Evidence of the Influence of Land Use and Land Cover on Extreme Rainfall in Natal, Northeast of Brazil
Abstract
1. Introduction
2. Material and Methodology
2.1. Physical and Climatic Characteristics of Natal
2.2. Hourly Precipitation Data
2.3. Classification of Rainfall Events
2.4. LULC Data
2.5. Multivariate Analysis of Variance (MANOVA)
3. Results
3.1. LULC Evolution in Natal
3.1.1. General Aspects
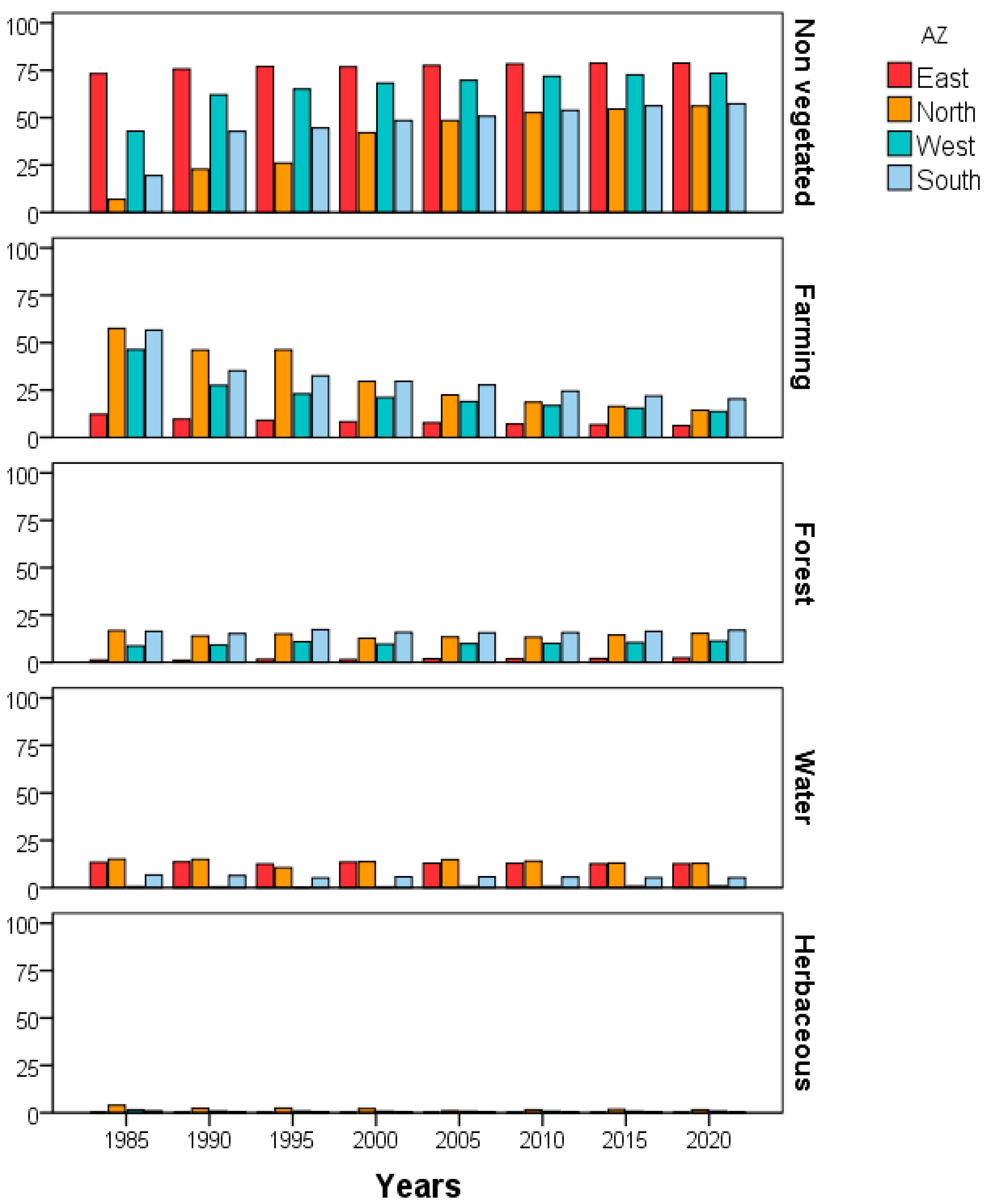
3.1.2. LULC Evolution by Administrative Zones
3.2. Distribution of Rainfall Events in Natal by Administrative Zone
3.3. Analize of Extreme Rainfall in Natal
3.4. Multivariate Analysis of Rainfall
4. Discussion
5. Conclusions
Author Contributions
Funding
Institutional Review Board Statement
Informed Consent Statement
Data Availability Statement
Acknowledgments
Conflicts of Interest
References
- Zimm, C.; Mintz-Woo, K.; Brutschin, E.; Hanger-Kopp, S.; Hoffmann, R.; Kikstra, J.S.; Kuhn, M.; Min, J.; Muttarak, R.; Pachauri, S. Justice considerations in climate research. Nat. Clim. Change 2024, 14, 22–30. [Google Scholar] [CrossRef]
- Ulpiani, G. On the linkage between urban heat island and urban pollution island: Three-decade literature review towards a conceptual framework. Sci. Total Environ. 2021, 751, 141727. [Google Scholar] [CrossRef]
- Zhang, P.; Zhang, J.; Liu, Z.; Liu, Y.; Chen, Z. Relationship between land surface temperature and air quality in urban and suburban areas: Dynamic changes and interaction effects. Sustain. Cities Soc. 2025, 118, 106043. [Google Scholar] [CrossRef]
- Du, H.; Donat, M.G.; Zong, S.; Alexander, L.V.; Manzanas, R.; Kruger, A.; Choi, G.; Salinger, J.; He, H.S.; Li, M.-H. Extreme Precipitation on Consecutive Days Occurs More Often in a Warming Climate. Bull. Am. Meteorol. Soc. 2022, 103, 1130–1145. [Google Scholar] [CrossRef]
- Alves, P.B.R.; Amanguah, E.; McNally, D.; Espinoza, M.; Ghaedi, H.; Reilly, A.C.; Hendricks, M.D. Navigating the definition of urban flooding: A conceptual and systematic review of the literature. Water Sci. Technol. 2024, 90, 2796–2812. [Google Scholar] [CrossRef]
- Zhong, S.; Qian, Y.; Zhao, C.; Leung, R.; Wang, H.; Yang, B.; Fan, J.; Yan, H.; Yang, X.-Q.; Liu, D. Urbanization-induced urban heat island and aerosol effects on climate extremes in the Yangtze River Delta region of China. Atmos. Chem. Phys. 2017, 17, 5439–5457. [Google Scholar] [CrossRef]
- Hu, C.; Fung, K.Y.; Tam, C.-Y.; Wang, Z. Urbanization Impacts on Pearl River Delta Extreme Rainfall Sensitivity to Land Cover Change Versus Anthropogenic Heat. Earth Space Sci. 2021, 8, e2020EA001536. [Google Scholar] [CrossRef]
- Zheng, Z.; Xu, G.; Gao, H. Characteristics of Summer Hourly Extreme Precipitation Events and Its Local Environmental Influencing Factors in Beijing under Urbanization Background. Atmosphere 2021, 12, 632. [Google Scholar] [CrossRef]
- Machado, C.B.; Campos, T.L.O.B.; Rafee, S.A.A.; Martins, J.A.; Grimm, A.M.; Freitas, E.D.d. Extreme Rainfall Events in the Macrometropolis of São Paulo: Trends and connection with climate oscillations. J. Appl. Meteorol. Climatol. 2021, 60, 661–675. [Google Scholar] [CrossRef]
- Silva Dias, M.A.F.; Dias, J.; Carvalho, L.M.V.; Freitas, E.D.; Dias, P.L.S. Changes in extreme daily rainfall for São Paulo, Brazil. Clim. Change 2013, 116, 705–722. [Google Scholar] [CrossRef]
- Picolo, M.F.; Campos, T.L.O.B.; Freitas, E.D.d. Relationship Between Urbanization and Precipitation in the São Paulo Macrometropolis; The Urban Book Series; Springer Nature: Zürich, Switzerland, 2024; pp. 207–219. [Google Scholar] [CrossRef]
- Palharini, R.; Vila, D.; Rodrigues, D.; Palharini, R.; Mattos, E.; Undurraga, E. Analysis of Extreme Rainfall and Natural Disasters Events Using Satellite Precipitation Products in Different Regions of Brazil. Atmosphere 2022, 13, 1680. [Google Scholar] [CrossRef]
- de Souza, E.B.; Ferreira, D.B.S.; Anjos, L.J.S.; Cunha, A.C.; Silva, J.A., Jr.; Coutinho, E.C.; Sousa, A.M.L.; Souza, P.J.O.P.; Correa, W.P.M.; Dias, T.S.S.; et al. Intensification of Natural Disasters in the State of Pará and the Triggering Mechanisms Across the Eastern Amazon. Atmosphere 2024, 16, 7. [Google Scholar] [CrossRef]
- Oliveira, P.T.; Silva, C.M.S.e.; Lima, K.C. Climatology and trend analysis of extreme precipitation in subregions of Northeast Brazil. Theor. Appl. Climatol. 2017, 130, 77–90. [Google Scholar] [CrossRef]
- Rodrigues, D.T.; Gonçalves, W.A.; Spyridês, M.H.C.; Andrade, L.M.B.; Souza, D.O.d.; Araujo, P.A.A.d.; Silva, A.C.N.d.; Silva, C.M.S.e. Probability of occurrence of extreme precipitation events and natural disasters in the city of Natal, Brazil. Urban Clim. 2021, 35, 100753. [Google Scholar] [CrossRef]
- Ribeiro, M.S.M.; Andrade, L.M.B.; Spyridês, M.H.C.; Lima, K.C.; Silva, P.E.d.; Batista, D.T.; Lara, I.A.R.d. ENVIRONMENTAL DISASTERS IN NORTHEAST BRAZIL: Hydrometeorological, social and sanitary factors. Weather. Clim. Soc. 2021, 541, 554. [Google Scholar] [CrossRef]
- Monteiro, F.F.; Gonçalves, W.A.; Andrade, L.M.B.; Villavicencio, L.M.M.; Silva, C.M.S. Assessment of Urban Heat Islands in Brazil based on MODIS remote sensing data. Urban Clim. 2021, 35, 100726. [Google Scholar] [CrossRef]
- Lapola, D.M.; Braga, D.R.; Giulio, G.M.d.; Torres, R.R.; Vasconcellos, M.P. Heat stress vulnerability and risk at the (super) local scale in six Brazilian capitals. Clim. Change 2019, 154, 477–492. [Google Scholar] [CrossRef]
- Lima, G.C.; Rodrigues, D.T.; Silva, C.M.S.e.; Costa, P.C.d.S. Evolution of wind speed observed in Brazil between 1961 and 2020. Int. J. Climatol. 2024, 44, 1932–1954. [Google Scholar] [CrossRef]
- Alvares, C.A.; Stape, J.L.; Sentelhas, P.C.; Gonçalves, J.L.d.M.; Sparovek, G. Köppen’s climate classification map for Brazil. Meteorol. Z. 2013, 22, 711–728. [Google Scholar] [CrossRef] [PubMed]
- Lyra, M.J.A.; Fedorova, N.; Levit, V. Mesoscale convective complexes over northeastern Brazil. J. S. Am. Earth Sci. 2022, 118, 103911. [Google Scholar] [CrossRef]
- Espinoza, N.S.; Santos, C.A.C.d.; Silva, M.T.; Gomes, H.B.; Ferreira, R.R.; Silva, M.L.d.; Silva, C.M.S.e.; Oliveira, C.P.d.; Medeiros, J.; Giovannettone, J. Landslides Triggered by the May 2017 Extreme Rainfall Event in the East Coast Northeast of Brazil. Atmosphere 2021, 12, 1261. [Google Scholar] [CrossRef]
- Gomes, H.B.; Ambrizzi, T.; Silva, B.F.P.d.; Hodges, K.; Dias, P.L.S.; Herdies, D.L.; Silva, M.C.L.; Gomes, H.B. Climatology of easterly wave disturbances over the tropical South Atlantic. Clim. Dyn. 2019, 53, 1393–1411. [Google Scholar] [CrossRef]
- Reis, J.S.d.; Gonçalves, W.A.; Mendes, D. Climatology of the dynamic and thermodynamic features of upper tropospheric cyclonic vortices in Northeast Brazil. Clim. Dyn. 2021, 57, 3413–3431. [Google Scholar] [CrossRef]
- Utida, G.; Cruz, F.W.; Etourneau, J.; Bouloubassi, I.; Schefuß, E.; Vuille, M.; Novello, V.F.; Prado, L.F.; Sifeddine, A.; Klein, V. Tropical South Atlantic influence on Northeastern Brazil precipitation and ITCZ displacement during the past 2300 years. Sci. Rep. 2019, 9, 1698. [Google Scholar] [CrossRef]
- Oliveira, P.T.; Lima, K.C.; Silva, C.M.S.e. Synoptic environment associated with heavy rainfall events on the coastland of Northeast Brazil. Adv. Geosci. 2013, 35, 73–78. [Google Scholar] [CrossRef]
- Fedorova, N.; Levit, V.; Cruz, C.D.d. On Frontal Zone Analysis in the Tropical Region of the Northeast Brazil. Pure Appl. Geophys. 2016, 173, 1403–1421. [Google Scholar] [CrossRef]
- Oliveira, D.H.M.C.; Lima, K.C. What is the return period of intense rainfall events in the capital cities of the northeast region of Brazil? Atmos. Sci. Lett. 2019, 20, 934. [Google Scholar] [CrossRef]
- Luiz-Silva, W.; Oscar-Júnior, A.C.; Cavalcanti, I.F.A.; Treistman, F. An overview of precipitation climatology in Brazil: Space-time variability of frequency and intensity associated with atmospheric systems. Hydrol. Sci. J. 2021, 66, 289–308. [Google Scholar] [CrossRef]
- Costa, M.S.; Oliveira-Júnior, J.F.d.; Santos, P.J.d.; Correia Filho, W.L.F.; Gois, G.d.; Blanco, C.J.C.; Teodoro, P.E.; Silva Junior, C.A.d.; Santiago, D.d.B.; Souza, E.d.O. Rainfall extremes and drought in Northeast Brazil and its relationship with El Niño–Southern Oscillation. Int. J. Climatol. 2020, 41, 2111–2135. [Google Scholar] [CrossRef]
- Santos, J.S.; Oliveira-Júnior, J.F.d.; Costa, M.S.; Cardoso, K.R.A.; Shah, M.; Shahzad, R.; Silva, L.F.F.d.; Romão, W.M.d.O.; Singh, S.K.; Mendes, D. Effects of extreme phases of El Niño–Southern Oscillation on rainfall extremes in Alagoas, Brazil. Int. J. Climatol. 2023, 43, 7700–7721. [Google Scholar] [CrossRef]
- Valadão, C.E.A.; Carvalho, L.M.V.; Lucio, P.S.; Chaves, R.R. Impacts of the Madden-Julian oscillation on intraseasonal precipitation over Northeast Brazil. Int. J. Climatol. 2016, 37, 1859–1884. [Google Scholar] [CrossRef]
- Rodrigues, D.T.; Gonçalves, W.A.; Silva, C.M.S.e.; Spyridês, M.H.C.; Lúcio, P.S. Imputation of precipitation data in northeast Brazil. An. Acad. Bras. Ciências 2023, 95, e20210737. [Google Scholar] [CrossRef]
- Souza, C.M.; Shimbo, J.Z.; Rosa, M.R.; Parente, L.L.; Alencar, A.A.; Rudorff, B.F.T.; Hasenack, H.; Matsumoto, M.; Ferreira, L.G.; Souza-Filho, P.W.M. Reconstructing Three Decades of Land Use and Land Cover Changes in Brazilian Biomes with Landsat Archive and Earth Engine. Remote Sens. 2020, 12, 2735. [Google Scholar] [CrossRef]
- Patriota, E.G.; Bertrand, G.F.; Almeida, C.N.; Claudino, C.M.A.; Coelho, V.H.R. Heat the road again! Twenty years of surface urban heat island intensity (SUHII) evolution and forcings in 21 tropical metropolitan regions in Brazil from remote sensing analyses. Sustain. Cities Soc. 2024, 113, 105629. [Google Scholar] [CrossRef]
- Furtado, L.S.; Pereira, R.V.S.; Souza, E.B.d. Hemeroby Mapping of the Belém Landscape in Eastern Amazon and Impact Study of Urbanization on the Local Climate. Urban Sci. 2024, 8, 15. [Google Scholar] [CrossRef]
- Ribeiro, M.P.; Menezes, G.P.; Figueiredo, G.K.D.A.; Mello, K.d.; Valente, R.A. Impacts of urban landscape pattern changes on land surface temperature in Southeast Brazil. Remote Sens. Appl. Soc. Environ. 2024, 33, 101142. [Google Scholar] [CrossRef]
- Correia Filho, W.L.F.; Oliveira-Júnior, J.F.d.; Santos, C.T.B.d.; Batista, B.A.; Santiago, D.d.B.; Silva Junior, C.A.d.; Teodoro, P.E.; Costa, C.E.S.d.; Silva, E.B.d.; Freire, F.M. The influence of urban expansion in the socio-economic, demographic, and environmental indicators in the City of Arapiraca-Alagoas, Brazil. Remote Sens. Appl. Soc. Environ. 2022, 25, 100662. [Google Scholar] [CrossRef]
- Santos e Silva, C.M.; Rodrigues, D.T.; Medeiros, F.; Valentim, A.M.; de Araújo, P.A.A.; da Silva Pinto, J.; Mutti, P.R.; Mendes, K.R.; Bezerra, B.G.; de Oliveira, C.P.; et al. Diurnal cycle of precipitation in Brazil. Theor. Appl. Climatol. 2024, 155, 7811–7826. [Google Scholar] [CrossRef]
- Valverde, M.C.; Rosa, M.B. Heat waves in São Paulo State, Brazil: Intensity, duration, spatial scope, and atmospheric characteristics. Int. J. Climatol. 2023, 43, 3782–3798. [Google Scholar] [CrossRef]
- Valverde, M.C.; Coelho, L.H.; Cardoso, A.O.; Paiva Junior, H.; Brambila, R.; Boian, C.; Martinelli, P.C.; Valdambrini, N.M. Urban climate assessment in the ABC Paulista Region of São Paulo, Brazil. Sci. Total Environ. 2020, 735, 139303. [Google Scholar] [CrossRef]






| Site | Longitude (Degree) | Latitude (Degree) | Administrative Zone | Number and Percentage of Days Without Data Gaps |
|---|---|---|---|---|
| Cidade Alta | −35.21 | −5.79 | East | 3208 (87.9%) |
| Lagoa Nova | −35.23 | −5.82 | East | 2461 (67.4%) |
| Ponta Negra | −35.17 | −5.89 | South | 2355 (64.5%) |
| Neópolis | −35.21 | −5.86 | South | 3226 (88.4%) |
| Guarapes I | −35.28 | −5.84 | West | 2867 (78.5%) |
| Guarapes II | −35.26 | −5.82 | West | 2238 (61.3%) |
| Pajuçara | −35.24 | −5.74 | North | 3071 (84.1%) |
| Nossa Senhora da Apresentação | −35.27 | −5.75 | North | 3155 (86.4%) |
| Ano | Farming | Forest | Herbaceous | Non Vegetated | Water |
|---|---|---|---|---|---|
| 1985 | 77.07 (50.41%) | 19.89 (13.01%) | 3.36 (2.20%) | 42.30 (27.67%) | 13.63 (4.11%) |
| 1990 | 53.72 (34.79%) | 18.04 (11.68%) | 1.90 (1.23%) | 69.18 (44.81%) | 13.46 (4.05%) |
| 1995 | 50.66 (32.82%) | 20.22 (13.11%) | 1.99 (1.29%) | 73.30 (47.50%) | 10.15 (3.06%) |
| 2000 | 38.87 (25.15%) | 17.73 (11.47%) | 1.74 (1.12%) | 85.53 (55.33%) | 12.45 (3.75%) |
| 2005 | 32.93 (21.20%) | 18.33 (11.80%) | 1.01 (0.65%) | 90.92 (58.54%) | 13.14 (3.96%) |
| 2010 | 28.41 (18.33%) | 18.29 (11.80%) | 1.35 (0.87%) | 95.60 (61.69%) | 12.67 (3.82%) |
| 2015 | 25.58 (16.52%) | 19.40 (12.52%) | 1.43 (0.93%) | 97.91 (63.21%) | 12.00 (3.61%) |
| 2020 | 22.86 (14.75%) | 20.59 (13.29%) | 1.34 (0.86%) | 99.66 (64.31%) | 11.86 (3.57%) |
| Category | Dependents | PREC (mm) | PMAX (mm/h) | DUR (h) | INT (mm/h) |
|---|---|---|---|---|---|
| Weak | Years (Y) | 7.93 (p < 0.01) | 5.03 (p < 0.01) | 9.16 (p < 0.01) | 8.82 (p < 0.01) |
| Period (P) | 128.21 (p < 0.01) | 68.75 (p < 0.01) | 50.0 (p < 0.01) | 21.28 (p < 0.01) | |
| Adm. zone (AZ) | 5.82 (p < 0.01) | 12.91 (p < 0.01) | 3.22 (p < 0.01) | 10.4 (p < 0.01) | |
| Y × P | 6.96 (p < 0.01) | 9.85 (p < 0.01) | 5.0 (p < 0.01) | 8.22 (p < 0.01) | |
| Y × AZ | 2.69 (p = 0.051) | 2.63 (p = 0.051) | 1.2 (p = 0.311) | 2.22 (p = 0.085) | |
| AZ × P | 6.47 (p = 0.351) | 1.72 (p = 0.471) | 2.68 (p = 0.261) | 2.59 (p = 0.064) | |
| Y × P × AZ | 5.55 (p = 0.933) | 1.64 (p = 0.371) | 3.01 (p = 0.381) | 2.04 (p = 0.351) | |
| Normal | Years (Y) | 11.05 (p < 0.01) | 3.77 (p < 0.01) | 6.95 (p < 0.01) | 3.35 (p < 0.01) |
| Period (P) | 2.95 (p = 0.086) | 1.59 (p = 0.211) | 2.14 (p = 0.143) | 2.04 (p = 0.144) | |
| Adm. zone (AZ) | 1.46 (p = 0.642) | 8.29 (p < 0.01) | 9.08 (p < 0.01) | 4.29 (p = 0.04) | |
| Y × P | 2.01 (p = 0.053) | 2.11 (p = 0.058) | 2.0 (p = 0.283) | 2.01 (p = 0.384) | |
| Y × AZ | 3.45 (p < 0.01) | 3.09 (p < 0.01) | 2.57 (p < 0.01) | 2.67 (p < 0.01) | |
| AZ × P | 0.8 (p = 0.631) | 1.18 (p = 0.364) | 0.93 (p = 0.435) | 1.21 (p = 0.321) | |
| Y × P × AZ | 0.57 (p = 0.933) | 1.61 (p = 0.371) | 1.27 (p = 0.381) | 1.01 (p = 0.351) | |
| Intense | Years (Y) | 1.53 (p = 0.143) | 2.0 (p = 0.142) | 1.32 (p = 0.147) | 0.91 (p = 0.136) |
| Period (P) | 3.93 (p = 0.048) | 4.65 (p = 0.01) | 5.17 (p < 0.01) | 1.89 (p = 0.048) | |
| Adm. zone (AZ) | 0.37 (p = 0.778) | 12.06 (p < 0.01) | 5.17 (p < 0.01) | 3.34 (p < 0.01) | |
| Y × P | 1.11 (p = 0.358) | 1.15 (p = 0.325) | 1.05 (p = 0.364) | 1.21 (p = 0.309) | |
| Y × AZ | 0.95 (p = 0.530) | 1.41 (p = 0.097) | 0.84 (p = 0.071) | 1.14 (p = 0.097) | |
| AZ × P | 1.12 (p = 0.495) | 0.88 (p = 0.612) | 0.66 (p = 0.832) | 1.04 (p = 0.741) | |
| Y × P × AZ | 0.89 (p = 0.506) | 0.87 (p = 0.536) | 0.78 (p = 0.603) | 1.09 (p = 0.681) | |
| Extreme | Years (Y) | 10.56 (p < 0.01) | 9.88 (p < 0.01) | 19.63 (p < 0.01) | 7.92 (p < 0.01) |
| Period (P) | 1.32 (p = 0.04) | 1.62 (p = 0.11) | 2.91 (p = 0.05) | 1.41 (p = 0.06) | |
| Adm. zone (AZ) | 4.72 (p < 0.01) | 2.91 (p = 0.05) | 0.71 (p = 0.49) | 4.79 (p < 0.01) | |
| Y × P | 6.11 (p < 0.01) | 5.82 (p < 0.01) | 8.66 (p < 0.01) | 6.86 (p < 0.01) | |
| Y × AZ | 3.67 (p < 0.01) | 2.24 (p = 0.05) | 2.22 (p = 0.06) | 3.35 (p = 0.04) | |
| AZ × P | 3.16 (p = 0.08) | 2.57 (p = 0.06) | 2.07 (p = 0.06) | 2.15 (p = 0.07) | |
| Y × P × AZ | 2.57 (p = 0.02) | 2.7 (p = 0.02) | 2.82 (p = 0.02) | 2.82 (p = 0.02) |
Disclaimer/Publisher’s Note: The statements, opinions and data contained in all publications are solely those of the individual author(s) and contributor(s) and not of MDPI and/or the editor(s). MDPI and/or the editor(s) disclaim responsibility for any injury to people or property resulting from any ideas, methods, instructions or products referred to in the content. |
© 2025 by the authors. Licensee MDPI, Basel, Switzerland. This article is an open access article distributed under the terms and conditions of the Creative Commons Attribution (CC BY) license (https://creativecommons.org/licenses/by/4.0/).
Share and Cite
Mesquita, T.d.P.N.; Santos e Silva, C.M.; de Medeiros, I.D.G.; Mendes, K.R.; de Sá, T.N.M.; Carvalho, G.Y.P.d.; Brandão, C.L.; Lopes, V.; de Moura Sá, J.I.A.; de Oliveira, P.E.S.; et al. Evidence of the Influence of Land Use and Land Cover on Extreme Rainfall in Natal, Northeast of Brazil. Atmosphere 2025, 16, 1398. https://doi.org/10.3390/atmos16121398
Mesquita TdPN, Santos e Silva CM, de Medeiros IDG, Mendes KR, de Sá TNM, Carvalho GYPd, Brandão CL, Lopes V, de Moura Sá JIA, de Oliveira PES, et al. Evidence of the Influence of Land Use and Land Cover on Extreme Rainfall in Natal, Northeast of Brazil. Atmosphere. 2025; 16(12):1398. https://doi.org/10.3390/atmos16121398
Chicago/Turabian StyleMesquita, Thiago de Paula Nunes, Cláudio Moisés Santos e Silva, Itauan Dayvison Gomes de Medeiros, Keila Rego Mendes, Thales Nunes Martins de Sá, Glenda Yasmin Pereira de Carvalho, Cláudia Luana Brandão, Valéria Lopes, João Ikaro Alves de Moura Sá, Pablo Eli Soares de Oliveira, and et al. 2025. "Evidence of the Influence of Land Use and Land Cover on Extreme Rainfall in Natal, Northeast of Brazil" Atmosphere 16, no. 12: 1398. https://doi.org/10.3390/atmos16121398
APA StyleMesquita, T. d. P. N., Santos e Silva, C. M., de Medeiros, I. D. G., Mendes, K. R., de Sá, T. N. M., Carvalho, G. Y. P. d., Brandão, C. L., Lopes, V., de Moura Sá, J. I. A., de Oliveira, P. E. S., da Hora, C., de Medeiros, F. A. C., Rodrigues, D. T., Nascimento, G. V. S. d., Nascimento, M. B. d., & Brito Costa, G. (2025). Evidence of the Influence of Land Use and Land Cover on Extreme Rainfall in Natal, Northeast of Brazil. Atmosphere, 16(12), 1398. https://doi.org/10.3390/atmos16121398

