Domestic Regional Synergy in Achieving National Climate Goals—The Role of Comparative Advantage in Emission Reduction
Abstract
:1. Introduction
- (1)
- What type of regional synergistic emission reduction meets the phased climate-change mitigation targets for different regions within a country?
- (2)
- Considering the cross-regional impacts of emission reduction actions caused by regional economic interdependence, how can the comparative advantages of emission reduction among regions be utilized to achieve effective regional synergistic emission reduction while maintaining economic growth?
- (3)
- What factors influence the formation of comparative advantages in emission reduction among regions? What insights do these factors provide for policies that promote synergistic regional emission reduction?
2. Model Construction
2.1. Assumptions of the Regional Synergistic Emission Reduction Game Model
2.1.1. Strategy and Payoff
2.1.2. Comparative Advantage in Regional Synergistic Emission Reduction
2.2. Impact of Emission Reduction on Economic Growth in Payoff
2.2.1. Emissions and Economic Growth in General Spatial Equilibrium Models
2.2.2. Production of Intermediate Goods with Emissions as a Byproduct
2.2.3. Prices of Final Goods, Trade Share, and Transfer Payment
2.2.4. Changes in Regional GDP
2.3. Emission Damage in Payoff
2.4. Data
2.4.1. Numerical Settings of the Payoff Matrix
2.4.2. Parameter Settings
3. Results
3.1. Nash Equilibrium of Regional Synergistic Emission Reduction
3.1.1. Equilibrium Results in the Basic Synergistic Form
3.1.2. Equilibrium Results Considering the Comparative Advantage of Emission Reduction
3.2. Factors Influencing the Comparative Advantage of Emission Reduction in Regional Synergy
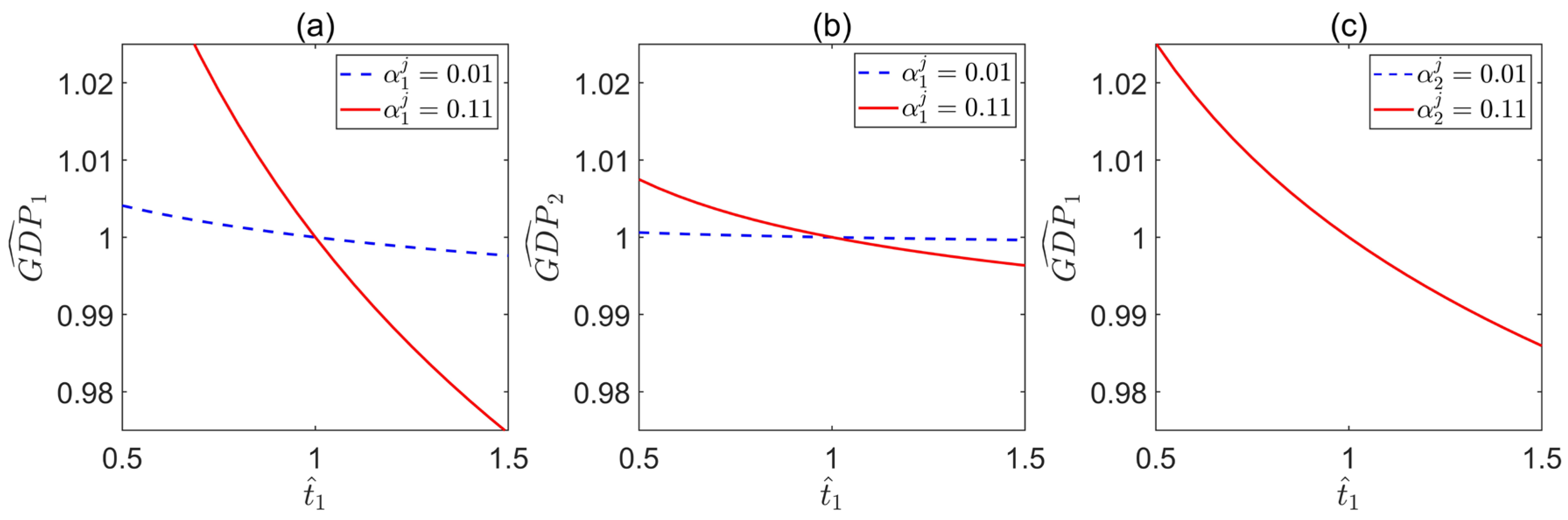
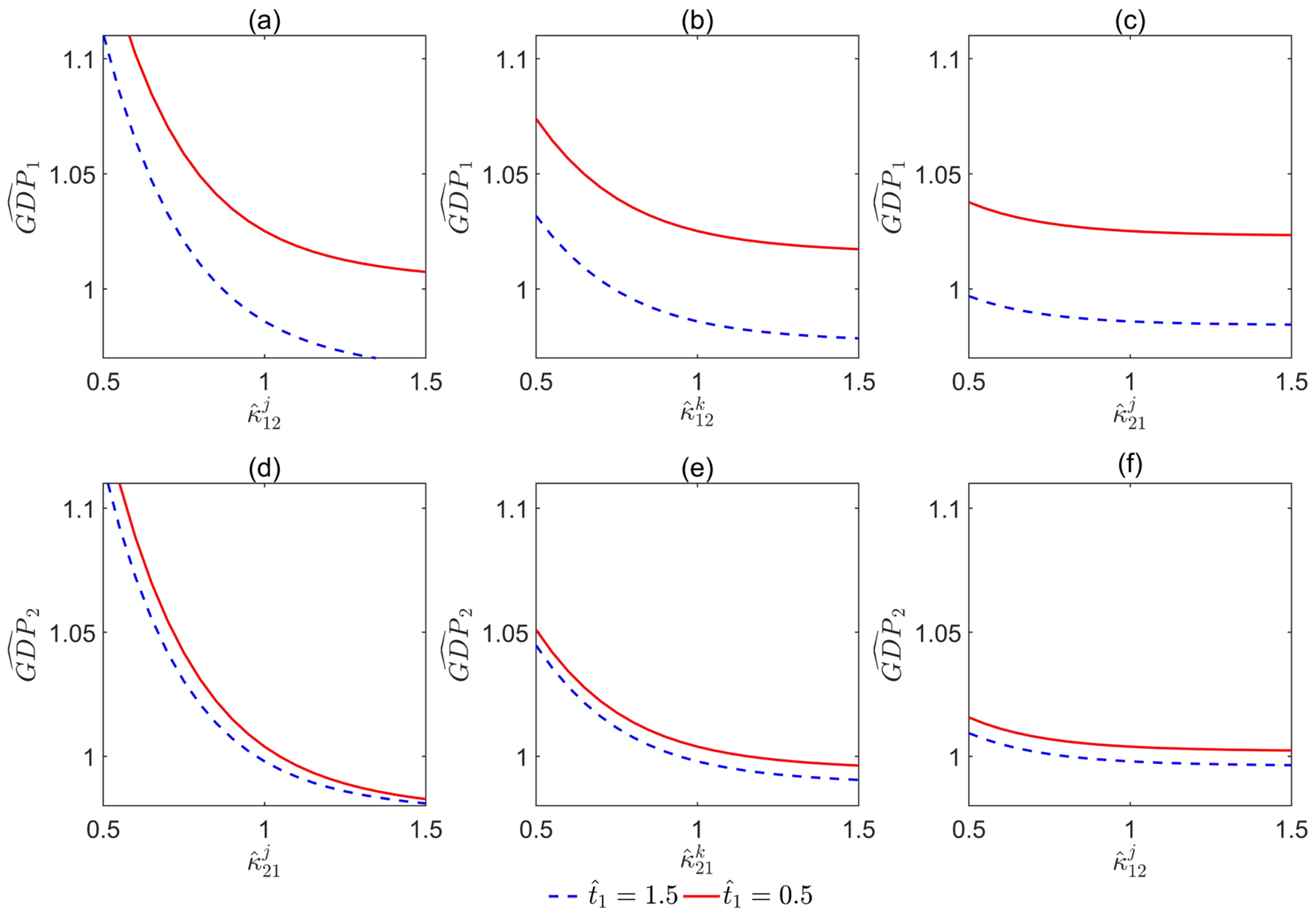
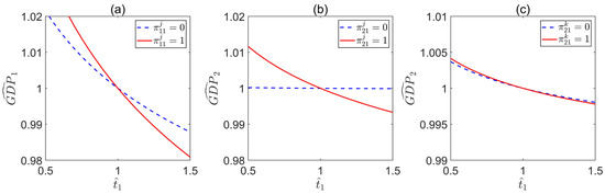
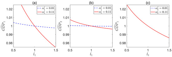
3.2.1. Emission Elasticities
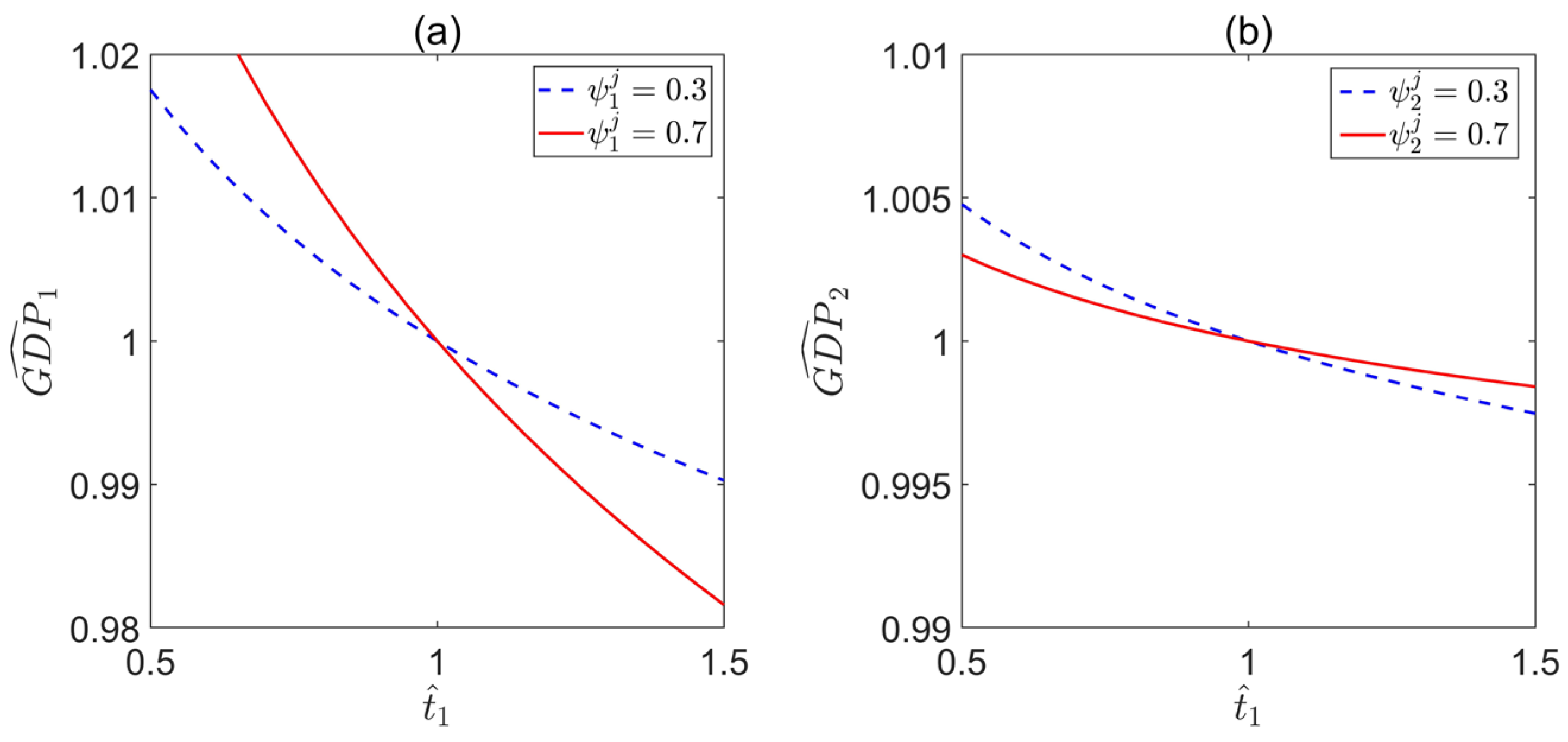
3.2.2. Sectoral Structures
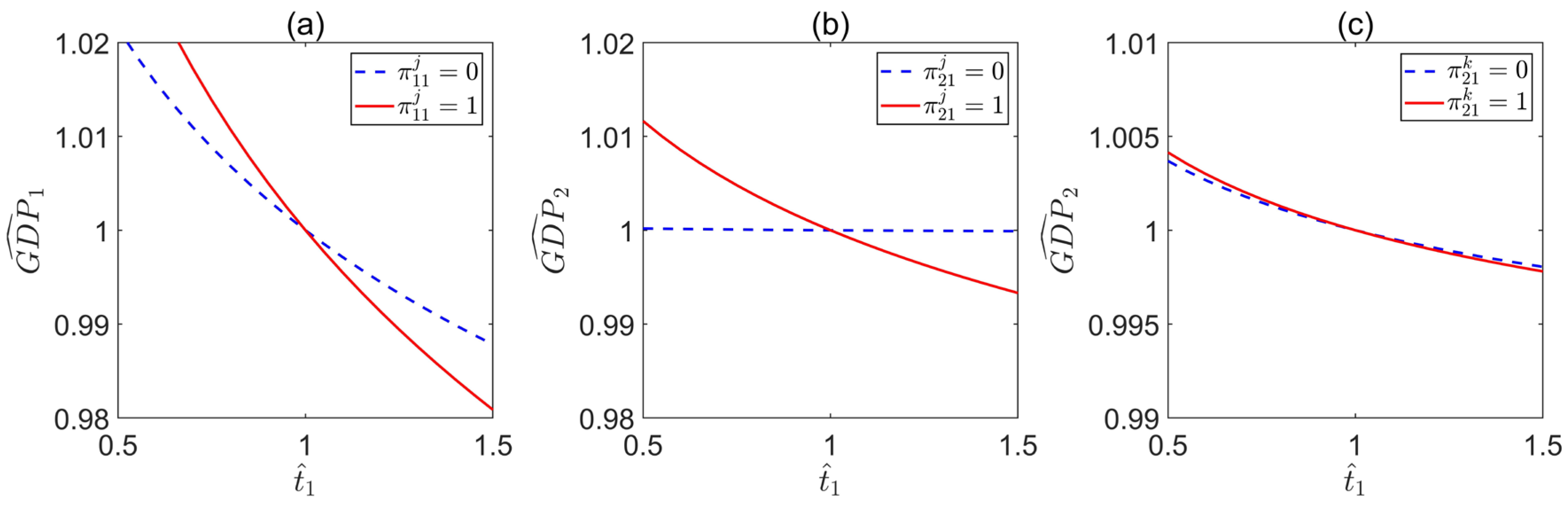
3.2.3. Trade Shares
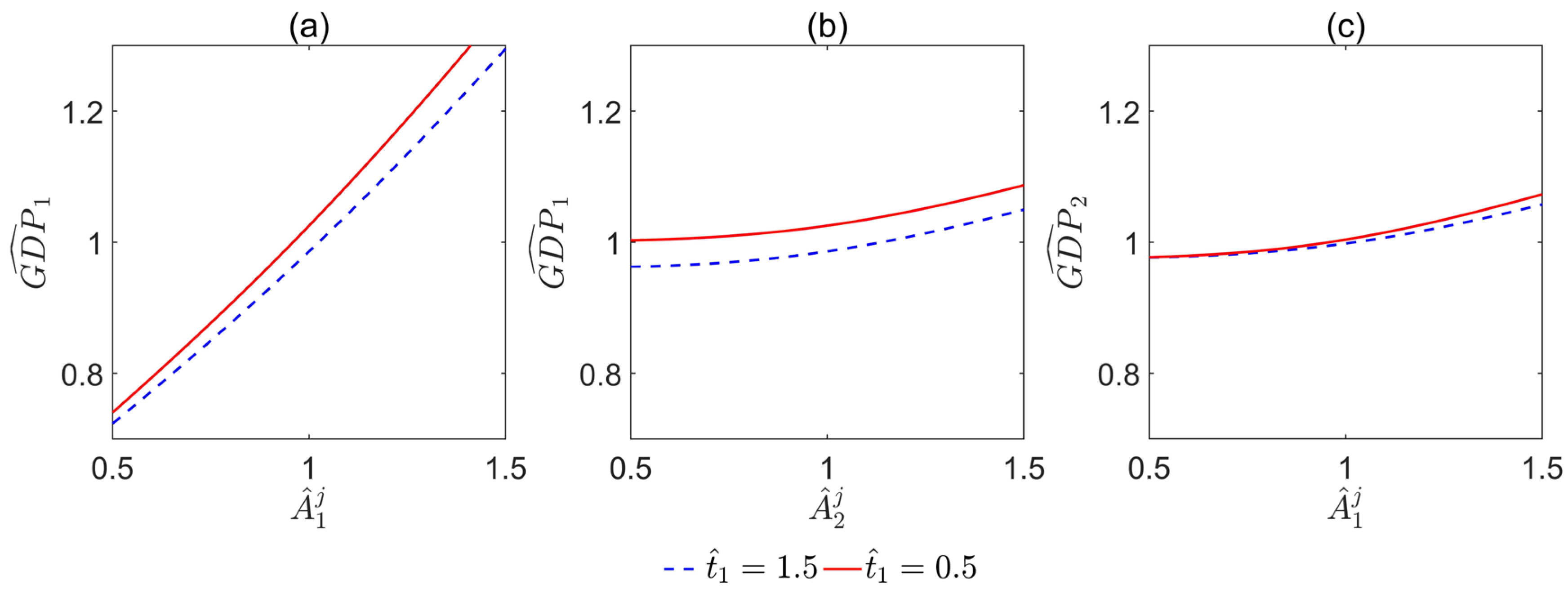
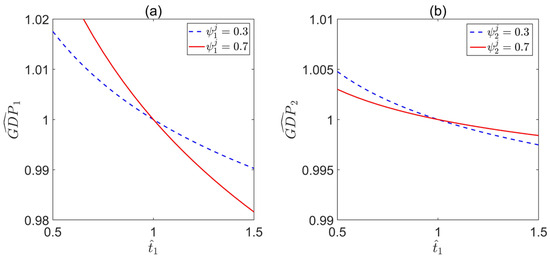
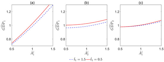
3.2.4. Green Total Factor Productivity
3.2.5. Trade Costs
4. Discussion
4.1. Discussion of the Case of China
4.2. Further Discussion of the Findings
5. Conclusions
Supplementary Materials
Author Contributions
Funding
Data Availability Statement
Conflicts of Interest
Appendix A
| Region 2 | |||||||||
| Synergistic Action (SA) | Unilateral Action (UA) | ||||||||
| Region 1 | Synergistic Action (SA) | 0.04, 0.04 * | 0.02, 0.03 | ||||||
| Unilateral Action (UA) | 0.03, 0.02 | 0.01, 0.01 | |||||||
| Region 1 | Region 2 | Region 1 | Region 2 | Region 1 | Region 2 | ||||
| SA, SA | 0.8 | 0.8 | 0.96 | 0.96 | 1 | 1 | |||
| SA, UA | 0.8 | 1 | 0.97 | 0.97 | 0.99 | 1 | |||
| UA, SA | 1 | 0.8 | 0.97 | 0.97 | 1 | 0.99 | |||
| UA, UA | 1 | 1 | 0.99 | 0.99 | 1 | 1 | |||
| Region 2 | |||||||||
| SA | UA | ||||||||
| Region 1 | SA | 0.03, 0.03 | 0.01, 0.04 | ||||||
| UA | 0.04, 0.01 | 0.02, 0.02 * | |||||||
| Region 1 | Region 2 | Region 1 | Region 2 | Region 1 | Region 2 | ||||
| SA, SA | 0.8 | 0.8 | 0.96 | 0.96 | 0.99 | 0.99 | |||
| SA, UA | 0.8 | 1 | 0.97 | 0.97 | 0.98 | 1.01 | |||
| UA, SA | 1 | 0.8 | 0.97 | 0.97 | 1.01 | 0.98 | |||
| UA, UA | 1 | 1 | 0.98 | 0.98 | 1 | 1 | |||
| Region 2 | |||||||||
| SA | UA | ||||||||
| Region 1 | SA | 0.04, 0.04 * | 0.01, 0.03 | ||||||
| UA | 0.03, 0.01 | 0.02, 0.02 * | |||||||
| Region 1 | Region 2 | Region 1 | Region 2 | Region 1 | Region 2 | ||||
| SA, SA | 0.8 | 0.8 | 0.96 | 0.96 | 1 | 1 | |||
| SA, UA | 0.8 | 1 | 0.97 | 0.97 | 0.98 | 1 | |||
| UA, SA | 1 | 0.8 | 0.97 | 0.97 | 1 | 0.98 | |||
| UA, UA | 1 | 1 | 0.99 | 0.99 | 1.01 | 1.01 | |||
| Region 2 | |||||||||
| SA | UA | ||||||||
| Region 1 | SA | 0.03, 0.03 | 0.02, 0.04 * | ||||||
| UA | 0.04, 0.02 * | 0.01, 0.01 | |||||||
| Region 1 | Region 2 | Region 1 | Region 2 | Region 1 | Region 2 | ||||
| SA, SA | 0.8 | 0.8 | 0.96 | 0.96 | 0.98 | 0.98 | |||
| SA, UA | 0.8 | 1 | 0.97 | 0.97 | 0.99 | 1.01 | |||
| UA, SA | 1 | 0.8 | 0.97 | 0.97 | 1.01 | 0.99 | |||
| UA, UA | 1 | 1 | 0.99 | 0.99 | 1 | 1 | |||
| Region 2 | |||||||||
| SA | UA | ||||||||
| Region 1 | SA | 0.03, 0.03 | 0.02, 0.04 * | ||||||
| UA | 0.04, 0.01 | 0.01, 0.02 | |||||||
| Region 1 | Region 2 | Region 1 | Region 2 | Region 1 | Region 2 | ||||
| SA, SA | 0.8 | 0.8 | 0.96 | 0.96 | 0.99 | 0.99 | |||
| SA, UA | 0.8 | 1 | 0.97 | 0.97 | 0.99 | 1.01 | |||
| UA, SA | 1 | 0.8 | 0.97 | 0.97 | 1.01 | 0.98 | |||
| UA, UA | 1 | 1 | 0.99 | 0.99 | 1 | 1.01 | |||
| Region 2 | |||||||||
| SA | UA | ||||||||
| Region 1 | SA | 0.04, 0.04 * | 0.02, 0.03 | ||||||
| UA | 0.03, 0.02 | 0.01, 0.01 | |||||||
| Region 1 | Region 2 | Region 1 | Region 2 | Region 1 | Region 2 | ||||
| SA, SA | 0.7 | 1.1 | 0.97 | 0.97 | 1.01 | 1.01 | |||
| SA, UA | 0.9 | 1 | 0.98 | 0.98 | 1 | 1.01 | |||
| UA, SA | 1 | 1.1 | 1 | 1 | 1.03 | 1.02 | |||
| UA, UA | 1 | 1 | 0.99 | 0.99 | 1 | 1 | |||
| Region 2 | |||||||||
| SA | UA | ||||||||
| Region 1 | SA | 0.03, 0.03 | 0.01, 0.04 | ||||||
| UA | 0.04, 0.01 | 0.02, 0.02 * | |||||||
| Region 1 | Region 2 | Region 1 | Region 2 | Region 1 | Region 2 | ||||
| SA, SA | 0.7 | 1.1 | 0.97 | 0.97 | 1 | 1 | |||
| SA, UA | 0.9 | 1 | 0.98 | 0.98 | 0.99 | 1.02 | |||
| UA, SA | 1 | 1.1 | 1 | 1 | 1.04 | 1.01 | |||
| UA, UA | 1 | 1 | 0.99 | 0.99 | 1.01 | 1.01 | |||
| Region 2 | |||||||||
| SA | UA | ||||||||
| Region 1 | SA | 0.04, 0.04 * | 0.01, 0.03 | ||||||
| UA | 0.03, 0.01 | 0.02, 0.02 * | |||||||
| Region 1 | Region 2 | Region 1 | Region 2 | Region 1 | Region 2 | ||||
| SA, SA | 0.7 | 1.1 | 0.97 | 0.97 | 1.01 | 1.01 | |||
| SA, UA | 0.9 | 1 | 0.98 | 0.98 | 0.99 | 1.01 | |||
| UA, SA | 1 | 1.1 | 1 | 1 | 1.03 | 1.02 | |||
| UA, UA | 1 | 1 | 0.99 | 0.99 | 1.01 | 1.01 | |||
| Region 2 | |||||||||
| SA | UA | ||||||||
| Region 1 | SA | 0.03, 0.03 | 0.02, 0.04 * | ||||||
| UA | 0.04, 0.02 * | 0.01, 0.01 | |||||||
| Region 1 | Region 2 | Region 1 | Region 2 | Region 1 | Region 2 | ||||
| SA, SA | 0.7 | 1.1 | 0.97 | 0.97 | 1 | 1 | |||
| SA, UA | 0.9 | 1 | 0.98 | 0.98 | 1 | 1.02 | |||
| UA, SA | 1 | 1.1 | 1 | 1 | 1.04 | 1.02 | |||
| UA, UA | 1 | 1 | 0.99 | 0.99 | 1 | 1 | |||
| Region 2 | |||||||||
| SA | UA | ||||||||
| Region 1 | SA | 0.03, 0.03 | 0.02, 0.04 * | ||||||
| UA | 0.04, 0.01 | 0.01, 0.02 | |||||||
| Region 1 | Region 2 | Region 1 | Region 2 | Region 1 | Region 2 | ||||
| SA, SA | 0.7 | 1.1 | 0.97 | 0.97 | 1 | 1 | |||
| SA, UA | 0.9 | 1 | 0.98 | 0.98 | 1 | 1.02 | |||
| UA, SA | 1 | 1.1 | 1 | 1 | 1.04 | 1.01 | |||
| UA, UA | 1 | 1 | 0.99 | 0.99 | 1 | 1.01 | |||
References
- Wang, X.; Chen, Y.; Chen, J.; Mao, B.; Peng, L.; Yu, A. China’s CO2 regional synergistic emission reduction: Killing two birds with one stone? Energy Policy 2022, 168, 113149. [Google Scholar] [CrossRef]
- Zheng, J.; Mi, Z.; Coffman, D.M.; Milcheva, S.; Shan, Y.; Guan, D.; Wang, S. Regional development and carbon emissions in China. Energy Econ. 2019, 81, 25–36. [Google Scholar] [CrossRef]
- Auffhammer, M.; Carson, R.T. Forecasting the path of China’s CO2 emissions using province-level information. J. Environ. Econ. Manag. 2008, 55, 229–247. [Google Scholar] [CrossRef]
- Dong, K.; Hochman, G.; Zhang, Y.; Sun, R.; Li, H.; Liao, H. CO2 emissions, economic and population growth, and renewable energy: Empirical evidence across regions. Energy Econ. 2018, 75, 180–192. [Google Scholar] [CrossRef]
- Wang, S.; Zeng, J.; Liu, X. Examining the multiple impacts of technological progress on CO2 emissions in China: A panel quantile regression approach. Renew. Sustain. Energy Rev. 2019, 103, 140–150. [Google Scholar] [CrossRef]
- Mi, Z.; Sun, X. Provinces with transitions in industrial structure and energy mix performed best in climate change mitigation in China. Commun. Earth Environ. 2021, 2, 1–12. [Google Scholar] [CrossRef]
- Zhou, D.; Zhou, X.; Xu, Q.; Wu, F.; Wang, Q.; Zha, D. Regional embodied carbon emissions and their transfer characteristics in China. Struct. Change Econ. Dyn. 2018, 46, 180–193. [Google Scholar] [CrossRef]
- Wu, S. A systematic review of climate policies in China: Evolution, effectiveness, and challenges. Environ. Impact Assess. Rev. 2023, 99, 107030. [Google Scholar] [CrossRef]
- Lin, B.; Jia, Z. What will China’s carbon emission trading market affect with only electricity sector involvement? A CGE based study. Energy Econ. 2019, 78, 301–311. [Google Scholar] [CrossRef]
- Stavins, R.; Zou, J.; Brewer, T.; Conte Grand, M.; den Elzen, M.; Finus, M.; Gupta, J.; Höhne, N.; Lee, M.K.; Michaelowa, A.; et al. International cooperation: Agreements and instruments. Clim. Change 2014, 7, 1001–1082. [Google Scholar]
- Mehling, M.A.; Metcalf, G.E.; Stavins, R.N. Linking climate policies to advance global mitigation. Science 2018, 359, 997–998. [Google Scholar] [CrossRef] [PubMed]
- Akimoto, K.; Sano, F.; Tehrani, B.S. The analyses on the economic costs for achieving the nationally determined contributions and the expected global emission pathways. Evol. Inst. Econ. Rev. 2017, 14, 193–206. [Google Scholar] [CrossRef]
- Fujimori, S.; Kubota, I.; Dai, H.; Takahashi, K.; Hasegawa, T.; Liu, J.; Hijioka, Y.; Masui, T.; Takimi, M. Will international emissions trading help achieve the objectives of the Paris Agreement? Environ. Res. Lett. 2016, 11, 104001. [Google Scholar] [CrossRef]
- Thube, S.D.; Delzeit, R.; Henning, C.H.C.A. Economic gains from global cooperation in fulfilling climate pledges. Energy Policy 2022, 160, 112673. [Google Scholar] [CrossRef]
- Barrett, S. Rethinking climate change governance and its relationship to the world trading system. World Econ. 2011, 34, 1863–1882. [Google Scholar] [CrossRef]
- Hagen, A.; Schneider, J. Small climate clubs should not use trade sanctions. Energy Res. Soc. Sci. 2022, 92, 102777. [Google Scholar] [CrossRef]
- Nordhaus, W. Dynamic climate clubs: On the effectiveness of incentives in global climate agreements. Proc. Natl. Acad. Sci. USA 2021, 118, e2109988118. [Google Scholar] [CrossRef]
- Sun, X.; Wang, W.; Pang, J.; Liu, X.; Zhang, M. Study on the evolutionary game of central government and local governments under central environmental supervision system. J. Clean. Prod. 2021, 296, 126574. [Google Scholar] [CrossRef]
- Wang, M.; Feng, C. The consequences of industrial restructuring, regional balanced development, and market-oriented reform for China’s carbon dioxide emissions: A multi-tier meta-frontier DEA-based decomposition analysis. Technol. Forecast. Soc. Change 2021, 164, 120507. [Google Scholar] [CrossRef]
- Li, B.; Wu, S. Effects of local and civil environmental regulation on green total factor productivity in China: A spatial Durbin econometric analysis. J. Clean. Prod. 2017, 153, 342–353. [Google Scholar] [CrossRef]
- Finus, M. Game theoretic research on the design of international environmental agreements: Insights, critical remarks, and future challenges. Int. Rev. Environ. Resour. Econ. 2008, 2, 29–67. [Google Scholar] [CrossRef]
- Heitzig, J.; Lessmann, K.; Zou, Y. Self-enforcing strategies to deter free-riding in the climate change mitigation game and other repeated public good games. Proc. Natl. Acad. Sci. USA 2011, 108, 15739–15744. [Google Scholar] [CrossRef] [PubMed]
- Decanio, S.J.; Fremstad, A. Game theory and climate diplomacy. Ecol. Econ. 2013, 85, 177–187. [Google Scholar] [CrossRef]
- Carrozzo Magli, A.C.; Manfredi, P. Coordination games vs prisoner’s dilemma in sustainability games: A critique of recent contributions and a discussion of policy implications. Ecol. Econ. 2022, 192, 107268. [Google Scholar] [CrossRef]
- Smead, R.; Sandler, R.L.; Forber, P.; Basl, J. A bargaining game analysis of international climate negotiations. Nat. Clim. Change 2014, 4, 442–445. [Google Scholar] [CrossRef]
- Verendel, V.; Johansson, D.J.A.; Lindgren, K. Strategic reasoning and bargaining in catastrophic climate change games. Nat. Clim. Change 2016, 6, 265–268. [Google Scholar] [CrossRef]
- Heitzig, J.; Kornek, U. Bottom-up linking of carbon markets under far-sighted cap coordination and reversibility. Nat. Clim. Change 2018, 8, 204–209. [Google Scholar] [CrossRef]
- Kováč, E.; Schmidt, R.C. A simple dynamic climate cooperation model. J. Public. Econ. 2021, 194, 104329. [Google Scholar] [CrossRef]
- Xiao, L.; Chen, Y.; Wang, C.; Wang, J. Transboundary pollution control in asymmetric countries: Do assistant investments help? Environ. Sci. Pollut. Res. Int. 2022, 29, 8323–8333. [Google Scholar] [CrossRef]
- Da Zhu, J. Cooperative equilibrium of the China-US–EU climate game. Energy Strategy Rev. 2022, 39, 100797. [Google Scholar] [CrossRef]
- Molina, C.; Akçay, E.; Dieckmann, U.; Levin, S.A.; Rovenskaya, E.A. Combating climate change with matching-commitment agreements. Sci. Rep. 2020, 10, 10251. [Google Scholar] [CrossRef]
- Madani, K. Modeling international climate change negotiations more responsibly: Can highly simplified game theory models provide reliable policy insights? Ecol. Econ. 2013, 90, 68–76. [Google Scholar] [CrossRef]
- Helm, D.; Hepburn, C.; Ruta, G. Trade, climate change, and the political game theory of border carbon adjustments. Oxf. Rev. Econ. Policy 2012, 28, 368–394. [Google Scholar] [CrossRef]
- Kuhn, T.; Pestow, R.; Zenker, A. Building climate coalitions on preferential free trade agreements. Environ. Resour. Econ. 2019, 74, 539–569. [Google Scholar] [CrossRef]
- Lessmann, K.; Marschinski, R.; Edenhofer, O. The effects of tariffs on coalition formation in a dynamic global warming game. Econ. Modell. 2009, 26, 641–649. [Google Scholar] [CrossRef]
- Caliendo, L.; Parro, F.; Rossi-Hansberg, E.; Sarte, P. The impact of regional and sectoral productivity changes on the U.S. economy. Rev. Econ. Stud. 2018, 85, 2042–2096. [Google Scholar] [CrossRef]
- Duan, Y.; Ji, T.; Lu, Y.; Wang, S. Environmental regulations and international trade: A quantitative economic analysis of world pollution emissions. J. Public. Econ. 2021, 203, 104521. [Google Scholar] [CrossRef]
- Shapiro, J.S.; Walker, R. Why is pollution from US manufacturing declining? The roles of environmental regulation, productivity, and trade. Am. Econ. Rev. 2018, 108, 3814–3854. [Google Scholar] [CrossRef]
- Van Vuuren, D.P.; Stehfest, E.; Gernaat, D.E.H.J.; van den Berg, M.; Bijl, D.L.; de Boer, H.S.; Daioglou, V.; Doelman, J.C.; Edelenbosch, O.Y.; Harmsen, M.; et al. Alternative pathways to the 1.5 °C target reduce the need for negative emission technologies. Nat. Clim. Change 2018, 8, 391–397. [Google Scholar] [CrossRef]
- Dinda, S. Environmental Kuznets Curve Hypothesis: A Survey. Ecol. Econ. 2004, 49, 431–455. [Google Scholar] [CrossRef]
- Copeland, B.R.; Taylor, M.S. Trade and the Environment: Theory and Evidence; Princeton University Press: Princeton, NJ, USA, 2003. [Google Scholar]
- Wang, C.; Cong, J.; Wang, K.; Qi, Y.; Cai, W.; Li, Y.; Fu, S.; Wang, W.; Wei, Y.; Zheng, X.; et al. Research on China’s technology lists for addressing climate change. Chin. J. Popul. Resour. Environ. 2021, 19, 151–161. [Google Scholar] [CrossRef]
- Giri, R.; Yi, K.M.; Yilmazkuday, H. Gains from trade: Does sectoral heterogeneity matter? J. Int. Econ. 2021, 129, 103429. [Google Scholar] [CrossRef]
- The State Council of the People’s Republic of China. Opinions of the Central Committee of the Communist Party of China and the State Council on Completely, Accurately, and Comprehensively Implementing the New Development Concept and Doing a Good Job of Carbon Peak and Carbon Neutrality. 2021. Available online: https://www.gov.cn/zhengce/2021-10/24/content_5644613.htm (accessed on 1 July 2023).
- Shi, Q.; Zheng, B.; Zheng, Y.; Tong, D.; Liu, Y.; Ma, H.; Hong, C.; Geng, G.; Guan, D.; He, K.; et al. Co-benefits of CO2 emission reduction from China’s clean air actions between 2013–2020. Nat. Commun. 2022, 13, 5061. [Google Scholar] [CrossRef] [PubMed]
- Mi, Z.F.; Wei, Y.M.; He, C.Q.; Li, H.; Yuan, X.; Liao, H. Regional efforts to mitigate climate change in China: A multi-criteria assessment approach. Mitig. Adapt. Strateg. Glob. Change 2017, 22, 45–66. [Google Scholar] [CrossRef]
- Lu, Z.; Huang, L.; Liu, J.; Zhou, Y.; Chen, M.; Hu, J. Carbon dioxide mitigation co-benefit analysis of energy-related measures in the air pollution prevention and control action plan in the Jing-Jin-Ji region of China. Resour. Conserv. Recy 2019, 1, 100006. [Google Scholar] [CrossRef]
- Liu, T.; Pan, S.; Hou, H.; Xu, H. Analyzing the environmental and economic impact of industrial transfer based on an improved CGE model: Taking the Beijing-Tianjin-Hebei region as an example. Environ. Impact Assess. Rev. 2020, 83, 106386. [Google Scholar] [CrossRef]
- Guan, Y.; Shan, Y.; Huang, Q.; Chen, H.; Wang, D.; Hubacek, K. Assessment to China’s recent emission pattern shifts. Earths Future 2021, 9, EF002241. [Google Scholar] [CrossRef]
- Wang, C.; Zhan, J.; Li, Z.; Zhang, F.; Zhang, Y. Structural decomposition analysis of carbon emissions from residential consumption in the Beijing-Tianjin-Hebei region, China. J. Clean. Prod. 2019, 208, 1357–1364. [Google Scholar] [CrossRef]
- Liu, X.; Yang, M.; Niu, Q.; Wang, Y.; Zhang, J. Cost accounting and sharing of air pollution collaborative emission reduction: A case study of Beijing-Tianjin-Hebei region in China. Urban. Clim. 2022, 43, 101166. [Google Scholar] [CrossRef]
- Chu, Z.; Bian, C.; Yang, J. Joint prevention and control mechanism for air pollution regulations in China: A policy simulation approach with evolutionary game. Environ. Impact Assess. Rev. 2021, 91, 106668. [Google Scholar] [CrossRef]
- Gross, J.; Böhm, R. Voluntary restrictions on self-reliance increase cooperation and mitigate wealth inequality. Proc. Natl. Acad. Sci. USA 2020, 117, 29202–29211. [Google Scholar] [CrossRef] [PubMed]





| Region 2 | |||
| Synergistic Action (SA) | Unilateral Action (UA) | ||
| Region 1 | Synergistic Action (SA) | , | |
| Unilateral Action (UA) | |||
| Type of Game | No-Conflict Game | Prisoner’s Dilemma Game | Coordination Game | Chicken Game | Unhappy Game | ||||||
|---|---|---|---|---|---|---|---|---|---|---|---|
| Nash Equilibrium | (SA, SA) | (UA, UA) | (SA, SA) and (UA, UA) | (SA, UA) and (UA, SA) | (SA, UA) | ||||||
| Region | 1 | 2 | 1 | 2 | 1 | 2 | 1 | 2 | 1 | 2 | |
| Payoff | 0.04 | 0.04 | 0.03 | 0.03 | 0.04 | 0.04 | 0.03 | 0.03 | 0.03 | 0.03 | |
| 0.02 | 0.03 | 0.01 | 0.04 | 0.01 | 0.03 | 0.02 | 0.04 | 0.02 | 0.04 | ||
| 0.03 | 0.02 | 0.04 | 0.01 | 0.03 | 0.01 | 0.04 | 0.02 | 0.04 | 0.01 | ||
| 0.01 | 0.01 | 0.02 | 0.02 | 0.02 | 0.02 | 0.01 | 0.01 | 0.01 | 0.02 | ||
| Scenario 1 | 0.8 | 0.8 | 1 | 1 | 0.8 (1) | 0.8 (1) | 0.8 (1) | 1 (0.8) | 0.8 | 1 | |
| 0.8 | 1 | 0.8 (1) | 0.9 | 0.9 | |||||||
| 0.96 | 0.99 | 0.96 (0.99) | 0.97 | 0.97 | |||||||
| 1 | 1 | 1 | 1 | 1 (1.01) | 1 (1.01) | 0.99 (1.01) | 1.01 (0.99) | 0.99 | 1.01 | ||
| 1 | 1 | 1 (1.01) | 1 (1) | 1 | |||||||
| Scenario 2 | 0.7 | 1.1 | 1 | 1 | 0.7 (1) | 1.1 (1) | 0.9 (1) | 1 (1.1) | 0.9 | 1 | |
| 0.9 | 1 | 0.9 (1) | 0.95 (1.05) | 0.95 | |||||||
| 0.97 | 0.99 | 0.97 (0.99) | 0.98 (1) | 0.98 | |||||||
| 1.01 | 1.01 | 1.01 | 1.01 | 1.01 | 1.01 | 1 (1.04) | 1.02 (1.02) | 1 | 1.02 | ||
| 1.01 | 1.01 | 1.01 | 1.01 (1.03) | 1.01 | |||||||
Disclaimer/Publisher’s Note: The statements, opinions and data contained in all publications are solely those of the individual author(s) and contributor(s) and not of MDPI and/or the editor(s). MDPI and/or the editor(s) disclaim responsibility for any injury to people or property resulting from any ideas, methods, instructions or products referred to in the content. |
© 2023 by the authors. Licensee MDPI, Basel, Switzerland. This article is an open access article distributed under the terms and conditions of the Creative Commons Attribution (CC BY) license (https://creativecommons.org/licenses/by/4.0/).
Share and Cite
Chen, D.; Chang, X.; Hong, T.; Ma, T. Domestic Regional Synergy in Achieving National Climate Goals—The Role of Comparative Advantage in Emission Reduction. Land 2023, 12, 1723. https://doi.org/10.3390/land12091723
Chen D, Chang X, Hong T, Ma T. Domestic Regional Synergy in Achieving National Climate Goals—The Role of Comparative Advantage in Emission Reduction. Land. 2023; 12(9):1723. https://doi.org/10.3390/land12091723
Chicago/Turabian StyleChen, Dongxu, Xiaoying Chang, Tao Hong, and Tao Ma. 2023. "Domestic Regional Synergy in Achieving National Climate Goals—The Role of Comparative Advantage in Emission Reduction" Land 12, no. 9: 1723. https://doi.org/10.3390/land12091723
APA StyleChen, D., Chang, X., Hong, T., & Ma, T. (2023). Domestic Regional Synergy in Achieving National Climate Goals—The Role of Comparative Advantage in Emission Reduction. Land, 12(9), 1723. https://doi.org/10.3390/land12091723

