Influence of Oil Content on Particle Loading Characteristics of a Two-Stage Filtration System
Abstract
1. Introduction
2. Materials and Methods
3. Results and Discussion
3.1. Loading Performance of a Single Main-Stage Only
3.1.1. Transition Loading Behaviors of Oil-Coated Particles in a Single Main Stage
3.1.2. Oil-Coated Particle Deposition Mechanism
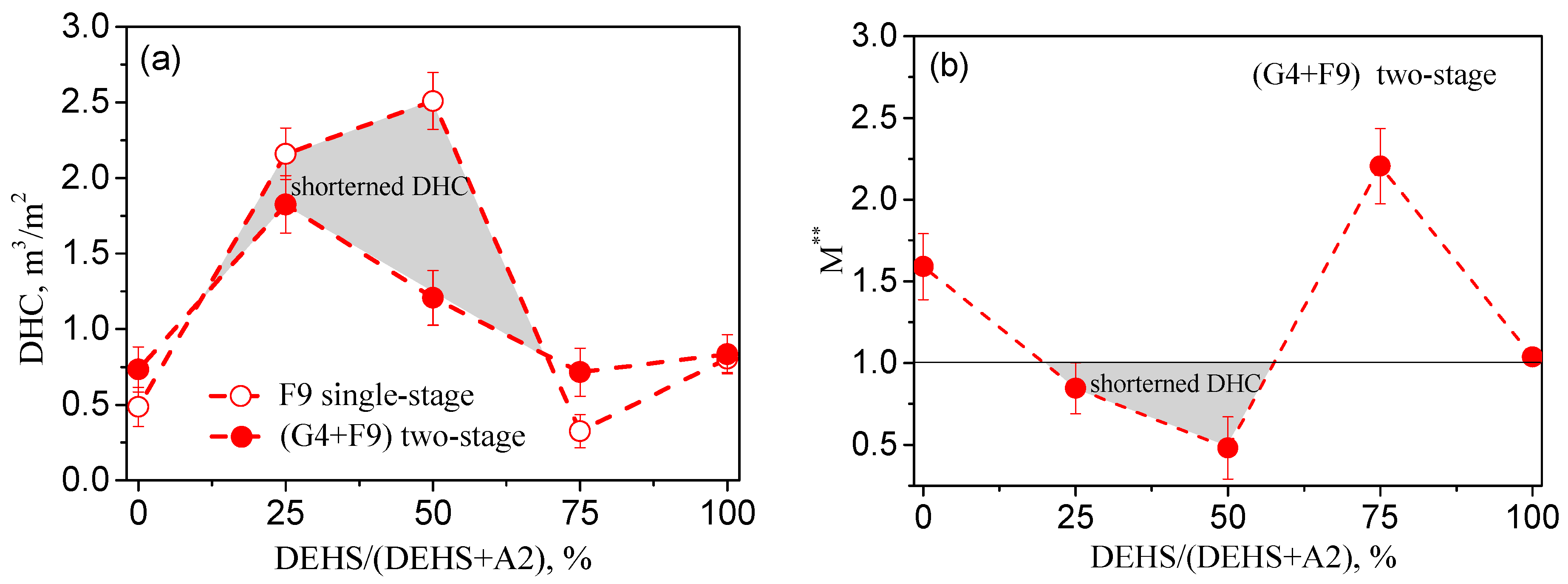
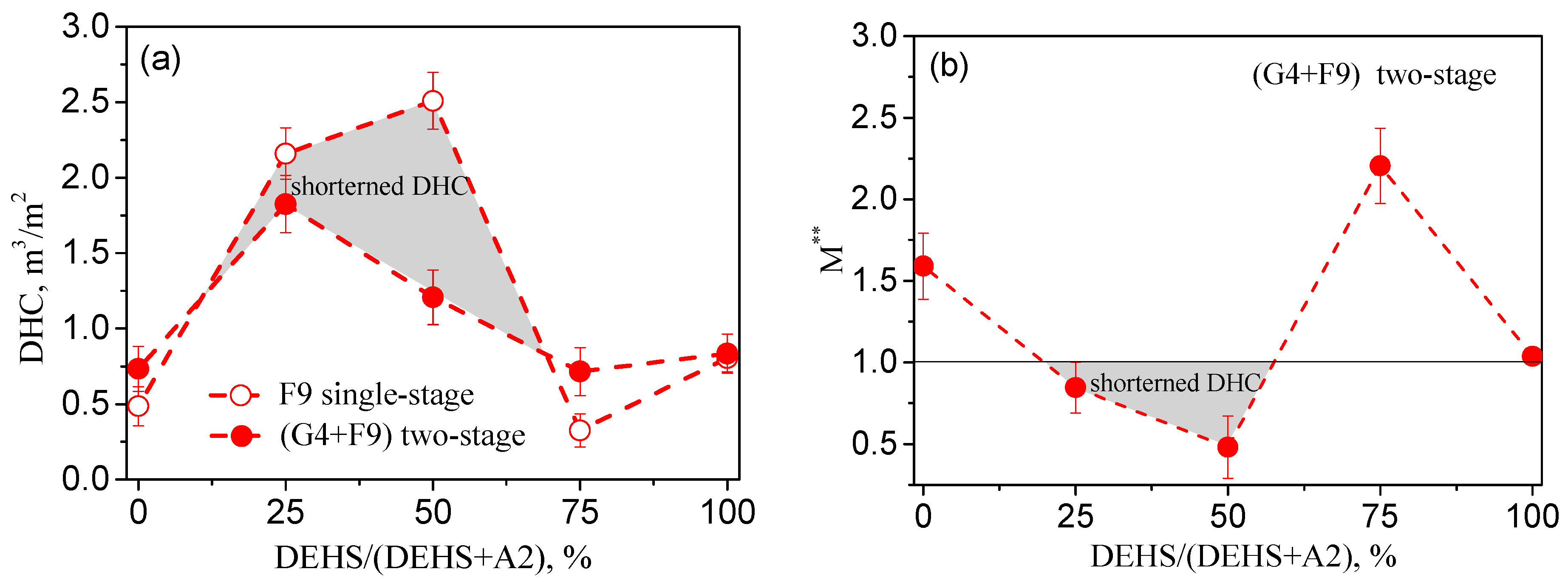
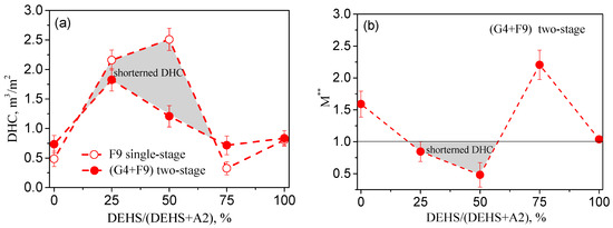
3.2. Loading Performance of Main-Stage Filter in a Two-Stage System
4. Conclusions
- The fraction of oil has a significant impact on the performance of single-stage filter loading. The DHC of filters exhibits a trend of “first increase significantly then drop dramatically and finally increase” with the percentage of oil content increase. A slight amount of oil helps increase the filter DHC by forming more porous cakes. However, an excess amount of oil can reduce the DHC by forming an impermeable liquid film on the solid skeleton.
- The utilization of a pre-stage filter may not increase the lifetime of the main-stage filter. The effectiveness of pre-stage filters can be strongly affected by the fraction of oil in the oil–solid particles; while the induced cake filtration scenario towards the film-clogging scenario will adversely reduce the lifetime of the main-stage filter. The micro-structures of different filters introduce extra complications towards this process, which requires case-specific testing of suitable filters and operations.
Author Contributions
Funding
Institutional Review Board Statement
Informed Consent Statement
Data Availability Statement
Acknowledgments
Conflicts of Interest
Abbreviations
| Dioctyl phthalate | (DOP) |
| Dioctyl sebacate | (DEHS) |
| Dust holding capacity | (DHC) |
| High efficiency particle air | (HEPA) |
| Scanning electron micro-scope | (SEM) |
| Video-enhanced micro-scope | (VEM) |
| Standard deviation | (SD) |
References
- Winsper, T. Gas Turbines: Changing the stages of air filtration. Filtr. Sep. 2012, 49, 34–36. [Google Scholar] [CrossRef]
- Brekke, O.; Bakken, L.E.; Syverud, E. Filtration of gas turbine intake air in offshore installations: The gap between test standards and actual operating conditions. In ASME Turbo Expo 2009: Power for Land, Sea, and Air; American Society of Mechanical Engineers: New York, NY, USA, 2009. [Google Scholar]
- Zhao, Y.; Song, X.; Wang, Y.; Zhao, J.; Zhu, K. Seasonal patterns of PM10, PM2.5, and PM1.0 concentrations in a naturally ventilated residential underground garage. Build. Environ. 2017, 124, 294–314. [Google Scholar] [CrossRef]
- Kim, J.-H.; Yeo, M.-S. Effect of Flow Rate and Filter Efficiency on Indoor PM2.5 in Ventilation and Filtration Control. Atmosphere 2020, 11, 22. [Google Scholar] [CrossRef]
- Effiom, S.O.; Abam, F.I.; Ohunakin, O.S. Performance modeling of industrial gas turbines with inlet air filtration system. Case Stud. Therm. Eng. 2015, 5, 160–167. [Google Scholar] [CrossRef]
- Auda, S.A.; Ali, O.M. Effect of operating conditions and air filters maintenance on the performance and efficiency of gas turbine power plant. Mater. Today Proc. 2023, in press. [CrossRef]
- Mo, J.; Gu, Y.; Tian, E. Efficiently remove submicron particles by a novel foldable electrostatically assisted air coarse filter. Sep. Purif. Technol. 2022, 288, 120631. [Google Scholar] [CrossRef]
- Schueler, J.D.; Tombers, M.D. Two-Stage Filtration Assembly for a Diesel Engine Crankcase Ventilation System. U.S. Patents No. 6,647,973 B1, 18 November 2003. [Google Scholar]
- Schroth, T.; Cagna, M. Economical Benefits of Highly Efficient Three-Stage Intake Air Filtration for Gas Turbines. In ASME Turbo Expo 2008: Power for Land, Sea, and Air; American Society of Mechanical Engineers: New York, NY, USA, 2008. [Google Scholar]
- González, L.F.; Joubert, A.; Andrès, Y.; Liard, M.; Renner, C.; Le Coq, L. Filtration performances of HVAC filters for PM10 and microbial aerosols—Influence of management in a lab-scale air handling unit. Aerosol Sci. Technol. 2016, 50, 555–567. [Google Scholar] [CrossRef]
- Dziubak, T. Performance characteristics of air intake pleated panel filters for internal combustion engines in a two-stage configuration. Aerosol Sci. Technol. 2018, 52, 1293–1307. [Google Scholar] [CrossRef]
- Mamakos, A.; Rose, D.; Besch, M.C.; He, S.; Gioria, R.; Melas, A.; Suarez-Bertoa, R.; Giechaskiel, B. Evaluation of Advanced Diesel Particulate Filter Concepts for Post Euro VI Heavy-Duty Diesel Applications. Atmosphere 2022, 13, 1682. [Google Scholar] [CrossRef]
- Shi, D.; Li, J.; Du, Y.; Wu, Q.; Huang, S.; Huang, H.; Wu, D. Influence of Relative Humidity on the Characteristics of Filter Cake Using Particle Flow Code Simulation. Atmosphere 2022, 13, 770. [Google Scholar] [CrossRef]
- Lee, J.-R.; Hasolli, N.; Jeon, S.-M.; Lee, K.-S.; Gang, J.-H.; Kim, K.-D.; Lee, K.-Y.; Park, Y.-O. Filtration Performance Characteristics of Sticky Aerosol Using Calcium Hydroxide. Atmosphere 2019, 10, 100. [Google Scholar] [CrossRef]
- Napolitano, P.; Di Domenico, D.; Di Maio, D.; Guido, C.; Golini, S. Ultra-Fine Particle Emissions Characterization and Reduction Technologies in a NG Heavy Duty Engine. Atmosphere 2022, 13, 1919. [Google Scholar] [CrossRef]
- Pei, C.; Ou, Q.; Pui, D.Y. Effects of temperature and relative humidity on laboratory air filter loading test by hygroscopic salts. Sep. Purif. Technol. 2021, 255, 117679. [Google Scholar] [CrossRef]
- Pei, C.; Ou, Q.; Pui, D.Y. Effect of relative humidity on loading characteristics of cellulose filter media by submicrometer potassium chloride, ammonium sulfate, and ammonium nitrate particles. Sep. Purif. Technol. 2019, 212, 75–83. [Google Scholar] [CrossRef]
- Pan, S.; Du, S.; Wang, X.; Zhang, X.; Xia, L.; Liu, J.; Pei, F.; Wei, Y. Analysis and interpretation of the particulate matter (PM10 and PM2.5) concentrations at the subway stations in Beijing, China. Sustain. Cities Soc. 2019, 45, 366–377. [Google Scholar] [CrossRef]
- Hu, H.; Chen, Q.; Qian, Q.; Lin, C.; Chen, Y.; Tian, W. Impacts of traffic and street characteristics on the exposure of cycling commuters to PM2.5 and PM10 in urban street environments. Build. Environ. 2020, 188, 107476. [Google Scholar] [CrossRef]
- Donahue, N.M.T.; Béla Dransfield, T. Air Pollution and Air Quality. In Green Chemistry; Elsevier: Amsterdam, The Netherlands, 2018; pp. 151–176. [Google Scholar]
- Stanek, L.W.B.; James, S. Air Pollution: Sources, Regulation, and Health Effects. In Reference Module in Biomedical Sciences; Elsevier: Amsterdam, The Netherlands, 2019; pp. 995–1002. [Google Scholar] [CrossRef]
- Hutten, I.M. Chapter 2—Filtration Mechanisms and Theory. In Handbook of Nonwoven Filter Media, 2nd ed.; Hutten, I.M., Ed.; Butterworth-Heinemann: Oxford, UK, 2016; pp. 53–107. [Google Scholar]
- Mullins, B.J.; Braddock, R.D. Capillary rise in porous, fibrous media during liquid immersion. Int. J. Heat Mass Transf. 2012, 55, 6222–6230. [Google Scholar] [CrossRef]
- Sutherland, K.; Chase, G. Filters and Filtration Handbook, 5th ed.; University of Oxford: Oxford, UK, 2008; pp. 369–450. [Google Scholar]
- Payet, S.; Boulaud, D.; Madelaine, G.; Renoux, A. Penetration and pressure drop of a HEPA filter during loading with submicron liquid particles. J. Aerosol Sci. 1992, 23, 723–735. [Google Scholar] [CrossRef]
- Mead-Hunter, R.; Braddock, R.D.; Kampa, D.; Merkel, N.; Kasper, G.; Mullins, B.J. The relationship between pressure drop and liquid saturation in oil-mist filters—Predicting filter saturation using a capillary based model. Sep. Purif. Technol. 2013, 104, 121–129. [Google Scholar] [CrossRef]
- Sheng, Y.; Ren, Q.; Zhang, L.; Wang, Y. Modeling and simulation of DEHS aerosol filtration by a three-dimensional knitted spacer air filter. Build. Environ. 2020, 186, 107365. [Google Scholar] [CrossRef]
- Penner, T.; Meyer, J.; Dittler, A. Oleophilic and oleophobic media combinations—Influence on oil mist filter operating performance. Sep. Purif. Technol. 2021, 261, 118255. [Google Scholar] [CrossRef]
- Gac, J.M.; Jackiewicz, A.; Werner; Jakubiak, S. Consecutive filtration of solid particles and droplets in fibrous filters. Sep. Purif. Technol. 2016, 170, 234–240. [Google Scholar] [CrossRef]
- Gac, J.M.; Jackiewicz-Zagórska, A.; Werner; Jakubiak, S. Numerical modeling of solid deposits reorganization during consecutive solid-liquid aerosol filtration: Influence on the dynamics of filtration efficiency. J. Aerosol Sci. 2018, 119, 13–21. [Google Scholar] [CrossRef]
- Yu, J.; Liang, Y.; Tang, M.; Yao, Y. A novel energy-efficient kapok filter paper with high DHC for solid-oil mixed aerosol: Performance and loading behavior evolution mechanism. Sep. Purif. Technol. 2020, 235, 116180. [Google Scholar] [CrossRef]
- Penicot, P.; Thomas, D.; Contal, P.; Leclerc, D.; Vendel, J. Clogging of HEPA fibrous filters by solid and liquid aerosol particles: An experimental study. Filtr. Sep. 1999, 36, 59–64. [Google Scholar] [CrossRef]
- Bredin, A.; O’Leary, R.A.; Mullins, B.J. Filtration of soot-in-oil aerosols: Why do field and laboratory experiments differ? Sep. Purif. Technol. 2012, 96, 107–116. [Google Scholar] [CrossRef]
- Müller, T.; Meyer, J.; Thébault, E.; Kasper, G. Impact of an oil coating on particle deposition and dust holding capacity of fibrous filters. Powder Technol. 2014, 253, 247–255. [Google Scholar] [CrossRef]
- Maddineni, A.K.; Das, D.; Damodaran, R.M. Inhibition of particle bounce and re-entrainment using oil-treated filter media for automotive engine intake air filtration. Powder Technol. 2017, 322, 369–377. [Google Scholar] [CrossRef]
- Hsiao, T.-C.; Chen, D.-R. Experimental observations of the transition pressure drop characteristics of fibrous filters loaded with oil-coated particles. Sep. Purif. Technol. 2015, 149, 47–54. [Google Scholar] [CrossRef]
- Tian, X.; Ou, Q.; Liu, J.; Liang, Y.; Pui, D.Y. Particle loading characteristics of a two-stage filtration system. Sep. Purif. Technol. 2019, 215, 351–359. [Google Scholar] [CrossRef]
- Tian, X.; Ou, Q.; Liu, J.; Liang, Y.; Pui, D.Y. Influence of pre-stage filter selection and face velocity on the loading characteristics of a two-stage filtration system. Sep. Purif. Technol. 2019, 224, 227–236. [Google Scholar] [CrossRef]
- Tian, X.; Ou, Q.; Pei, C.; Li, Z.; Liu, J.; Liang, Y.; Pui, D.Y. Effect of main-stage filter media selection on the loading performance of a two-stage filtration system. Build. Environ. 2021, 195, 107745. [Google Scholar] [CrossRef]
- Lee, J.-K.; Kim, S.-C.; Liu, B.Y.H. Effect of Bi-Modal Aerosol Mass Loading on the Pressure Drop for Gas Cleaning Industrial Filters. Aerosol Sci. Technol. 2001, 35, 805–814. [Google Scholar] [CrossRef]
- Joubert, A.; Laborde, J.C.; Bouilloux, L.; Callé-Chazelet, S.; Thomas, D. Influence of Humidity on Clogging of Flat and Pleated HEPA Filters. Aerosol Sci. Technol. 2010, 44, 1065–1076. [Google Scholar] [CrossRef]














| Filter Samples | Material | Permeability [L/(m2·s1)] | Average Weight [g/m2] | Average Fiber Diameter [μm] | Average Pore Diameter [μm] | |
|---|---|---|---|---|---|---|
| Pre-stage filter | G4 | PP | 3100 ± 400 | 173 ± 25 | 25.7 ± 8 | 14 ± 8 |
| Main-stage filter | F7 | Cellulose | 64 ± 10 | 110 ± 13 | 15.3 ± 8 | 7 ± 5 |
| F9 | Melt-blown fabrics | 97 ± 9 | 131 ± 9 | 8.1 ± 3 | 7 ± 2 | |
| E11 | PTFE membrane | 85 ± 6 | 108 ± 7 | 0.165 ± 8 | 0.05 ± 0.02 | |
Disclaimer/Publisher’s Note: The statements, opinions and data contained in all publications are solely those of the individual author(s) and contributor(s) and not of MDPI and/or the editor(s). MDPI and/or the editor(s) disclaim responsibility for any injury to people or property resulting from any ideas, methods, instructions or products referred to in the content. |
© 2023 by the authors. Licensee MDPI, Basel, Switzerland. This article is an open access article distributed under the terms and conditions of the Creative Commons Attribution (CC BY) license (https://creativecommons.org/licenses/by/4.0/).
Share and Cite
Tian, X.; Ou, Q.; Lu, Y.; Liu, J.; Liang, Y.; Pui, D.Y.H.; Yi, H. Influence of Oil Content on Particle Loading Characteristics of a Two-Stage Filtration System. Atmosphere 2023, 14, 551. https://doi.org/10.3390/atmos14030551
Tian X, Ou Q, Lu Y, Liu J, Liang Y, Pui DYH, Yi H. Influence of Oil Content on Particle Loading Characteristics of a Two-Stage Filtration System. Atmosphere. 2023; 14(3):551. https://doi.org/10.3390/atmos14030551
Chicago/Turabian StyleTian, Xinjiao, Qisheng Ou, Yajing Lu, Jingxian Liu, Yun Liang, David Y. H. Pui, and Hang Yi. 2023. "Influence of Oil Content on Particle Loading Characteristics of a Two-Stage Filtration System" Atmosphere 14, no. 3: 551. https://doi.org/10.3390/atmos14030551
APA StyleTian, X., Ou, Q., Lu, Y., Liu, J., Liang, Y., Pui, D. Y. H., & Yi, H. (2023). Influence of Oil Content on Particle Loading Characteristics of a Two-Stage Filtration System. Atmosphere, 14(3), 551. https://doi.org/10.3390/atmos14030551

