Precipitable Water Content Climatology over Poland
Abstract
:1. Introduction
2. Materials and Methods
3. Results
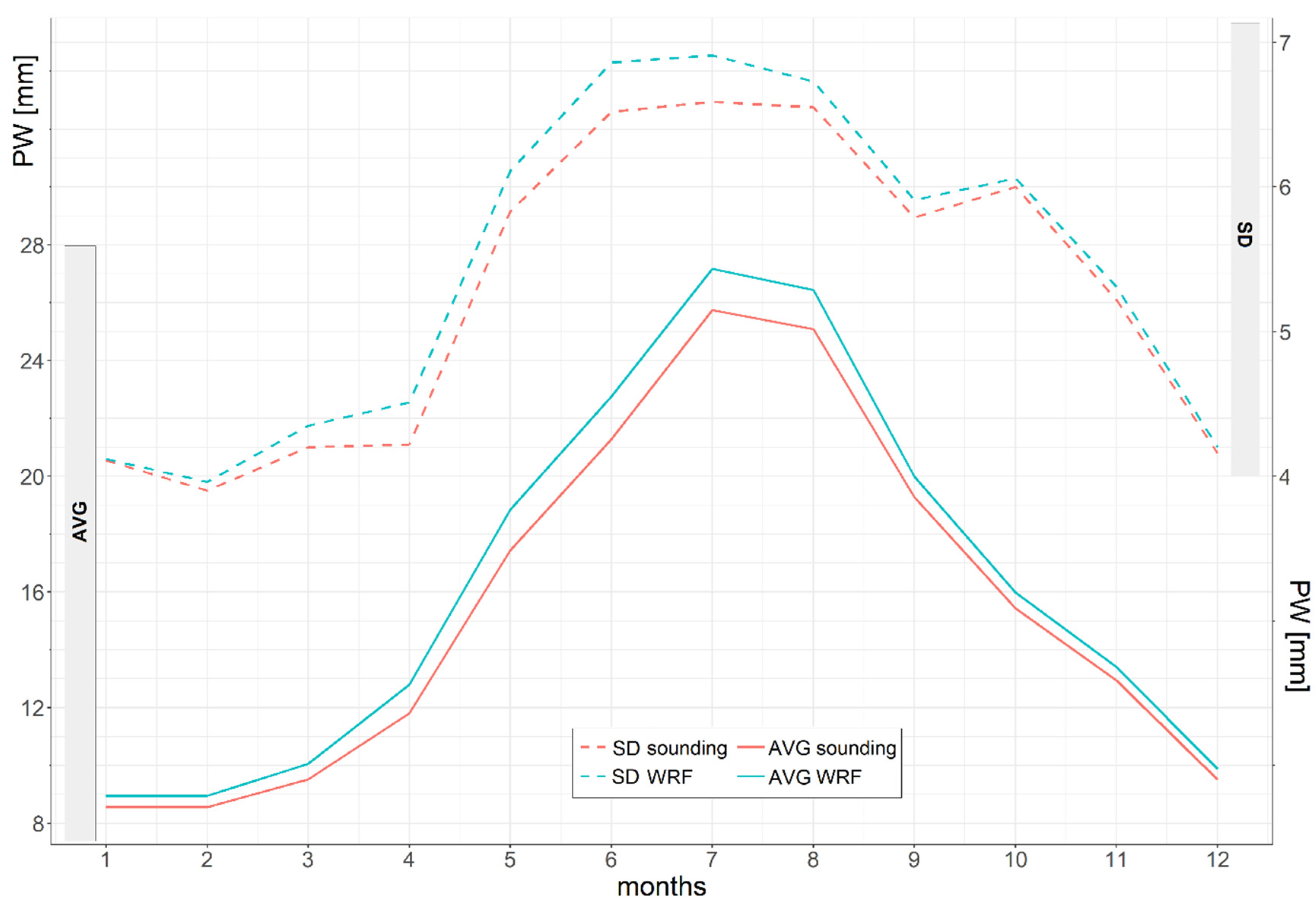
3.1. Model Evaluation
3.2. Spatial Distribution of PW over Poland
3.3. Spatial Distribution of PW over Poland at Individual Levels
3.4. Trends of PW Changes
4. Discussion
5. Conclusions
- PW calculated with the high-resolution WRF model meteorological data is in good agreement with data from atmospheric soundings. This is true not only for the entire column of the atmosphere but also for individual tropospheric levels. The closest agreement is observed in the lower part of the troposphere, especially for winter months.
- High-resolution PW information reveals detailed spatial and temporal variability over the area of Poland.
- Multi-year trends of PW variability are in line with previous studies, and the moisture content changes over Poland and Central Europe and contributes to the ongoing discussion on the observed climate changes.
Author Contributions
Funding
Institutional Review Board Statement
Informed Consent Statement
Data Availability Statement
Conflicts of Interest
References
- Glossary of Meteorology-AMS—American Meteorological Society. Precipitable Water. Available online: http//glossary.ametsoc.org/wiki/Precipitable_water (accessed on 16 May 2020).
- Bordi, I.; Zhu, X.; Fraedrich, K. Precipitable water vapour and its relationship with the Standardized Precipitation Index, ground based GPS measurements and reanalysis data. Theor. Appl. Climatol. 2016, 123, 263–275. [Google Scholar] [CrossRef]
- Tuller, S.E. Seasonal and annual precipitation efficiency in Canada. Atmosphere 1973, 11, 52–66. [Google Scholar] [CrossRef] [Green Version]
- Fadil, A.; Ben Sari, D. Correlation between precipitable water and rainfall using global positioning system (GPS) technique. In Remote Sensing of the Atmosphere for the Environmental Security; Perrin, A., Ben Sari-Ziz, N., Demaison, J., Eds.; NATO Security through Science Series (NATO Security through Science Series C, Environmental Security); Springer: Dordrecht, The Netherlands, 2006; pp. 271–284. [Google Scholar]
- Ye, H.; Fetzer, E.J.; Wong, S.; Behrangi, A.; Olsen, E.T.; Cohen, J.; Lambrigtsen, B.H.; Chen, L. Impact of increasing water vapour on precipitation efficiency over northern Eurasia. Geophys. Res. Lett. 2014, 41, 2941–2947. [Google Scholar] [CrossRef]
- Chakraborty, S.; Adhikari, A.; Maitra, A. Rainfall estimation from liquid water content and precipitable water content data over land; ocean and plateau. Atmos. Res. 2016, 167, 265–274. [Google Scholar] [CrossRef]
- Gueymard, C.A. Impact of on-site atmospheric water vapor estimation methods on the accuracy of local solar irradiance predictions. Sol. Energy 2014, 101, 74–82. [Google Scholar] [CrossRef]
- Bright, J.M.; Gueymard, C.A.; Killinger, S.; Lingfors, D.; Sun, X.X.; Wang, P.; Engerer, N.A. Climatic and Global Validation of Daily MODIS Precipitable Water Data at AERONET Sites for Clear-sky Irradiance Modelling. In Proceedings of the ISES EuroSun 2018 Conference—12th International Conference on Solar Energy for Buildings and Industry, Rapperswil-Jona, Switzerland, 13 September 2018; pp. 1490–1501. [Google Scholar] [CrossRef] [Green Version]
- Obregon, M.A.; Serrano, A.; Costa, M.J.; Silva, A.M. Global Spatial and Temporal Variation of the Combined Effect of Aerosol and Water Vapour on Solar Radiation. Remote Sens. 2021, 13, 708. [Google Scholar] [CrossRef]
- Salamalikis, V.; Vamvakas, I.; Gueymard, C.A.; Kazantzidis, A. Atmospheric water vapor radiative effects on shortwave radiation under clear skies: A global spatiotemporal analysis. Atmos. Res. 2021, 251, 105418. [Google Scholar] [CrossRef]
- Kelsey, V.; Riley, S.; Minschwaner, K. Atmospheric precipitable water vapor and its correlation with clear-sky infrared temperature observations. Atmos. Meas. Technol. 2022, 15, 1563–1576. [Google Scholar] [CrossRef]
- Ruckstuhl, C.; Philipona, R.; Morland, J.; Ohmura, A. Observed relationship between surface specific humidity, integrated water vapor, and longwave downward radiation at different altitudes. J. Geophys. Res. Atmos. 2007, 112, D03302. [Google Scholar] [CrossRef]
- Naud, C.M.; Miller, J.R.; Landry, C. Using satellites to investigate the sensitivity of longwave downward radiation to water vapor at high elevations. J. Geophys. Res. Atmos. 2012, 117, D05101. [Google Scholar] [CrossRef]
- Maghrabi, A.H.; Almutayri, M.M.; Aldosary, A.F.; Allehyani, B.I.; Aldakhil, A.A.; Aljarba, G.A.; Altilasi, M.I. The influence of atmospheric water content, temperature, and aerosol optical depth on downward longwave radiation in arid conditions. Theor. Appl. Climatol. 2019, 138, 1375–1394. [Google Scholar] [CrossRef]
- Hao, M.J.; Lin, Y.L.; Luo, Y.; Nath, R.; Zhao, Z.C. The impact of atmospheric moisture transport on winter Arctic warming: Radiation versus latent heat release. Int. J. Climatol. 2021, 41, 3982–3993. [Google Scholar] [CrossRef]
- Harvey, L.D.D. An assessment of the potential impact of a downward shift of tropospheric water vapor on climate sensitivity. Clim. Dyn. 2000, 16, 491–500. [Google Scholar] [CrossRef]
- Colman, R. Geographical contributions to global climate sensitivity in a General Circulation Model. Glob. Planet. Chang. 2002, 32, 211–243. [Google Scholar] [CrossRef]
- Zhang, J.P.; Zhao, T.B. Historical and future changes of atmospheric precipitable water over China simulated by CMIP5 models. Clim. Dyn. 2019, 52, 6969–6988. [Google Scholar] [CrossRef]
- Virginie, M.; Jean-François, M. Four-Dimensional Variational Assimilation of Total Column Water Vapor in Rainy Areas. Mon. Weather Rev. 2002, 130, 43–58. [Google Scholar] [CrossRef]
- Meng, Z.; Yunqi, N.; Fuqing, Z. Variational assimilation of GPS precipitable water vapor and hourly rainfall observations for a meso-β scale heavy precipitation event during the 2002 mei-yu season. Adv. Atmos. Sci. 2007, 24, 509–526. [Google Scholar] [CrossRef]
- Takuya, K.; Tohru, K.; Hiromu, S.; Kazuo, S. Cloud-Resolving 4DVAR Assimilation Experiment for a Local Heavy Rainfall Event in the Tokyo Metropolitan Area. Mon. Weather Rev. 2011, 139, 1911–1931. [Google Scholar] [CrossRef]
- Moore, A.; Small, I.J.; Gutman, S.; Laber, J. National weather service forecasters use GPS precipitable water vapor for enhanced situational awareness during the southern California summer monsoon. Bull. Am. Meteorol. Soc. 2015, 96, 1867–1877. [Google Scholar] [CrossRef]
- Pérez-Jordán, G.; Castro-Almazán, J.A.; Muñoz-Tuñón, C.; Codina, B.; Vernin, J. Forecasting the precipitable water vapour content, validation for astronomical observatories using radiosoundings. Mon. Not. R. Astron. Soc. 2015, 452, 1992–2003. [Google Scholar] [CrossRef]
- Risanto, C.B.; Castro, C.L.; Moker, J.M., Jr.; Arellano, A.F., Jr.; Adams, D.K.; Fierro, L.M.; Minjarez Sosa, C.M. Evaluating Forecast Skills of Moisture from Convective-Permitting WRF-ARW Model during 2017 North American Monsoon Season. Atmosphere 2019, 10, 694. [Google Scholar] [CrossRef] [Green Version]
- Zhao, Q.Z.; Liu, Y.; Yao, W.Q.; Yao, Y.B. Hourly Rainfall Forecast Model Using Supervised Learning Algorithm. IEEE Trans. Geosci. Remote Sens. 2022, 60, 1–9. [Google Scholar] [CrossRef]
- Ikuta, Y.; Seko, H.; Shoji, Y. Assimilation of shipborne precipitable water vapour by Global Navigation Satellite Systems for extreme precipitation events. Q. J. R. Meteorol. Soc. 2022, 148, 57–75. [Google Scholar] [CrossRef]
- Dotzek, N. An updated estimate of tornado occurrence in Europe. Atmos. Res. 2003, 67–68, 153–161. [Google Scholar] [CrossRef]
- Bissolli, P.; Grieser, J.; Dotzek, N.; Welsch, M. Tornadoes in Germany 1950–2003 and their relation to particular weather conditions. Glob. Planet Chang. 2007, 57, 124–138. [Google Scholar] [CrossRef] [Green Version]
- Sobik, M.; Błaś, M. Wyjątkowe zdarzenia meteorologiczne. In Wyjątkowe Zdarzenia Przyrodnicze na Dolnym Śląsku; Migoń, P., Ed.; University of Wrocław: Wrocław, Poland, 2010; pp. 35–59. (In Polish) [Google Scholar]
- Allan, R.P.; Lavers, D.A.; Champion, A.J. Diagnosing links between atmospheric moisture and extreme daily precipitation over the UK. Int. J. Climatol. 2016, 36, 3191–3206. [Google Scholar] [CrossRef] [Green Version]
- Bonafoni, S.; Biondi, R.; Brenot, H.; Anthes, R. Radio occultation and ground-based GNSS products for observing, understanding and predicting extreme events, a review. Atmos. Res. 2019, 230, 104624. [Google Scholar] [CrossRef]
- Hagos, S.M.; Leung, R.L.; Garuba, O.A.; Demott, C.; Harrop, B.; Lu, J.; Ahn, M.S. The Relationship between Precipitation and Precipitable Water in CMIP6 Simulations and Implications for Tropical Climatology and Change. J. Clim. 2021, 34, 1587–1600. [Google Scholar] [CrossRef]
- Kim, S.; Sharma, A.; Wasko, C.; Nathan, R. Linking Total Precipitable Water to Precipitation Extremes Globally. Earths Future 2022, 10, e2021EF002473. [Google Scholar] [CrossRef]
- Mishra, A.K. Variability of integrated precipitable water over India in a warming climate. Meteorol. Appl. 2020, 27, e1869. [Google Scholar] [CrossRef] [Green Version]
- Wypych, A.; Bochenek, B.; Różycki, M. Atmospheric Moisture Content over Europe and the Northern Atlantic. Atmosphere 2018, 9, 18. [Google Scholar] [CrossRef] [Green Version]
- Neiman, P.J.; Ralph, F.M.; Wick, G.A.; Lundquist, J.D.; Dettinger, M.D. Meteorological characteristics and overland precipitation impacts of atmospheric rivers affecting the West Coast of North America based on eight years of SSM/I satellite observations. J. Hydrometeorol. 2008, 9, 22–47. [Google Scholar] [CrossRef]
- Browning, K.A. Organization of clouds and precipitation in extratropical cyclones. In Extratropical Cyclones, The Erik Palmén Memorial Volume; Newton, C.W., Holopainen, E., Eds.; American Meteorological Society: Boston, MA, USA, 1990; pp. 129–153. [Google Scholar]
- Carlson, T.N. Mid-Latitude Weather Systems; Harper-Collins: London, UK, 1991. [Google Scholar]
- Ralph, F.M.; Neiman, P.J.; Wick, G.A. Satellite and CALJET aircraft observations of atmospheric rivers over the eastern North Pacific Ocean during the winter of 1997/98. Mon. Weather Rev. 2004, 132, 1721–1745. [Google Scholar] [CrossRef] [Green Version]
- Dettinger, M.; Ralph, F.M.; Das, T.; Neiman, P.J.; Cayan, D.R. Atmospheric rivers, floods and the water resources of California. Water 2011, 3, 445–478. [Google Scholar] [CrossRef]
- Ramos, A.M.; Trigo, R.M.; Liberato, M.L.R.; Tome, R. Daily precipitation extreme events in the Iberian Peninsula and its association with Atmospheric Rivers. J. Hydrometeorol. 2015, 16, 579–597. [Google Scholar] [CrossRef]
- Eiras-Barca, J.; Brands, S.; Miguez-Macho, G. Seasonal variations in North Atlantic atmospheric river activity and associations with anomalous precipitation over the Iberian Atlantic Margin. J. Geophys. Res.-Atmos. 2016, 121, 931–948. [Google Scholar] [CrossRef] [Green Version]
- Eiras-Barca, J.; Ramos, A.M.; Algarra, I.; Vázquez, M.; Dominguez, F.; Miguez-Macho, G.; Nieto, R.; Gimeno, L.; Taboada, J.; Ralph, F.M. European West Coast atmospheric rivers, A scale to characterize strength and impacts. Weather Clim. Extrem. 2021, 31, 100305. [Google Scholar] [CrossRef]
- Brands, S.; Gutiérrez, J.M.; San-Martín, D. Twentieth-century atmospheric river activity along the west coasts of Europe and North America: Algorithm formulation, reanalysis uncertainty and links to atmospheric circulation patterns. Clim. Dyn. 2017, 48, 9–10. [Google Scholar] [CrossRef] [Green Version]
- Ross, R.J.; Elliott, W.P. Tropospheric water vapor climatology and trends over North America, 1973–1993. J. Clim. 1996, 9, 3561–3574. [Google Scholar] [CrossRef] [Green Version]
- Durre, I.; Williams, C.N.; Yin, X.; Vose, R.S. Radiosonde-based trends in precipitable water over the Northern Hemisphere, an update. J. Geophys. Res. 2009, 114, D05112. [Google Scholar] [CrossRef]
- Xie, B.; Zhang, Q.; Ying, Y. Trends in precipitable water and relative humidity in China, 1979–2005. J. Appl. Meteorol. Clim. 2011, 50, 1985–1994. [Google Scholar] [CrossRef]
- Susskind, J.; Rosenfeld, J.; Reuter, D.; Chahine, M.T. Remote sensing of weather and climate paramteres from HIRS2/MSU on TIROS-N. J. Geophys. Res. 1984, 89, 4677–4697. [Google Scholar] [CrossRef]
- Malderen Van, R.; Brenot, H.; Pottiaux, E.; Beirle, S.; Hermans, C.; De Mazière, M.; Wagner, T.; De Backer, H.; Bruyninx, C. A multi-site intercomparison of integrated water vapour observations for climate change analysis. Atmos. Meas. Technol. 2014, 7, 2487–2512. [Google Scholar] [CrossRef] [Green Version]
- Bevis, M.; Businger, S.; Chiswell, S.; Herring, T.; Anthes, R.; Rocken, C.; Ware, R. GPS Meteorology, Mapping Zenith Wet Delays onto Precipitable Water. J. Appl. Meteorol. 1994, 33, 379–386. [Google Scholar] [CrossRef]
- Liang, H.; Cao, Y.; Wan, X.; Xu, Z.; Wang, H.; Hu, H. Meteorological applications of precipitable water vapour measurements retrieved by the national GNSS network of China. Geod. Geodyn. 2015, 6, 135–142. [Google Scholar] [CrossRef] [Green Version]
- Fujita, M.; Sato, T. Observed behaviors of precipitable water vapour and precipitation intensity in response to upper air profiles estimated from surface air temperature. Sci. Rep. 2017, 7, 4233. [Google Scholar] [CrossRef]
- Hanna, N.; Trzcina, H.N.; Möller, G.; Rohm, W.; Weber, R. Assimilation of GNSS tomography products into the Weather Research and Forecasting model using radio occultation data assimilation operator. Atmos. Meas. Technol. 2019, 12, 4829–4848. [Google Scholar] [CrossRef]
- Ning, T.; Elgered, G.; European Space Agency. Monitoring Climate Using Ground-Based GNSS Measurements. Available online: http//gssc.esa.int/navipedia/index.php/Monitoring_Climate_Using_Ground-based_GNSS_Measurements (accessed on 10 May 2015).
- Niell, A.E.; Coster, A.J.; Solheim, F.S.; Mendes, V.B.; Toor, P.C.; Langley, R.B.; Upham, C.A. Comparison of measurements of atmospheric wet delay by radiosonde, water vapor radiometer, GPS, and VLBI. J. Atmos. Ocean. Technol. 2001, 18, 830–850. [Google Scholar] [CrossRef] [Green Version]
- Guerova, G.; Jones, J.; Douša, J.; Dick, G.; de Haan, S.; Pottiaux, E.; Bock, O.; Pacione, R.; Elgered, G.; Vedel, H.; et al. Review of the state of the art and future prospects of the ground-based GNSS meteorology in Europe. Atmos. Meas. Technol. 2016, 9, 5385–5406. [Google Scholar] [CrossRef] [Green Version]
- Wibig, J.; Siedlecki, M. Przestrzenny i czasowy rozkład zawartości wody opadowej w atmosferze nad Europą (1958–2005). In Wahania Klimatu w Różnych Skalach Przestrzennych i Czasowych; Piotrowicz, K., Twardosz, R., Eds.; Instytut Geografii i Gospodarki Przestrzennej, Uniwersytet Jagielloński: Kraków, Poland, 2007; pp. 195–204. (In Polish) [Google Scholar]
- Cossu, F.; Hocke, K. Influence of microphysical schemes on atmospheric water in the Weather Research and Forecasting model. Geosci. Model Dev. 2014, 7, 147–160. [Google Scholar] [CrossRef] [Green Version]
- Kożuchowski, K.M. Zawartość wody opadowej w atmosferze i opady w Polsce. Przeg. Geofiz. 2016, LXI(3–4), 151–169. (In Polish) [Google Scholar]
- Degirmendžić, J.; Kożuchowski, K. Mediterranean cyclones, the atmospheric moisture content and precipitation in Poland. Geogr. Pol. 2017, 90, 5–20. [Google Scholar] [CrossRef]
- Araszkiewicz, A.; Kiliszek, D.; Mierzwiak, M.; Nowak Da Costa, J.; Szołucha, M. GPS –Based Multi-Temporal Variation in Precipitable Water over Territory of Poland. Remote Sens. 2021, 13, 2960. [Google Scholar] [CrossRef]
- Skamarock, W.C.; Klemp, J.B.; Dudhia, J.; Gill, D.O.; Barker, D.M.; Duda, M.; Huang, X.Y.; Wang, W.; Powers, J.G. A Description of the Advanced Research WRF Version 3; Technical report TN-475+STR: June 2008; NCAR: Boulder, CO, USA, 2008. [Google Scholar]
- Dee, D.P.; Uppala, S.M.; Simmons, A.J.; Berrisford, P.; Poli, P.; Kobayashi, S.; Andrae, U.; Balmaseda, M.A.; Balsamo, G.; Bauer, P.; et al. The Era-Interim reanalysis, configuration and performance of the data assimilation system. Q. J. R. Meteorol. Soc. 2011, 137, 553–597. [Google Scholar] [CrossRef]
- Kryza, M.; Werner, M.; Wałaszek, K.; Dore, A.J. Application and evaluation of the WRF model for high-resolution forecasting of rainfall—A case study of SW Poland. Meteorol. Z. 2013, 22, 595–601. [Google Scholar] [CrossRef]
- Kryza, M.; Wałaszek, K.; Ojrzyńska, H.; Szymanowski, M.; Werner, M.; Dore, A.J. High resolution dynamical downscaling of ERA-Interim using the WRF regional climate model for the area of Poland. Part 1, model configuration and statistical evaluation for the 1981–2010 period. Pure Appl. Geophys. 2017, 174, 511–526. [Google Scholar] [CrossRef] [Green Version]
- Wałaszek, K.; Kryza, M.; Werner, M. Evaluation of the WRF meteorological model results during a high ozone episode in SW Poland—The role of model initial conditions. Int. J. Environ. Pollut. 2014, 54, 193–202. [Google Scholar] [CrossRef] [Green Version]
- Iacono, M.J.; Delamere, J.S.; Mlawer, E.J.; Shephard, M.W.; Clough, S.A.; Collins, W.D. Radiative forcing by long-lived greenhouse gases, Calculations with the AER radiative transfer models. J. Geophys. Res-Atmos. 2008, 113, D13103. [Google Scholar] [CrossRef]
- Mlawer, E.J.; Taubman, S.J.; Brown, P.D.; Iacono, M.J.; Clough, S.A. Radiative transfer for inhomogeneous atmospheres: RRTM, a validated correlated-k model for the longwave. J. Geophys. Res.-Atmos. 1997, 102, 16663–16682. [Google Scholar] [CrossRef] [Green Version]
- Hong, S.-Y.; Noh, Y.; Dudhia, J. A New Vertical Diffusion Package with an Explicit Treatment of Entrainment Processes. Mon. Weather Rev. 2006, 134, 2318–2341. [Google Scholar] [CrossRef] [Green Version]
- Kain, J.S. The Kain–Fritsch Convective Parameterization, an update. J. Appl. Meteorol. 2004, 43, 170–181. [Google Scholar] [CrossRef] [Green Version]
- Tao, W.-K.; Simpson, J.; McCumber, M. An Ice-Water Saturation Adjustment. Mon. Weather Rev. 1989, 117, 231–235. [Google Scholar] [CrossRef] [Green Version]
- Vaisala, Comparison of Vaisala Radiosondes RS41 and RS92; White Paper; Ref. B211317EN–B © Vaisala: Helsinki, Finland, 2014.
- Miloshevich, L.M.; Vömel, H.; Whiteman, D.N.; Leblanc, T. Accuracy assessment and correction of Vaisala RS92 radiosonde water vapor measurements. J. Geophys. Res. 2009, 114, D11305. [Google Scholar] [CrossRef] [Green Version]
- NCAR Command Language Software, Version 6.6.2; UCAR/NCAR/CISL/TDD: Boulder, CO, USA, 2019. [CrossRef]
- R Core Team. A Language and Environment for Statistical Computing; R Foundation for Statistical Computing: Vienna, Austria; ISBN 3-900051-07-0. Available online: R-project.org (accessed on 14 June 2013).
- Trenberth, K.; Fasullo, J.; Smith, L. Trends and variability in column-integrated atmospheric water vapor. Clim. Dyn. 2005, 24, 741–758. [Google Scholar] [CrossRef]
- Chen, B.Y.; Liu, Z.Z. Global water vapor variability and trend from the latest 36 year (1979 to 2014) data of ECMWF and NCEP reanalyses, radiosonde, GPS, and microwave satellite. J. Geophys. Res. Atmos. 2016, 121, 11442–11462. [Google Scholar] [CrossRef]
- Nayak, S.; Takemi, T. Dependence of extreme precipitable water events on temperature. Atmosfera 2019, 32, 159–165. [Google Scholar] [CrossRef]
- Zveryaev, I.I.; Wibig, J.; Allan, R.P. Contrasting interannual variability of atmospheric moisture over Europe during cold and warm seasons. Tellus A 2008, 60, 32–41. [Google Scholar] [CrossRef]
- Wang, Y.; Zhang, Y.; Fu, Y.F.; Li, R.; Yang, Y.J. A climatological comparison of column-integrated water vapor for the third-generation reanalysis datasets. Sci. China Earth Sci. 2016, 59, 296–306. [Google Scholar] [CrossRef]
- Jiang, J.; Zhou, T.J.; Zhang, W.X. Evaluation of Satellite and Reanalysis Precipitable Water Vapor Data Sets Against Radiosonde Observations in Central Asia. Earth Space Sci. 2019, 6, 1129–1148. [Google Scholar] [CrossRef] [Green Version]
- Varga, A.J.; Breuer, H. Evaluation of convective parameters derived from pressure level and native ERA5 data and different resolution WRF climate simulations over Central Europe. Clim. Dyn. 2022, 58, 1569–1585. [Google Scholar] [CrossRef]
- Taszarek, M.; Pilguj, N.; Allen, J.T.; Gensini, V.; Brooks, H.E.; Szuster, P. Comparison of Convective Parameters Derived from ERA5 and MERRA-2 with Rawinsonde Data over Europe and North America. J. Clim. 2021, 34, 3211–3237. [Google Scholar] [CrossRef]
- González, A.; Expósito, F.J.; Pérez, J.C.; Díaz, J.P.; Taima, D. Verification of precipitable water vapour in high-resolution WRF simulations over a mountainous archipelago. Q. J. R. Meteorol. Soc. 2013, 139, 2119–2133. [Google Scholar] [CrossRef]
- Fedele, F.; Miglietta, M.M.; Perrone, M.R.; Brlizzi, P.; Bellotti, R.; Conte, D.; Guarnieri Calò Carducci, A. Numerical simulations with the WRF model of water vapour vertical profiles, a comparison with LIDAR and radiosounding measurements. Atmos. Res. 2015, 166, 110–119. [Google Scholar] [CrossRef]
- Diaz, L.R.; Santos, D.C.; Kafer, P.S.; Iglesias, M.L.; da Rocha, N.S.; da Costa, S.T.L.; Kaiser, E.A.; Rolim, S.B.A. Reanalysis profile downscaling with WRF model and sensitivity to PBL parameterization schemes over a subtropical station. J. Atmos. Sol. Terr. Phys. 2021, 222, 105724. [Google Scholar] [CrossRef]
- Johnsen, K.P.; Rockel, B. Validation of a regional weather forecast model with GPS data. Phys. Chem. Earth. 2001, 26, 415–419. [Google Scholar] [CrossRef]
- Westwater, E.R.; Crewell, S.; Matzler, C. Surface-based microwaveand millimeter wave radiometric remote sensing of the troposphere, a tutorial. IEEE Geosci. Remote Sens. Soc. Newsl. 2005, 134, 16–33. [Google Scholar]
- McGrath, R.; Semmler, T.; Sweeney, C.; Wang, S. Impact of balloon drift errors in radiosonde data on climate statistics. J. Clim. 2006, 19, 3430–3442. [Google Scholar] [CrossRef]
- Morland, J.; Mätzler, C. Spatial interpolation of GPS integrated water vapour measurements made in the Swiss Alps. Meteorol. Appl. 2007, 14, 15–26. [Google Scholar] [CrossRef]
- Cossu, F.; Hocke, K.; Martynov, A.; Martius, O.; Mätzler, C. Atmospheric water parameters measured by a ground-based microwave radiometer and compared with the WRF model. Atmos. Sci. Lett. 2015, 16, 465–472. [Google Scholar] [CrossRef] [Green Version]
- Schrader, F.; Durner, W.; Fank, J.; Gebler, S.; Putz, T.; Hannes, M.; Wollshlager, U. Estimating precipitation and actual evapotranspiration from precision Lysimeter measurements. Procedia Environ. Sci. 2013, 19, 543–552. [Google Scholar] [CrossRef] [Green Version]
- Ross, R.J.; Elliot, W.P. Radiosonde-based Northern Hemisphere tropospheric water vapor trends. J. Clim. 2001, 14, 1602–1612. [Google Scholar] [CrossRef]
- Zhang, Y.H.; Xu, J.W.; Yang, N.; Lan, P. Variability and Trends in Global Precipitable Water Vapor Retrieved from COSMIC Radio Occultation and Radiosonde Observations. Atmosphere 2018, 9, 174. [Google Scholar] [CrossRef] [Green Version]
















| d01 | d02 | d03 | |
|---|---|---|---|
| Short-wave radiation | RRTMG [67] | ||
| Long-wave radiation | RRTM [68] | ||
| Planetary boundary layer | Yonsei University scheme [69] | ||
| Cumulus convection | Kain-Fritsch [70] | Explicitly resolved | |
| Microphysics | Goddard [71] | ||
| Land surface model | Noah land surface model | ||
| Nr | Station | Code | ϕ (N) | λ (E) | Elevation [m a.s.l.] |
|---|---|---|---|---|---|
| 1. | Legionowo | 12374 | 52.40 | 20.96 | 96 |
| 2. | Lindenberg | 10393 | 52.21 | 14.11 | 115 |
| 3. | Łeba | 12120 | 54.75 | 17.53 | 6 |
| 4. | Praha | 11520 | 50.01 | 14.45 | 304 |
| 5. | Prostějov | 11747 | 49.45 | 17.11 | 216 |
| 6. | Wrocław | 12425 | 51.78 | 16.88 | 122 |
| R2 (−) | RMSE (mm) | RMSEavg (%) | AVG (mm) | SD (mm) | N | |
|---|---|---|---|---|---|---|
| Years 2001–2010 | 0.97 | 2.10 | 13.62 | 15.42 | 8.06 | 38,689 |
| Spring | 0.96 | 1.96 | 15.14 | 12.95 | 5.86 | 9800 |
| Summer | 0.92 | 3.08 | 12.80 | 24.07 | 6.84 | 9586 |
| Autumn | 0.97 | 1.74 | 10.96 | 15.88 | 6.25 | 9653 |
| Winter | 0.97 | 1.12 | 12.60 | 8.89 | 4.08 | 9650 |
| 2001–2010 | Spring | Summer | Autumn | Winter | ||
|---|---|---|---|---|---|---|
| up to 1.5 km | R2 | 0.91 | 0.87 | 0.70 | 0.87 | 0.89 |
| RMSE (mm) | 1.83 | 1.64 | 2.48 | 1.79 | 1.20 | |
| RMSEavg (%) | 20.70 | 21.33 | 18.89 | 19.39 | 22.35 | |
| AVG (mm) | 8.84 | 7.69 | 13.13 | 9.23 | 5.37 | |
| SD (mm) | 4.19 | 3.23 | 3.42 | 3.30 | 2.33 | |
| 1.5–3.0 km | R2 | 0.84 | 0.80 | 0.70 | 0.79 | 0.81 |
| RMSE (mm) | 2.02 | 1.81 | 2.82 | 1.92 | 1.19 | |
| RMSEavg (%) | 46.22 | 49.73 | 39.89 | 44.55 | 47.79 | |
| AVG (mm) | 4.37 | 3.64 | 7.07 | 4.31 | 2.49 | |
| SD (mm) | 2.95 | 2.29 | 2.98 | 2.52 | 1.75 | |
| 3.0–6.0 km | R2 | 0.91 | 0.89 | 0.87 | 0.90 | 0.88 |
| RMSE (mm) | 1.08 | 0.91 | 1.51 | 1.04 | 0.72 | |
| RMSEavg (%) | 35.18 | 37.30 | 30.32 | 32.40 | 43.37 | |
| AVG (mm) | 3.07 | 2.44 | 4.98 | 3.21 | 1.66 | |
| SD (mm) | 2.46 | 1.85 | 2.80 | 2.27 | 1.36 | |
| 6.0–10.0.km | R2 | 0.86 | 0.84 | 0.80 | 0.85 | 0.84 |
| RMSE (mm) | 0.33 | 0.23 | 0.51 | 0.32 | 0.16 | |
| RMSEavg (%) | 73.33 | 74.19 | 65.38 | 65.31 | 76.19 | |
| AVG (mm) | 0.45 | 0.31 | 0.78 | 0.49 | 0.21 | |
| SD (mm) | 0.44 | 0.28 | 0.55 | 0.41 | 0.20 | |
| I | II | III | IV | V | VI | VII | VIII | IX | X | XI | XII | Annual | |
|---|---|---|---|---|---|---|---|---|---|---|---|---|---|
| AVG | 8.7 | 8.6 | 9.7 | 12.9 | 18.5 | 22.6 | 25.8 | 25.2 | 20.1 | 15.7 | 12.1 | 9.6 | 15.8 |
| SD | 4.1 | 4.0 | 4.4 | 4.9 | 6.1 | 6.7 | 6.8 | 6.7 | 6.3 | 6.3 | 5.1 | 4.4 | 8.3 |
| VC | 46.4 | 46.1 | 44.8 | 37.8 | 33.2 | 29.5 | 26.2 | 26.7 | 31.2 | 40.1 | 41.9 | 45.9 | 52.7 |
| Up to 1.5 km | 1.5–3 km | 3–6 km | 6–10 km | ||
|---|---|---|---|---|---|
| AVG | 1983–2010 | 8.2 | 5.2 | 3.3 | 0.6 |
| Spring | 7.3 | 4.5 | 2.7 | 0.4 | |
| Summer | 12.5 | 8.2 | 5.2 | 1.0 | |
| Autumn | 8.2 | 5.1 | 3.5 | 0.7 | |
| Winter | 4.7 | 2.9 | 1.9 | 0.3 | |
| SD | 1983–2010 | 3.9 | 3.2 | 2.4 | 0.5 |
| Spring | 3.0 | 2.6 | 1.8 | 0.3 | |
| Summer | 2.7 | 3.0 | 2.7 | 0.6 | |
| Autumn | 3.0 | 2.8 | 2.2 | 0.5 | |
| Winter | 1.9 | 1.8 | 1.3 | 0.2 | |
| VC | 1983–2010 | 47.6 | 61.5 | 72.7 | 83.3 |
| Spring | 41.1 | 57.8 | 66.7 | 75.0 | |
| Summer | 21.6 | 36.6 | 51.9 | 60.0 | |
| Autumn | 36.6 | 54.9 | 62.9 | 71.4 | |
| Winter | 40.4 | 62.1 | 68.4 | 66.7 |
Publisher’s Note: MDPI stays neutral with regard to jurisdictional claims in published maps and institutional affiliations. |
© 2022 by the authors. Licensee MDPI, Basel, Switzerland. This article is an open access article distributed under the terms and conditions of the Creative Commons Attribution (CC BY) license (https://creativecommons.org/licenses/by/4.0/).
Share and Cite
Ojrzyńska, H.; Błaś, M.; Kryza, M. Precipitable Water Content Climatology over Poland. Atmosphere 2022, 13, 988. https://doi.org/10.3390/atmos13060988
Ojrzyńska H, Błaś M, Kryza M. Precipitable Water Content Climatology over Poland. Atmosphere. 2022; 13(6):988. https://doi.org/10.3390/atmos13060988
Chicago/Turabian StyleOjrzyńska, Hanna, Marek Błaś, and Maciej Kryza. 2022. "Precipitable Water Content Climatology over Poland" Atmosphere 13, no. 6: 988. https://doi.org/10.3390/atmos13060988
APA StyleOjrzyńska, H., Błaś, M., & Kryza, M. (2022). Precipitable Water Content Climatology over Poland. Atmosphere, 13(6), 988. https://doi.org/10.3390/atmos13060988

