Vertical Profiling of Fresh Biomass Burning Aerosol Optical Properties over the Greek Urban City of Ioannina, during the PANACEA Winter Campaign
Abstract
:1. Introduction
2. Lidar Location and Methodology
2.1. Location and Description of the NTUA Lidar System

2.2. Methods, Models and Tools
2.2.1. Lidar Data Processing
2.2.2. Planetary Boundary Layer Height Calculation
2.2.3. Hybrid Single Particle Langrangian Integrated Trajectory Model (HYSPLIT)
2.2.4. Moderate Resolution Imaging Spectroradiometer (MODIS)
2.2.5. Low-Cost Sensors
2.2.6. Aethalometer
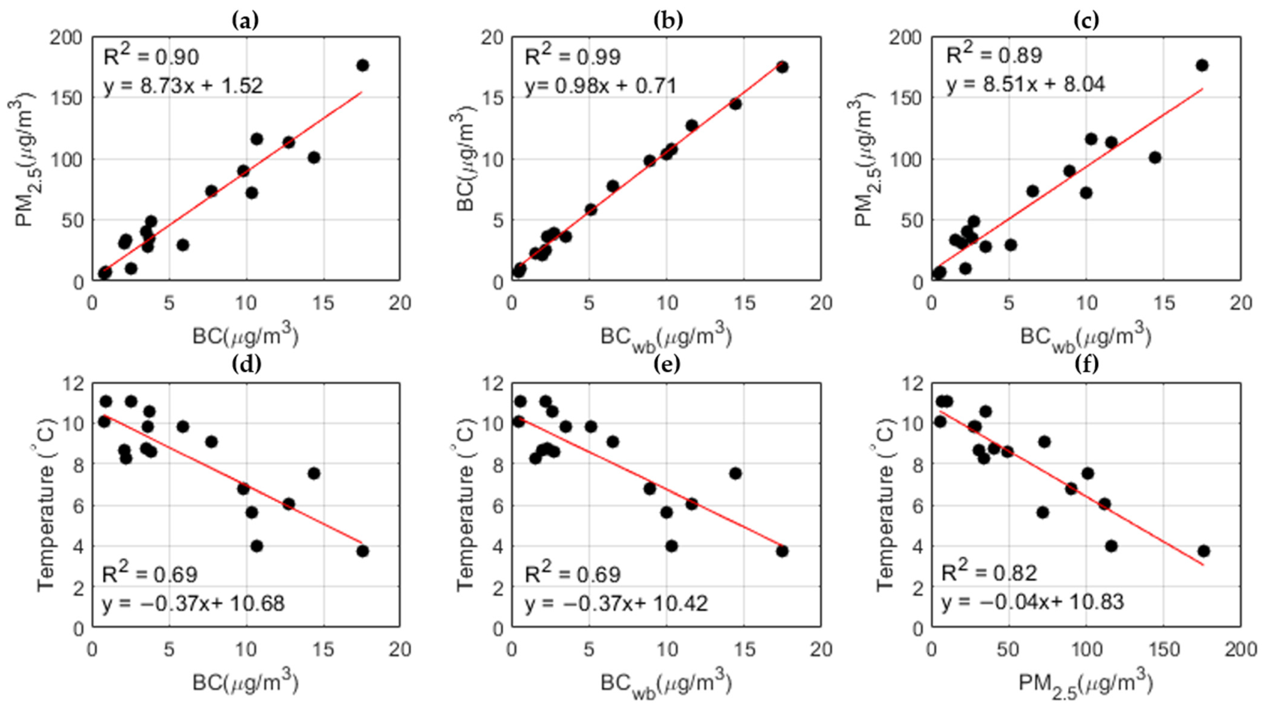
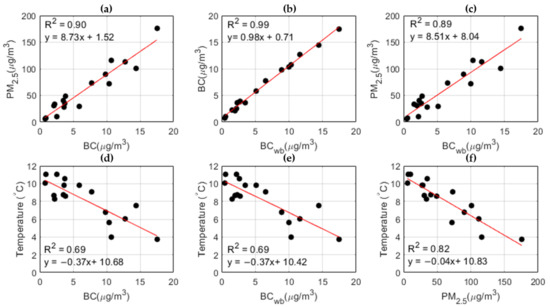
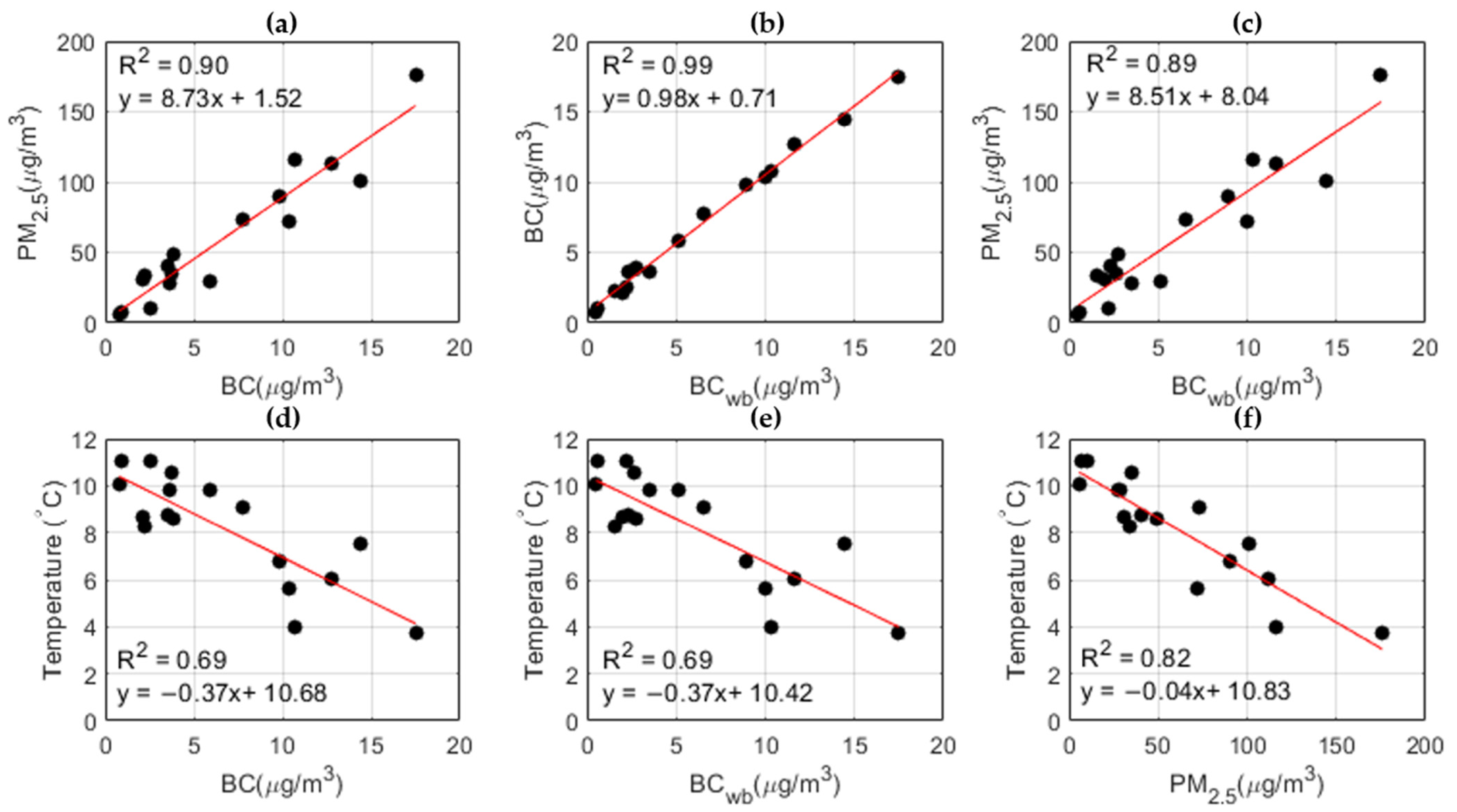
3. Results and Discussion

3.1. Case Studies
3.1.1. Local Biomass Burning Aerosol: Case I

3.1.2. Local Biomass Burning Aerosol: Case II

3.1.3. Dust Aerosol Mixtures
4. Conclusions
Author Contributions
Funding
Institutional Review Board Statement
Acknowledgments
Conflicts of Interest
Appendix A

| Date | Time | ALH | baer | PLDR |
|---|---|---|---|---|
| (DD/MM) | (UTC) | (km) | (Mm−1sr−1) | |
| 10/01 | 19:00–19:30 | 1.07 | 3.38 ± 1.70 | 0.01 ± 0.01 |
| 1.21 ± 0.12 | 1.52 ± 0.16 | 0.02 ± 0.01 | ||
| 1.36 ± 0.15 | 1.12 ± 0.31 | 0.01 ± 0.01 | ||
| 1.75 ± 0.24 | 0.37 ± 0.11 | 0.02 ± 0.01 | ||
| 13/01 | 14:27–15:04 | 1.09 | 2.59 ± 0.57 | 0.01 ± 0.01 |
| 1.42 ± 0.33 | 1.12 ± 0.30 | 0.02 ± 0.01 | ||
| 2.05 ± 0.18 | 0.73 ± 0.18 | 0.03 ± 0.01 | ||
| 13/01 | 16:59–17:31 | 1.07 | 2.03 ± 0.74 | 0.01 ± 0.01 |
| 1.36 ± 0.21 | 1.02 ± 0.09 | 0.03 ± 0.01 | ||
| 1.96 ± 0.15 | 0.69 ± 0.08 | 0.04 ± 0.01 | ||
| 2.23 ± 0.12 | 0.48 ± 0.04 | 0.06 ± 0.01 | ||
| 17/01 | 16:14–16:47 | 1.15 | 3.14 ± 1.44 | 0.03 ± 0.01 |
| 1.21 ± 0.06 | 1.77 ± 0.22 | 0.05 ± 0.02 | ||
| 1.42 ± 0.15 | 1.82 ± 0.31 | 0.04 ± 0.01 | ||
| 18/01 | 15:00–15:40 | 1.20 | 3.88 ± 0.96 | 0.02 ± 0.01 |
| 1.78 ± 0.27 | 1.53 ± 0.62 | 0.05 ± 0.02 | ||
| 19/01 | 13:03–13:40 | 1.18 | 9.43 ± 3.67 | 0.02 ± 0.01 |
| 1.54 ± 0.33 | 2.68 ± 1.04 | 0.05 ± 0.02 | ||
| 2.05 ± 0.18 | 1.02 ± 0.30 | 0.09 ± 0.03 | ||
| 20/01 | 15:04–15:37 | 1.08 | 5.11 ± 1.78 | 0.02 ± 0.01 |
| 1.51 ± 0.18 | 1.71 ± 0.26 | 0.04 ± 0.01 | ||
| 2.08 ± 0.33 | 1.46 ± 0.71 | 0.06 ± 0.03 | ||
| 20/01 | 18:49–19:19 | 1.09 | 6.05 ± 0.91 | 0.02 ± 0.01 |
| 1.72 ± 0.39 | 1.93 ± 1.07 | 0.06 ± 0.02 | ||
| 21/01 | 15:29–16:02 | 1.02 | 5.76 ± 2/72 | 0.02 ± 0.01 |
| 1.33 ± 0.18 | 1.91 ± 0.40 | 0.04 ± 0.01 | ||
| 1.66 ± 0.15 | 1.02 ± 0.23 | 0.05 ± 0.01 | ||
| 22/01 | 14:39–15:41 | 1.05 | 7.96 ± 1.89 | 0.02 ± 0.01 |
| 1.36 ± 0.21 | 2.91 ± 0.91 | 0.04 ± 0.01 | ||
| 1.66 ± 0.09 | 1.29 ± 0.18 | 0.05 ± 0.01 | ||
| 1.87 ± 0.12 | 0.80 ± 0.25 | 0.06 ± 0.02 | ||
| 26/01 | 08:29–09:04 | 1.12 | 12.19 ± 1.66 | 0.02 ± 0.01 |
| 1.89 ± 0.28 | 2.59 ± 1.03 | 0.08 ± 0.05 | ||
| 3.10 ± 0.25 | 1.50 ± 0.59 | 0.20 ± 0.10 | ||
| 31/01 | 13:30–14:05 | 1.18 | 2.34 ± 0.50 | 0.01 ± 0.01 |
| 1.69 ± 0.48 | 1.38 ± 0.46 | 0.02 ± 0.01 | ||
| 31/01 | 18:39–19:21 | 1.31 | 3.20 ± 0.50 | 0.01 ± 0.01 |
| 1.75 ± 0.36 | 2.09 ± 1.39 | 0.03 ± 0.01 | ||
| 01/02 | 15:28–16:02 | 1.13 | 2.44 ± 0.40 | 0.01 ± 0.01 |
| 1.42 ± 0.15 | 1.13 ± 0.17 | 0.02 ± 0.01 | ||
| 1.90 ± 0.15 | 0.72 ± 0.39 | 0.03 ± 0.02 | ||
| 01/02 | 18:29–19:31 | 1.24 | 4.23 ± 0.94 | 0.01 ± 0.01 |
| 1.39 ± 0.18 | 2.87 ± 1.06 | 0.01 ± 0.01 | ||
| 1.81 ± 0.24 | 1.05 ± 0.61 | 0.03 ± 0.02 | ||
| 02/02 | 15:19–15:45 | 1.11 | 2.16 ± 0.49 | 0.01 ± 0.01 |
| 1.45 ± 0.12 | 1.09 ± 0.07 | 0.02 ± 0.01 | ||
| 1.75 ± 0.18 | 0.92 ± 0.09 | 0.02 ± 0.01 | ||
| 2.14 ± 0.21 | 0.62 ± 0.28 | 0.03 ± 0.02 | ||
| 03/02 | 16:00–16:36 | 1.19 | 2.52 ± 0.46 | 0.01 ± 0.01 |
| 1.36 ± 0.15 | 1.86 ± 0.25 | 0.02 ± 0.01 | ||
| 1.81 ± 0.30 | 1.18 ± 0.48 | 0.02 ± 0.01 |
| Date | Time | PM2.5 | BC | BCwb | BCff | T | RH | Wind Speed | Wind Direction |
|---|---|---|---|---|---|---|---|---|---|
| (DD/M) | (UTC) | (μg/m3) | (μg/m3) | (μg/m3) | (μg/m3) | (°C) | (%) | (m/s) | (°) |
| 10/01 | 19:00–20:00 | 205.9 | 17.5 | 17.5 | 0.0 | 3.7 | 65 | 0.3 | 187.8 |
| 13/01 | 14:00–15:00 | 41.6 | 3.7 | 3.5 | 0.2 | 9.8 | 58 | 0.9 | 56.4 |
| 13/01 | 17:00–18:00 | 140.4 | 12.7 | 11.6 | 1.1 | 6.0 | 75 | 0.3 | 78.3 |
| 17/01 | 16:00–17:00 | 63.3 | 5.9 | 5.2 | 0.7 | 9.8 | 34 | 0.9 | 141.2 |
| 18/01 | 15:00–16:00 | 50.4 | 2.2 | 1.5 | 0.7 | 8.3 | 71 | 0.5 | 104.1 |
| 19/01 | 13:00–14:00 | 46.6 | 2.1 | 2.0 | 0.1 | 8.6 | 61 | 0.5 | 116.0 |
| 20/01 | 15:00–16:00 | 65.5 | 3.9 | 2.8 | 1.1 | 8.6 | 62 | 0.9 | 94.1 |
| 20/01 | 18:00–20:00 | 137.1 | 10.7 | 10.3 | 0.4 | 4.0 | 82 | 0.6 | 202.1 |
| 21/01 | 15:00–16:00 | 96.7 | 9.8 | 8.9 | 0.9 | 6.8 | 48 | 0.6 | 101.2 |
| 22/01 | 14:00–16:00 | 106.7 | 7.7 | 6.5 | 1.2 | 9.1 | 45 | 0.7 | 106.7 |
| 26/01 | 08:00–09:00 | 55.4 | 3.6 | 2.3 | 1.3 | 8.8 | 88 | 0.3 | 194.8 |
| 31/01 | 13:00–14:00 | 6.7 | 0.8 | 0.5 | 0.3 | 10.1 | 59 | 0.8 | 97.9 |
| 31/01 | 18:00–19:00 | 104.5 | 10.3 | 10.0 | 0.3 | 5.6 | 86 | 0.8 | 185.2 |
| 01/02 | 15:00–16:00 | 16.1 | 2.5 | 2.2 | 0.3 | 11.1 | 72 | 1.2 | 36.3 |
| 01/02 | 18:00–20:00 | 145.5 | 14.4 | 14.4 | 0.0 | 7.5 | 93 | 0.7 | 213.1 |
| 02/02 | 16:00–17:00 | 11.1 | 1.0 | 0.6 | 0.3 | 11.1 | 73 | 0.8 | 125.5 |
| 03/02 | 16:00–17:00 | 52.1 | 3.8 | 2.7 | 1.1 | 10.6 | 81 | 0.8 | 64.5 |


References
- Nepomuceno Pereira, S.; Preißler, J.; Guerrero-Rascado, J.L.; Silva, A.M.; Wagner, F. Forest fire smoke layers observed in the free troposphere over Portugal with a multiwavelength Raman lidar: Optical and microphysical properties. Sci. World J. 2014, 2014, 421838. [Google Scholar] [CrossRef] [PubMed]
- Diapouli, E.; Kalogridis, A.C.; Markantonaki, C.; Vratolis, S.; Fetfatzis, P.; Colombi, C.; Eleftheriadis, K. Annual variability of black carbon concentrations originating from biomass and fossil fuel combustion for the suburban aerosol in Athens, Greece. Atmosphere 2017, 8, 234. [Google Scholar] [CrossRef] [Green Version]
- Liakakou, E.; Stavroulas, I.; Kaskaoutis, D.G.; Grivas, G.; Paraskevopoulou, D. Long-term variability, source apportionment and spectral properties of black carbon at an urban background site in Athens, Greece. Atmos. Environ. 2020, 222, 117137. [Google Scholar] [CrossRef]
- Klimont, Z.; Kupiainen, K.; Heyes, C.; Purohit, P.; Cofala, J.; Rafaj, P.; Borken-Kleefeld, J.; Schöpp, W. Global anthropogenic emissions of particulate matter including black carbon. Atmos. Chem. Phys. 2017, 17, 8681–8723. [Google Scholar] [CrossRef] [Green Version]
- Sarigiannis, D.A.; Karakitsios, S.P.; Kermenidou, M.; Nikolaki, S.; Zikopoulos, D.; Semelidis, S.; Papagiannakis, A.; Tzimou, R. Total exposure to airborne particulate matter in cities: The effect of biomass combustion. Sci. Total Environ. 2014, 493, 795–805. [Google Scholar] [CrossRef]
- Fameli, K.-M.; Assimakopoulos, V.D. The new open Flexible Emission Inventory for Greece and the Greater Athens Area (FEI-GREGAA): Account of pollutant sources and their importance from 2006 to 2012. Atmos. Environ. 2016, 137, 17–37. [Google Scholar] [CrossRef]
- Fourtziou, L.; Liakakou, E.; Stavroulas, I.; Theodosi, C.; Zarmpas, P.; Psiloglou, B.; Sciare, J.; Maggos, T.; Bairachtari, K.; Bougiatioti, A.; et al. Multi-tracer approach to characterize domestic wood burning in Athens (Greece) during wintertime. Atmos. Environ. 2017, 148, 89–101. [Google Scholar] [CrossRef]
- Gratsea, M.; Liakakou, E.; Mihalopoulos, N.; Adamopoulos, A.; Tsilibari, E.; Gerasopoulos, E. The combined effect of reduced fossil fuel consumption and increasing biomass combustion on Athens’ air quality, as inferred from long term CO measurements. Sci. Total Environ. 2017, 592, 115–123. [Google Scholar] [CrossRef]
- Athanasopoulou, E.; Speyer, O.; Brunner, D.; Vogel, H.; Vogel, B.; Mihalopoulos, N.; Gerasopoulos, E. Changes in domestic heating fuel use in Greece: Effects on atmospheric chemistry and radiation. Atmos. Chem. Phys. 2017, 17, 10597–10618. [Google Scholar] [CrossRef] [Green Version]
- Kassomenos, P.A.; Sindosi, O.A.; Lolis, C.J.; Chaloulakou, A. On the relation between seasonal synoptic circulation types and spatial air quality characteristics in Athens, Greece. J. Air Waste Manag. Assoc. 2003, 53, 309–324. [Google Scholar] [CrossRef] [Green Version]
- Sindosi, O.A.; Katsoulis, B.D.; Bartzokas, A. An objective definition of air mass types affecting athens, greece; The corresponding atmospheric pressure patterns and air pollution levels. Environ. Technol. 2003, 24, 947–962. [Google Scholar] [CrossRef]
- Sindosi, O.; Markozannes, G.; Rizos, E.; Ntzani, E. Effects of economic crisis on air quality in Ioannina, Greece. J. Environ. Sci. Health -Part A Toxic/Hazardous Subst. Environ. Eng. 2019, 54, 768–781. [Google Scholar] [CrossRef]
- Sindosi, O.A.; Hatzianastassiou, N. PM 10 Concentrations in a Provincial City of Inland Greece in the Times of Austerity and Their Relationship with Meteorological and Socioeconomic Conditions. Water Air Soil Pollut. 2021, 232, 77. [Google Scholar] [CrossRef]
- Mylonaki, M.; Papayannis, A.; Papanikolaou, C.-A.; Foskinis, R.; Soupiona, O.; Maroufidis, G.; Anagnou, D.; Kralli, E. Tropospheric vertical profiling of the aerosol backscatter coefficient and the particle linear depolarization ratio for different aerosol mixtures during the PANACEA campaign in July 2019 at Volos, Greece. Atmos. Environ. 2021, 247, 118184. [Google Scholar] [CrossRef]
- Kaskaoutis, D.G.; Grivas, G.; Theodosi, C.; Tsagkaraki, M.; Paraskevopoulou, D.; Stavroulas, I.; Liakakou, E.; Gkikas, A.; Hatzianastassiou, N.; Wu, C.; et al. Carbonaceous aerosols in contrasting atmospheric environments in Greek cities: Evaluation of the EC-tracer methods for secondary organic carbon estimation. Atmosphere 2020, 11, 161. [Google Scholar] [CrossRef] [Green Version]
- Papayannis, A.; Kokkalis, P.; Mylonaki, M.; Soupiona, R.; Papanikolaou, C.A.; Foskinis, R. Recent upgrades of the EOLE and AIAS lidar systems of the National Technical University of Athens operating since 2000 in Athens, Greece. EPJ Web Conf. 2020, 237, 4–7. [Google Scholar] [CrossRef]
- D’Amico, G.; Amodeo, A.; Baars, H.; Binietoglou, I.; Freudenthaler, V.; Mattis, I.; Wandinger, U.; Pappalardo, G. EARLINET Single Calculus Chain-overview on methodology and strategy. Atmos. Meas. Tech. 2015, 8, 4891–4916. [Google Scholar] [CrossRef] [Green Version]
- Mattis, I.; D’Amico, G.; Baars, H.; Amodeo, A.; Madonna, F.; Iarlori, M. EARLINET Single Calculus Chain-Technical-Part 2: Calculation of optical products. Atmos. Meas. Tech. 2016, 9, 3009–3029. [Google Scholar] [CrossRef] [Green Version]
- Belegante, L.; Antonio Bravo-Aranda, J.; Freudenthaler, V.; Nicolae, D.; Nemuc, A.; Ene, D.; Alados-Arboledas, L.; Amodeo, A.; Pappalardo, G.; D’Amico, G.; et al. Experimental techniques for the calibration of lidar depolarization channels in EARLINET. Atmos. Meas. Tech. 2018, 11, 1119–1141. [Google Scholar] [CrossRef] [Green Version]
- Freudenthaler, V. About the effects of polarising optics on lidar signals and the Δ90 calibration. Atmos. Meas. Tech. 2016, 9, 4181–4255. [Google Scholar] [CrossRef] [Green Version]
- D’Amico, G.; Amodeo, A.; Mattis, I.; Freudenthaler, V.; Pappalardo, G. EARLINET Single Calculus Chain-technical andndash; Part 1: Pre-processing of raw lidar data. Atmos. Meas. Tech. 2016, 9, 491–507. [Google Scholar] [CrossRef] [Green Version]
- Klett, J.D. Stable analytical inversion solution for processing lidar returns. Appl. Opt. 1981, 20, 211. [Google Scholar] [CrossRef] [Green Version]
- Klett, J.D. Lidar inversion with variable backscatter/extinction ratios. Appl. Opt. 1985, 24, 1638–1643. [Google Scholar] [CrossRef]
- Papayannis, A.; Amiridis, V.; Mona, L.; Tsaknakis, G.; Balis, D.; Bo, J. Systematic lidar observations of Saharan dust over Europe in the frame of EARLINET (2000–2002). J. Geophys. Res.: Atmos. 2008, 113. [Google Scholar] [CrossRef] [Green Version]
- Groß, S.; Esselborn, M.; Weinzierl, B.; Wirth, M.; Fix, A.; Petzold, A. Aerosol classification by airborne high spectral resolution lidar observations. Atmos. Chem. Phys. 2013, 13, 2487–2505. [Google Scholar] [CrossRef] [Green Version]
- Burton, S.P.; Ferrare, R.A.; Vaughan, M.A.; Omar, A.H.; Rogers, R.R.; Hostetler, C.A.; Hair, J.W. Aerosol classification from airborne HSRL and comparisons with the CALIPSO vertical feature mask. Atmos. Meas. Tech. 2013, 6, 1397–1412. [Google Scholar] [CrossRef] [Green Version]
- Murayama, T.; Müller, D.; Wada, K.; Shimizu, A.; Sekiguchi, M.; Tsukamoto, T. Characterization of Asian dust and Siberian smoke with multi-wavelength Raman lidar over Tokyo, Japan in spring 2003. Geophys. Res. Lett. 2004, 31, 1–5. [Google Scholar] [CrossRef] [Green Version]
- Balis, D.S.; Amiridis, V.; Zerefos, C.; Gerasopoulos, E.; Andreae, M.; Zanis, P.; Kazantzidis, A.; Kazadzis, S.; Papayannis, A. Raman lidar and sunphotometric measurements of aerosol optical properties over Thessaloniki, Greece during a biomass burning episode. Atmos. Environ. 2003, 37, 4529–4538. [Google Scholar] [CrossRef]
- Müller, D. Indo-Asian pollution during INDOEX: Microphysical particle properties and single-scattering albedo inferred from multiwavelength lidar observations. J. Geophys. Res. 2003, 108, 4600. [Google Scholar] [CrossRef]
- Burton, S.P.; Ferrare, R.A.; Hostetler, C.A.; Hair, J.W.; Rogers, R.R.; Obland, M.D.; Butler, C.F.; Cook, A.L.; Harper, D.B.; Froyd, K.D. Aerosol classification using airborne High Spectral Resolution Lidar measurements-methodology and examples. Atmos. Meas. Tech. 2012, 5, 73–98. [Google Scholar] [CrossRef] [Green Version]
- Nicolae, D.; Nemuc, A.; Müller, D.; Talianu, C.; Vasilescu, J.; Belegante, L.; Kolgotin, A. Characterization of fresh and aged biomass burning events using multiwavelength Raman lidar and mass spectrometry. J. Geophys. Res. Atmos. 2013, 118, 2956–2965. [Google Scholar] [CrossRef]
- Groß, S.; Tesche, M.; Freudenthaler, V.; Toledano, C.; Wiegner, M.; Ansmann, A.; Althausen, D.; Seefeldner, M. Characterization of Saharan dust, marine aerosols and mixtures of biomass-burning aerosols and dust by means of multi-wavelength depolarization and Raman lidar measurements during SAMUM 2. Tellus Ser. B Chem. Phys. Meteorol. 2011, 63, 706–724. [Google Scholar] [CrossRef]
- Soupiona, O.; Papayannis, A.; Kokkalis, P.; Foskinis, R.; Sánchez Hernández, G.; Ortiz-Amezcua, P.; Mylonaki, M.; Papanikolaou, C.-A.; Papagiannopoulos, N.; Samaras, S.; et al. Saharan dust intrusions over the northern Mediterranean region in the frame of EARLINET (2014–2017): Properties and impact in radiative forcing. Atmos. Chem. Phys. Discuss. 2020, 2020, 1–22. [Google Scholar] [CrossRef]
- Sicard, M.; Barragan, R.; Dulac, F.; Alados-Arboledas, L.; Mallet, M. Aerosol optical, microphysical and radiative properties at regional background insular sites in the western Mediterranean. Atmos. Chem. Phys. 2016, 16, 12177–12203. [Google Scholar] [CrossRef] [Green Version]
- Stull, R.B. Boundary Layer Meteorology. An Introduction to Boundary Layer Meteorology; Springer Science & Business Media: Berlin/Heidelberg, Germany, 1988. [Google Scholar]
- Papanastasiou, D.K.; Melas, D. Statistical characteristics of ozone and PM 10 levels in a medium-sized Mediterranean city. Int. J. Environ. Pollut. 2009, 36, 127–138. [Google Scholar] [CrossRef]
- Emeis, S.; Schäfer, K. Remote sensing methods to investigate boundary-layer structures relevant to air pollution in cities. Bound. -Layer Meteorol. 2006, 121, 377–385. [Google Scholar] [CrossRef]
- Su, T.; Li, Z.; Kahn, R. Relationships between the planetary boundary layer height and surface pollutants derived from lidar observations over China: Regional pattern and influencing factors. Atmos. Chem. Phys. 2018, 18, 15921–15935. [Google Scholar] [CrossRef] [Green Version]
- Kokkalis, P.; Alexiou, D.; Papayannis, A.; Rocadenbosch, F.; Soupiona, O.; Raptis, P.I.; Mylonaki, M.; Tzanis, C.G.; Christodoulakis, J. Application and Testing of the Extended-Kalman-Filtering Technique for Determining the Planetary Boundary-Layer Height over Athens, Greece. Bound. -Layer Meteorol. 2020, 176, 125–147. [Google Scholar] [CrossRef]
- Stein, A.F.; Draxler, R.R.; Rolph, G.D.; Stunder, B.J.B.; Cohen, M.D.; Ngan, F. Noaa’s hysplit atmospheric transport and dispersion modeling system. Bull. Am. Meteorol. Soc. 2015, 96, 2059–2077. [Google Scholar] [CrossRef]
- Giglio, L.; Schroeder, W.; Justice, C.O. The collection 6 MODIS active fire detection algorithm and fire products. Remote Sens. Environ. 2016, 178, 31–41. [Google Scholar] [CrossRef] [Green Version]
- Stavroulas, I.; Grivas, G.; Michalopoulos, P.; Liakakou, E.; Bougiatioti, A.; Kalkavouras, P.; Fameli, K.M.; Hatzianastassiou, N.; Mihalopoulos, N.; Gerasopoulos, E. Field evaluation of low-cost PM sensors (Purple Air PA-II) Under variable urban air quality conditions, in Greece. Atmosphere 2020, 11, 926. [Google Scholar] [CrossRef]
- Kosmopoulos, G.; Salamalikis, V.; Pandis, S.N.; Yannopoulos, P.; Bloutsos, A.A.; Kazantzidis, A. Low-cost sensors for measuring airborne particulate matter: Field evaluation and calibration at a South-Eastern European site. Sci. Total Environ. 2020, 748, 141396. [Google Scholar] [CrossRef]
- Drinovec, L.; Močnik, G.; Zotter, P.; Prévôt, A.S.H.; Ruckstuhl, C.; Coz, E.; Rupakheti, M.; Sciare, J.; Müller, T.; Wiedensohler, A.; et al. The “dual-spot” Aethalometer: An improved measurement of aerosol black carbon with real-time loading compensation. Atmos. Meas. Tech. 2015, 8, 1965–1979. [Google Scholar] [CrossRef] [Green Version]
- Sandradewi, J.; Prévôt, A.S.H.; Szidat, S.; Perron, N.; Alfarra, M.R.; Lanz, V.A.; Weingartner, E.; Baltensperger, U. Using aerosol light absorption measurements for the quantitative determination of wood burning and traffic emission contributions to particulate matter. Environ. Sci. Technol. 2008, 42, 3316–3323. [Google Scholar] [CrossRef]
- Banks, R.F.; Tiana-Alsina, J.; Baldasano, J.M.; Rocadenbosch, F.; Papayannis, A.; Solomos, S.; Tzanis, C.G. Sensitivity of boundary-layer variables to PBL schemes in the WRF model based on surface meteorological observations, lidar, and radiosondes during the HygrA-CD campaign. Atmos. Res. 2016, 176–177, 185–201. [Google Scholar] [CrossRef]
- Amiridis, V.; Giannakaki, E.; Balis, D.S.; Gerasopoulos, E.; Pytharoulis, I.; Zanis, P.; Kazadzis, S.; Melas, D.; Zerefos, C.; Sensing, R. and Physics Smoke injection heights from agricultural burning in Eastern Europe as seen by CALIPSO. Atmos. Chem. Phys. 2010, 10, 11567–11576. [Google Scholar] [CrossRef] [Green Version]
- Labonne, M.; Bréon, F.M.; Chevallier, F. Injection height of biomass burning aerosols as seen from a spaceborne lidar. Geophys. Res. Lett. 2007, 34. [Google Scholar] [CrossRef]
- Nisantzi, A.; Mamouri, R.E.; Ansmann, A.; Hadjimitsis, D. Injection of mineral dust into the free troposphere during fire events observed with polarization lidar at Limassol, Cyprus. Atmos. Chem. Phys. 2014, 14, 12155–12165. [Google Scholar] [CrossRef] [Green Version]
- Stachlewska, I.S.; Samson, M.; Zawadzka, O.; Harenda, K.M.; Janicka, L.; Poczta, P.; Szczepanik, D.; Heese, B.; Wang, D.; Borek, K.; et al. Modification of local urban aerosol properties by long-range transport of biomass burning aerosol. Remote Sens. 2018, 10, 412. [Google Scholar] [CrossRef] [Green Version]
- Papanikolaou, C.A.; Giannakaki, E.; Papayannis, A.; Mylonaki, M.; Soupiona, O. Canadian biomass burning aerosol properties modification during a long-ranged event on August 2018. Sensors 2020, 20, 5442. [Google Scholar] [CrossRef]
- Burton, S.P.; Hair, J.W.; Kahnert, M.; Ferrare, R.A.; Hostetler, C.A.; Cook, A.L.; Harper, D.B.; Berkoff, T.A. Observations of the spectral dependence of linear particle depolarization ratio of aerosols using NASA Langley airborne High Spectral Resolution Lidar. Atmos. Chem. Phys. 2015, 15, 13453–13473. [Google Scholar] [CrossRef] [Green Version]
- Mylonaki, M.; Giannakaki, E.; Papayannis, A.; Papanikolaou, C.; Komppula, M. Aerosol type classification analysis using EARLINET multiwavelength and depolarization lidar observations. Atmos. Chem. Phys. 2021, 21, 2211–2227. [Google Scholar] [CrossRef]
- Groß, S.; Freudenthaler, V.; Wirth, M.; Weinzierl, B. Towards an aerosol classification scheme for future EarthCARE lidar observations and implications for research needs. Atmos. Sci. Lett. 2015, 16, 77–82. [Google Scholar] [CrossRef] [Green Version]
- Kalogridis, A.; Vratolis, S.; Liakakou, E.; Gerasopoulos, E.; Mihalopoulos, N. Assessment of wood burning versus fossil fuel contribution to wintertime black carbon and carbon monoxide concentrations in Athens, Greece. Atmos. Chem. Phys. 2018, 18, 10219–10236. [Google Scholar] [CrossRef] [Green Version]
- Herich, H.; Hueglin, C.; Buchmann, B. Techniques A 2. 5 year’ s source apportionment study of black carbon from wood burning and fossil fuel combustion at urban and rural sites in Switzerland. Atmos. Meas. Tech. 2011, 4, 1409–1420. [Google Scholar] [CrossRef] [Green Version]
- Titos, G.; Águila, A.; Cazorla, A.; Lyamani, H.; Casquero-vera, J.A.; Colombi, C.; Cuccia, E.; Gianelle, V.; Mo, G.; Alastuey, A.; et al. Science of the Total Environment Spatial and temporal variability of carbonaceous aerosols: Assessing the impact of biomass burning in the urban environment. Sci. Total Environ. 2017, 578, 613–625. [Google Scholar] [CrossRef] [Green Version]
- Fuller, G.W.; Sciare, J.; Lutz, M.; Moukhtar, S.; Wagener, S. New Directions: Time to tackle urban wood burning? Atmos. Environ. 2013, 68, 295–296. [Google Scholar] [CrossRef]
- Fuller, G.W.; Tremper, A.H.; Baker, T.D.; Espen, K.; Butter, D. Contribution of wood burning to PM 10 in London. Atmos. Environ. 2014, 87, 87–94. [Google Scholar] [CrossRef] [Green Version]
- Costabile, F.; Alas, H.; Aufderheide, M.; Avino, P.; Amato, F.; Argentini, S.; Id, F.B.; Berico, M.; Bernardoni, V.; Biondi, R.; et al. First Results of the “Carbonaceous Aerosol in Rome and Environs (CARE)” Experiment: Beyond Current Standards for PM 10. Atmosphere 2017, 8, 249. [Google Scholar] [CrossRef] [Green Version]
- Borrego, C.; Valente, J.; Carvalho, A.; Sá, E.; Lopes, M.; Miranda, A.I. Contribution of residential wood combustion to PM10 levels in Portugal. Atmos. Environ. 2010, 44, 642–651. [Google Scholar] [CrossRef] [Green Version]
- Becerril-Valle, M.; Coz, E.; Prévôt, A.S.H.; Močnik, G.; Pandis, S.N.; de la Campa, A.S.; Alastueyj, A.; Díaza, E.; Pérezk, R.M.; Artíñano, B. Characterization of atmospheric black carbon and co-pollutants in urban and rural areas of Spain v o. Atmos. Environ. 2017, 169, 36–53. [Google Scholar] [CrossRef]
- Burton, S.P.; Vaughan, M.A.; Ferrare, R.A.; Hostetler, C.A. Separating mixtures of aerosol types in airborne High Spectral Resolution Lidar data. Atmos. Meas. Tech. 2014, 7, 419–436. [Google Scholar] [CrossRef] [Green Version]
- Groß, S.; Freudenthaler, V.; Schepanski, K.; Toledano, C.; Schäfler, A.; Ansmann, A.; Weinzierl, B. Optical properties of long-range transported Saharan dust over Barbados as measured by dual-wavelength depolarization Raman lidar measurements. Atmos. Chem. Phys. 2015, 15, 11067–11080. [Google Scholar] [CrossRef] [Green Version]
- Müller, D.; Heinold, B.; Tesche, M.; Tegen, I.; Althausen, D.; Arboledas, L.A.; Amiridis, V.; Amodeo, A.; Ansmann, A.; Balis, D.; et al. EARLINET observations of the 14-22-May long-range dust transport event during SAMUM 2006: Validation of results from dust transport modelling. Tellus Ser. B Chem. Phys. Meteorol. 2009, 61, 325–339. [Google Scholar] [CrossRef] [Green Version]
- Papayannis, A.; Mamouri, R.E.; Amiridis, V.; Remoundaki, E.; Tsaknakis, G.; Kokkalis, P.; Veselovskii, I.; Kolgotin, A.; Nenes, A.; Fountoukis, C. Optical-microphysical properties of Saharan dust aerosols and composition relationship using a multi-wavelength Raman lidar, in situ sensors and modelling: A case study analysis. Atmos. Chem. Phys. 2012, 12, 4011–4032. [Google Scholar] [CrossRef] [Green Version]
- Soupiona, O.; Samaras, S.; Ortiz-Amezcua, P.; Böckmann, C.; Papayannis, A.; Moreira, G.A.; Benavent-Oltra, J.A.; Guerrero-Rascado, J.L.; Bedoya-Velásquez, A.E.; Olmo, F.J.; et al. Retrieval of optical and microphysical properties of transported Saharan dust over Athens and Granada based on multi-wavelength Raman lidar measurements: Study of the mixing processes. Atmos. Environ. 2019, 214. [Google Scholar] [CrossRef]




| Reference | PLDR |
|---|---|
| Burton et al., 2012 [30] | 0.02–0.05 |
| Nicolae et al., 2013 [31] | <0.05 (0.02–0.04) |
| Burton et al., 2013 [26] | 0.03–0.06 |
| Nepomuceno Pereira et al., 2014 [1] | ≤0.05 |
| Burton et al., 2015 [52] | 0.02–0.03 |
| Stachlewska et al., 2018 [50] | ≤0.065 |
| Papanikolaou et al., 2020 [51] | 0.05 ± 0.04 |
| This study | 0.02 ± 0.01 (PBL) 0.04 ± 0.02 (FT) |
Publisher’s Note: MDPI stays neutral with regard to jurisdictional claims in published maps and institutional affiliations. |
© 2022 by the authors. Licensee MDPI, Basel, Switzerland. This article is an open access article distributed under the terms and conditions of the Creative Commons Attribution (CC BY) license (https://creativecommons.org/licenses/by/4.0/).
Share and Cite
Papanikolaou, C.-A.; Papayannis, A.; Mylonaki, M.; Foskinis, R.; Kokkalis, P.; Liakakou, E.; Stavroulas, I.; Soupiona, O.; Hatzianastassiou, N.; Gavrouzou, M.; et al. Vertical Profiling of Fresh Biomass Burning Aerosol Optical Properties over the Greek Urban City of Ioannina, during the PANACEA Winter Campaign. Atmosphere 2022, 13, 94. https://doi.org/10.3390/atmos13010094
Papanikolaou C-A, Papayannis A, Mylonaki M, Foskinis R, Kokkalis P, Liakakou E, Stavroulas I, Soupiona O, Hatzianastassiou N, Gavrouzou M, et al. Vertical Profiling of Fresh Biomass Burning Aerosol Optical Properties over the Greek Urban City of Ioannina, during the PANACEA Winter Campaign. Atmosphere. 2022; 13(1):94. https://doi.org/10.3390/atmos13010094
Chicago/Turabian StylePapanikolaou, Christina-Anna, Alexandros Papayannis, Maria Mylonaki, Romanos Foskinis, Panagiotis Kokkalis, Eleni Liakakou, Iasonas Stavroulas, Ourania Soupiona, Nikolaos Hatzianastassiou, Maria Gavrouzou, and et al. 2022. "Vertical Profiling of Fresh Biomass Burning Aerosol Optical Properties over the Greek Urban City of Ioannina, during the PANACEA Winter Campaign" Atmosphere 13, no. 1: 94. https://doi.org/10.3390/atmos13010094
APA StylePapanikolaou, C.-A., Papayannis, A., Mylonaki, M., Foskinis, R., Kokkalis, P., Liakakou, E., Stavroulas, I., Soupiona, O., Hatzianastassiou, N., Gavrouzou, M., Kralli, E., & Anagnou, D. (2022). Vertical Profiling of Fresh Biomass Burning Aerosol Optical Properties over the Greek Urban City of Ioannina, during the PANACEA Winter Campaign. Atmosphere, 13(1), 94. https://doi.org/10.3390/atmos13010094

