Remote Sensing Evaluation of Trophic Status in the Daihai Lake Based on Fuzzy Classification
Abstract
1. Introduction
2. Materials
2.1. Study Area
2.2. In Situ Measurements
2.3. Sentinel-2 MSI Data
2.4. Other Data
3. Methods
3.1. Trophic State Index: TSI
3.2. Fuzzy C-Means Algorithm
- (1)
- Data preparation: Collect and organize the dataset required for the soft classification.
- (2)
- Determine the number of clusters (m): The desired number of clusters for soft classification was established based on problem–specific requirements or domain knowledge.
- (3)
- Initialize the membership matrix: Assign initial membership values to each data point either randomly or based on the preliminary information. Each element in the membership matrix typically represents the degree of membership of a data point to a specific cluster center.
- (4)
- Compute cluster centers (c): Calculate the positions of each cluster center using the current membership matrix.
- (5)
- Update the membership matrix: Compute a new membership matrix based on the current cluster centers. The membership values were updated according to the distances between the data points and each cluster center. The Euclidean method was employed for the distance calculation.
- (6)
- Repeat iterations of Steps 4 and 5: The process was iterated by recalculating the cluster centers and updating the membership matrix until a specified stopping criterion was met, such as reaching the maximum number of iterations or when the change in cluster centers fell below a predefined threshold. The iterative process aims to optimize and approach the objective function progressively.
- (7)
- Output the clustering results: The final membership matrix was used to assign each data point to its respective cluster center, yielding the ultimate soft clustering result.
3.3. TSI Retrieval Algorithm
3.4. Structural Equation Model
3.5. Accuracy Metrics
4. Results
4.1. Water Optical Types
4.2. Evaluation of TSI Inversion Results Based on Measured Data
4.2.1. Unclassified Case
4.2.2. FCM Classification
4.3. Evaluation of TSI Inversion Results Based on MSI Data
4.3.1. Verification of MSI Atmospheric Correction
4.3.2. Verification of TSI Results from MSI Inversion
4.3.3. Remote Sensing Application
4.4. Spatial and Temporal Distribution Characteristics and Influencing Factors of Daihai TSI
4.4.1. Monthly Variation
4.4.2. Interannual Variation
4.4.3. Analysis of Influencing Factors
5. Discussion
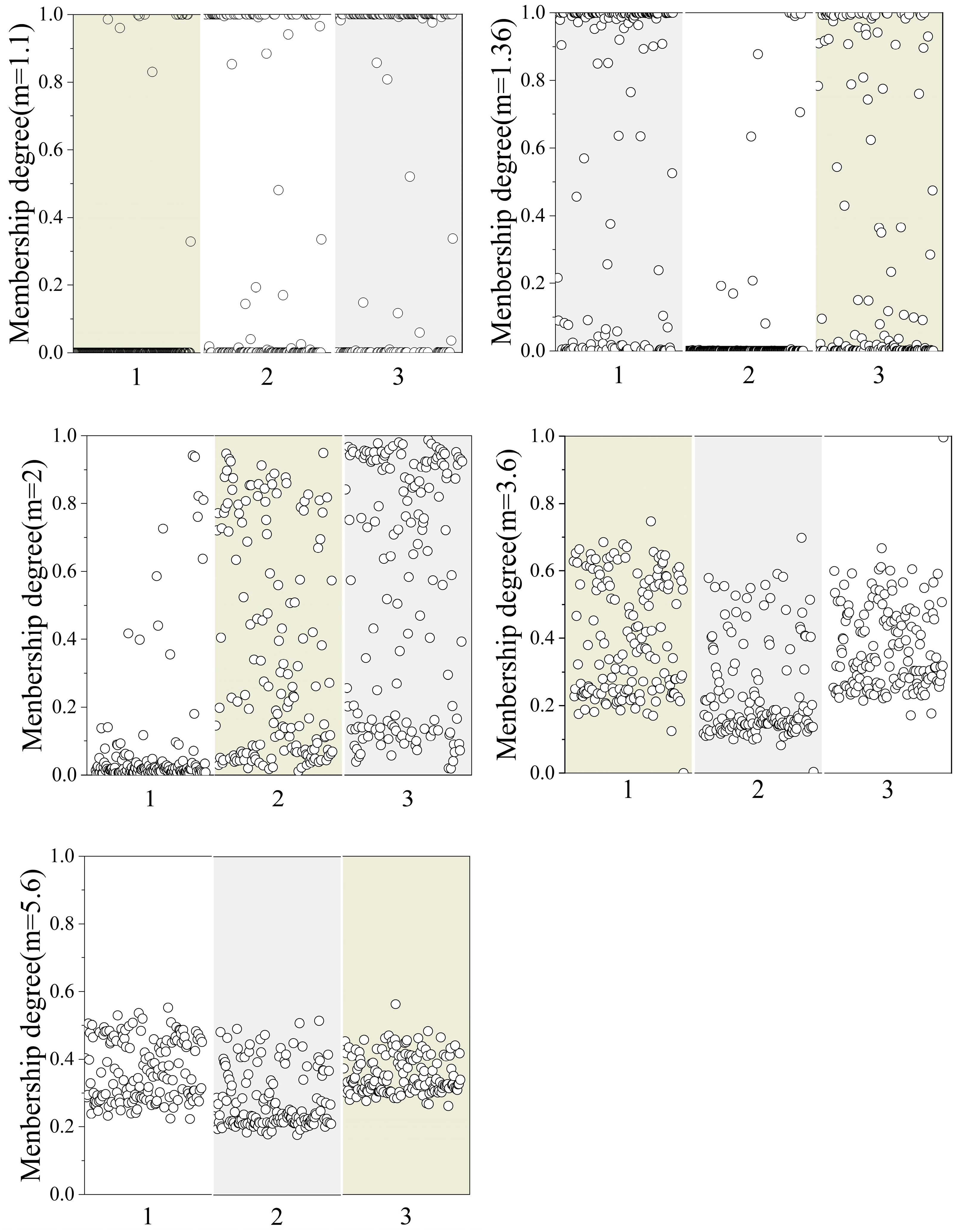
5.1. Sensibility Analysis
5.2. Applicability of the Model
6. Conclusions
- (1)
- Fuzzy classification techniques were employed to categorize the in situ remote sensing reflectance, resulting in the identification of three spectral classes characterized by distinctive feature disparities.
- (2)
- Empirical models were developed for the NCM and FCM methods using the measured data. Optimal band ratios were selected to establish the models, yielding inversion accuracy test results of R2 = 0.74 and R2 = 0.85, respectively. Fuzzy clustering demonstrated the potential for evaluating the nutrient status of water bodies.
- (3)
- Atmospheric correction of the three synchronized field images was successfully validated. The accuracy assessment of the remote sensing inversion using the NCM and FCM methods yielded the following results: R2 = 0.49, RMSE = 6.88, MAPE = 10.36%, and R2 = 0.55, RMSE = 8.89, MAPE = 13.18%.
- (4)
- The algorithm was applied to Sentinel MSI remote sensing images to analyze the temporal and spatial distribution characteristics of the trophic status of the Daihai Reservoir from April to October from 2016 to 2021. MSI time-series data revealed a long-term state of mild eutrophication in Daihai. The primary factors underlying eutrophication were elucidated using a structural equation model. Climate-related factors accounted for 94% of the monthly variation in the trophic status of the Daihai Reservoir, while agricultural and industrial factors exhibited significant correlations with interannual variations, explaining 86% and 76% of the variations, respectively. This highlights the predominant role of human activities in the eutrophication of the Daihai Reservoir, with climate factors acting as catalysts.
Author Contributions
Funding
Data Availability Statement
Conflicts of Interest
References
- Dhillon, J.K.; Mishra, A.K. Estimation of Trophic State Index of Sukhna Lake Using Remote Sensing and GIS. J. Indian Soc. Remote Sens. 2013, 42, 469–474. [Google Scholar] [CrossRef]
- Hu, M.; Ma, R.; Xue, K.; Cao, Z.; Xiong, J.; Loiselle, S.A.; Hou, X. Eutrophication evolution of lakes in China: Four decades of observations from space. J. Hazard. Mater. 2024, 470, 134225. [Google Scholar] [CrossRef] [PubMed]
- Orlandi, C.; Blasutto, O.; Pittaluga, F.; Bettoso, N.; Acquavita, A. Seasonal and interannual variability of the trophic state in the marano and Grado lagoon (adriatic sea, italy) during the 2011–2021 period. Environments 2024, 11, 152. [Google Scholar] [CrossRef]
- Dodds, W.K. Trophic state, eutrophication and nutrient criteria in streams. Trends Ecol. Evol. 2007, 22, 669–676. [Google Scholar] [CrossRef]
- Carlson, R. A trophic state index for lakes 1. Limnol. Oceanogr. 1977, 22, 361–369. [Google Scholar] [CrossRef]
- Cheng, K.S.; Lei, T.C. Reservoir Trophic State Evaluation Using Lanisat Tm Images. J. Am. Water Resour. Assoc. 2001, 37, 1321–1334. [Google Scholar] [CrossRef]
- Iwashita, K.; Kudoh, K.; Fujii, H.; Nishikawa, H. Satellite analysis for water flow of Lake Inbanuma. Adv. Space Res. 2004, 33, 284–289. [Google Scholar] [CrossRef]
- Wezernak, C.T.; Tanis, F.J.; Bajza, C.A. Trophic state analysis of inland lakes. Remote Sens. Environ. 1976, 5, 147–164. [Google Scholar] [CrossRef]
- Jally, S.K.; Mishra, A.K.; Balabantaray, S. Estimation of Trophic State Index of Chilika Lake using Landsat-8 OLI and LISS-III satellite data. Geocarto Int. 2018, 35, 759–780. [Google Scholar] [CrossRef]
- Wang, Z.J.; Hong, J.M.; Du, G.S. Use of satellite imagery to assess the trophic state of Miyun Reservoir, Beijing, China. Environ. Pollut. 2008, 155, 13–19. [Google Scholar]
- Hu, M.; Ma, R.; Cao, Z.; Xiong, J.; Xue, K. Remote Estimation of Trophic State Index for Inland Waters Using Landsat-8 OLI Imagery. Remote Sens. 2021, 13, 1988. [Google Scholar] [CrossRef]
- Duan, H.; Zhang, Y.; Zhang, B.; Song, K.; Wang, Z. Assessment of Chlorophyll-a Concentration and Trophic State for Lake Chagan Using Landsat TM and Field Spectral Data. Environ. Monit. Assess. 2006, 129, 295–308. [Google Scholar] [CrossRef] [PubMed]
- Olmanson, L.G.; Bauer, M.E.; Brezonik, P.L. A 20-year Landsat water clarity census of Minnesota’s 10,000 lakes. Remote Sens. Environ. 2008, 112, 4086–4097. [Google Scholar] [CrossRef]
- Mishra, A.K.; Garg, N. Analysis of Trophic State Index of Nainital Lake from Landsat −7 ETM Data. J. Indian Soc. Remote Sens. 2011, 39, 463–471. [Google Scholar] [CrossRef]
- Song, K.S.; Li, L.; Li, S.; Tedesco, L.; Hall, B.; Li, L. Hyperspectral Remote Sensing of Total Phosphorus (TP) in Three Central Indiana Water Supply Reservoirs. Water Air Soil Pollut. 2011, 223, 1481–1502. [Google Scholar] [CrossRef]
- Qin, B.Q.; Gao, G.; Zhu, G.W.; Zhang, Y.L.; Song, Y.Z.; Tang, X.M.; Hai, X.U. Lake eutrophication and its ecosystem response. Chin. Sci. Bull. 2012, 58, 961–970. [Google Scholar] [CrossRef]
- Sun, D.; Qiu, Z.F.; Li, Y.M.; Shi, K.; Gong, S. Detection of Total Phosphorus Concentrations of Turbid Inland Waters Using a Remote Sensing Method. Water Air Soil Pollut. 2014, 225, 1–17. [Google Scholar] [CrossRef]
- Eraso, R.; Galo, M.D.L.; Alcântara, E.; Shimabukuro, M.; Carmo, A. Locally tuned model to map the chlorophyll-a and the trophic state in Porto Primavera reservoir using MODIS/Terra images. Model. Earth Syst. Environ. 2018, 4, 39–47. [Google Scholar] [CrossRef]
- Liu, Y.; Wu, H.; Gao, H.; Guo, P. Evaluation of trophic state for inland waters through combining Forel-Ule Index and inherent optical properties. Sci. Total Environ. 2022, 820, 153316. [Google Scholar] [CrossRef]
- Zhang, Y.; Zhou, Y.; Shi, K.; Qin, B.; Yao, X.; Zhang, Y. Optical properties and composition changes in chromophoric dissolved organic matter along trophic gradients: Implications for monitoring and assessing lake eutrophication. Water Res. 2018, 131, 255–263. [Google Scholar] [CrossRef]
- Shi, K.; Zhang, Y.; Song, K.; Liu, M.; Zhou, Y.; Zhang, Y.; Li, Y.; Zhu, G.; Qin, B. A semi-analytical approach for remote sensing of trophic state in inland waters: Bio-optical mechanism and application. Remote Sens. Environ. 2019, 232, 111349. [Google Scholar] [CrossRef]
- Wen, Z.; Song, K.; Liu, G.; Shang, Y.; Fang, C.; Du, J.; Lyu, L. Quantifying the trophic status of lakes using total light absorption of optically active components. Environ. Pollut. 2019, 245, 684–693. [Google Scholar] [CrossRef] [PubMed]
- Wang, S.; Li, J.; Zhang, B.; Spyrakos, E.; Tyler, A.N.; Shen, Q.; Zhang, F.F.; Kuster, T.; Lehmann, M.K.; Wu, Y.H.; et al. Trophic state assessment of global inland waters using a MODIS-derived Forel-Ule index. Remote Sens. Environ. 2018, 217, 444–460. [Google Scholar] [CrossRef]
- Chen, Q.; Huang, M.; Tang, X. Eutrophication assessment of seasonal urban lakes in China Yangtze River Basin using Landsat 8-derived Forel-Ule index: A six-year (2013–2018) observation. Sci. Total Environ. 2020, 745, 135392. [Google Scholar] [CrossRef]
- Guan, Q.; Feng, L.; Hou, X.; Schurgers, G.; Zheng, Y.; Tang, J. Eutrophication changes in fifty large lakes on the Yangtze Plain of China derived from MERIS and OLCI observations. Remote Sens. Environ. 2020, 246, 111890. [Google Scholar] [CrossRef]
- Watanabe, F.S.Y.; Miyoshi, G.T.; Rodrigues, T.W.P.; Bernardo, N.M.R.; Imai, N.N. Inland water’s trophic status classification based on machine learning and remote sensing data. Remote Sens. Appl. Soc. Environ. 2020, 19, 100326. [Google Scholar] [CrossRef]
- Werther, M.; Spyrakos, E.; Simis, S.G.H.; Odermatt, D.; Tyler, A. Meta-classification of remote sensing reflectance to estimate trophic status of inland and nearshore waters. ISPRS J. Photogramm. Remote Sens. 2021, 176, 109–126. [Google Scholar] [CrossRef]
- Hu, M.; Ma, R.; Xiong, J.; Wang, M.; Cao, Z.; Xue, K. Eutrophication state in the Eastern China based on Landsat 35-year observations. Remote Sens. Environ. 2022, 277, 113057. [Google Scholar] [CrossRef]
- Javaid, M.; Shafi, A.; Hamid, A.; Jehangir, A.; Yousuf, A.R. Dynamics of the wetland ecosystem health in urban and rural settings in high altitude ecoregion. Sci. Total Environ. 2023, 904, 166566. [Google Scholar] [CrossRef]
- Mukonza, S.S.; Chiang, J.L. Machine and deep learning-based trophic state classification of national freshwater reservoirs in taiwan using sentinel-2 data. Phys. Chem. Earth 2024, 134, 103541. [Google Scholar] [CrossRef]
- Lubac, B.; Loisel, H. Variability and classification of remote sensing reflectance spectra in the eastern English Channeland southern North Sea. Remote Sens. Environ. 2007, 110, 45–58. [Google Scholar] [CrossRef]
- Vantrepotte, V.; Loisel, H.; Dessailly, D.; Mériaux, X. Optical classification of contrasted coastal waters. Remote Sens. Environ. 2012, 123, 306–323. [Google Scholar] [CrossRef]
- Bao, Y.; Tian, Q.; Chen, M. A Weighted Algorithm Based on Normalized Mutual Information for Estimating the Chlorophyll-a Concentration in Inland Waters Using Geostationary Ocean Color Imager (GOCI) Data. Remote Sens. 2015, 7, 11731–11752. [Google Scholar] [CrossRef]
- Zhang, F.F.; Li, J.S.; Shen, Q.; Zhang, B.; Wu, C.Q.; Wu, Y.F.; Wang, G.L.; Wang, S.L.; Lu, Z.Y. Algorithms and schemes for chlorophyll a estimation by remote sensing and optical classification for Turbid Lake Taihu, China. IEEE J. Sel. Top. Appl. Earth Observ. Remote Sens. 2015, 8, 350–364. [Google Scholar] [CrossRef]
- Zhang, F.; Li, J.; Shen, Q.; Zhang, B.; Tian, L.; Ye, H.; Wang, S.; Lu, Z. A soft-classification-based chlorophyll-a estimation method using meris data in the highly turbid and eutrophic taihu lake. Int. J. Appl. Earth Obs. Geoinf. 2019, 74, 138–149. [Google Scholar] [CrossRef]
- Le, C.; Li, Y.; Zha, Y.; Sun, D.; Huang, C.; Zhang, H. Remote estimation of chlorophyll a in optically complex waters based on optical classification. Remote Sens. Environ. 2011, 115, 725–737. [Google Scholar] [CrossRef]
- Shen, Q.; Li, J.; Zhang, F.; Sun, X.; Li, J.; Li, W.; Zhang, B. Classification of Several Optically Complex Waters in China Using in Situ Remote Sensing Reflectance. Remote Sens. 2015, 7, 14731–14756. [Google Scholar] [CrossRef]
- Li, Y.; Wang, Q.; Wu, C.; Zhao, S.; Huang, C. Estimation of Chlorophyll a Concentration Using NIR/Red Bands of MERIS and Classification Procedure in Inland Turbid Water. IEEE Trans. Geosci. Remote Sens. 2012, 50, 988–997. [Google Scholar] [CrossRef]
- Bi, S.; Li, Y.; Xu, J.; Liu, G.; Song, K.; Mu, M.; Lyu, H.; Miao, S.; Xu, J. Optical classification of inland waters based on an improved Fuzzy C-Means method. Opt Express 2019, 27, 34838–34856. [Google Scholar] [CrossRef]
- Shi, K.; Li, Y.; Li, L.; Lu, H.; Song, K.; Liu, Z.; Xu, Y.; Li, Z. Remote chlorophyll-a estimates for inland waters based on a cluster-based classification. Sci. Total Environ. 2013, 444, 1–15. [Google Scholar] [CrossRef]
- Fang, M.; Jinchao, F. Effects of Human Activities on Daihai Lake Inner Mongolia. J. MUC (Nat. Sci. Ed.) 2017, 26, 76–81. [Google Scholar]
- Liu, X. Dynamic Change of Area and Water Level of Daihai Lake and Its Driving Force Analysis. Master’s Thesis, Inner Mongolia University, Hohhot, China, 2019. [Google Scholar]
- Zhou, Y.K.; Jiang, J.H.; Huang, Q. Water Quality Analysis and Assessment of Daihai Lake in Inner Mongolia. J. Arid. Land Resoures Environ. 2006, 74–77. Available online: https://kns.cnki.net/kcms2/article/abstract?v=_kvDxI8xRKlhj6Xz-mjXU-qb5IpHb0e2s5Y0PSXgrSmKusVOQIcjm0Om5ljvTVsmFG14w6fV5AasKkkJ4Ca1Gc5UC5wVkHzB7Hen_waY_J0SSPT1y1_oyzExBWIc8KhRf8-xYgPqiGcExo_ygeqhKfWzfaLwHZ0DsjF8LEI2NeaLG_WuqtelkV3Ul64a-cdK&uniplatform=NZKPT&language=CHS (accessed on 27 August 2024).
- Liang, X.; Liu, H.; Ji, M.; Chang, M. Effects of land use/cover change on lake water quality in the semi-arid region of northern China: A case study in Lake Daihai Basin (2000–2018). Lake Sci. 2021, 33, 727–738. [Google Scholar]
- Tang, J.; Tian, G.; Wang, X.; Wang, X.; Song, Q. The Methods of Water Spectra Measurement and Analysis I: Above-Water Method. J. Remote Sens. 2004, 8, 37–44. [Google Scholar]
- Bukata, R.P.; Jerome, J.H.; Bruton, J.E. Relationships among Secchi disk depth, beam attenuation coefficient, and irradiance attenuation coefficient for Great Lakes waters. J. Great Lakes Res. 1988, 14, 347–355. [Google Scholar] [CrossRef]
- Jiang, G.; Loiselle, S.A.; Yang, D.; Ma, R. Remote estimation of chlorophyll a concentrations over a wide range of optical conditions based on water classification from VIIRS observations. Remote Sens. Environ. 2020, 241, 111735. [Google Scholar] [CrossRef]
- Yang, H.; Song, J.; Teng, Y.; Song, X.; Zeng, P.; Jia, J. Coupling model-driven and data-driven methods for estimating soil moisture over bare surfaces with sentinel-1a dual-polarized data. IEEE J. Sel. Top. Appl. Earth Obs. Remote Sens. 2023, 16, 4820–4832. [Google Scholar] [CrossRef]
- Ansper, A.; Alikas, K. Retrieval of Chlorophyll a from Sentinel-2 MSI Data for the European Union Water Framework Directive Reporting Purposes. Remote Sens. 2018, 11, 64. [Google Scholar] [CrossRef]
- Neves, V.H.; Pace, G.; Delegido, J.; Antunes, S.C. Chlorophyll and Suspended Solids Estimation in Portuguese Reservoirs (Aguieira and Alqueva) from Sentinel-2 Imagery. Water 2021, 13, 2479. [Google Scholar] [CrossRef]
- Brockmann, C.; Doerffer, R.; Peters, M.; Kerstin, S.; Embacher, S.; Ruescas, A. Evolution of the C2RCC Neural Network for Sentinel 2 and 3 for the Retrieval of Ocean Colour Products in Normal and Extreme Optically Complex Waters. EPASP 740. In Proceedings of the Living Planet Symposium 2016, Prague, Czech Republic, 9–13 May 2016. [Google Scholar]
- Zadeh, L.A. Fuzzy sets as a basis for a theory of possibility. Fuzzy Sets Syst. 1978, 1, 3–28. [Google Scholar] [CrossRef]
- Moore, T.S.; Campbell, J.W.; Hui, F. A fuzzy logic classification scheme for selecting and blending satellite ocean color algorithms. IEEE Trans. Geosci. Remote Sens. 2001, 39, 1764–1776. [Google Scholar] [CrossRef]
- Zadeh, L.A. Fuzzy sets. Inf. Control 1965, 8, 338–353. [Google Scholar] [CrossRef]
- Klir, G.J.; Yuan, B. Fuzzy Sets and Fuzzy Logic; Prentice Hall PTR 1-563; Prentice Hall: Hoboken, NJ, USA, 2011. [Google Scholar]
- Hadjimitsis, D.G.; Clayton, C.R.I.; Toulios, L. A new method for assessing the trophic state of large dams in Cyprus using satellite remotely sensed data. Water Environ. J. 2010, 24, 200–207. [Google Scholar] [CrossRef]
- Yang, R.M.; Guo, W.W.; Zheng, J.B. Soil prediction for coastal wetlands following spartina alterniflora invasion using sentinel-1 imagery and structural equation modeling. Catena 2019, 173, 465–470. [Google Scholar] [CrossRef]
- Capellesso, E.S.; Cequinel, A.; Marques, R.; Marques, M.C.M. Temporal and environmental correlates of carbon stocks in a regenerating tropical forest. Appl. Veg. Sci. 2020, 23, 353–362. [Google Scholar] [CrossRef]
- Ma, Q.; Wang, R.; Tan, R.J.; Cheng, J.; Wang, J. Remote Sensing Monitoring of Changes in Daihai Lake’s Water Area and Volume Over the Past 40 Years. Yellow River 2022, 44, 57–59. [Google Scholar]
- Moore, T.S.; Dowell, M.D.; Bradt, S.; Ruiz Verdu, A. An optical water type framework for selecting and blending retrievals from bio-optical algorithms in lakes and coastal waters. Remote Sens. Environ. 2014, 143, 97–111. [Google Scholar] [CrossRef]
- Rezaee, M.R.; Lelieveldt, B.P.F.; Reiber, J.H.C. A new cluster validity index for the fuzzy c-mean. Pattern Recognit. Lett. 1998, 19, 237–246. [Google Scholar] [CrossRef]
- Windham, M.P. Cluster validity for the fuzzy c-means clustering algorithrm. IEEE Trans. Pattern Anal. Mach. Intell. 1982, 4, 357–363. [Google Scholar] [CrossRef]
- Yu, J.; Chen, Q.; Huang, H. Analysis of the weighting exponent in the FCM. IEEE Trans. Syst. Man Cybern. B Cybern. 2004, 34, 634–639. [Google Scholar] [CrossRef]
- Dembele, D.; Kastner, P. Fuzzy C-means method for clustering microarray data. Bioinformatics 2003, 19, 973–980. [Google Scholar] [CrossRef] [PubMed]
- Doulaye, D. Multi-objective optimization for clustering 3-way gene expression data. Adv. Data Anal. Classif. 2008, 2, 211–225. [Google Scholar]
- Feng, X.W.; Wang, G.; Wang, Z.; Li, N. Analysis of Daihai Lake Inner Mongolia Water Resources. J. China Hydrol. 1994, 1, 55–56. [Google Scholar] [CrossRef]
- Zhou, Y.; Jiang, J. Changes in the Ecological Environment in the Daihai Lake Basin Over the Years. Aird Zone Res. 2009, 26, 163–168. [Google Scholar]
- Chen, H.; Fu, X.; Zhao, H.; Wang, G. Analysis on Climatic Influence of Ecological Environment Change of Daihai Lake wetland. Meteorol. J. Inn. Mong. 2011, 6, 14–17. [Google Scholar] [CrossRef]












| Methods | Class | x | Model | R2 |
|---|---|---|---|---|
| No classification | NCM | Rrs (665)/Rrs (490) | −44.58 ∗ x + 103.23 | 0.74 |
| classification | class I | Rrs (665)/Rrs (443) | 43.08 ∗ x + 2.99 | 0.80 |
| class II | Rrs (665)/Rrs (490) | 49.06 ∗ x + 8.49 | 0.83 | |
| class III | Rrs (705)/Rrs (490) | 25.31 ∗ x + 30.29 | 0.74 |
Disclaimer/Publisher’s Note: The statements, opinions and data contained in all publications are solely those of the individual author(s) and contributor(s) and not of MDPI and/or the editor(s). MDPI and/or the editor(s) disclaim responsibility for any injury to people or property resulting from any ideas, methods, instructions or products referred to in the content. |
© 2024 by the authors. Licensee MDPI, Basel, Switzerland. This article is an open access article distributed under the terms and conditions of the Creative Commons Attribution (CC BY) license (https://creativecommons.org/licenses/by/4.0/).
Share and Cite
Wang, F.; Qing, S.; Sa, C.; Lai, Q.; Chang, A. Remote Sensing Evaluation of Trophic Status in the Daihai Lake Based on Fuzzy Classification. Water 2024, 16, 3032. https://doi.org/10.3390/w16213032
Wang F, Qing S, Sa C, Lai Q, Chang A. Remote Sensing Evaluation of Trophic Status in the Daihai Lake Based on Fuzzy Classification. Water. 2024; 16(21):3032. https://doi.org/10.3390/w16213032
Chicago/Turabian StyleWang, Fang, Song Qing, Chula Sa, Quan Lai, and An Chang. 2024. "Remote Sensing Evaluation of Trophic Status in the Daihai Lake Based on Fuzzy Classification" Water 16, no. 21: 3032. https://doi.org/10.3390/w16213032
APA StyleWang, F., Qing, S., Sa, C., Lai, Q., & Chang, A. (2024). Remote Sensing Evaluation of Trophic Status in the Daihai Lake Based on Fuzzy Classification. Water, 16(21), 3032. https://doi.org/10.3390/w16213032

