Particle Number Concentration: A Case Study for Air Quality Monitoring
Abstract
:1. Introduction
2. Methods
2.1. Experimental Part
2.2. Data Treatment
3. Results and Discussion
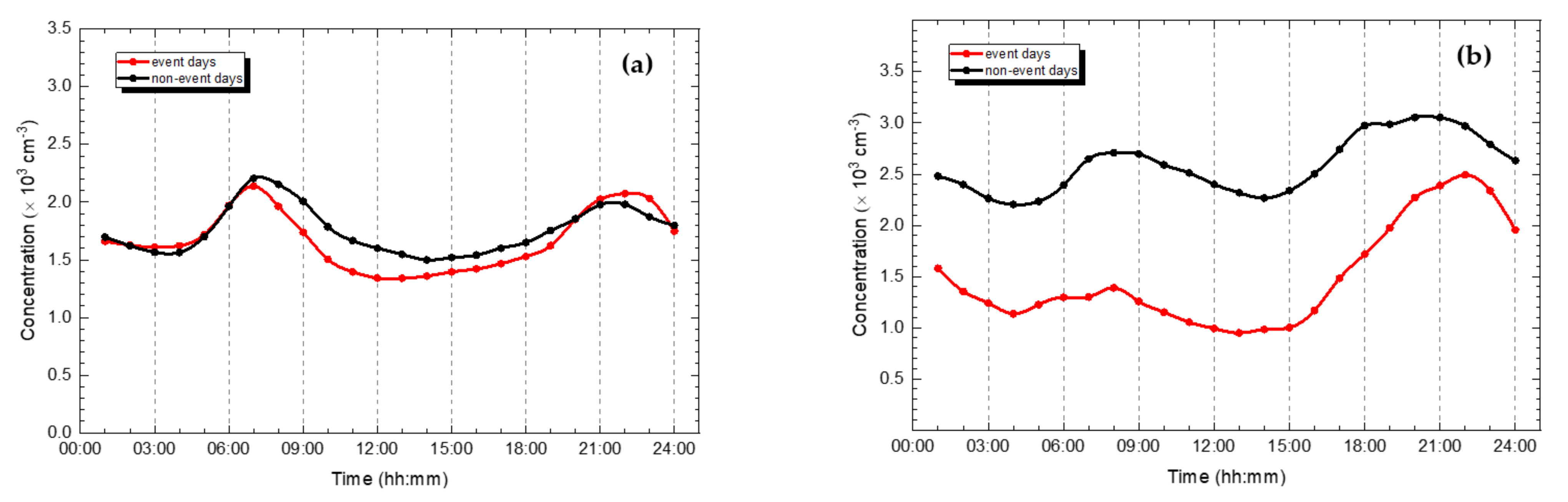
3.1. Atmospheric Concentrations and Their Ratios
3.2. Time Series
3.3. New Aerosol Particle Formation and Growth Events
3.4. Contributions of NPF Events
4. Summary and Concluding Remarks
Author Contributions
Funding
Institutional Review Board Statement
Informed Consent Statement
Data Availability Statement
Acknowledgments
Conflicts of Interest
References
- WHO. Global Air Quality Guidelines. Particulate Matter (PM2.5 and PM10), Ozone, Nitrogen Dioxide, Sulfur Dioxide and Carbon Monoxide; World Health Organization: Geneva, Switzerland, 2021; ISBN 978-92-4-003422-8. [Google Scholar]
- Lelieveld, J.; Evans, J.S.; Fnais, M.; Giannadaki, D.; Pozzer, A. The Contribution of Outdoor Air Pollution Sources to Premature Mortality on a Global Scale. Nature 2015, 525, 367–371. [Google Scholar] [CrossRef] [PubMed]
- Rönkkö, T.; Kuuluvainen, H.; Karjalainen, P.; Keskinen, J.; Hillamo, R.; Niemi, J.V.; Pirjola, L.; Timonen, H.J.; Saarikoski, S.; Saukko, E.; et al. Traffic Is a Major Source of Atmospheric Nanocluster Aerosol. Proc. Natl. Acad. Sci. USA 2017, 114, 7549–7554. [Google Scholar] [CrossRef] [PubMed] [Green Version]
- European Environment Agency. EMEP/EEA Air Pollutant Emission Inventory Guidebook 2019: Technical Guidance to Prepare National Emission Inventories; Publications Office: Luxembourg, 2019. [Google Scholar]
- Perlmutt, L.D.; Cromar, K.R. Comparing Associations of Respiratory Risk for the EPA Air Quality Index and Health-Based Air Quality Indices. Atmos. Environ. 2019, 202, 1–7. [Google Scholar] [CrossRef]
- Peters, A.; Rückerl, R.; Cyrys, J. Lessons from Air Pollution Epidemiology for Studies of Engineered Nanomaterials. J. Occup. Environ. Med. 2011, 53, S8–S13. [Google Scholar] [CrossRef]
- Hofman, J.; Staelens, J.; Cordell, R.; Stroobants, C.; Zikova, N.; Hama, S.M.L.; Wyche, K.P.; Kos, G.P.A.; Van Der Zee, S.; Smallbone, K.L.; et al. Ultrafine Particles in Four European Urban Environments: Results from a New Continuous Long-Term Monitoring Network. Atmos. Environ. 2016, 136, 68–81. [Google Scholar] [CrossRef] [Green Version]
- Donaldson, K. Ultrafine Particles. Occup. Environ. Med. 2001, 58, 211–216. [Google Scholar] [CrossRef] [Green Version]
- Harrison, R.M.; Shi, J.P.; Xi, S.; Khan, A.; Mark, D.; Kinnersley, R.; Yin, J. Measurement of Number, Mass and Size Distribution of Particles in the Atmosphere. Philos. Trans. R. Soc. London. Ser. A Math. Phys. Eng. Sci. 2000, 358, 2567–2580. [Google Scholar] [CrossRef]
- Kelly, F.J.; Fussell, J.C. Size, Source and Chemical Composition as Determinants of Toxicity Attributable to Ambient Particulate Matter. Atmos. Environ. 2012, 60, 504–526. [Google Scholar] [CrossRef]
- Rivas, I.; Vicens, L.; Basagaña, X.; Tobías, A.; Katsouyanni, K.; Walton, H.; Hüglin, C.; Alastuey, A.; Kulmala, M.; Harrison, R.M.; et al. Associations between Sources of Particle Number and Mortality in Four European Cities. Environ. Int. 2021, 155, 106662. [Google Scholar] [CrossRef]
- Meng, X.; Ma, Y.; Chen, R.; Zhou, Z.; Chen, B.; Kan, H. Size-Fractionated Particle Number Concentrations and Daily Mortality in a Chinese City. Environ. Health Perspect. 2013, 121, 1174–1178. [Google Scholar] [CrossRef] [Green Version]
- Sioutas, C.; Delfino, R.J.; Singh, M. Exposure Assessment for Atmospheric Ultrafine Particles (UFPs) and Implications in Epidemiologic Research. Environ. Health Perspect. 2005, 113, 947–955. [Google Scholar] [CrossRef] [PubMed] [Green Version]
- Breitner, S.; Liu, L.; Cyrys, J.; Brüske, I.; Franck, U.; Schlink, U.; Leitte, A.M.; Herbarth, O.; Wiedensohler, A.; Wehner, B.; et al. Sub-Micrometer Particulate Air Pollution and Cardiovascular Mortality in Beijing, China. Sci. Total Environ. 2011, 409, 5196–5204. [Google Scholar] [CrossRef] [PubMed]
- Stölzel, M.; Breitner, S.; Cyrys, J.; Pitz, M.; Wölke, G.; Kreyling, W.; Heinrich, J.; Wichmann, H.-E.; Peters, A. Daily Mortality and Particulate Matter in Different Size Classes in Erfurt, Germany. J. Expo. Sci. Environ. Epidemiol. 2007, 17, 458–467. [Google Scholar] [CrossRef] [Green Version]
- Oberdörster, G.; Oberdörster, E.; Oberdörster, J. Nanotoxicology: An Emerging Discipline Evolving from Studies of Ultrafine Particles. Environ. Health Perspect. 2005, 113, 823–839. [Google Scholar] [CrossRef]
- Braakhuis, H.M.; Park, M.V.; Gosens, I.; De Jong, W.H.; Cassee, F.R. Physicochemical Characteristics of Nanomaterials That Affect Pulmonary Inflammation. Part. Fibre Toxicol. 2014, 11, 18. [Google Scholar] [CrossRef] [Green Version]
- Giechaskiel, B.; Lahde, T.; Suarez-Bertoa, R.; Clairotte, M.; Grigoratos, T.; Zardini, A.; Perujo, A.; Martini, G. Particle Number Measurements in the European Legislation and Future JRC Activities. Combust. Engines 2018, 174, 3–16. [Google Scholar] [CrossRef]
- Ervine, C. Directive 2004/39/Ec of the European Parliament and of the Council of 21 April 2004. In Core Statutes on Company Law; Macmillan Education UK: London, UK, 2015; pp. 757–759. ISBN 978-1-137-54506-0. [Google Scholar]
- Kulmala, M.; Kontkanen, J.; Junninen, H.; Lehtipalo, K.; Manninen, H.E.; Nieminen, T.; Petäjä, T.; Sipilä, M.; Schobesberger, S.; Rantala, P.; et al. Direct Observations of Atmospheric Aerosol Nucleation. Science 2013, 339, 943–946. [Google Scholar] [CrossRef]
- Spracklen, D.V.; Carslaw, K.S.; Kulmala, M. The Contribution of Boundary Layer Nucleation Events to Total Particle Concentrations on Regional and Global Scales. Atmos. Chem. Phys. 2006, 6, 5631–5648. [Google Scholar] [CrossRef] [Green Version]
- Yu, F.; Luo, G.; Bates, T.S.; Anderson, B.; Clarke, A.; Kapustin, V.; Yantosca, R.M.; Wang, Y.; Wu, S. Spatial Distributions of Particle Number Concentrations in the Global Troposphere: Simulations, Observations, and Implications for Nucleation Mechanisms. J. Geophys. Res. 2010, 115, D17205. [Google Scholar] [CrossRef]
- Dunne, E.M.; Gordon, H.; Kürten, A.; Almeida, J.; Duplissy, J.; Williamson, C.; Ortega, I.K.; Pringle, K.J.; Adamov, A.; Baltensperger, U.; et al. Global Atmospheric Particle Formation from CERN CLOUD Measurements. Science 2016, 354, 1119–1124. [Google Scholar] [CrossRef] [Green Version]
- Paasonen, P.; Kupiainen, K.; Klimont, Z.; Visschedijk, A.; Denier van der Gon, H.A.C.; Amann, M. Continental Anthropogenic Primary Particle Number Emissions. Atmos. Chem. Phys. 2016, 16, 6823–6840. [Google Scholar] [CrossRef] [Green Version]
- Masiol, M.; Squizzato, S.; Chalupa, D.C.; Utell, M.J.; Rich, D.Q.; Hopke, P.K. Long-Term Trends in Submicron Particle Concentrations in a Metropolitan Area of the Northeastern United States. Sci. Total Environ. 2018, 633, 59–70. [Google Scholar] [CrossRef] [PubMed]
- Salma, I.; Varga, V.; Németh, Z. Quantification of an Atmospheric Nucleation and Growth Process as a Single Source of Aerosol Particles in a City. Atmos. Chem. Phys. 2017, 17, 15007–15017. [Google Scholar] [CrossRef] [Green Version]
- Brines, M.; Dall’Osto, M.; Beddows, D.C.S.; Harrison, R.M.; Gómez-Moreno, F.; Núñez, L.; Artíñano, B.; Costabile, F.; Gobbi, G.P.; Salimi, F.; et al. Traffic and Nucleation Events as Main Sources of Ultrafine Particles in High-Insolation Developed World Cities. Atmos. Chem. Phys. 2015, 15, 5929–5945. [Google Scholar] [CrossRef] [Green Version]
- Saha, P.K.; Robinson, E.S.; Shah, R.U.; Zimmerman, N.; Apte, J.S.; Robinson, A.L.; Presto, A.A. Reduced Ultrafine Particle Concentration in Urban Air: Changes in Nucleation and Anthropogenic Emissions. Environ. Sci. Technol. 2018, 52, 6798–6806. [Google Scholar] [CrossRef] [PubMed]
- Nieminen, T.; Kerminen, V.-M.; Petäjä, T.; Aalto, P.P.; Arshinov, M.; Asmi, E.; Baltensperger, U.; Beddows, D.C.S.; Beukes, J.P.; Collins, D.; et al. Global Analysis of Continental Boundary Layer New Particle Formation Based on Long-Term Measurements. Atmos. Chem. Phys. 2018, 18, 14737–14756. [Google Scholar] [CrossRef] [Green Version]
- Bousiotis, D.; Brean, J.; Pope, F.D.; Dall’Osto, M.; Querol, X.; Alastuey, A.; Perez, N.; Petäjä, T.; Massling, A.; Nøjgaard, J.K.; et al. The Effect of Meteorological Conditions and Atmospheric Composition in the Occurrence and Development of New Particle Formation (NPF) Events in Europe. Atmos. Chem. Phys. 2021, 21, 3345–3370. [Google Scholar] [CrossRef]
- KSH. National Register of Road Vehicles; Hungarian Central Statistical Office: Budapest, Hungary, 2020. (In Hungarian)
- Salma, I.; Németh, Z.; Weidinger, T.; Kovács, B.; Kristóf, G. Measurement, Growth Types and Shrinkage of Newly Formed Aerosol Particles at an Urban Research Platform. Atmos. Chem. Phys. 2016, 16, 7837–7851. [Google Scholar] [CrossRef] [Green Version]
- Salma, I.; Vasanits-Zsigrai, A.; Machon, A.; Varga, T.; Major, I.; Gergely, V.; Molnár, M. Fossil Fuel Combustion, Biomass Burning and Biogenic Sources of Fine Carbonaceous Aerosol in the Carpathian Basin. Atmos. Chem. Phys. 2020, 20, 4295–4312. [Google Scholar] [CrossRef] [Green Version]
- Salma, I.; Borsós, T.; Németh, Z.; Weidinger, T.; Aalto, P.; Kulmala, M. Comparative Study of Ultrafine Atmospheric Aerosol within a City. Atmos. Environ. 2014, 92, 154–161. [Google Scholar] [CrossRef]
- Sun, J.; Birmili, W.; Hermann, M.; Tuch, T.; Weinhold, K.; Spindler, G.; Schladitz, A.; Bastian, S.; Löschau, G.; Cyrys, J.; et al. Variability of Black Carbon Mass Concentrations, Sub-Micrometer Particle Number Concentrations and Size Distributions: Results of the German Ultrafine Aerosol Network Ranging from City Street to High Alpine Locations. Atmos. Environ. 2019, 202, 256–268. [Google Scholar] [CrossRef]
- Mikkonen, S.; Németh, Z.; Varga, V.; Weidinger, T.; Leinonen, V.; Yli-Juuti, T.; Salma, I. Decennial Time Trends and Diurnal Patterns of Particle Number Concentrations in a Central European City between 2008 and 2018. Atmos. Chem. Phys. 2020, 20, 12247–12263. [Google Scholar] [CrossRef]
- Salma, I.; Borsós, T.; Weidinger, T.; Aalto, P.; Hussein, T.; Dal Maso, M.; Kulmala, M. Production, Growth and Properties of Ultrafine Atmospheric Aerosol Particles in an Urban Environment. Atmos. Chem. Phys. 2011, 11, 1339–1353. [Google Scholar] [CrossRef] [Green Version]
- Salma, I.; Németh, Z.; Kerminen, V.-M.; Aalto, P.; Nieminen, T.; Weidinger, T.; Molnár, Á.; Imre, K.; Kulmala, M. Regional Effect on Urban Atmospheric Nucleation. Atmos. Chem. Phys. 2016, 16, 8715–8728. [Google Scholar] [CrossRef] [Green Version]
- Wiedensohler, A.; Birmili, W.; Nowak, A.; Sonntag, A.; Weinhold, K.; Merkel, M.; Wehner, B.; Tuch, T.; Pfeifer, S.; Fiebig, M.; et al. Mobility Particle Size Spectrometers: Harmonization of Technical Standards and Data Structure to Facilitate High Quality Long-Term Observations of Atmospheric Particle Number Size Distributions. Atmos. Meas. Tech. 2012, 5, 657–685. [Google Scholar] [CrossRef] [Green Version]
- Schmale, J.; Henning, S.; Henzing, B.; Keskinen, H.; Sellegri, K.; Ovadnevaite, J.; Bougiatioti, A.; Kalivitis, N.; Stavroulas, I.; Jefferson, A.; et al. Collocated Observations of Cloud Condensation Nuclei, Particle Size Distributions, and Chemical Composition. Sci. Data 2017, 4, 170003. [Google Scholar] [CrossRef]
- Salma, I.; Németh, Z. Dynamic and Timing Properties of New Aerosol Particle Formation and Consecutive Growth Events. Atmos. Chem. Phys. 2019, 19, 5835–5852. [Google Scholar] [CrossRef] [Green Version]
- Kulmala, M.; Vehkamäki, H.; Petäjä, T.; Dal Maso, M.; Lauri, A.; Kerminen, V.-M.; Birmili, W.; McMurry, P.H. Formation and Growth Rates of Ultrafine Atmospheric Particles: A Review of Observations. J. Aerosol Sci. 2004, 35, 143–176. [Google Scholar] [CrossRef]
- Dal Maso, M.; Kulmala, M.; Riipinen, I.; Wagner, R.; Hussein, T.; Aalto, P.P.; Lehtinen, K.E.J. Formation and Growth of Fresh Atmospheric Aerosols: Eight Years of Aerosol Size Distribution Data from SMEAR II, Hyytiälä, Finland. Boreal Environ. Res. 2005, 10, 323–336. [Google Scholar]
- Kulmala, M.; Petäjä, T.; Nieminen, T.; Sipilä, M.; Manninen, H.E.; Lehtipalo, K.; Dal Maso, M.; Aalto, P.P.; Junninen, H.; Paasonen, P.; et al. Measurement of the Nucleation of Atmospheric Aerosol Particles. Nat. Protoc. 2012, 7, 1651–1667. [Google Scholar] [CrossRef]
- Németh, Z.; Rosati, B.; Zíková, N.; Salma, I.; Bozó, L.; Dameto de España, C.; Schwarz, J.; Ždímal, V.; Wonaschütz, A. Comparison of Atmospheric New Particle Formation Events in Three Central European Cities. Atmos. Environ. 2018, 178, 191–197. [Google Scholar] [CrossRef]
- Putaud, J.-P.; Van Dingenen, R.; Alastuey, A.; Bauer, H.; Birmili, W.; Cyrys, J.; Flentje, H.; Fuzzi, S.; Gehrig, R.; Hansson, H.C.; et al. A European Aerosol Phenomenology—3: Physical and Chemical Characteristics of Particulate Matter from 60 Rural, Urban, and Kerbside Sites across Europe. Atmos. Environ. 2010, 44, 1308–1320. [Google Scholar] [CrossRef]
- Von Schneidemesser, E.; Steinmar, K.; Weatherhead, E.C.; Bonn, B.; Gerwig, H.; Quedenau, J. Air Pollution at Human Scales in an Urban Environment: Impact of Local Environment and Vehicles on Particle Number Concentrations. Sci. Total Environ. 2019, 688, 691–700. [Google Scholar] [CrossRef] [PubMed]
- Reche, C.; Querol, X.; Alastuey, A.; Viana, M.; Pey, J.; Moreno, T.; Rodríguez, S.; González, Y.; Fernández-Camacho, R.; de la Rosa, J.; et al. New Considerations for PM, Black Carbon and Particle Number Concentration for Air Quality Monitoring across Different European Cities. Atmos. Chem. Phys. 2011, 11, 6207–6227. [Google Scholar] [CrossRef] [Green Version]
- Puustinen, A.; Hämeri, K.; Pekkanen, J.; Kulmala, M.; de Hartog, J.; Meliefste, K.; ten Brink, H.; Kos, G.; Katsouyanni, K.; Karakatsani, A.; et al. Spatial Variation of Particle Number and Mass over Four European Cities. Atmos. Environ. 2007, 41, 6622–6636. [Google Scholar] [CrossRef] [Green Version]
- Aalto, P.; Hämeri, K.; Paatero, P.; Kulmala, M.; Bellander, T.; Berglind, N.; Bouso, L.; Castaño-Vinyals, G.; Sunyer, J.; Cattani, G.; et al. Aerosol Particle Number Concentration Measurements in Five European Cities Using TSI-3022 Condensation Particle Counter over a Three-Year Period during Health Effects of Air Pollution on Susceptible Subpopulations. J. Air Waste Manag. Assoc. 2005, 55, 1064–1076. [Google Scholar] [CrossRef]
- Borsós, T.; Řimnáčová, D.; Ždímal, V.; Smolík, J.; Wagner, Z.; Weidinger, T.; Burkart, J.; Steiner, G.; Reischl, G.; Hitzenberger, R.; et al. Comparison of Particulate Number Concentrations in Three Central European Capital Cities. Sci. Total Environ. 2012, 433, 418–426. [Google Scholar] [CrossRef]
- Zhao, J.; Birmili, W.; Wehner, B.; Daniels, A.; Weinhold, K.; Wang, L.; Merkel, M.; Kecorius, S.; Tuch, T.; Franck, U.; et al. Particle Mass Concentrations and Number Size Distributions in 40 Homes in Germany: Indoor-to-Outdoor Relationships, Diurnal and Seasonal Variation. Aerosol Air Qual. Res. 2020, 20, 576–589. [Google Scholar] [CrossRef]
- Sun, J.; Hermann, M.; Yuan, Y.; Birmili, W.; Collaud Coen, M.; Weinhold, K.; Madueño, L.; Poulain, L.; Tuch, T.; Ries, L.; et al. Long-Term Trends of Black Carbon and Particle Number Concentration in the Lower Free Troposphere in Central Europe. Environ. Sci. Eur. 2021, 33, 47. [Google Scholar] [CrossRef]
- Salma, I.; Maenhaut, W. Changes in Elemental Composition and Mass of Atmospheric Aerosol Pollution between 1996 and 2002 in a Central European City. Environ. Pollut. 2006, 10, 479–488. [Google Scholar] [CrossRef]
- Salma, I.; Vörösmarty, M.; Gyöngyösi, A.Z.; Thén, W.; Weidinger, T. What Can We Learn about Urban Air Quality with Regard to the First Outbreak of the COVID-19 Pandemic? A Case Study from Central Europe. Atmos. Chem. Phys. 2020, 20, 15725–15742. [Google Scholar] [CrossRef]
- Tunved, P.; Hansson, H.-C.; Kerminen, V.-M.; Ström, J.; Maso, M.D.; Lihavainen, H.; Viisanen, Y.; Aalto, P.P.; Komppula, M.; Kulmala, M. High Natural Aerosol Loading over Boreal Forests. Science 2006, 312, 261–263. [Google Scholar] [CrossRef] [PubMed]
- Kerminen, V.-M.; Chen, X.; Vakkari, V.; Petäjä, T.; Kulmala, M.; Bianchi, F. Atmospheric New Particle Formation and Growth: Review of Field Observations. Environ. Res. Lett. 2018, 13, 103003. [Google Scholar] [CrossRef] [Green Version]
- Salma, I.; Thén, W.; Aalto, P.; Kerminen, V.-M.; Kern, A.; Barcza, Z.; Petäjä, T.; Kulmala, M. Influence of Vegetation on Occurrence and Time Distributions of Regional New Aerosol Particle Formation and Growth. Atmos. Chem. Phys. 2021, 21, 2861–2880. [Google Scholar] [CrossRef]







| Time Interval | Statistics | N6–25 | N25–100 | N6–100 | N100–1000 | N6–1000 |
|---|---|---|---|---|---|---|
| Y1 (center) | minimum | 0.092 | 0.44 | 0.84 | 0.17 | 1.16 |
| median | 3.3 | 5.1 | 8.8 | 2.2 | 11 | |
| maximum | 36 | 43 | 53 | 17 | 69 | |
| mean | 3.9 | 6.1 | 10 | 2.6 | 13 | |
| SD | 2.6 | 4.1 | 5.9 | 1.6 | 7.0 | |
| Y2 (background) | minimum | 0.015 | 0.18 | 0.27 | 0.08 | 0.47 |
| median | 0.47 | 2.0 | 2.7 | 1.2 | 4.2 | |
| maximum | 25 | 22 | 37 | 12 | 39 | |
| mean | 1.1 | 2.7 | 3.8 | 1.6 | 5.3 | |
| SD | 2.0 | 2.2 | 3.5 | 1.1 | 3.9 | |
| Y3 (center) | minimum | 0.058 | 0.19 | 0.41 | 0.079 | 0.50 |
| median | 2.6 | 4.3 | 7.2 | 2.2 | 9.8 | |
| maximum | 55 | 61 | 76 | 26 | 78 | |
| mean | 3.3 | 5.1 | 8.5 | 2.7 | 11 | |
| SD | 2.8 | 3.4 | 5.3 | 1.7 | 6.4 | |
| Y4 (center) | minimum | 0.066 | 0.23 | 0.41 | 0.074 | 0.61 |
| median | 2.6 | 4.0 | 7.0 | 2.0 | 9.4 | |
| maximum | 63 | 50 | 71 | 22 | 74 | |
| mean | 3.4 | 4.8 | 8.2 | 2.5 | 11 | |
| SD | 3.5 | 3.3 | 5.7 | 1.7 | 6.5 | |
| Y5 (center) | minimum | 0.030 | 0.29 | 0.41 | 0.10 | 0.66 |
| median | 2.2 | 3.3 | 5.7 | 1.6 | 7.6 | |
| maximum | 57 | 40 | 70 | 14 | 71 | |
| mean | 2.9 | 3.9 | 6.8 | 2.0 | 8.8 | |
| SD | 2.6 | 2.7 | 4.7 | 1.5 | 5.6 | |
| Y6 (center) | minimum | 0.10 | 0.28 | 0.53 | 0.076 | 0.61 |
| median | 3.8 | 4.2 | 8.4 | 1.8 | 11 | |
| maximum | 93 | 72 | 119 | 14 | 122 | |
| mean | 5.0 | 5.2 | 10 | 2.2 | 12 | |
| SD | 4.8 | 3.8 | 7.6 | 1.6 | 8.3 | |
| Y7 (center) | minimum | 0.11 | 0.15 | 0.35 | 0.14 | 0.64 |
| median | 3.8 | 3.9 | 8.0 | 1.9 | 10 | |
| maximum | 118 | 68 | 152 | 20 | 154 | |
| mean | 5.1 | 4.8 | 9.9 | 2.3 | 12 | |
| SD | 4.9 | 3.5 | 7.3 | 1.5 | 8.1 | |
| Y8 (center) | minimum | 0.070 | 0.29 | 0.52 | 0.12 | 0.79 |
| median | 4.3 | 4.0 | 8.7 | 1.8 | 11 | |
| maximum | 110 | 46 | 122 | 14 | 125 | |
| mean | 5.7 | 5.0 | 11 | 2.1 | 13 | |
| SD | 5.1 | 3.7 | 7.7 | 1.5 | 8.5 | |
| Y9 (center) | minimum | 0.067 | 0.22 | 0.38 | 0.038 | 0.77 |
| median | 3.1 | 3.4 | 6.9 | 1.5 | 8.6 | |
| maximum | 68 | 41 | 83 | 15 | 86 | |
| mean | 4.3 | 4.2 | 8.5 | 1.8 | 10 | |
| SD | 4.2 | 3.0 | 6.3 | 1.1 | 6.8 |
| Time Interval | Y1 | Y2 | Y3 | Y4 | Y5 | Y6 | Y7 | Y8 | Y9 |
|---|---|---|---|---|---|---|---|---|---|
| 1 | 0 | 4 | 2 | 1 | 2 | 1 | 4 | 1 | 2 |
| 2 | 3 | 8 | 7 | 3 | 3 | 3 | 1 | 4 | 6 |
| 3 | 9 | 14 | 7 | 11 | 3 | 12 | 2 | 13 | 9 |
| 4 | 17 | 9 | 11 | 20 | 6 | 8 | 12 | 16 | 17 |
| 5 | 8 | 12 | 10 | 10 | 6 | 12 | 13 | 4 | 8 |
| 6 | 7 | 8 | 9 | 6 | 5 | 12 | 4 | 7 | 3 |
| 7 | 8 | 3 | 8 | 10 | 3 | 10 | 6 | 4 | 5 |
| 8 | 6 | 9 | 3 | 3 | – | 10 | 1 | 8 | 12 |
| 9 | 13 | 16 | 5 | 9 | 4 | 8 | 7 | 5 | 8 |
| 10 | 5 | 6 | 6 | 4 | – | 4 | 8 | 5 | 2 |
| 11 | 4 | 2 | 2 | 1 | 2 | 1 | 3 | 5 | 1 |
| 12 | 3 | 5 | 2 | 3 | 1 | 2 | 3 | 1 | 3 |
| Annual | 83 | 96 | 72 | 81 | 35 * | 83 | 64 | 73 | 76 |
| Urban Environment | Statistics | NSFNUC | NSFGEN |
|---|---|---|---|
| city center | mean | 1.66 | 1.12 |
| SD | 0.66 | 0.10 | |
| near-city background | mean | 2.25 | 1.37 |
| SD | 0.79 | 0.34 |
Publisher’s Note: MDPI stays neutral with regard to jurisdictional claims in published maps and institutional affiliations. |
© 2022 by the authors. Licensee MDPI, Basel, Switzerland. This article is an open access article distributed under the terms and conditions of the Creative Commons Attribution (CC BY) license (https://creativecommons.org/licenses/by/4.0/).
Share and Cite
Thén, W.; Salma, I. Particle Number Concentration: A Case Study for Air Quality Monitoring. Atmosphere 2022, 13, 570. https://doi.org/10.3390/atmos13040570
Thén W, Salma I. Particle Number Concentration: A Case Study for Air Quality Monitoring. Atmosphere. 2022; 13(4):570. https://doi.org/10.3390/atmos13040570
Chicago/Turabian StyleThén, Wanda, and Imre Salma. 2022. "Particle Number Concentration: A Case Study for Air Quality Monitoring" Atmosphere 13, no. 4: 570. https://doi.org/10.3390/atmos13040570
APA StyleThén, W., & Salma, I. (2022). Particle Number Concentration: A Case Study for Air Quality Monitoring. Atmosphere, 13(4), 570. https://doi.org/10.3390/atmos13040570

