borough-Wise Analysis for the Kolkata Municipal Corporation Area (KMC)
5. Water Security in Kolkata Municipal Corporation Area
5.1. Water Demand and Supply
5.2. Water Accessibility
5.3. Water Related Disasters
6. Conclusions
Author Contributions
Funding
Acknowledgments
Conflicts of Interest
Appendix A
| Satellite-Sensor | Bands | Spectral Resolution (µm) | Spatial Resolution (m) |
|---|---|---|---|
| Landsat-MSS | 1 | 0.5–0.6 | 60 |
| 2 | 0.6–0.7 | ||
| 3 | 0.7–0.8 | ||
| 4 | 0.8–1.1 | ||
| Landsat-TM | 1 | 0.45–0.52 | 30 |
| 2 | 0.52–0.60 | ||
| 3 | 0.63–0.69 | ||
| 4 | 0.76–0.90 | ||
| 5 | 1.55–1.75 | ||
| 7 | 2.08–2.35 | ||
| Landsat-ETM+ | 1 | 0.45–0.52 | 30 |
| 2 | 0.52–0.60 | ||
| 3 | 0.63–0.69 | ||
| 4 | 0.76–0.90 | ||
| 5 | 1.55–1.75 | ||
| 7 | 2.08–2.35 | ||
| Resourcesat-1 LISS-III | 2 | 0.52–0.59 | 23.5 |
| 3 | 0.62–0.68 | ||
| 4 | 0.77–0.86 | ||
| 5 | 1.55–1.70 |
References
- Mohan, M.; Pathan, S.; Narendrareddy, K.; Kandya, A.; Pandey, S. Dynamics of Urbanization and Its Impact on Land-Use/Land-Cover: A Case Study of Megacity Delhi. J. Environ. Prot. 2011, 2, 1274–1283. [Google Scholar] [CrossRef]
- Maiti, S.; Agrawal, P.K. Environmental Degradation in the Context of Growing Urbanization: A Focus on the Metropolitan Cities of India. J. Hum. Ecol. 2005, 17, 277–287. [Google Scholar] [CrossRef]
- Mukhopadhaya, S. Land use and land cover change modelling using CA-Markov Case study: Deforestation Analysis of Doon Valley. J. Agroecol. Nat. Resour. Manag. 2016, 3, 1–5. Available online: http://www.krishisanskriti.org/vol_image/09Jun201607065902%20%20%20%20%20%20%20%20%20%20Sayan%20Mukhopadhaya%202%20%20%20%20%20%20%201-5.pdf (accessed on 3 July 2018).
- Reveshty, M.A. The assessment and predicting of land use changes to urban area using multi-temporal satellite imagery and GIS: A case study on Zanjan, Iran (1984–2011). J. Geogr. Inform. Syst. 2011, 3, 298–305. [Google Scholar]
- Ramachandra, T.V.; Bharath, A.H.; Sreekantha, S. Spatial Metrics based Landscape Structure and Dynamics Assessment for an emerging Indian Megalopolis. Int. J. Adv. Res. Artif. Intell. 2012, 1, 48–57. [Google Scholar]
- Sudhira, H.S.; Ramachandra, T.V.; Jagadish, K.S. Urban sprawl: Metrics, dynamics and modelling using GIS. Int. J. Appl. Earth Observ. Geoinform. 2004, 5, 29–39. [Google Scholar] [CrossRef]
- Romero-Lankao, P.; Gnatz, D.M. Conceptualizing Urban Water Security in an Urbanizing World. Curr. Opin. Environ. Sustain. 2016, 21, 45–51. [Google Scholar] [CrossRef]
- Narain, V. Peri-urbanization, Land Use Change and Water security: A New Trigger for Water Conflicts? IIM Kozhikode Soc. Manag. Rev. 2016, 5, 5–7. [Google Scholar] [CrossRef]
- United Nations. Transforming Our World: The 2030 Agenda for Sustainable Development; United Nations: Paris, France, 2015. [Google Scholar]
- World Health Organization (WHO). Water Supply, Sanitation and Hygiene Development; World Health Organization: Geneva, Switzerland, 2013; Available online: http://www.who.int/water_sanitation_health/hygiene/en/ (accessed on 21 November 2016).
- Watkins, K. Beyond Scarcity: Power, Poverty, and the Global Water Crisis; United Nations Human Development Report: New York, NY, USA, 2006; Volume 1, p. 2. [Google Scholar]
- Anon. 71-City Water-Excreta Survey, 2005–06; Centre for Science and Environment: New Delhi, India, 2011. [Google Scholar]
- Basu, J. Kolkata, a Water-Rich City Turning Water-Poor, The Third Pole. 2016. Available online: https://www.thethirdpole.net/2015/11/11/kolkata-a-water-rich-city-turning-water-poor (accessed on 24 May 2016).
- Pal, M.; Ghosh, S.; Mukhopadhyay, M.; Ghosh, M. Methyl mercury in fish—A case study on various samples collected from Ganges River at West Bengal. Environ. Monit. Assess. 2012, 184, 3407–3414. [Google Scholar] [CrossRef] [PubMed]
- United Nations Environment Programme-DHI and UNEP. Transboundary River Basins: Status and Trends; United Nations Environment Programme (UNEP): Nairobi, Kenya, 2016. [Google Scholar]
- Sengupta, C.; Sukumaran, D.; Barui, D.; Saha, R.; Chattopadhyay, A.; Naskar, A.; Dave, S. Water Health Status in Lower Reaches of River Ganga, India. Appl. Ecol. Environ. Sci. 2014, 2, 20–24. [Google Scholar]
- Singh, R.B.; Haque, M.S.; Grover, A. Drinking water, sanitation and health in Kolkata metropolitan city: Contribution towards urban sustainability. Geogr. Environ. Sustain. 2015, 8, 64–81. [Google Scholar] [CrossRef]
- Maplecroft. Maplecroft’s 5th Annual Climate Change and Environmental Risk Atlas; Verisk Maplecroft: Bath, UK, 2016; Available online: https://maplecroft.com/about/news/ccvi_2013.html (accessed on 13 October 2016).
- Barata, M.; Ligeti, E.; De Simone, G.; Dickinson, T.; Jack, D.; Penney, J.; Rahman, M.; Zimmerman, R. Climate change and human health in cities. In Climate Change and Cities in First Assessment Report of the Urban Climate Change Research Network; Rosenzweig, C., Solecki, W.D., Hammer, S.A., Mehrotra, S., Eds.; Cambridge University Press: Cambridge, UK, 2011; pp. 179–213. [Google Scholar]
- Mishra, T. Groundwater Scenario in Major Cities of India; Central Ground Water Board, Ministry of Water Resources, Government of India: New Delhi, India, 2011.
- CSE. Kolkata Water Profile: City of Joy Weeps for Water; Centre for Science and Environment: New Delhi, India, 2015; Available online: http://www.rainwaterharvesting.org/asp/ d_feedback.htm (accessed on 13 October 2016).
- Diptendra, D.; Chattopadhyay, B.C. Characterization of soil over Kolkata municipal area. In Proceedings of the Indian Geotechnical Conference, Guntur, India, 17–19 December 2009; pp. 11–12. Available online: https://gndec.ac.in/~igs/ldh/conf/2009/articles/T01_03.pdf (accessed on 13 November 2017).
- Census of India. House Listing and Housing Census Data. 2011. Available online: http://www.censusindia.gov.in/2011census/hlo/HLO_Tables.html (accessed on 4 April 2018).
- Census of India. Rural-Urban Distribution of Population (Provisional Population Totals); Government of India: New Delhi, India, 2011.
- Wankhade, K.; Balakrishnan, K.; Vishnu, M.J. Urban Water and Sanitation: Sustaining Policy Momentum; Indian Institute for Human Settlements: Bangalore, India, 2014. [Google Scholar]
- World Wildlife Fund (WWF). Big Cities Big Water Big Challenges. Water in an Urbanizing World; World Wide Fund for Nature, WWF: Berlin, Germany, 2011; Available online: http://www.wwf.se/source.php/1390895/Big%20Cities_Big%20Water_Big%20Challenges_2011.pdf (accessed on 21 November 2016).
- Kolkata Municipal Corporation. Kolkata Urban Sector Investment Plan; Kolkata Municipal Corporation: Kolkata, India, 2012. [Google Scholar]
- ERDAS. ERDAS Field Guide; ERDAS LLC; Leica Geosystems Geospatial Imaging: Norcross, GA, USA, 1999. [Google Scholar]
- Chen, C. Frontiers of Remote Sensing Information Processing; World Scientific: Singapore, 2003; p. 614. [Google Scholar]
- Ismail, M.H.; Jusoff, K. Satellite data classification accuracy assessment based from reference dataset. Int. J. Comput. Inf. Sci. Eng. 2008, 2, 96–102. Available online: http://www.waset.org/ijcise/v2/v2-2-16.pdf (accessed on 3 July 2018).
- Bhatta, B. Remote Sensing and GIS; Oxford University Press: New Delhi, India, 2008. [Google Scholar]
- Bhatta, B. Analysis of urban growth pattern using remote sensing and GIS: A case study of Kolkata, India. Int. J. Remote Sens. 2009, 30, 4733–4746. [Google Scholar] [CrossRef]
- Bhatta, B. Spatio-temporal analysis to detect urban sprawl using geoinformatics: A case study of Kolkata. In Proceedings of the 7th All India Peoples’ Technology Congress, Kolkata, India, 6–7 February 2009; Forum of Scientists, Engineers & Technologists: Kolkata, India, 2009; pp. 434–442. [Google Scholar]
- Bhatta, B. Modelling of urban growth boundary using geoinformatics. Int. J. Digit. Earth 2009, 2, 359–381. [Google Scholar] [CrossRef]
- Mukhopadhaya, S. Fuzzy c-means classifier with alpha-cuts in application for similarity and dissimilarity measures: A literature survey. J. Basic Appl. Eng. Res. 2016, 3, 2350–2377. Available online: https://www.researchgate.net/profile/Sayan_Mukhopadhaya/publication/303880512_Fuzzy_c-Means_Classifier_with_Alpha-cuts_in_Application_for_Similarity_and_Dissimilarity_Measures_A_Literature_Survey/links/575a61e908ae414b8e46052e/Fuzzy-c-Means-Classifier-with-Alpha-cuts-in-Application-for-Similarity-and-Dissimilarity-Measures-A-Literature-Survey.pdf (accessed on 3 July 2018).
- Narain, V. Periurban Water Security in a Context of Urbanization and Climate Change: A Review of Concepts and Relationships; Peri Urban Water Security Discussion Paper Series; Paper No. 1; SaciWATERs: Hyderabad, India, 2010. [Google Scholar]
- Rudra, K. Water Resource and Its Quality in West Bengal; West Bengal Pollution Control Board: Kolkata, India, 2009. [Google Scholar]
- Falkenmark, M.; Widstrand, C. Population and Water Resources: A Delicate Balance; Population Reference Bureau: Washington, DC, USA, 1992. [Google Scholar]
- Ravell, J. Population Growth, Urbanisation and Water Security: A Case Study of Greater Brisbane; Water Supply & Urbanization: Brisbane, Australia, 2014; Available online: https://www.academia.edu/7132376/Population_growth_urbanisation_and_water_security_A_case_study_of_Greater_Brisbane (accessed on 1 April 2018).
- Bakker, K.; Morinville, C. The governance dimensions of water security: A review. Phil. Trans. R. Soc. A 2013, 371, 20130116. [Google Scholar] [CrossRef] [PubMed]
- Biggs, E.M.; Duncan, J.M.A.; Atkinson, P.M.; Dash, J. Plenty of water, not enough strategy: How inadequate accessibility, poor governance and a volatile government can tip the balance against ensuring water security: The case of Nepal. Environ. Sci. Policy 2013, 33, 388–394. [Google Scholar] [CrossRef]
- Cook, C.; Bakker, K. Water security: Debating an emerging paradigm. Glob. Environ. Chang. 2012, 22, 94–102. [Google Scholar]
- Piesse, M. Water Security in Urban India: Water Supply and Human Health. Future Directions International, 2015. Available online: http://futuredirections.org.au/wp-content/uploads/2015/09/Water_Security_in_Urban_India_Water_Supply_and_Human_Health.pdf (accessed on 1 April 2018).
- Blanca, F.M. Water Security in an Urbanized World: An Equity Perspective. 2016. Available online: https://depositonce.tu-berlin.de/bitstream/11303/6208/3/2016_Milan.pdf (accessed on 4 June 2018).
- Goff, M.; Crow, B. What is water equity? The unfortunate consequences of a global focus on ‘drinking water’. Water Int. 2014, 39, 159–171. [Google Scholar] [CrossRef]
- Jepson, W.; Budds, J.; Eichelberger, L.; Harris, L.; Norman, E.; O’Reilly, K.; Pearson, A.; Shah, S.; Shinn, J.; Staddon, C.; et al. Advancing human capabilities for water security: A relational approach. Water Secur. 2017, 1, 46–52. [Google Scholar] [CrossRef]
- Bar, I.; Stang, G. Water and Insecurity in the Lavant; European Union Institute for Security Studies (EUISS): Paris, France, 2016; Available online: http://www.jstor.org/stable/resrep06914 (accessed on 1 April 2018).
- Turral, H.; Burke, J.; Faurès, J.M. Climate Change, Water and Food Security; FAO: Rome, Italy, 2011. [Google Scholar]
- Kundu, N. Understanding Slums: Case Studies for the Global Report on Human Settlements; UN-Habitat; Earthscan: London, UK, 2003; pp. 195–228. Available online: http://www.ucl.ac.uk/dpu-projects/Global_Report/cities/kolkata.htm (accessed on 20 October 2016).
- Roy, J.; Chattopadhyay, S.; Mukherjee, S.; Kanjilal, M.; Samajpati, S.; Roy, S. An Economic Analysis of Demand for Water Quality: Case of Kolkata. Econ. Polit. Wkly. 2004, 39, 186–192. [Google Scholar]
- Yadav, V.; Bhagat, R.B. Spatial Dynamics of Population in Kolkata Urban Agglomeration. In Urban Development Challenges, Risks and Resilience in Asian Mega Cities; Springer: Tokyo, Japan, 2014; pp. 157–173. [Google Scholar]
- Banerjee, A. Migration in Slums of Kolkata: Examining Migrants’ Labour Market Outcomes. Working Paper for National Institute of Urban Affairs under SHRAMIC (Strengthen and Harmonize Research and Action on Migration in Indian Context) Portal. 2016. Available online: https://www.niua.org/sites/default/files/Working_paper_FINAL_VERSION.pdf (accessed on 10 May 2018).
- Bhatta, B. Causes and Consequences of Urban Growth and Sprawl. In Analysis of Urban Growth and Sprawl from Remote Sensing Data. Advances in Geographic Information Science; Springer: Berlin, Germany, 2010. [Google Scholar]
- Bennett, A.; Hindle, J. London Review of Books: An Anthology; Verso Books: London, UK, 1996; pp. 63–70. ISBN 1-85984-121-X. [Google Scholar]
- World Bank. World Development Report 2009: Reshaping Economic Geography; The World Bank: Washington, DC, USA, 2009; Available online: https://openknowledge.worldbank.org/handle/10986/5991 (accessed on 1 June 2017).
- Tacoli, C.; McGranahan, G.; Satterthwaite, D. Urbanisation, Rural–Urban Migration and Urban Poverty; International Institute for Environment and Development and IOM Working Paper; International Institute for Environment and Development: London, UK, 2015. [Google Scholar]
- Theobald, D.M. Quantifying urban and rural sprawl using the sprawl index. Presented at the Annual Conference of the Association of American Geographers, New York, NY, USA, 2 March 2001. [Google Scholar]
- D’Souza, R.; Nagendra, H. Changes in public commons as a consequence of urbanization: The Agara Lake in Bangalore, India. Environ. Manag. 2011, 47, 840–850. Available online: https://doi.org/10.1007/s00267-011-9658-8 (accessed on 12 May 2018).
- Bhandari, L.; Gupta, A. Inputs for Health. In India Health Report 2010; Mahal, A., Debroy, B., Bhandari, L., Eds.; R.K. Books: New Delhi, India, 2010. [Google Scholar]
- Asian Development Bank. Benchmarking and Data Book of Water Utilities in India; ADB: Mandaluyong, Philippines, 2007. [Google Scholar]
- Guha, S. 24-hour water supply need not be a pipe dream in urban India. The Times of India; Delhi, India, 2014. Available online: http://blogs.timesofindia.indiatimes.com/plain-speak/24-hour-water-supply-need-not-be-a-pipe-dream-in-urban-india/ (accessed on 4 November 2016).
- National Institute of Urban Affairs (NIUA). Urban Water Supply and Sanitation in Indian Cities; NIUA: New Delhi, India, 2015. [Google Scholar]
- Ghosh, G.K. Water of India (Quality and Quantity); A.P.H. Publishing Corporation: New Delhi, India, 2002. [Google Scholar]
- Central Pollution Control Board. Status of Water Quality in India-2011; Ministry of Environment and Forests, Government of India: New Delhi, India, 2013.
- World Bank. India Water Supply and Sanitation—Bridging the Gap between Infrastructure and Service; The World Bank: Washington, DC, USA, 2006; Available online: http://web.worldbank.org/archive/website01291 (accessed on 1 June 2017).
- World Bank. Urban Water Supply in India; The World Bank: Washington, DC, USA, 2011; Available online: http://www.worldbank.org/en/news/feature/2011/09/22/urban-water-supply-india (accessed on 1 June 2017).
- Mukherjee, J.; Ghosh, A. Water Justice City Profile: Kolkata, India; The Bartlett Development Planning Unit, University College London: London, UK, 2015. [Google Scholar]
- Chakraborti, D.; Das, B.; Rahman, M.M.; Chowdhury, U.K.; Biswas, B.; Goswami, A.; Nayak, B.; Pal, A.; Sengupta, M.K.; Ahamed, S. Status of groundwater arsenic contamination in the state of West Bengal, India: A 20-year study report. Mol. Nutr. Food Res. 2009, 53, 542–551. [Google Scholar] [CrossRef] [PubMed]
- Segane, R. Water Management in Mega-Cities in India: Mumbai, Delhi, Calcutta, and Chennai. Water for Urban Areas, Challenges and Perspectives; United Nations University Press: Tokyo, Japan, 2000; In Big Cities Big Water Big Challenges; Water in an Urbanised World, WWF Report 2011; WWF: Germany, Berlin. [Google Scholar]
- Sahu, P.; Sikdar, P.K. Groundwater potential zoning of a peri-urban wetland of south Bengal Basin, India. Environ. Monit. Asses. 2011, 174, 119–134. [Google Scholar] [CrossRef] [PubMed]
- Chatterjee, R.S.; Fruneau, B.; Rudnat, J.P.; Rpy, P.S.; Frison, P.L.; Lakhera, R.C.; Dadhwal, V.K.; Saha, R. Subsidence of Kolkata (Calcutta) City, India during the 1990s as observed from space by Differential Synthetic Aperture Radar Interferometry (D-InSAR) technique. Remote Sens. Environ. 2006, 102, 176–185. [Google Scholar] [CrossRef]
- Verburg, P.H.; van Eck, J.R.; de Hijs, T.C.; Dijst, M.J.; Schot, P. Determination of land use change patterns in The Netherlands. Environ. Plan. B Plan. Des. 2004, 31, 125–150. [Google Scholar] [CrossRef]
- Ray, S. KMC Not to Levy Water Tax. The Times of India. 2014. Available online: https://timesofindia.indiatimes.com/city/kolkata/KMC-not-to-levy-water-tax/articleshow/45626143.cms (accessed on 30 January 2018).
- McKenzie, D.; Ray, I. Urban Water Supply in India: Status, Reform Options and Possible Lessons. Water Policy 2009, 11, 442–460. [Google Scholar] [CrossRef]
- Majumdar, C.; Gupta, G. Willingness to pay and municipal water pricing in transition: A case study. J. Integr. Environ. Sci. 2009, 6, 247–260. [Google Scholar] [CrossRef]
- Beistline, H.A. Understanding the barriers of clean water access in urban slums of Kolkata, India. Christ. J. Glob. Health 2016, 3. [Google Scholar] [CrossRef]
- Chakrabarti, C. A Sourcebook on Environment of Kolkata; Kolkata Environment Improvement Project; Kolkata Municipal Corporation: Kolkata, India, 2013. [Google Scholar]
- Douglas, I. The Urban Environment; Edward Arnold (Publisher) Ltd.: London, UK, 1983. [Google Scholar]
- Sau, A. A study on water supply and sanitation at a slum in Kolkata. Int. J. Med. Sci. Public Health 2017, 6, 634–638. [Google Scholar] [CrossRef]
- SAFE-IWMI. A Report on Adi Ganga & Wetlands: Heal the Broken Link for a Flood Resilient Kolkata. In Proceedings of the Symposium to Brainstorm Solutions for Sustainable Conservation of Wetlands & Adi Ganga, Kolkata, India, 28 February 2017; Available online: http://safeinch.org/uploads/Report%20-Symposium%20on%20Adi%20Ganga%20&%20Wetlands%202017.pdf (accessed on 4 April 2018).
- Kiran, R.; Ramachandra, T.V. Status of Wetlands in Bangalore and its Conservation aspects. ENVIS J. Hum. Settl. 1999, 16, 2–10. [Google Scholar]
- Ali, M.; Khan, S.J.; Aslam, I.; Khan, Z. Simulation of the impacts of land-use change on surface runoff of Lai Nullah Basin in Islamabad, Pakistan. Landsc. Urban Plan. 2008, 102, 271–279. [Google Scholar] [CrossRef]
- Hagler, B. Environmental Baseline Study of Margala and Margala North Blocks; MOL Pakistan Oil and Gas Company BV: Islamabad, Pakistan, 2007. [Google Scholar]
- Mendoza, M.E.; Granados, E.L.; Geneletti, D.; Perez-Salicrup, D.R.; Salinas, V. Analysing land cover and land use change processes at watershed level: A multi temporal study in the Lake Cuitzeo Watershed, Mexico (1975–2003). Appl. Geogr. 2011, 31, 237–250. [Google Scholar] [CrossRef]
- Seth, B.L. Kolkata Reconnects with Its Riverfront. Down to Earth. 2007. Available online: http://www.downtoearth.org.in/news/kolkata-reconnects-with-its-riverfront-6666 (accessed on 4 April 2018).
- Asian Development Bank. Proposed Supplementary Loan India: Kolkata Environmental Improvement Project; ADB: Kolkata, India, 2006. [Google Scholar]
- Palit, A.; Batabyal, P.; Kanungo, S.; Sur, D. In-house contamination of potable water in urban slum of Kolkata, India: A possible transmission route of diarrhea. Water Sci. Technol. 2012, 66, 299–303. [Google Scholar] [CrossRef] [PubMed]
- Buyadi, S.N.A.; Wan Mohd, W.M.N.; Misni, A. Impact of land use changes on the surface temperature distribution of area surrounding the National Botanic Garden, Shah Alam. Proc. Soc. Behav. Sci. 2013, 101, 516–525. [Google Scholar]
- Haque, M.S.; Singh, R.B. Air Pollution and Human Health in Kolkata, India: A Case Study. Climate 2016, 5, 77. [Google Scholar] [CrossRef]










| Borough | Ward No. |
|---|---|
| I | 1, 2, 3, 4, 5, 6, 7, 8 & 9 |
| II | 10, 11, 12, 15, 16, 17, 18, 19 & 20 |
| III | 13, 14, 29, 30, 31, 32, 33, 34 & 35 |
| IV | 21, 22, 23, 24, 25, 26, 27, 28, 38 & 39 |
| V | 36, 37, 40, 41, 42, 43, 44, 45, 48, 49 & 50 |
| VI | 46, 47, 51, 52, 53, 54, 55, 60, 61 & 62 |
| VII | 56, 57, 58, 59, 63, 64, 65, 66 & 67 |
| VIII | 68, 69, 70, 72, 83, 84, 85, 86, 87, 88 & 90 |
| IX | 71, 73, 74, 75, 76, 77, 78, 79, 80 & 82 |
| X | 81, 89, 91, 92, 93, 94, 95, 96, 97, 98, 99 & 100 |
| XI | 103, 104, 110, 111, 112, 113 & 114 |
| XII | 101, 102, 105, 106, 107, 108 & 109 |
| XIII | 115, 116, 117, 118, 119, 120 &122 |
| XIV | 121, 127, 128, 129, 130, 131 &132 |
| XV | 133, 134, 135, 136, 137, 138, 139, 140 & 141 |
| XVI | 123, 124, 125, 126 |
| Demography | |
| Kolkata Municipal Corporation (KMC) Area (2011) | 205 Km2 |
| Population | 4,496,694 |
| Floating Population | 6,000,000 Per Day |
| Total Water Demand (based on KMC) | 925 MLD (as per KMC); 952 (as per CPHEEO) |
| Per Capita Demand | 170 MLD |
| Water Supply System | |
| Sources | Hooghly River and groundwater from deep and hand tube-wells |
| Surface Water Contribution | 89% |
| Groundwater Contribution | 11% |
| Total Water Supplied | 1216 MLD |
| Per Capita Supplied | 224 LPCD |
| Loss due to Leakage | 35% |
| Actual Supply (After Loss) | 790 MLD |
| Per Capita Supply (After Loss) | 145% |
| Population served by Water Supply System | 92% [27]; 85% [12] |
| Per Capita Water Supply Served | 134 LPCD [24]; 171 LPCD [12] |
| Demand-Supply Gap (After Loss) | 135 MLD |
| Continuity of Water Supplied (in Hours) | 8 |
| Residual Pressure | 3.6 PSI |
| Number of Water Treatment Plants | 4 |
| Designed Capacity for water Production | 1787 MLD |
| Actual Capacity | 1080 MLD |
| Operational Capacity for Surface Water Production | 1260 MLD |
| Operational Capacity for Ground Water Production | 114 MLD |
| Reservoir Capacity | 256 ML |
| Hand Tube-wells | 12,000 |
| Large Tube-wells | 400 |
| Water Supply Distribution Pipes | 5687 Km |
| Number of Piped Connections | 245,019 [27] |
| Household with access to water | 79% |
| Water Price for Domestic Usage | Unbilled for up to one connection/premise additional water supply: US$0.15/m3 |
| Water Price for Commercial, Industrial and Institutional Usage | Flat-rate between US$11.6 and US$66 (Monthly) Additional Water Supply: US$0.33/m3 |
| Years | Population | Growth Rate (%) | ||
|---|---|---|---|---|
| Total | Male | Female | ||
| 1961 | 2,927,298 | 1,815,791 | 1,111,498 | +8.48 |
| 1971 | 3,148,746 | 1,924,505 | 1,224,241 | +7.57 |
| 1981 | 3,305,006 | 1,930,320 | 1,374,686 | +4.96 |
| 1991 | 4,399,819 | - | - | +33.12 |
| 2001 | 4,572,8976 | 2,500,040 | 2,072,836 | +3.93 |
| 2011 | 4,486,679 | 2,362,662 | 2,124,017 | −1.88 |
© 2018 by the authors. Licensee MDPI, Basel, Switzerland. This article is an open access article distributed under the terms and conditions of the Creative Commons Attribution (CC BY) license (http://creativecommons.org/licenses/by/4.0/).
Share and Cite
Mukherjee, S.; Bebermeier, W.; Schütt, B. An Overview of the Impacts of Land Use Land Cover Changes (1980–2014) on Urban Water Security of Kolkata. Land 2018, 7, 91. https://doi.org/10.3390/land7030091
Mukherjee S, Bebermeier W, Schütt B. An Overview of the Impacts of Land Use Land Cover Changes (1980–2014) on Urban Water Security of Kolkata. Land. 2018; 7(3):91. https://doi.org/10.3390/land7030091
Chicago/Turabian StyleMukherjee, Subham, Wiebke Bebermeier, and Brigitta Schütt. 2018. "An Overview of the Impacts of Land Use Land Cover Changes (1980–2014) on Urban Water Security of Kolkata" Land 7, no. 3: 91. https://doi.org/10.3390/land7030091
APA StyleMukherjee, S., Bebermeier, W., & Schütt, B. (2018). An Overview of the Impacts of Land Use Land Cover Changes (1980–2014) on Urban Water Security of Kolkata. Land, 7(3), 91. https://doi.org/10.3390/land7030091

