Areas with High Fractional Vegetation Cover in the Mu Us Desert (China) Are More Susceptible to Drought
Abstract
1. Introduction
2. Materials and Methods
2.1. Study Area
2.2. Data Sources and Preprocessing
2.2.1. Hydrometeorological Data
2.2.2. NDVI
2.2.3. Land Covertype and DEM
2.3. Methods
2.3.1. Pixel Dichotomy Model
2.3.2. SPEI
2.3.3. Trend Analysis
2.3.4. Correlation
2.3.5. Interquartile Range
3. Results
3.1. Spatiotemporal Trends in FVC and SPEI
3.2. Correlation Between FVC to Drought for Variable Timescales
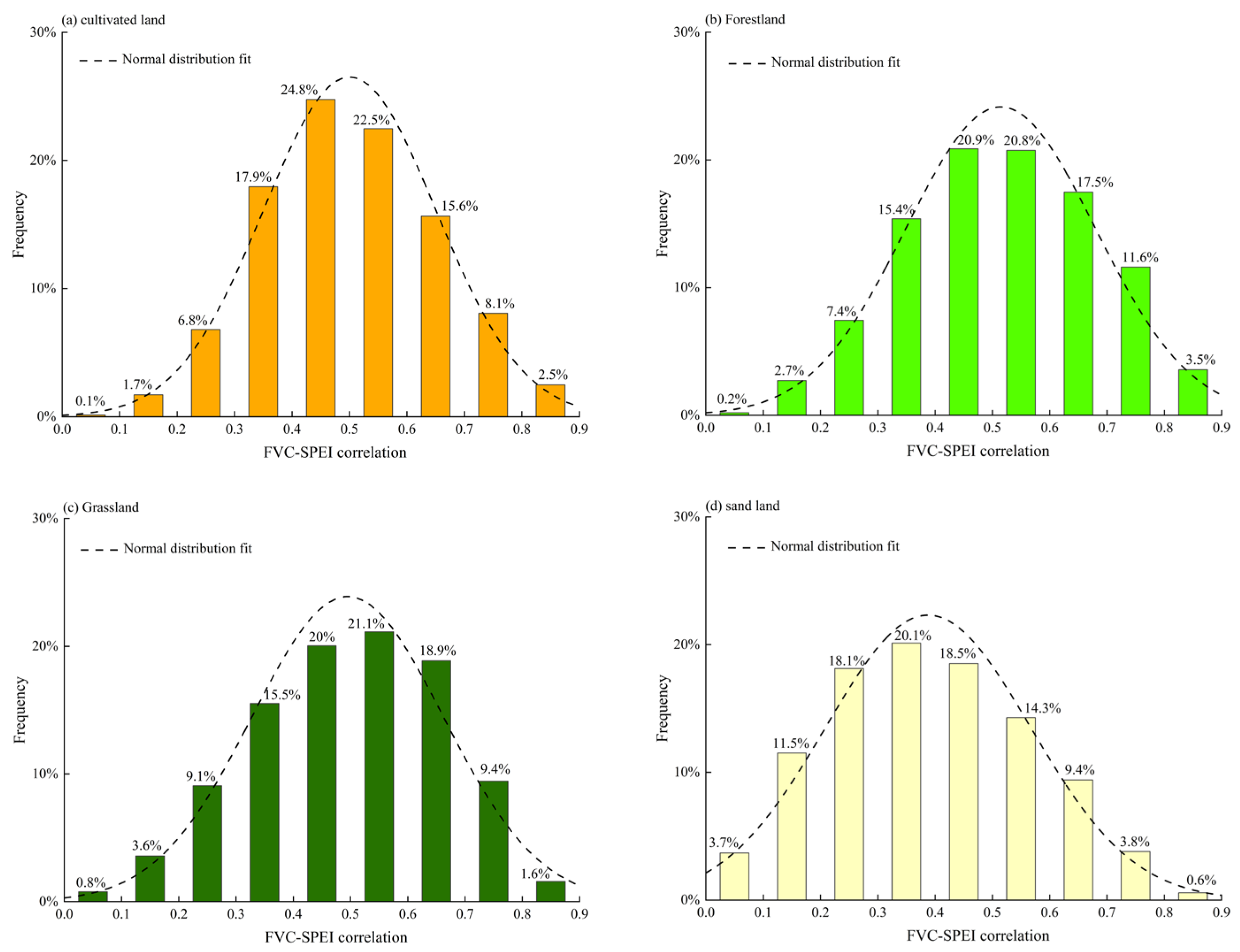
3.3. Land Covertype Response to Drought for Variable Timescales
3.4. Correlation Between FVC of Similar Land Covertypes to Drought for Variable Timescales
4. Discussion
4.1. Temporal Trends in Vegetation Cover and Drought
4.2. Selection of Drought Timescale
4.3. Impact of Drought on Regional Vegetation
4.4. Implications and Limitations
5. Conclusions
- (1)
- FVC showed a consistent increasing trend throughout the growing seasons from 2003 to 2022. Despite the overall trend toward increased wetting, droughts still occurred intermittently across the region. Cultivated land and grassland exhibited heightened sensitivity to short-term drought; forestland and sand land showed greater sensitivity to long-term drought. With an increase in FVC, the response of grassland and sand land to drought stress increased, while the response of cultivated land and forestland was marginally increased.
- (2)
- The MCC-based approach could be applied to monitor vegetation responses to drought and evaluate vegetation stability under water limited conditions.
- (3)
- Vegetation with high FVC values had a more stable response to drought. Low FVC grassland and sand land have not yet reached the VCCSW threshold and can support moderate vegetation restoration. In contrast, forestland and cultivated land exhibit drought sensitivity regardless of FVC levels, indicating that increasing vegetation should be approached with caution. These findings offer valuable insights for planning water-limited ecological restoration strategies aimed at promoting sustainable landscape management in arid regions.
Author Contributions
Funding
Data Availability Statement
Conflicts of Interest
References
- Li, S.N.; Lu, S.W.; Wang, X.J.; Chen, Z.T.; Li, B.; Zhao, N.; Xu, X.T. Drought Timing and Degradation Status Determine the Grassland Sensitivity to Simulated Drought Events. Agric. Ecosyst. Environ. 2025, 378, 109312. [Google Scholar] [CrossRef]
- Cai, X.H.; Zhang, W.Q.; Zhang, C.J.; Zhang, Q.; Sun, J.L.; Cheng, C.; Fan, W.J.; Yu, Y.; Liu, X.L. Identification and Spatial-Temporal Variation Characteristics of Regional Drought Processes in China. Land 2022, 11, 849. [Google Scholar] [CrossRef]
- Wang, F.; Men, R.Y.; Lai, H.X.; Feng, K.; Yan, S.F.; Gao, S.K.; Wang, Z.P.; Tian, Q.Q.; Guo, W.X.; Yang, H.B. Yang The Response of Vegetation Dynamics to Drought and its Driving Factors Identification in Inner Mongolia of China. Ecol. Indic. 2024, 164, 1112125. [Google Scholar] [CrossRef]
- Baez-Villanueva, O.M.; Zambrano-Bigiarini, M.; Miralles, D.G.; Beck, H.E.; Siegmund, J.F.; Alvarez-Garreton, C.; Verbist, K.; Garreaud, R.; Boisier, J.P.; Galleguillos, M. On the Timescale of Drought Indices for Monitoring Streamflow Drought Considering Catchment Hydrological Regimes. Hydrol. Earth Syst. Sci. 2024, 28, 1415–1439. [Google Scholar] [CrossRef]
- Zhong, R.D.; Chen, X.H.; Lai, C.G.; Wang, Z.L.; Lian, Y.Q.; Yu, H.J.; Wu, X.Q. Drought Monitoring Utility of Satellite-Based Precipitation Products across Mainland China. J. Hydrol. 2019, 568, 343–359. [Google Scholar] [CrossRef]
- Vicente-Serrano, S.M.; Beguería, S.; López-Moreno, J.I. A Multiscalar Drought Index Sensitive to Global Warming: The Standardized Precipitation Evapotranspiration Index. J. Hydrol. 2010, 23, 1696–1718. [Google Scholar] [CrossRef]
- Feng, K.T.; Cao, Y.P.; Du, E.J.; Zhou, Z.G.; Zhang, Y.N. Spatiotemporal Dynamics of Drought and the Ecohydrological Response in Central Asia. Remote Sens. 2025, 17, 166. [Google Scholar] [CrossRef]
- Shammi, S.A.; Meng, Q.M. Use Time Series NDVI and EVI to Develop Dynamic Crop Growth Metrics for Yield Modeling. Ecol. Indic. 2021, 121, 107124. [Google Scholar] [CrossRef]
- Kogan, F.N. Droughts of the Late 1980s in the United States as Derived from NOAA Polar-Orbiting Satellite Data. Bull. Am. Meteorol. Soc. 1995, 76, 655–668. [Google Scholar] [CrossRef]
- Xu, H.J.; Wang, X.P.; Zhao, C.Y.; Yang, X.M. Assessing the Response of Vegetation Photosynthesis to Meteorological Drought across Northern China. Land Degrad. Dev. 2020, 32, 20–34. [Google Scholar] [CrossRef]
- Du, Y.T.; Wang, F.Q.; Xu, J.; Zhao, H.; Tang, L.; Wang, H.; Zhang, H.L. Investigation into the Temporal Impacts of Drought on Vegetation Dynamics in China During 2000 to 2022. Sci. Rep. 2025, 15, 6351. [Google Scholar] [CrossRef]
- Liu, S.L.; Zhang, Y.Q.; Cheng, F.Y.; Hou, X.Y.; Zhao, S. Response of Grassland Degradation to Drought at Different Time-Scales in Qinghai Province: Spatio-Temporal Characteristics, Correlation, and Implications. Remote Sens. 2017, 9, 1329. [Google Scholar] [CrossRef]
- Cao, S.P.; Zhang, L.F.; He, Y.L.; Zhang, Y.; Chen, Y.; Yao, S.; Yang, W.; Sun, Q. Effects and Contributions of Meteorological Drought on Agricultural Drought under Different Climatic Zones and Vegetation Types in Northwest China. Sci. Total Environ. 2022, 821, 153270. [Google Scholar] [CrossRef]
- Dong, X.J.; Zhou, Y.K.; Liang, J.Z.; Zou, D.; Wu, J.P.; Wang, J.J. Assessment of Spatiotemporal Patterns and the Effect of the Relationship between Meteorological Drought and Vegetation Dynamics in the Yangtze River Basin Based on Remotely Sensed Data. Remote Sens. 2023, 15, 3641. [Google Scholar] [CrossRef]
- Liu, C.X.; Zhang, X.D.; Wang, T.; Chen, G.Z.; Zhu, K.; Wang, Q.; Wang, J. Detection of Vegetation Coverage Changes in the Yellow River Basin from 2003 to 2020. Ecol. Indic. 2022, 138, 108818. [Google Scholar] [CrossRef]
- Chen, Y.L.; Tang, M.R.; Zhang, H. Response Difference of Fractional Vegetation Cover and Net Primary Productivity to SPEI Drought Index in Karst Areas of Guangxi. J. Arid Meteorol. 2022, 40, 1042–1050. [Google Scholar]
- Mohammed, W.E.; Algarni, S. A Remote Sensing Study of Spatiotemporal Variations in Drought Conditions in Northern Asir, Saudi Arabia. Environ. Monit. Assess. 2020, 192, 784. [Google Scholar] [CrossRef] [PubMed]
- Wang, X.; Song, J.L.; Xiao, Z.Q.; Wang, J.; Hu, F.Z. Desertification in the Mu Us Sandy Land in China: Response to Climate Change and Human Activity from 2000 to 2020. Geogr. Sustain. 2022, 3, 177–189. [Google Scholar] [CrossRef]
- Sun, Z.H.; Mao, Z.G.; Yang, L.Y.; Liu, Z.; Han, J.C.; Wanag, H.Y.; He, W. Impacts of Climate Change and Afforestation on Vegetation Dynamic in the Mu Us Desert, China. Ecol. Indic. 2021, 129, 108020. [Google Scholar] [CrossRef]
- Wang, X.; Liu, X.Y.; Mu, Y.M.; Peng, L.; Xin, J. Changes in Vegetation Phenology and Its Responses to Climatic Factors in the Mu Us Desert. J. Beijing For. Univ. 2023, 45, 61–75. [Google Scholar] [CrossRef]
- Shao, M.J.; Wang, Y.; Xia, Y.; Jia, X. Soil Drought and Water Carrying Capacity for Vegetation in the Critical Zone of the Loess Plateau: A Review. Vadose Zone J. 2018, 17, 1–8. [Google Scholar] [CrossRef]
- Fu, W.; Huang, M.B.; Gallichand, J.; Shao, M.G. Optimization of Plant Coverage in Relation to Water Balance in the Loess Plateau of China. Geoderma 2012, 173–174, 134–144. [Google Scholar] [CrossRef]
- Jia, X.X.; Shao, M.G.; Yu, D.X.; Zhang, Y.; Binley, A. Spatial Variations in Soil-Water Carrying Capacity of Three Typical Revegetation Species on the Loess Plateau, China. Agric. Ecosyst. Environ. 2019, 273, 25–35. [Google Scholar] [CrossRef]
- Tong, S.Q.; Bao, G.; Bao, Y.H.; Huang, X.J. Monitoring of Long-term Vegetation Dynamics and Responses to Droughts of Various Timescales in Inner Mongolia. Ecosphere 2023, 14, e4415. [Google Scholar] [CrossRef]
- New, M.; Hulme, M.; Jones, P. Representing Twentieth-Century Space–Time Climate Variability. Part II: Development of 1901–96 Monthly Grids of Terrestrial Surface Climate. J. Clim. 2000, 13, 2217–2238. [Google Scholar] [CrossRef]
- Tesfaye, Y.; Dechassa, N.; Alemayehu, Y.; Birhan, D.A. Spatiotemporal Variability and Trends in Extreme Rainfall and Temperature Indices in Southeastern Oromia, Ethiopia. Sci. Rep. 2025, 15, 29782. [Google Scholar] [CrossRef]
- Holben, B.N. Characteristics of Maximum-Value Composite Images from Temporal AVHRR Data. Int. J. Remote Sens. 1986, 7, 1417–1434. [Google Scholar] [CrossRef]
- León-Tavares, J.; Roujean, J.-L.; Smets, B.; Wolters, E.; Toté, C.; Swinnen, E. Correction of Directional Effects in VEGETATION NDVI Time-Series. Remote Sens. 2021, 13, 1130. [Google Scholar] [CrossRef]
- Lu, H.; Raupach, M.R.; McVicar, T.R.; Barrett, D.J. Decomposition of Vegetation Cover into Woody and Herbaceous Components Using AVHRR NDVI Time Series. Remote Sens. Environ. 2003, 86, 1–18. [Google Scholar] [CrossRef]
- Gutman, G.; Ignatov, A. The Derivation of the Green Vegetation Fraction from NOAA/AVHRR Data for Use in Numerical Weather Prediction Models. Int. J. Remote Sens. 1998, 19, 1533–1543. [Google Scholar] [CrossRef]
- Zhang, S.L.; Yang, D.; Yang, Y.; Piao, S.; Yang, H.; Lei, H.; Fu, B. Excessive Afforestation and Soil Drying on China’s Loess Plateau. J. Geophys. Res. Biogeosci. 2018, 123, 923–935. [Google Scholar] [CrossRef]
- Thornthwaite, C.W. An Approach toward a Rational Classification of Climate. Geogr. Rev. 1948, 38, 55. [Google Scholar] [CrossRef]
- Ayantobo, O.O.; Li, Y.; Song, S.B.; Yao, N. Spatial Comparability of Drought Characteristics and Related Return Periods in Mainland China over 1961–2013. J. Hydrol. 2017, 550, 549–567. [Google Scholar] [CrossRef]
- Kim, H.-U.; Jong, S.-I.; Om, K.-C.; Paek, U.-S.; Sonu, K.-B.; Tak, J.-Y. Spatiotemporal Variability of Drought During 1951–2022 in the Democratic People’s Republic of Korea and Related Atmospheric Circulation Patterns. J. Earth Syst. Sci. 2025, 134, 63. [Google Scholar] [CrossRef]
- Sen, P.K. Estimates of the Regression Coefficient Based on Kendall’s Tau. J. Am. Stat. Assoc. 1968, 63, 1379–1389. [Google Scholar] [CrossRef]
- Theil, H. A Rank-Invariant Method of Linear and Polynomial Regression Analysis. In Henri Theil’s Contributions to Economics and Econometrics: Econometric Theory and Methodology; Raj, B., Koerts, J., Eds.; Springer: Dordrecht, The Netherlands, 1992; pp. 345–381. [Google Scholar] [CrossRef]
- Wang, A.; Zhang, M.M.; Chen, E.Q.; Zhang, C.; Han, Y.J. Impact of Seasonal Global Land Surface Temperature (LST) Change on Gross Primary Production (GPP) in the Early 21st Century. Sustain. Cities Soc. 2024, 110, 105572. [Google Scholar] [CrossRef]
- Pang, Z.Y.; Wang, J.P.; Mamat, A.; Liu, Y.T.; Long, X.F. The Impact of External Factors on the Evolution Characteristics of Net Primary Productivity of Vegetation in the Kashi Region. Pol. J. Environ. Stud. 2024, 33, 5249–5262. [Google Scholar] [CrossRef]
- Jiao, W.Z.; Tian, C.; Chang, Q.; Novick, K.A.; Wang, L.X. A New Multi-Sensor Integrated Index for Drought Monitoring. Agric. For. Meteorol. 2019, 268, 74–85. [Google Scholar] [CrossRef]
- Su, J.X.; Fan, L.X.; Yuan, Z.L.; Wang, Z.; Wang, Z.J. Vegetation Dynamics and Their Response Patterns to Drought in Shaanxi Province, China. Forests 2023, 14, 1528. [Google Scholar] [CrossRef]
- Dinno, A. Nonparametric Pairwise Multiple Comparisons in Independent Groups Using Dunn’s Test. Stata J. 2015, 15, 292–300. [Google Scholar] [CrossRef]
- Villani, L.; Castelli, G.; Sambalino, F.; Almeida Oliveira, L.A.; Bresci, E. Influence of Trees on Landscape Temperature in Semi-Arid Agro-Ecosystems of East Africa. Biosyst. Eng. 2021, 212, 185–199. [Google Scholar] [CrossRef]
- Wang, Z.P.; Wu, J.S.; Li, M.; Cao, Y.A.; Tilahun, M.; Chen, B. The Variability in Sensitivity of Vegetation Greenness to Climate Change Across Eurasia. Ecol. Indic. 2024, 163, 112140. [Google Scholar] [CrossRef]
- Shi, L.; Fan, H.J.; Yang, L.Y.; Jiang, Y.T.; Sun, Z.H.; Zhang, Y.L. NDVI-Based Spatial and Temporal Vegetation Trends and Their Response to Precipitation and Temperature Changes in the Mu Us Desert from 2000 to 2019. Water Sci. Technol. 2023, 88, 430–442. [Google Scholar] [CrossRef]
- Fan, X.L.; Qu, Y.; Zhang, J.; Bai, E. China’s Vegetation Restoration Programs Accelerated Vegetation Greening on the Loess Plateau. Agric. For. Meteorol. 2024, 350, 109994. [Google Scholar] [CrossRef]
- Su, J.X.; Fan, L.X.; Yuan, Z.L.; Wang, Z.; Wang, Z.J. Quantifying the Drought Sensitivity of Grassland under Different Climate Zones in Northwest China. Sci. Total Environ. 2024, 910, 168688. [Google Scholar] [CrossRef]
- Wan, L.L.; Bento, V.A.; Qu, Y.P.; Qiu, J.X.; Song, H.Q.; Zhang, R.R.; Wu, X.P.; Xu, F.; Lu, J.K.; Wang, Q.F. Drought Characteristics and Dominant Factors across China: Insights from High-Resolution Daily SPEI Dataset between 1979 and 2018. Sci. Total Environ. 2023, 901, 166362. [Google Scholar] [CrossRef] [PubMed]
- Peng, J.; Wu, C.Y.; Zhang, X.Y.; Wang, X.Y.; Gonsamo, A. Satellite Detection of Cumulative and Lagged Effects of Drought on Autumn Leaf Senescence over the Northern Hemisphere. Glob. Chang. Biol. 2019, 25, 2174–2188. [Google Scholar] [CrossRef]
- Gu, X.L.; Guo, E.L.; Yin, S.; Wang, Y.F.; Mandula, N.; Wan, Z.Q.; Yun, X.J.; Li, H.; Bao, Y.H. Differentiating Cumulative and Lagged Effects of Drought on Vegetation Growth over the Mongolian Plateau. Ecosphere 2022, 13, e4289. [Google Scholar] [CrossRef]
- Li, C.L.; Leal Filho, W.; Yin, J.; Hu, R.C.; Wang, J.; Yang, C.S.; Yin, S.; Bao, Y.H.; Ayal, D.Y. Assessing Vegetation Response to Multi-Time-Scale Drought across Inner Mongolia Plateau. J. Clean Prod. 2018, 179, 210–216. [Google Scholar] [CrossRef]
- Yuan, B.; Guo, S.C.; Zhang, X.G.; Mu, H.W.; Cao, S.P.; Xia, Z.L.; Pan, X.Q.; Du, P.J. Quantifying the Drought Sensitivity of Vegetation Types in Northern China from 1982 to 2022. Agric. For. Meteorol. 2024, 359, 110293. [Google Scholar] [CrossRef]
- Li, N.; Na, R.S.; Bao, Y.B.; Zhang, J.Q. Time-lagged Correlation Between Soil Moisture and Intra-annual Dynamics of Vegetation on the Mongolian Plateau. Remote Sens. 2021, 13, 1527. [Google Scholar] [CrossRef]
- Wang, S.A.; Xing, X.G.; Wu, Y.J.; Guo, J.Y.; Li, M.Y.; Fu, B. Seasonal Response of the NDVI to the SPEI at Different Time Scales in Yinshanbeilu, Inner Mongolia, China. Land 2024, 13, 523. [Google Scholar] [CrossRef]
- Zhao, W.K.; Jing, C.Q. Response of the Natural Grassland Vegetation Change to Meteorological Drought in Xinjiang from 1982 to 2015. Front. Environ. Sci. 2022, 10, 1047818. [Google Scholar] [CrossRef]
- Fan, J.J.; Wei, S.B.; Liu, G.P.; Zhou, X.; Li, Y.Y.; Wu, C.Y.; Xu, F.F. Response Time of Vegetation to Drought in Weihe River Basin, China. Atmosphere 2023, 14, 938. [Google Scholar] [CrossRef]
- Zhan, C.; Liang, C.; Zhao, L.; Jiang, S.Z.; Niu, K.J.; Zhang, Y.L. Drought-Related Cumulative and Time-Lag Effects on Vegetation Dynamics across the Yellow River Basin, China. Ecol. Indic. 2022, 143, 109409. [Google Scholar] [CrossRef]
- Deng, X.-P.; Shan, L.; Zhang, H.; Turner, N.C. Improving Agricultural Water Use Efficiency in Arid and Semiarid Areas of China. Agric. Water Manag. 2006, 80, 23–40. [Google Scholar] [CrossRef]
- Anderegg, W.R.L.; Kane, J.M.; Anderegg, L.D.L. Consequences of Widespread Tree Mortality Triggered by Drought and Temperature Stress. Nat. Clim. Chang. 2013, 3, 30–36. [Google Scholar] [CrossRef]
- Davidson, E.A.; Verchot, L.V.; Henrique, J.; Ackerman, I.L.; Carvalho, J.E.M. Effects of Soil Water Content on Soil Respiration in Forests and Cattle Pastures of Eastern Amazonia. Biogeochemistry 2000, 48, 53–69. [Google Scholar] [CrossRef]
- Ruppert, J.C.; Harmoney, K.; Henkin, Z.; Snyman, H.A.; Sternberg, M.; Willms, W.; Linstädter, A. Quantifying Drylands’ Drought Resistance and Recovery: The Importance of Drought Intensity, Dominant Life History and Grazing Regime. Glob. Chang. Biol. 2015, 21, 1258–1270. [Google Scholar] [CrossRef]
- Brunner, I.; Herzog, C.; Dawes, M.A.; Arend, M.; Sperisen, C. How Tree Roots Respond to Drought. Front. Plant Sci. 2015, 6, 547. [Google Scholar] [CrossRef]
- Yue, Y.F.; Zhao, W.Z.; Liu, R.T. Relationships Between Vegetation Indices and Surface Reflectance: Implications for Detecting and Monitoring Sandification in Arid Regions. Ecol. Indic. 2025, 176, 113640. [Google Scholar] [CrossRef]
- Deng, K.X.; Henderson, M.; Liu, B.H.; Huang, W.W.; Chen, M.Y.; Zheng, P.P.; Gu, R.T. Cumulative and Lagged Effects of Drought on the Phenology of Different Vegetation Types in East Asia, 2001–2020. Remote Sens. 2025, 17, 2700. [Google Scholar] [CrossRef]
- Xu, H.; Shi, X.M.; Cheng, J.X.; Li, M. Sensitivity and Vulnerability of Vegetation to Meteorological Drought in Yunnan Province, Southwest China. J. Environ. Manag. 2025, 382, 125444. [Google Scholar] [CrossRef] [PubMed]
- Kerkhoff, A.J.; Martens, S.N.; Milne, B.T. An Ecological Evaluation of Eagleson’s Optimality Hypotheses. Funct. Ecol. 2004, 18, 404–413. [Google Scholar] [CrossRef]
- Liu, W.L.; Liu, L.A. Analysis of Dry/Wet Variations in the Poyang Lake Basin Using Standardized Precipitation Evapotranspiration Index Based on Two Potential Evapotranspiration Algorithms. Water 2019, 11, 1380. [Google Scholar] [CrossRef]
- He, T.; Dai, X.A.; Li, W.Y.; Zhou, J.Y.; Zhang, J.J.; Li, C.; Dai, T.R.; Li, W.L.; Lu, H.; Ye, Y.K.; et al. Response of Net Primary Productivity of Vegetation to Drought: A Case Study of Qinba Mountainous Area, China (2001–2018). Ecol. Indic. 2023, 149, 110148. [Google Scholar] [CrossRef]














| Station Number | Number (Figure 1a) | Station Name | Longitude (°) | Latitude (°) | Elevation (m) |
|---|---|---|---|---|---|
| 53529 | 1 | Otog Banner | 107.58 | 39.05 | 1381.4 |
| 53543 | 2 | Dongsheng | 109.59 | 39.5 | 1461.9 |
| 53545 | 3 | Ejin Hore Banner | 109.43 | 39.34 | 1367.0 |
| 53646 | 4 | Yulin | 109.47 | 38.16 | 1157.0 |
| 53651 | 5 | Shenmu | 110.28 | 38.49 | 941.1 |
| 53723 | 6 | Yanchi | 107.23 | 37.28 | 1349.3 |
| 53725 | 7 | Dingbian | 107.35 | 37.35 | 1360.3 |
| 53735 | 8 | Jingbian | 108.48 | 37.37 | 1336.7 |
| 53740 | 9 | Hengshan | 109.14 | 37.56 | 1111.0 |
| Land Covertype | Area | I | II | III | IV | V |
|---|---|---|---|---|---|---|
| Cultivated land | 2700 | 0 | 0.17 | 2.77 | 3.51 | 0.46 |
| Forestland | 800 | 0 | 0.11 | 1.12 | 0.47 | 0.01 |
| Grassland | 17,100 | 0.04 | 11.81 | 28.25 | 4.21 | 0.11 |
| Sand land | 12,600 | 0.13 | 18.24 | 12.98 | 1.28 | 0.04 |
| Other | 5200 | 0.40 | 4.3 | 7.49 | 1.95 | 0.14 |
| Subtotal | - | 0.57 | 34.63 | 52.61 | 11.42 | 0.76 |
| FVC Change Category | Change Intensity | Growing Season | Spring | Summer | Autumn |
|---|---|---|---|---|---|
| Improvement | Significant improvement | 88 | 73.9 | 80.3 | 85.3 |
| Slight improvement | 9.3 | 20.9 | 15.9 | 11.8 | |
| unaffected | No change | 1.7 | 3.5 | 1.8 | 1.8 |
| Degradation | Significant degradation | 0.7 | 1.4 | 1.7 | 0.9 |
| Slight degradation | 0.3 | 0.3 | 0.3 | 0.2 |
| Season | Significance Level | |||
|---|---|---|---|---|
| <0 | 0–0.379 | 0.379–0.515 | >0.515 | |
| Growing season | 0.4 | 33.3 | 26.6 | 39.7 |
| Spring | 1.5 | 48.4 | 29 | 21.1 |
| Summer | 5.9 | 43.6 | 19.4 | 31.1 |
| Autumn | 19.9 | 65.6 | 10.4 | 4.1 |
| Season | Timescale | ||||
|---|---|---|---|---|---|
| SPEI1 | SPEI3 | SPEI6 | SPEI9 | SPEI12 | |
| Growing season | 49.9 | 11.4 | 8.0 | 11.0 | 19.7 |
| Spring | 39.6 | 14.9 | 6.8 | 9.8 | 28.9 |
| Summer | 45.9 | 10.1 | 7.4 | 11.0 | 25.6 |
| Autumn | 72.4 | 8.9 | 1.8 | 1.8 | 15.1 |
| Land Covertype | I | II | III | IV | V | |||||
|---|---|---|---|---|---|---|---|---|---|---|
| MAD | IQR | MAD | IQR | MAD | IQR | MAD | IQR | MAD | IQR | |
| Cultivated land | - | - | 0.19 | 0.26 | 0.18 | 0.24 | 0.14 | 0.20 | 0.13 | 0.18 |
| Forestland | - | - | 0.2 | 0.28 | 0.19 | 0.16 | 0.14 | 0.21 | 0.13 | 0.18 |
| Grassland | 0.15 | 0.19 | 0.2 | 0.26 | 0.18 | 0.24 | 0.15 | 0.19 | 0.11 | 0.15 |
| Sand land | 0.2 | 0.24 | 0.19 | 0.24 | 0.17 | 0.25 | 0.17 | 0.2 | 0.14 | 0.16 |
Disclaimer/Publisher’s Note: The statements, opinions and data contained in all publications are solely those of the individual author(s) and contributor(s) and not of MDPI and/or the editor(s). MDPI and/or the editor(s) disclaim responsibility for any injury to people or property resulting from any ideas, methods, instructions or products referred to in the content. |
© 2025 by the authors. Licensee MDPI, Basel, Switzerland. This article is an open access article distributed under the terms and conditions of the Creative Commons Attribution (CC BY) license (https://creativecommons.org/licenses/by/4.0/).
Share and Cite
Miao, L.; Zhang, C.; Wu, B.; Meng, F.; Bourque, C.P.-A.; Zhang, X.; Feng, S.; He, S. Areas with High Fractional Vegetation Cover in the Mu Us Desert (China) Are More Susceptible to Drought. Land 2025, 14, 1932. https://doi.org/10.3390/land14101932
Miao L, Zhang C, Wu B, Meng F, Bourque CP-A, Zhang X, Feng S, He S. Areas with High Fractional Vegetation Cover in the Mu Us Desert (China) Are More Susceptible to Drought. Land. 2025; 14(10):1932. https://doi.org/10.3390/land14101932
Chicago/Turabian StyleMiao, Lin, Chengfu Zhang, Bo Wu, Fanrui Meng, Charles P.-A. Bourque, Xinlei Zhang, Shuang Feng, and Shuai He. 2025. "Areas with High Fractional Vegetation Cover in the Mu Us Desert (China) Are More Susceptible to Drought" Land 14, no. 10: 1932. https://doi.org/10.3390/land14101932
APA StyleMiao, L., Zhang, C., Wu, B., Meng, F., Bourque, C. P.-A., Zhang, X., Feng, S., & He, S. (2025). Areas with High Fractional Vegetation Cover in the Mu Us Desert (China) Are More Susceptible to Drought. Land, 14(10), 1932. https://doi.org/10.3390/land14101932

