Effects of Illegal Logging on Birds as Sentinels of Biodiversity in White-Sand Forests of the Peruvian Amazon
Abstract
1. Introduction
2. Materials and Methods
2.1. Study Area
2.2. Bird and Habitat Structure Sampling
2.3. Statistical Analysis
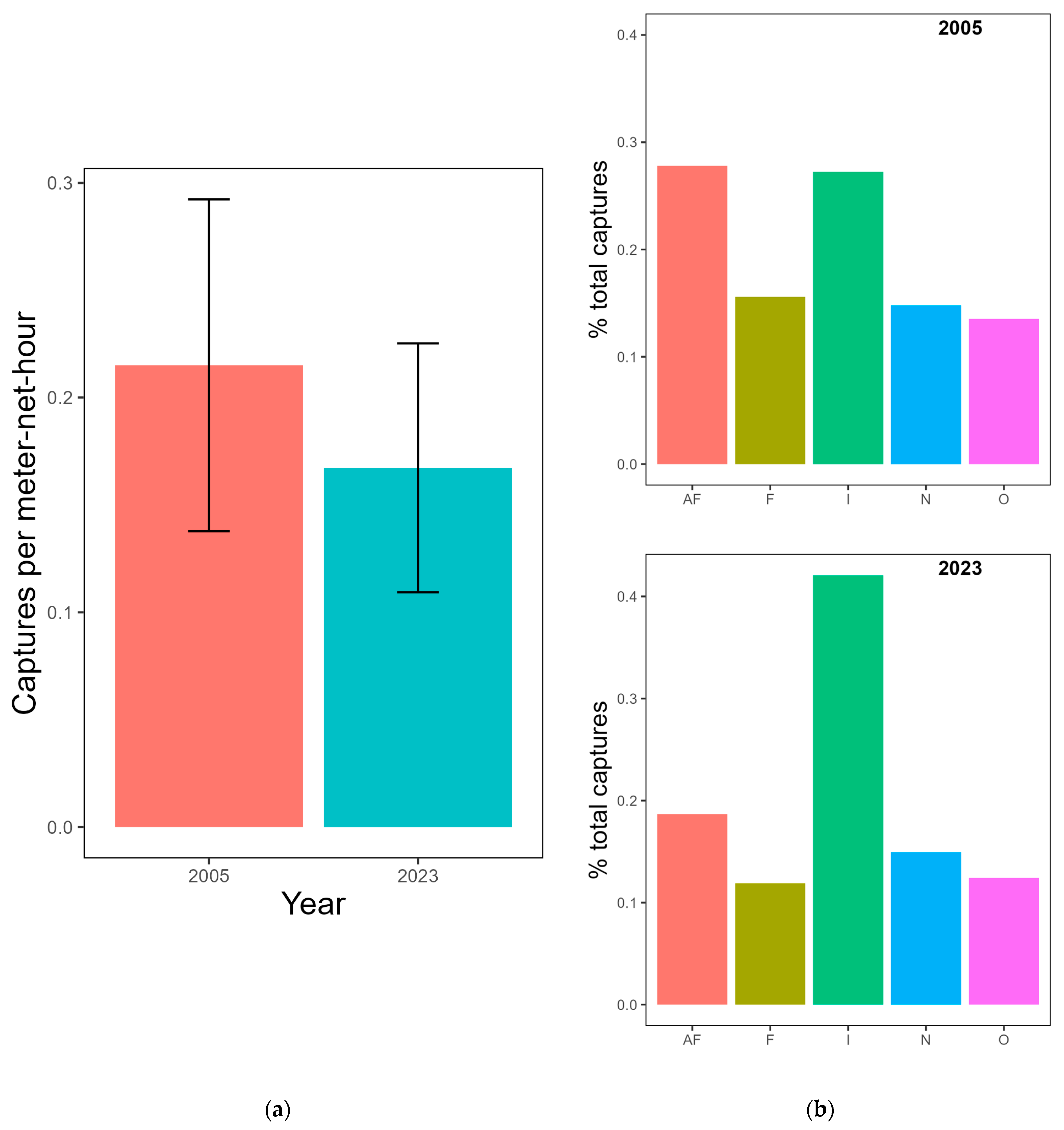
3. Results
4. Discussion
4.1. White-Sand Forest Understory Bird Community Species Richness and Abundance
4.2. White-Sand Forest Structure and Understory Bird Communities
4.3. White-Sand Forest Understory Bird Foraging Guilds and Habitat Variables
4.4. Conservation Implications and Management Recommendations
Author Contributions
Funding
Data Availability Statement
Acknowledgments
Conflicts of Interest
Abbreviations
| AMNR | Allpahuayo-Mishana National Reserve |
| YAH | Years after harvest |
| CI | Confidence interval |
| LCI | Lower confidence interval |
| UCI | Upper confidence interval |
Appendix A
| Guild * | Family | Species | Common Name |
|---|---|---|---|
| G | Columbidae | Geotrygon montana | Ruddy Quail-Dove |
| N | Trochilidae | Glaucis hirsutus | Rufous-breasted Hermit |
| N | Trochilidae | Threnetes leucurus | Pale-tailed Barbthroat |
| N | Trochilidae | Phaethornis superciliosus | Long-tailed Hermit ** |
| N | Trochilidae | Phaethornis ruber | Reddish Hermit |
| N | Trochilidae | Phaethornis bourcieri | Straight-billed Hermit ** |
| N | Trochilidae | Florisuga mellivora | White-necked Jacobin |
| N | Trochilidae | Thalurania furcata | Fork-tailed Woodnymph |
| O | Motmotidae | Momotus aequatroialis | Andean Motmot |
| O | Bucconidae | Malacoptila fusca | White-chested Puffbird |
| I | Picidae | Celeus elegans | Chestnut Woodpecker |
| I | Dendrocolaptidae | Glyphorynchus spirurus | Wedge-billed Woodcreeper ** |
| AF | Dendrocolaptidae | Dendrocincla fuliginosa | Plain-brown Woodcreeper |
| AF | Dendrocolaptidae | Dendrocincla merula | White-chinned Woodcreeper |
| I | Dendrocolaptidae | Xiphorhynchus guttatus | Buff-throated Woodcreeper |
| I | Dendrocolaptidae | Dendrocolaptes picumnus | Black-banded Woodcreeper |
| I | Dendrocolaptidae | Dendroplex picus | Straight-billed Woodcreeper |
| I | Dendrocolaptidae | Xiphorhynchus ocellatus | Ocellated Woodcreeper |
| I | Furnariidae | Automolus ochrolaemus | Buff-throated Foliage-Gleaner |
| I | Furnariidae | Sclerurus rufigularis | Short-billed Leaftosser |
| I | Furnariidae | Xenops minutus | Atlantic Plain Xenops |
| AF | Thamnophilidae | Thamnomanes caesius | Cinerous Antshrike |
| I | Thamnophilidae | Mymotherula haematonota | Stipple-throated Antwren |
| I | Thamnophilidae | Myrmotherula axillaris | White-flanked Antwren ** |
| I | Thamnophilidae | Hypocnemis hypoxantha | Yellow-browed Antbird |
| I | Thamnophilidae | Hypocnemis cantator | Guianan Warbling-Antbird |
| I | Thamnophilidae | Myrmoborus myotherinus | Black-faced Antbird |
| I | Thamnophilidae | Sciaphylax castanea | Zimmer’s Antbird |
| AF | Thamnophilidae | Phlegopsis erythroptera | Reddish-winged Bare-eye |
| AF | Thamnophilidae | Gymnopithys leucaspis | Bicolored Antbird ** |
| AF | Thamnophilidae | Pithys albifrons | White-plumed Antbird ** |
| AF | Thamnophilidae | Pygiptila stellaris | Spot-winged Antshrike ** |
| I | Thamnophilidae | Isleria hauxwelli | Plain-throated Antwren ** |
| I | Tyrannidae | Corythopis torquatus | Ringed Antpipit |
| I | Tyrannidae | Terenotriccus erythrurus | Ruddy-tailed Flycatcher |
| I | Tyrannidae | Lathrotriccus euleri | Euler’s Flycatcher |
| I | Tyrannidae | Attila spadiceus | Bright-rumped Attila |
| I | Tyrannidae | Attila bolivianus | Dull-capped Attila |
| I | Tyrannidae | Schiffornis turdina | Brown-winged Schiffornis |
| F | Cotingidae | Lipaugus vociferans | Screaming Piha |
| F | Pipridae | Machaeropterus regulus | Kinglet Manakin |
| F | Pipridae | Tyranneutes stolzmanni | Dwarf Tyrant-Manakin |
| F | Pipridae | Neopelma chrysocephalum | Blue-backed Manakin |
| F | Pipridae | Pseudopipra pipira | White-crowned Manakin ** |
| F | Pipridae | Lepidothrix coronata | Blue-capped Manakin ** |
| F | Pipridae | Ceratopipra erythrocephala | Golden-headed Manakin |
| I | Troglodytidae | Microcerculus marginatus | Scaly-breasted Wren |
| O | Turdidae | Catharus minimus | Gray-cheeked Thrush |
| O | Turdidae | Catharus ustulatus | Swainson’s Thrush |
| I | Vireonidae | Pachysylvia hypoxantha | Dusky-capped Greenlet |
| G | Cardinalidae | Cyanoloxia cyanoides | Blue-black Grosbeak |
References
- FAO. Global Forest Resources Assessment 2010: Main Report; FAO: Rome, Italy, 2010; Available online: https://www.fao.org/3/i1757e/i1757e00.htm (accessed on 1 February 2023).
- Arcilla, N.; Strazds, M. Ten Principles for Bird-Friendly Forestry: Conservation Approaches in Natural Forests Used for Timber Production. Birds 2023, 4, 245–261. [Google Scholar] [CrossRef]
- Myers, N. The Primary Source: Tropical Forests and Our Future; W. W. Norton: New York, NY, USA, 1992. [Google Scholar]
- Mason, D.J.; Thiollay, J. Tropical forestry and the conservation of Neotropical birds. In The Cutting Edge: Conserving Wildlife in Logged Tropical Forest; Fimbel, R.A., Grajal, A., Robinson, J.G., Eds.; Columbia University Press: New York, NY, USA, 2001; pp. 167–176. [Google Scholar]
- Barlow, J.; Peres, C.A.; Henriques, L.M.P.; Stouffer, P.C.; Wunderle, J.M. The responses of understorey birds to forest fragmentation, logging and wildfires: An Amazonian synthesis. Biol. Conserv. 2006, 128, 182–192. [Google Scholar] [CrossRef]
- Gutierrez-Velez, V.H.; MacDicken, K. Quantifying the direct social and governmental costs of illegal logging in the Bolivian, Brazilian, and Peruvian Amazon. For. Policy Econ. 2008, 10, 248–256. [Google Scholar] [CrossRef]
- Curran, L.M.; Trigg, S.N.; McDonald, A.K.; Astiani, D.; Hardiono, Y.M.; Siregar, P.; Caniao, I. Lowland forest loss in protected areas of Indonesian Borneo. Science 2004, 303, 1000–1003. [Google Scholar] [CrossRef]
- Laurance, W.F. A crisis in the making: Responses of Amazonian forests to land use and climate change. Trends Ecol. Evol. 1998, 13, 411–415. [Google Scholar] [CrossRef] [PubMed]
- Shany, N.; Díaz Alván, J.; Álvarez Alonso, J. Finding white-sand forest specialists in Allpahuayo-Mishana Reserve, Peru. Neotrop. Bird. 2007, 2, 60–68. [Google Scholar]
- Schulenberg, T.S.; Stotz, D.F.; Lane, D.F.; O’Neill, J.P.; Parker, T.A., III. Birds of Peru; Princeton University Press: Princeton, NJ, USA, 2007. [Google Scholar]
- Ungvari, J.; Heckscher, C.; Hobson, K. Inter-annual site fidelity and breeding origins of Gray-cheeked Thrushes in white sand forests of the Peruvian Amazon. J. Field Ornithol. 2016, 87, 55–64. [Google Scholar] [CrossRef]
- Álvarez Alonso, J. Characteristic Avifauna of White-Sand Forests in Northern Peruvian Amazonia. Master’s Thesis, Louisiana State University, Baton Rouge, LA, USA, 2002. Available online: https://repository.lsu.edu/cgi/viewcontent.cgi?article=3775&context=gradschool_theses (accessed on 1 February 2026).
- Álvarez Alonso, J.; Whitney, B.M. New distributional records of birds from white-sand forests of the northern Peruvian Amazon, with implications for biogeography of northern South America. Ornithol. Appl. 2003, 105, 552–566. [Google Scholar] [CrossRef]
- Juvonen, S.K.; Álvarez Alonso, J. Allpahuayo-Mishana Reserved Zone: What it takes to make a protected area function in the Peruvian Amazonia? Lyonia 2003, 4, 133–138. [Google Scholar]
- Whitney, B.M.; Álvarez Alonso, J. A new species of gnatcatcher from white-sand forests of northern Amazonian Peru with revision of the Polioptila guianensis complex. Wilson Bull. 2005, 117, 113–127. [Google Scholar] [CrossRef] [PubMed]
- Wilkie, D.S.; Sidle, J.G.; Boundzanga, G.C.; Auzel, P.; Blake, S. Defaunation, not deforestation: Commercial logging and market hunting in northern Congo. In The Cutting Edge: Conserving Wildlife in Logged Tropical Forest; Fimbel, R.A., Grajal, A., Robinson, J.G., Eds.; Columbia University Press: New York, NY, USA, 2001; pp. 375–400. [Google Scholar]
- Whitman, A.A.; Hagan, J.M., III; Brokaw, N.V.L. Effects of selection logging on birds in northern Belize. Biotropica 1998, 30, 449–457. [Google Scholar] [CrossRef]
- White, L.J.T.; Tutin, C.E.G. Why chimpanzees gorillas respond differently to logging: Acautionary tale from Gabon. In African Rain Forest Ecology Conservation: An Interdisciplinary Perspective; Weber, W., White, L.J.T., Vedder, A., Naughton-Treves, L., Eds.; Yale University Press: New Haven, CT, USA, 2001; pp. 449–462. [Google Scholar]
- Furness, R.W.; Greenwood, J.D. Birds as Monitors of Environmental Change; Chapman and Hall: New York, NY, USA, 1993. [Google Scholar]
- Wong, M. Understory birds as indicators of regeneration in a patch of selectively logged west Malaysian rainforest. In Conservation of Tropical Forest Birds; Diamond, A.W., Lovejoy, T.E., Eds.; Technical Publication 4; ICBP: Cambridge, UK, 1985; pp. 249–263. [Google Scholar]
- Politi, N.; Hunter, M.; Rivera, L. Assessing the effects of selective logging on birds in Neotropical piedmont and cloud montane forests. Biodivers. Conserv. 2012, 21, 3131–3155. [Google Scholar] [CrossRef]
- Kelly, J.F.; Pletschet, S.M.; David, M.; Leslie, D.M., Jr. Habitat associations of Red-cockaded Woodpecker cavity trees in an old-growth forest of Oklahoma. J. Wildl. Manag. 1993, 57, 122–128. [Google Scholar] [CrossRef]
- Troy, J.R.; Jones, C.D. The ongoing narrative of Ivory-billed Woodpecker rediscovery and support for declaring the species extinct. Ibis 2023, 165, 340–351. [Google Scholar] [CrossRef]
- Angelstam, P.; Roberge, J.-M.; Lõhmus, A.; Bergmanis, M.; Brazaitis, G.; Dönz-Breuss, M.; Edenius, L.; Kosinski, Z.; Kurlavicius, P.; Lârmanis, V.; et al. Habitat modelling as a tool for landscape-scale conservation—A review of parameters for focal forest birds. Ecol. Bull. 2004, 51, 427–453. Available online: https://www.jstor.org/stable/20113327 (accessed on 6 February 2026).
- Moser, B.; Garton, E. Short-Term Effects of Timber Harvest and Weather on Northern Goshawk Reproduction in Northern Idaho. J. Raptor Res. 2009, 43, 1–10. [Google Scholar] [CrossRef]
- Sallabanks, R.; Arnett, E.B.; Marzluff, J.M. An evaluation of research on the effects of timber harvest on bird populations. Wildl. Soc. Bull. 2000, 28, 1144–1155. [Google Scholar]
- Imbeau, L.; Mönkkönen, M.; Desrochers, A. Long-term effects of forestry on birds of the eastern Canadian boreal forests: A comparison with Fennoscandia. Conserv. Biol. 2001, 15, 1151–1162. [Google Scholar] [CrossRef]
- Martin, J.-L.; Drapeau, P.; Fahrig, L.; Lindsay, K.F.; Kirk, D.A.; Smith, A.C.; Villard, M.-A. Birds in cultural landscapes: Actual and perceived differences between northeastern North America and western Europe. In Birds and Habitat Relationships in Changing Landscapes; Fuller, R.J., Ed.; Cambridge University Press: Cambridge, UK, 2012; pp. 481–515. Available online: https://www.cambridge.org/core/books/abs/birds-and-habitat/birds-in-cultural-landscapes-actual-and-perceived-differences-between-northeastern-north-america-and-western-europe/A894235FF75CDE222618D1A5728830B9 (accessed on 6 February 2026).
- Betts, M.G.; Wolf, C.; Ripple, W.J.; Phalan, B.; Millers, K.A.; Duarte, A.; Butchart, S.H.M.; Levi, T. Global forest loss disproportionately erodes biodiversity in intact landscapes. Nature 2017, 547, 441–444. [Google Scholar] [CrossRef]
- Lehikoinen, A.; Virkkala, R. Population trends and conservation status of forest birds. In Ecology and Conservation of Forest Birds; Mikusiński, G., Roberge, J.-M., Fuller, R.J., Eds.; Cambridge University Press: Cambridge, UK, 2018; pp. 390–426. [Google Scholar]
- Guilherme, E.; Cintra, R. Effects of intensity and age of selective logging and tree girdling on an understory bird community composition in Central Amazonia. Ecotropica 2001, 7, 77–92. [Google Scholar]
- Plumptre, A.J.; Dranzoa, C.; Owiunji, I. Bird communities in logged and unlogged African forests: Lessons from Uganda and beyond. In The Cutting Edge: Conserving Wildlife in Logged Tropical Forest; Fimbel, R.A., Grajal, A., Robinson, J.G., Eds.; Columbia University Press: New York, NY, USA, 2001; pp. 213–238. [Google Scholar]
- Arcilla, N.; Holbech, L.H.; O’Donnell, S. Severe declines of forest understory birds follow illegal logging in Ghana, West Africa. Biol. Conserv. 2015, 188, 41–49. [Google Scholar] [CrossRef]
- Holbech, L.H.; Annorbah, N.N.D.; Phalan, B.; Arcilla, N. Uncontrolled hunting and habitat degradation decimate and extirpate forest hornbills in Ghana, West Africa. Biol. Conserv. 2018, 223, 104–111. [Google Scholar] [CrossRef]
- Glass, A.; Arcilla, N. The Effects of Disturbance Intensity on Tropical Forest Bird Communities and Vegetation Structure after Two Decades of Recovery. Birds 2024, 5, 388–403. [Google Scholar] [CrossRef]
- Delprete, P. Flórula de las Reservas Biológicas de Iquitos, Perú. Brittonia 1999, 51, 113. [Google Scholar] [CrossRef]
- Vásquez, M.; Servicio Nacional de Áreas Naturales Protegidas por el Estado [SERNANP], Iquitos, Loreto, Peru. Personal communication, 2005.
- Salafsky, N.; Relton, C.; Young, B.E.; Lamarre, P.; Böhm, M.; Chénier, M.; Cochrane, E.; Dionne, M.; He, K.K.; Hilton-Taylor, C.; et al. Classification of direct threats to the conservation of ecosystems and species 4.0. Conserv. Biol. 2025, 39, e14434. [Google Scholar] [CrossRef]
- Oates, J. Myth and Reality in the Rain Forest: How Conservation Strategies are Failing in West Africa; University of California Press: Berkeley, CA, USA, 1999. [Google Scholar]
- Wittemyer, G.; Elsen, P.; Bean, W.T.; Coleman, A.; Burton, O.; Brashares, J.S. Accelerated human population growth at protected area edges. Science 2008, 321, 123–126. [Google Scholar] [CrossRef]
- Kaboumba, L.-E.M.; Di Lecce, I.; Afiademanyo, K.M.; Kourdjouak, Y.; Arcilla, N. Assessing Threats to Fazao-Malfakassa National Park, Togo, Using Birds as Indicators of Biodiversity Conservation. Land 2025, 14, 225. [Google Scholar] [CrossRef]
- Díaz Alván, J.; Instituto de Investigaciones de la Amazonía Peruana [IIAP], Iquitos, Loreto, Peru. Personal communication, 2005.
- Ralph, C.J.; Dunn, E.H.; Peach, W.J.; Handel, C.M. Recommendations for the use of mist nets for inventory monitoring of bird populations. In Monitoring Bird Populations Using Mist Nets; Ralph, C.J., Dunn, E.H., Eds.; Studies in Avian Biology; Cooper Ornith. Soc.: Camarillo, CA, USA, 2004; Volume 29, pp. 187–196. [Google Scholar]
- Ralph, C.J. (Department of Biological Sciences, Humboldt State University, Arcata, California, USA). Personal communication, 2004.
- Karr, J.R. Geographical variation in the avifaunas of tropical forest undergrowth. Auk 1980, 97, 283–298. Available online: https://digitalcommons.usf.edu/auk/vol97/iss2/7 (accessed on 6 February 2026).
- Karr, J.R. Surveying birds with mist nets. Stud. Avian Biol. 1981, 6, 62–76. [Google Scholar]
- Sutherland, W.J. (Ed.) Ecological Census Techniques: A Handbook; Cambridge University Press: Cambridge, UK, 2006. [Google Scholar]
- Remsen, J.V., Jr.; Good, D.A. Misuse of data from mist-net captures to assess relative abundance in bird populations. Auk 1996, 113, 381–398. [Google Scholar] [CrossRef]
- Dauphiné, N.S. Bird Ecology, Conservation, and Community Responses to Logging in the Northern Peruvian Amazon. Ph.D. Thesis, University of Georgia, Athens, GA, USA, 2008. Available online: https://openscholar.uga.edu/record/11378?v=pdf (accessed on 6 February 2026).
- Boulinier, T.; Nichols, J.D.; Sauer, J.R.; Hines, E.; Pollock, K.H. Estimating species richness: The importance of heterogeneity in species detectability. Ecology 1998, 79, 1018–1028. [Google Scholar] [CrossRef]
- Williams, B.K.; Nichols, J.D.; Conroy, M.J. Analysis and Management of Animal Populations: Modeling, Estimation, and Decision Making; Academic Press: San Diego, CA, USA, 2002; 817p. [Google Scholar]
- Terborgh, J.; Weske, J.S. Colonization of secondary habitats by Peruvian birds. Ecology 1969, 50, 765–782. [Google Scholar] [CrossRef]
- Mason, D.J. Responses of Venezuelan understory birds to selective logging, enrichment strips, and vine cutting. Biotropica 1996, 28, 296–309. [Google Scholar] [CrossRef]
- Bibby, C.J.; Burgess, N.D.; Hill, D.A.; Mustoe, S.H. Bird Census Techniques, 2nd ed.; Academic Press: London, UK, 2000; p. 302. [Google Scholar]
- James, F.C.; Shugart, H.H. A quantitative method of habitat description. Audubon Field Notes 1970, 24, 727–735. [Google Scholar]
- Burnham, K.P.; Overton, W.S. Estimation of the size of a closed population when capture probabilities vary among animals. Biometrika 1978, 65, 625–633. [Google Scholar] [CrossRef]
- Burnham, K.P.; Overton, W.S. Robust estimation of population size when capture probabilities vary among animals. Ecology 1979, 62, 927–936. [Google Scholar] [CrossRef]
- Castaño-Villa, G.J.; Santisteban-Arenas, R.; Hoyos-Jaramillo, A.; Estévez-Varón, J.V.; Fontúrbel, F.E. Foraging behavioural traits of tropical insectivorous birds lead to dissimilar communities in contrasting forest habitats. Wildl. Biol. 2019, 1, 1–6. [Google Scholar] [CrossRef]
- Roels, S.M.; Hannay, M.B.; Lindell, C.A. Recovery of bird activity and species richness in an early-stage tropical forest restoration. Avian Conserv. Ecol. 2019, 14, 9. [Google Scholar] [CrossRef]
- Paradis, E. Package ‘ape:’ Analyses of Phylogenetics and Evolution in R. Version 5.8-1. 2024. Available online: https://cran.r-project.org/web/packages/ape/ape.pdf (accessed on 9 February 2026).
- Chao, A.; Ma, K.H.; Hsieh, T.C.; Chiu, C.-H. Package ‘SpadeR:’ Species-Richness Prediction and Diversity Estimation with R. Version 0.1.1. 2016. Available online: https://cran.r-project.org/web/packages/SpadeR/SpadeR.pdf (accessed on 9 February 2026).
- Hartig, F. Package ‘DHARMa:’ Residual Diagnostics for Hierarchical (multi-level/mixed) Regression Models R Package. 2017. Available online: https://cran.r-project.org/web/packages/DHARMa/vignettes/DHARMa.html (accessed on 9 February 2026).
- Khan, N.M.; Baldi, I.; Chiaruttini, M.V.; Gregori, D. Residuals and Overdispersion in Generalized Linear Models. In Classical and Bayesian Statistical Approaches in Infectious Disease Data Analysis; Springer Nature: Cham, Switzerland, 2025; pp. 169–190. Available online: https://link.springer.com/chapter/10.1007/978-3-032-06747-0_6 (accessed on 9 February 2026).
- Schielzeth, H.; Dingemanse, N.J.; Nakagawa, S.; Westneat, D.F.; Allegue, H.; Teplitsky, C.; Reale, D.; Dochtermann, N.A.; Garamzegi, L.Z.; Araya-Ajoy, Y.G. Robustness of linear mixed-effects models to violations of distributional assumptions. Methods Ecol. Evolut. 2020, 11, 1141–1152. [Google Scholar] [CrossRef]
- Sierdsema, H.; van Loon, E. Filling the gaps: Using count survey data to predict bird density distribution patterns and estimate population sizes. Rev. Catalana D’ornitologia 2008, 24, 88–99. [Google Scholar]
- Gower, J.C. Some distance properties of latent root and vector methods used in multivariate analysis. Biometrika 1966, 53, 325–338. [Google Scholar] [CrossRef]
- Anderson, D.R. Model Based Inference in the Life Sciences: A Primer on Evidence; Springer Nature: Cham, Switzerland, 2008. [Google Scholar]
- Burnham, K.P.; Anderson, D.R. Model Selection and Inference: A Practical Information-Theoretic Approach; Springer Science + Business Media: New York, NY, USA, 2013; 488p. [Google Scholar]
- Dent, D.H.; Wright, S.J. The future of tropical species in secondary forests: A quantitative review. Biol. Conserv. 2009, 142, 2833–2843. [Google Scholar] [CrossRef]
- Billerman, S.M.; Keeney, B.K.; Kirwan, G.M.; Medrano, F.; Sly, N.D.; Smith, M.G. (Eds.) Birds of the World; Cornell Laboratory of Ornithology: Ithaca, NY, USA, 2026. [Google Scholar] [CrossRef]
- Gray, M.A.; Baldauf, S.L.; Mayhew, P.J.; Hill, J.K. The response of avian feeding guilds to tropical forest disturbance. Conserv. Biol. 2007, 21, 133–141. [Google Scholar] [CrossRef]
- Wang, Y.; Liu, J.; Gao, S.; Tong, S.; Wang, Z.; Li, N. Foraging Guilds of Birds in Continuous and Fragmented Forests of Southeast China. Forests 2025, 16, 861. [Google Scholar] [CrossRef]
- E Martínez, A.; Pollock, H.S.; Rodrigues, P.F.; Touchton, J.M. Army-ant following in Neotropical birds: A review and prospectus. Ornithology 2021, 138, ukaa078. [Google Scholar] [CrossRef]
- Bolker, B.M.; Brooks, M.E.; Clark, C.J.; Geange, S.W.; Poulsen, J.R.; Stevens, M.H.H.; White, J.-S.S. Generalized linear mixed models: A practical guide for ecology and evolution. Trends Ecol. Evol. 2009, 24, 127–135. [Google Scholar] [CrossRef] [PubMed]
- França, F.M.; Beiroz, W.; Andretti, C.B.; Costa, T.V.V.; Vaz-De-Mello, F.Z.; Silveira, J.M.; Louzada, J. Selective logging intensity and time since logging drive tropical bird and dung beetle diversity: A case study from Amazonia. Environ. Conserv. 2024, 51, 112–121. [Google Scholar] [CrossRef]
- Burivalova, Z.; Şekercioğlu, Ç.H.; Koh, L.P. Thresholds of logging intensity to maintain tropical forest biodiversity. Curr. Biol. 2014, 24, 1893–1898. [Google Scholar] [CrossRef]
- Wunderle, J.M.; Henriques, L.M.P.; Willig, M.R. Short-term responses of birds to forest gaps and understory: An assessment of reduced-impact logging in a lowland Amazon forest. Biotropica 2006, 38, 235–255. [Google Scholar] [CrossRef]
- Rosenberg, K.V.; Dokter, A.M.; Blancher, P.J.; Sauer, J.R.; Smith, A.C.; Smith, P.A.; Stanton, J.C.; Panjabi, A.; Helft, L.; Parr, M.; et al. Decline of the North American avifauna. Science 2019, 366, 120–124. [Google Scholar] [CrossRef]
- Lees, A.C.; Haskell, L.; Allinson, T.; Bezeng, S.B.; Burfield, I.J.; Renjifo, L.M.; Rosenberg, K.V.; Viswanathan, A.; Butchart, S.H. State of the World’s Birds. Annu. Rev. Environ. Resour. 2022, 47, 231–260. [Google Scholar] [CrossRef]
- Adeney, J.M.; Christensen, N.L.; Vicentini, A.; Cohn-Haft, M. White-sand ecosystems in Amazonia. Biotropica 2016, 48, 7–23. [Google Scholar] [CrossRef]
- de Oñate-Calvín, R.; San Miguel, A.; Orensanz-García, J.; Roig, S. Amazonian white-sand forest: A black future. Bois Forêts Des. Trop. 2013, 315, 63–72. [Google Scholar] [CrossRef]
- Ampoorter, E.; Goris, R.; Cornelis, W.; Verheyen, K. Impact of mechanized logging on compaction status of sandy forest soils. For. Ecol. Manag. 2007, 241, 162–174. [Google Scholar] [CrossRef]
- Demarchi, L.O.; Scudeller, V.V.; Moura, L.C.; Lopes, A.; Piedade, M.T.F. Logging impact on Amazonian white-sand forests: Perspectives from a sustainable development reserve. Acta Amaz. 2019, 49, 316–323. [Google Scholar] [CrossRef]
- Bruner, A.G.; Gullison, R.E.; Rice, R.E.; da Fonseca, G.A. Effectiveness of parks in protecting tropical biodiversity. Science 2001, 291, 125–128. [Google Scholar] [CrossRef] [PubMed]
- Kayla, D.; Stan, K.D.; Sanchez-Azofeifa, A.; Hamann, H.F. Widespread degradation and limited protection of forests in global tropical dry ecosystems. Biol. Conserv. 2024, 289, 110425. [Google Scholar] [CrossRef]
- Rakotobe, D.J.; Stevens, N.J. Closing staffing gaps in Madagascar’s protected areas to achieve the 30 by 30 conservation target. Conserv. Sci. Pract. 2024, 6, e13118. [Google Scholar] [CrossRef]
- Jachmann, H. Illegal wildlife use and protected area management in Ghana. Biol. Conserv. 2008, 141, 1906–1918. [Google Scholar] [CrossRef]
- Börner, J.; Baylis, K.; Corbera, E.; Ezzine-de-Blas, D.; Ferraro, P.J.; Honey-Rosés, J.; Lapeyre, R.; Persson, U.M.; Wunder, S. Emerging Evidence on the Effectiveness of Tropical Forest Conservation. PLoS ONE 2016, 11, e0159152, Erratum in: PLoS ONE 2024, 19, e0308020. https://doi.org/10.1371/journal.pone.0308020. [Google Scholar] [CrossRef] [PubMed]
- Cisneros, E.; Zhou, S.L.; Börner, J. Naming and Shaming for Conservation: Evidence from the Brazilian Amazon. PLoS ONE 2015, 10, e0136402. [Google Scholar] [CrossRef]
- Ferraro, P.; McIntosh, C.; Ospina, M. The effectiveness of the US endangered species act: An econometric analysis using matching methods. J. Environ. Econ. Manage. 2007, 54, 245–261. [Google Scholar] [CrossRef]
- Tacconi, L. The problem of illegal logging. In Illegal Logging; Routledge: London, UK, 2012; pp. 1–16. Available online: https://www.researchgate.net/profile/Luca-Tacconi/publication/252229213_The_Problem_of_Illegal_Loging/links/5408f7620cf2822fb738bbdd/The-Problem-of-Illegal-Logging.pdf (accessed on 9 February 2026). [CrossRef]
- Winkel, G.; Leipold, S.; Buhmann, K.; Cashore, B.; De Jong, W.; Nathan, I.; Sotirov, M.; Stone, M. Narrating illegal logging across the globe: Between green protectionism and sustainable resource use. Int. For. Rev. 2017, 19, 81–97. [Google Scholar] [CrossRef]
- Smith, J.; Colan, V.; Sabogal, C.; Snook, L. Why policy reforms fail to improve logging practices: The role of governance and norms in Peru. For. Policy Econ. 2006, 8, 458–469. [Google Scholar] [CrossRef]
- Finer, M.; Jenkins, C.N.; Sky, M.A.B.; Pine, J. Logging Concessions Enable Illegal Logging Crisis in the Peruvian Amazon. Sci. Rep. 2014, 4, 4719. [Google Scholar] [CrossRef] [PubMed]
- Gianella, C.; Paredes, M.; Figueroa, L. Corruption, Informality and Power: Explaining the Limits to Institutional Approaches for Tackling Illegal Logging in Peru. 2021. Available online: https://static1.squarespace.com/static/5b7ea2794cde7a79e7c00582/t/6306981634e4db3ded9ffb6b/1661376540223/corruption-informality-and-power.pdf (accessed on 9 February 2026).
- Battisti, C.; Fanelli, G.; Marini, F.; Amori, G.; Luiselli, L. Assessing the Nature Reserve Management Effort Using an Expert-Based Threat Analysis Approach. Diversity 2020, 12, 145. [Google Scholar] [CrossRef]
- da Silva, A.L.; Bueno, M.A.F. The Amazon Protected Areas Program (ARPA): Participation, local development, and governance in the Brazilian Amazon. Biodiversidade Bras. 2017, 7, 122–137. [Google Scholar] [CrossRef]
- Nydia Eléspuru Urro. Preserving Our Forests to Enjoy Their Scenic Beauty: Allpahuayo Mishana National Reserve, Perú. 2024. Available online: https://www.greendestinations.org/wp-content/uploads/2024/09/Top-100-2024-GPS-Allpahuayo-Mishana-National-Reserve.pdf (accessed on 9 February 2026).
- Chris Kilham. 2026. Available online: https://realitysandwich.com/a-woman-shaman-defies-the-odds-and-starts-her-own-healing-center/ (accessed on 9 February 2026).
- Aya Madre. 2026. Available online: https://www.ayamadre.com/the-center (accessed on 9 February 2026).
- Ayahuasca Foundation. 2026. Available online: https://www.ayahuascafoundation.org/ayahuasca-retreats/ayahuasca-retreat-programs/ (accessed on 9 February 2026).
- Casa Chaikoni. Centre Amazonien de Guérison et de Médecine Ancestrale. 2026. Available online: https://www.casachaikoni.com (accessed on 9 February 2026).
- Allpahuayo Mishana Bed & Trees. 2026. Available online: https://allpahuayomishana.com (accessed on 9 February 2026).
- Böschemeier, A.G.E.; Flores, M.E. Ayahuasca Lodges in the Peruvian Amazon: A Valid Alternative for Ethno-development? In Indigenous Amazonia, Regional Development and Territorial Dynamics; Leal Filho, W., King, V., Borges de Lima, I., Eds.; The Latin American Studies Book Series; Springer: Cham, Switzerland, 2020. [Google Scholar] [CrossRef]
- Wolff, T.J. The Touristic Use of Ayahuasca in Peru: Expectations, Experiences, Meanings and Subjective Effects; Springer Nature: Cham, Switzerland, 2020; Available online: https://link.springer.com/book/10.1007/978-3-658-29373-4 (accessed on 9 February 2026).
- Servicio Nacional de Áreas Naturales Protegidas por el Estado (SERNANP). 2026. Available online: https://visitaareasnaturales.sernanp.gob.pe/en/anps/allpahuayto-mishana-national-reserve/ (accessed on 9 February 2026).
- American Bird Conservancy. Imperiled Birds to Benefit from Land Purchase in Key Peruvian National Reserve. 2012. Available online: https://www.outdoorhub.com/news/2012/11/30/imperiled-birds-to-benefit-from-land-purchase-in-key-peruvian-national-reserve/ (accessed on 9 February 2026).
- Remsen, J.V., Jr.; Areta, J.I.; Bonaccorso, E.; Claramunt, S.; Lane, D.F.; Naka, L.N.; Robbins, M.B.; Stiles, F.G.; Zimmer, K.J. Version [6 February 2026]. A Classification of the Bird Species of South America. 2026. Museum of Natural Science, Louisiana State University. Available online: http://www.museum.lsu.edu/~Remsen/SACCBaseline.htm (accessed on 6 February 2026).





| Ant Followers | Frugivores | Granivores | Insectivores | Nectarivores | ||||||
|---|---|---|---|---|---|---|---|---|---|---|
| Habitat Variable | β | CI | β | CI | β | CI | β | CI | β | CI |
| Leaf/herb cover | −0.35 | −0.66, −0.04 | ||||||||
| Litter cover | 0.31 | 0.05, 0.58 | ||||||||
| Subcanopy cover | 0.01 | 0, 0.03 | 0.11 | −0.01, 0.23 | −0.02 | −0.03, 0 | ||||
| Canopy cover | 0.37 | 0.08, 0.65 | 0.31 | 0.14, 0.48 | ||||||
| Number of trees | −0.45 | −0.77, 0.12 | −0.19 | −0.41, 0.03 | −0.29 | −0.55, −0.02 | ||||
| Average tree diameter | −0.45 | −0.89, 0 | 0.21 | −0.01, 0.44 | ||||||
| Forest Treatment 1 | Species | Common Name |
|---|---|---|
| Unlogged (n = 9 species) | Dendrocolaptes picumnus | Black-banded-Woodcreeper |
| Sclerurus rufigularis | Short-billed Leaftosser | |
| Sciaphylax castanea | Zimmer’s Antbird | |
| Phlegopsis erythroptera | Reddish-winged Bare-eye | |
| Corythopis torquatus | Ringed Antpipit | |
| Hypocnemis cantator | Guianan Warbling Antbird | |
| Mymotherula haematonota | Stipple-throated Antwren | |
| Attila bolivianus | Dull-capped Attila | |
| Lipaugus vociferans | Screaming Piha | |
| ~1 YAH (n = 1 species) | Attila spadiceus | Bright-rumped Attila |
| ~5 YAH (n = 6 species) | Florisuga mellivora | White-necked Jacobin |
| Momotus aequatroialis | Andean Motmot | |
| Celeus elegans | Chestnut Woodpecker | |
| Xiphorhynchus guttatus | Buff-throated Woodcreeper | |
| Hypocnemis hypoxantha | Yellow-browed Antbird | |
| Tyranneutes stolzmanni | Dwarf Tyrant-Manakin | |
| ~9 YAH (n = 1 species) | Pachysylvia hypoxantha | Dusky-capped Greenlet |
Disclaimer/Publisher’s Note: The statements, opinions and data contained in all publications are solely those of the individual author(s) and contributor(s) and not of MDPI and/or the editor(s). MDPI and/or the editor(s) disclaim responsibility for any injury to people or property resulting from any ideas, methods, instructions or products referred to in the content. |
© 2026 by the authors. Licensee MDPI, Basel, Switzerland. This article is an open access article distributed under the terms and conditions of the Creative Commons Attribution (CC BY) license.
Share and Cite
Arcilla, N.; Glass, A.; Sánchez Indama, J.; Cooper, R.J. Effects of Illegal Logging on Birds as Sentinels of Biodiversity in White-Sand Forests of the Peruvian Amazon. Land 2026, 15, 354. https://doi.org/10.3390/land15020354
Arcilla N, Glass A, Sánchez Indama J, Cooper RJ. Effects of Illegal Logging on Birds as Sentinels of Biodiversity in White-Sand Forests of the Peruvian Amazon. Land. 2026; 15(2):354. https://doi.org/10.3390/land15020354
Chicago/Turabian StyleArcilla, Nico, Alex Glass, Julio Sánchez Indama, and Robert J. Cooper. 2026. "Effects of Illegal Logging on Birds as Sentinels of Biodiversity in White-Sand Forests of the Peruvian Amazon" Land 15, no. 2: 354. https://doi.org/10.3390/land15020354
APA StyleArcilla, N., Glass, A., Sánchez Indama, J., & Cooper, R. J. (2026). Effects of Illegal Logging on Birds as Sentinels of Biodiversity in White-Sand Forests of the Peruvian Amazon. Land, 15(2), 354. https://doi.org/10.3390/land15020354

