A Study to Explore the Dew Condensation Potential of Cars
Abstract
:1. Introduction
2. Measurements and Methods
2.1. Measurement Sites
2.1.1. Ajaccio
2.1.2. Valparaίso
2.2. Characteristics of the Condensing Surfaces
| Car part | Materials | Thickness (mm) | Thermal Conductivity (W·m−1·K−1) | Surface Emissivity | ||||||||
|---|---|---|---|---|---|---|---|---|---|---|---|---|
| Rooftop RT | paint | steel | isolation | 0.008–0.038 | 1.2 | 10 | 0.57–1.48 (b) | 54 | ~0.03 | 0.92–0.96 (a) | - | - |
| Front hood FH Back trunk BT | paint | steel | isolationnon isol. | 0.008–0.038 | 0.7–2 | 10 | 0.57–1.48 (b) | 54 | ~0.03 | 0.92–0.96 (a) | - | - |
| Windshield WS | glass | vinyl | glass | 2 | 1 | 2 | 1.05 (a) | 0.25 (a) | 1.05 (a) | 0.92–0.94 (a) | ||
| Windows W | glass | 3–6 | 1.05 (a) | 0.92–0.94 (a) | ||||||||
| Water (liquid) | water | - | 0.606 (a) | 0.98 (c) | ||||||||
| Air | air | - | 0.026 (a) | - | ||||||||
| Reference REF | foil | styrofoam | air | 0.3 | 25 | 10 | 0.33 (a,d) | 0.032 (a) | 0.024 (a) | 0.90 (e) | ||
2.3. Data Collection
2.3.1. Meteo Data
- (i)
- Ajaccio
- (ii)
- Valparaiso
2.3.2. Surface Temperature Measurements
- (i)
- Ajaccio
- (ii)
- Valparaiso
2.3.3. Dew Volume Measurements and Observation Protocol
- (i)
- Ajaccio
- (ii)
- Valparaiso
2.3.4. Wind Velocity Extrapolation at 10 m Elevation
2.3.5. Relative Temperature Efficiency
3. Dew Yield, Surface Temperature, and Radiation Deficit
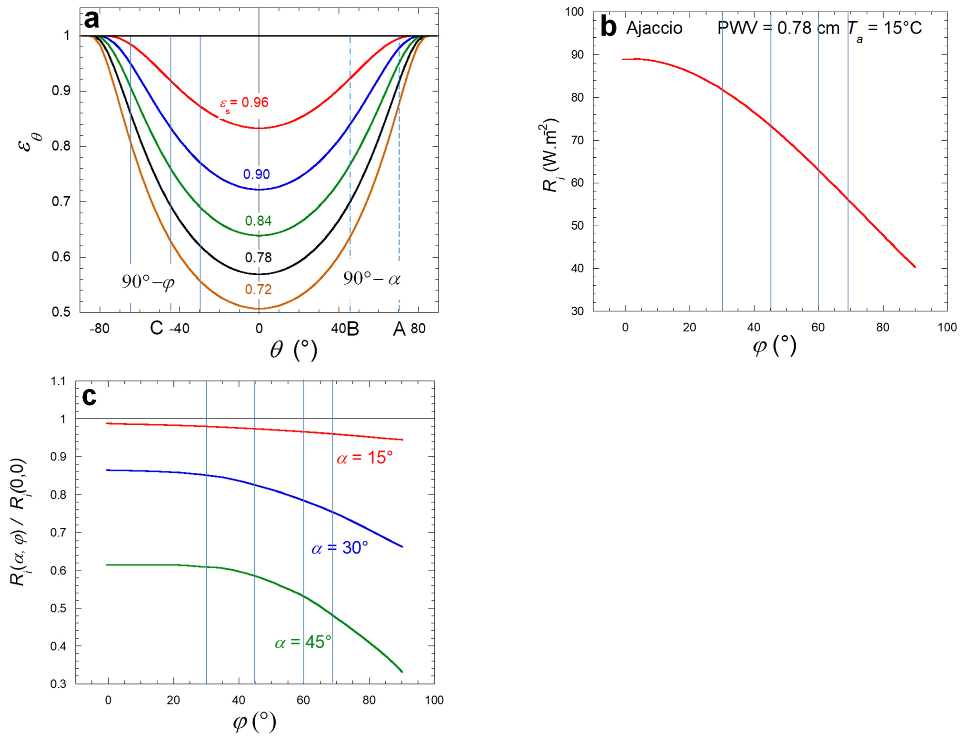
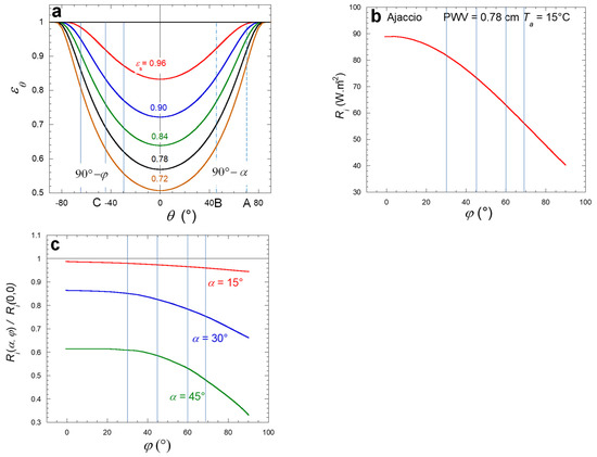
3.1. Radiative Cooling
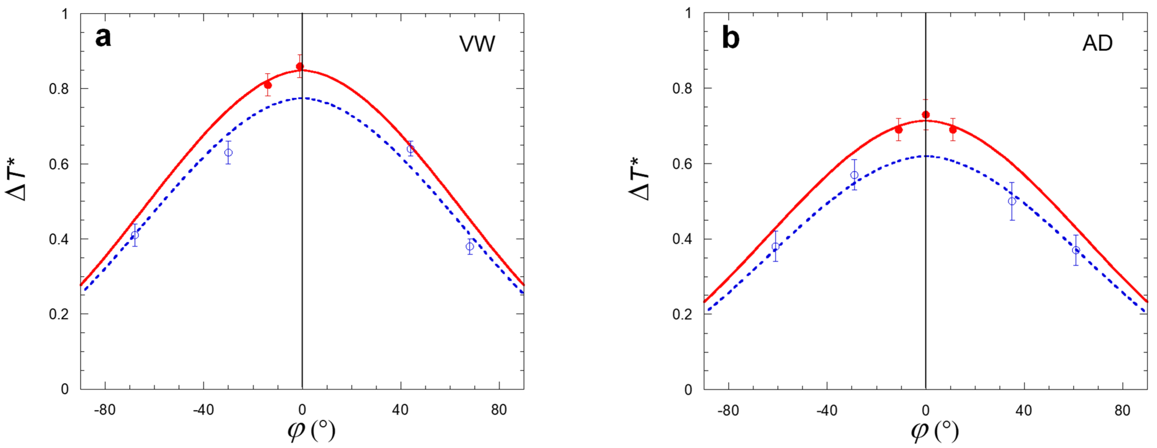
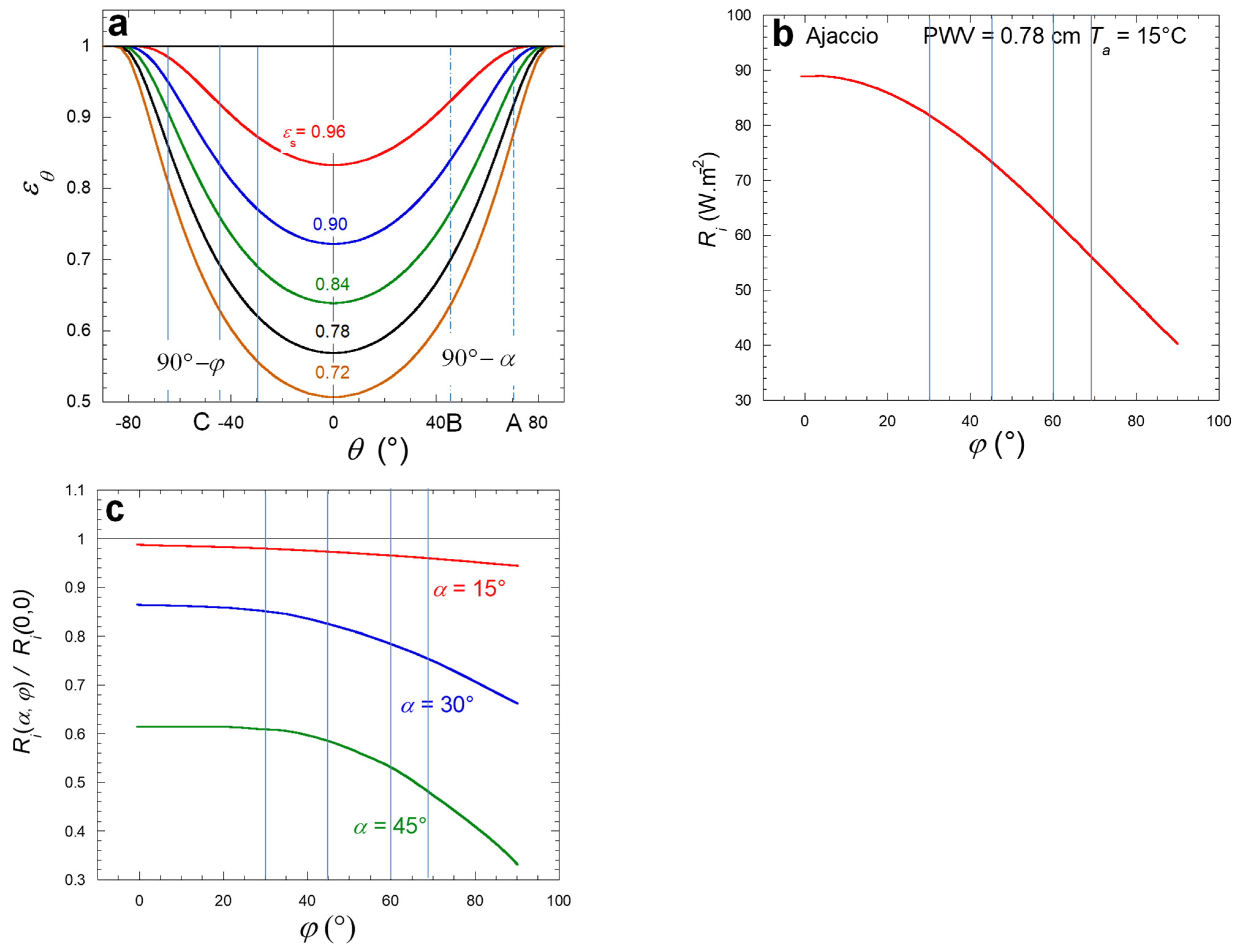
3.2. Radiative Heat Exchange with Surface Tilt Angle and Obstacle View Angle
3.3. Energy Balance
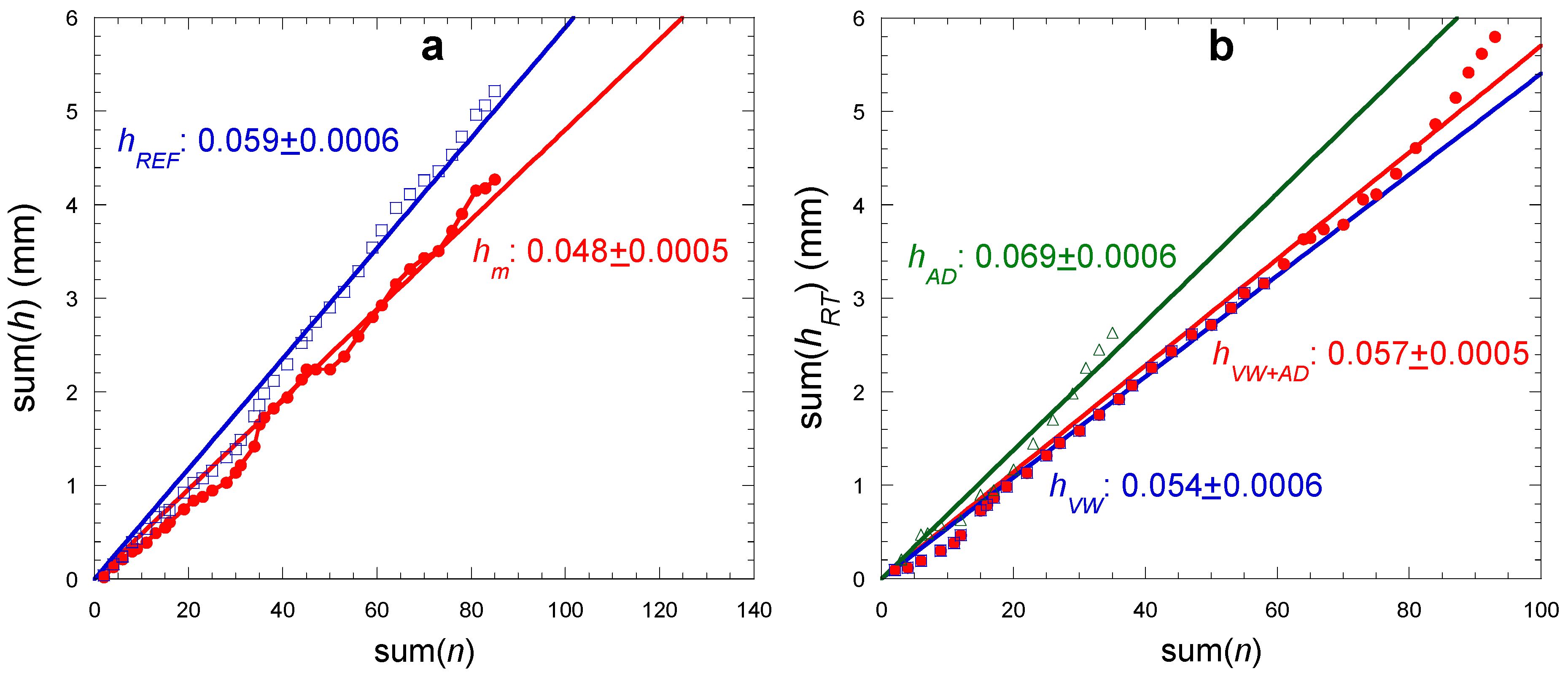
3.4. Conductive and Convective Heat Exchange
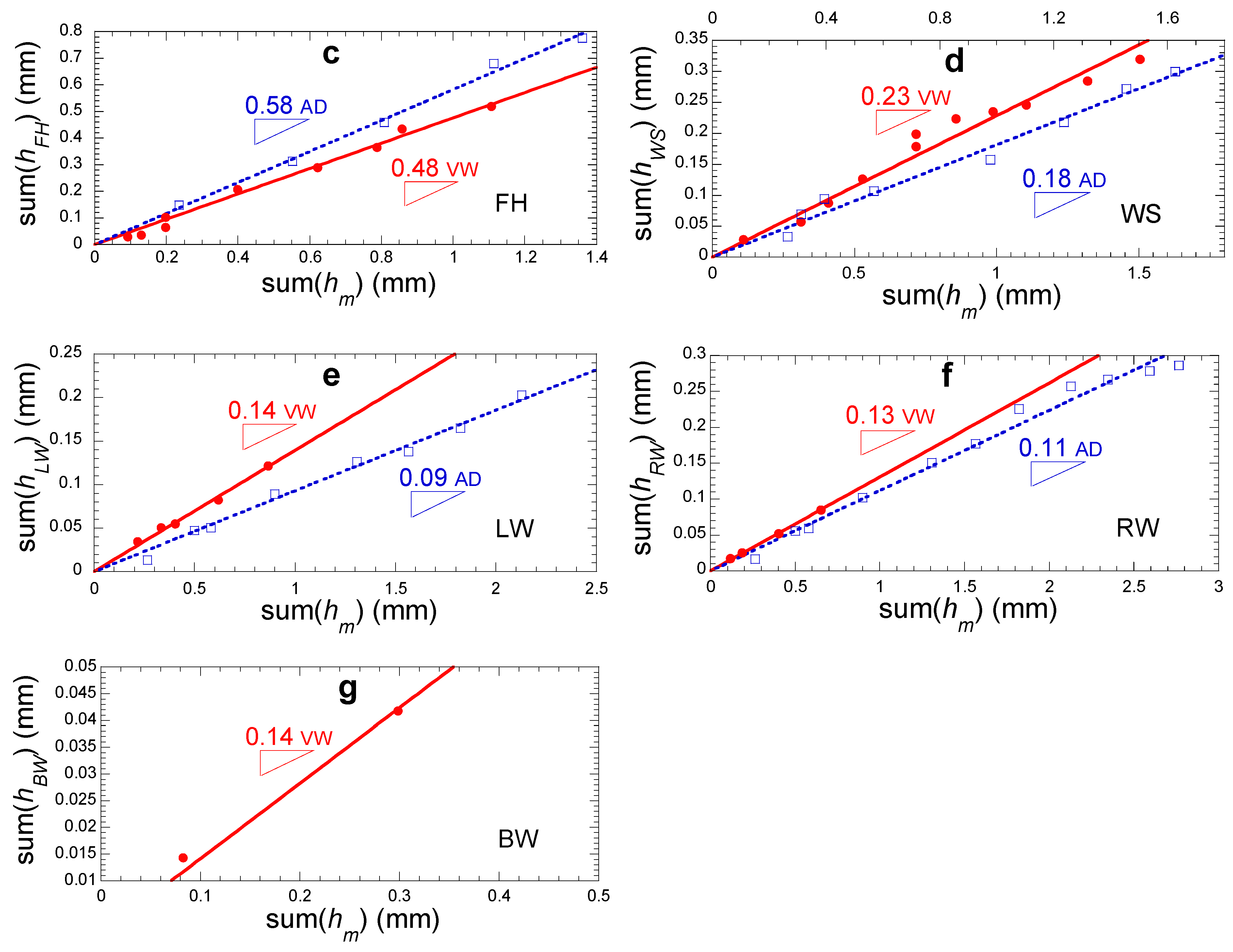
3.5. Relation Dew Yield—Surface Temperature
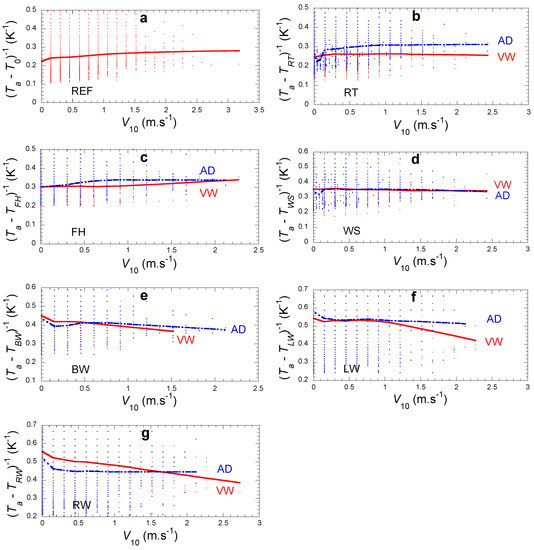
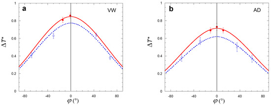
3.6. Relation Temperature Efficiency—Radiation Deficit
4. Results. Discussion
4.1. Typical Events
4.2. Temperature Efficiency and Dew Yield Evolution
4.2.1. Temperature Efficiency
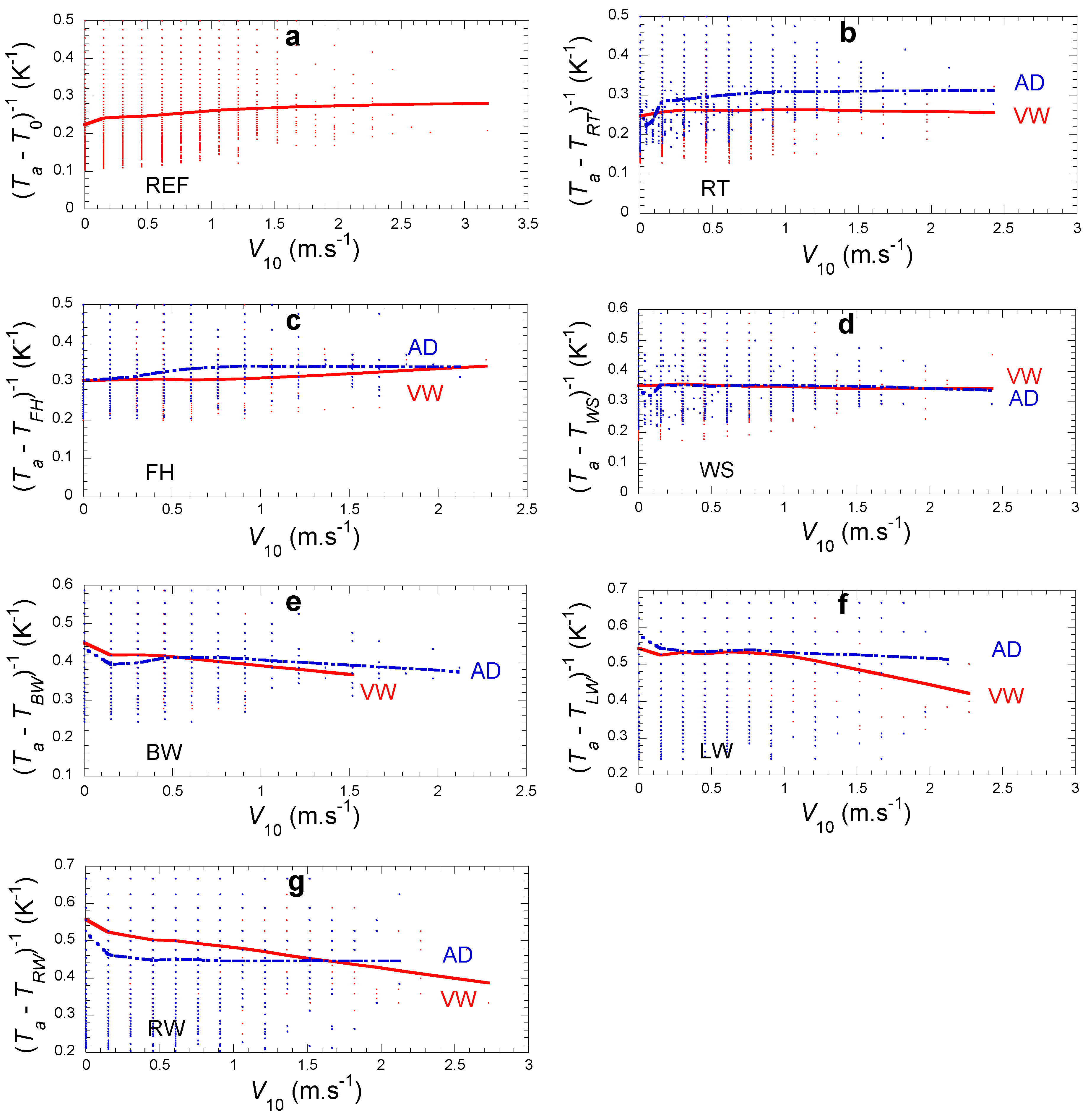
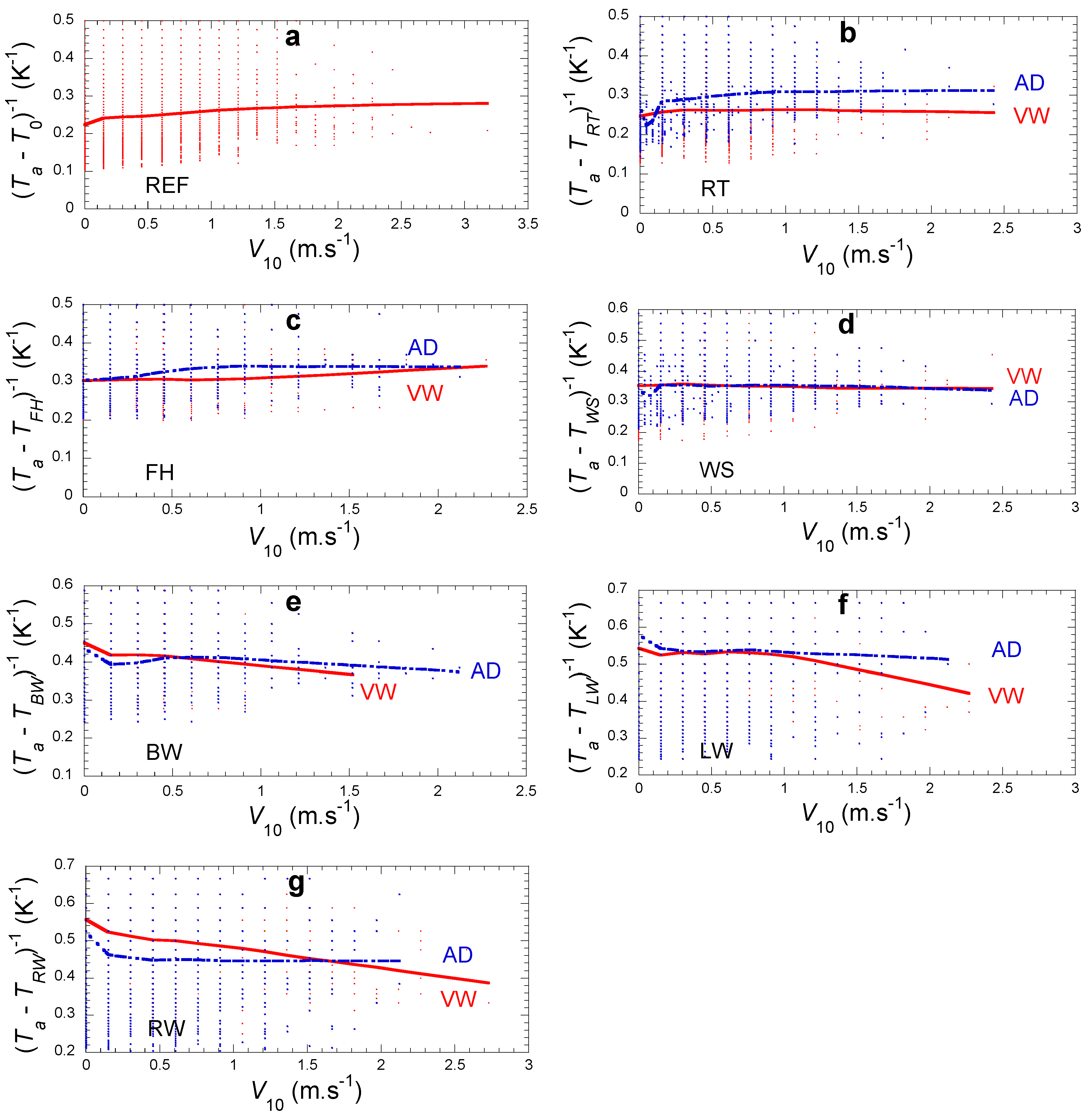
4.2.2. Surface Temperature and Wind Characteristics
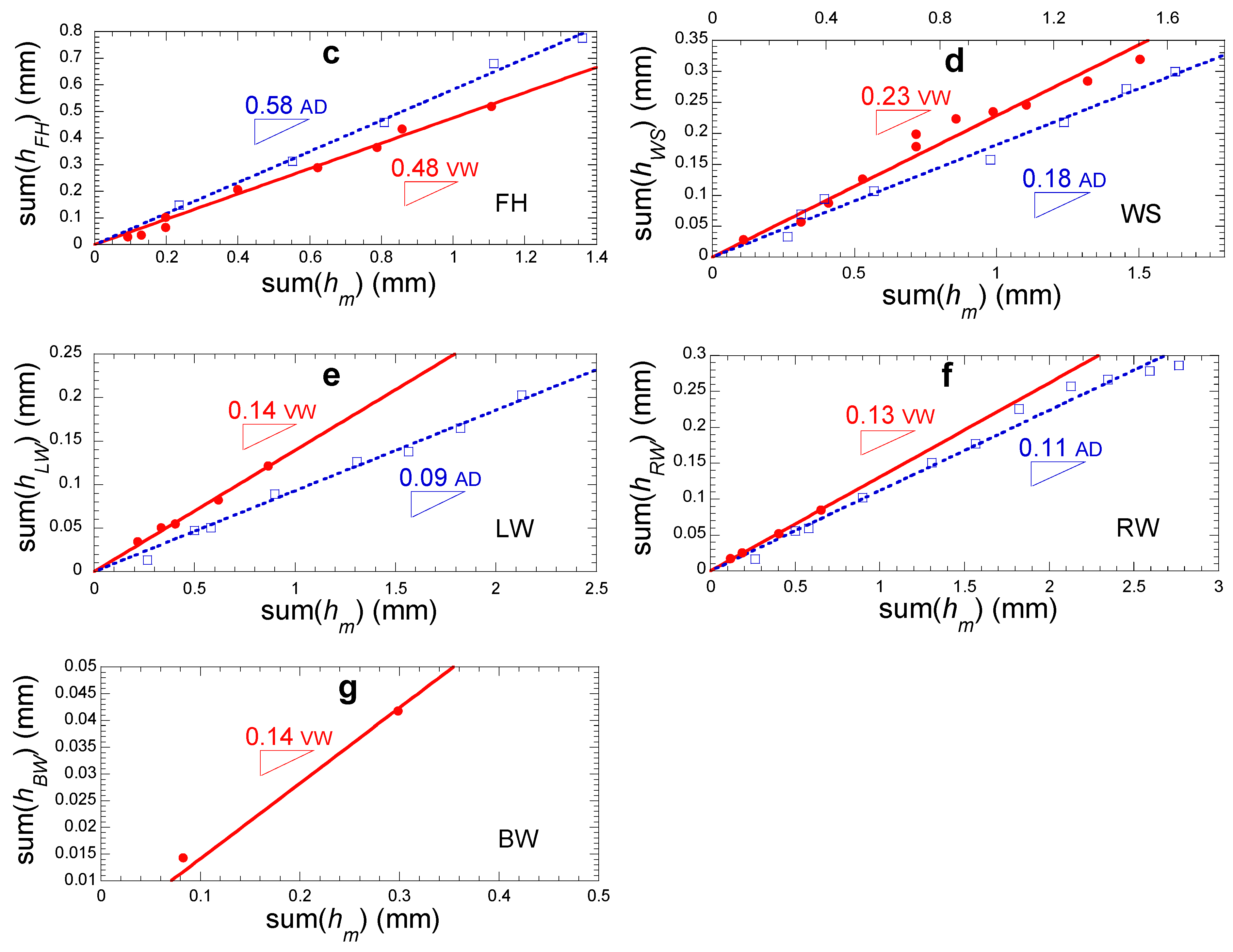
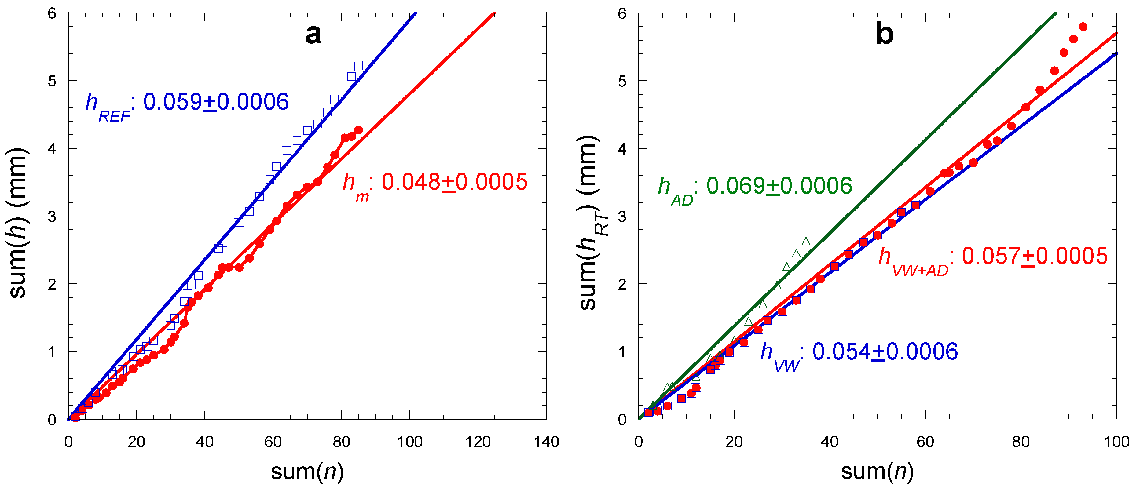
4.3. Dew Yield Estimation
4.3.1. Dew Yield from Surface Temperatures
4.3.2. Dew Yield Estimation from Meteorological Data
4.3.3. Comparison with the Visual Observation Scale
4.3.4. Variability Climate—Car Trade Mark
5. Conclusions
Author Contributions
Funding
Institutional Review Board Statement
Informed Consent Statement
Data Availability Statement
Acknowledgments
Conflicts of Interest
References
- Monteith, J.L. Dew. Q. J. Royal. Meteorol. 1957, 83, 322–341. [Google Scholar] [CrossRef]
- Tomaszkiewicz, M.; Abou Najm, M.; Zurayk, R.; El-Fadel, M. Dew as an Adaptation Measure to Meet Water Demand in Agriculture and Reforestation. Agric. For. Meteorol. 2017, 232, 411–421. [Google Scholar] [CrossRef]
- Fang, J. A review on eco-hydrological effects of condensation water. Sci. Cold Arid Reg. 2013, 5, 275–281. [Google Scholar]
- Tomaszkiewicz, M.; Abou Najm, M.; Beysens, D.; Alameddine, I.; El-Fadel, M. Dew as a sustainable non-conventional water resource: A critical review. Environ. Rev. 2015, 23, 425–442. [Google Scholar] [CrossRef]
- Kaseke, K.F.; Wang, L. Fog and dew as potable water resources: Maximizing harvesting potential and water quality concerns. GeoHealth 2018, 2, 327–332. [Google Scholar] [CrossRef]
- Beysens, D. Dew Water; Rivers Publisher: Gistrup, Denmark, 2018. [Google Scholar]
- Vuollekoski, H.; Vogt, M.; Sinclair, V.A.; Duplissy, J.; Järvinen, H.; Kyrö, E.M.; Makkonen, R.; Petäjä, T.; Prisle, N.L.; Räisänen, P.; et al. Estimates of global dew collection potential on artificial surfaces. Hydrol. Earth. Syst. Sci. 2015, 19, 601–613. [Google Scholar] [CrossRef] [Green Version]
- Beysens, D. Estimating dew yield worldwide from a few meteo data. Atmos. Res. 2016, 167, 146–155. [Google Scholar] [CrossRef]
- Recent Observed Changes in Extreme High-Temperature Events and Associated Meteorological Conditions over Africa. Int. J. Climatol. Available online: https://doi.org/10.1002/joc.7485 (accessed on 1 December 2021).
- Iyakaremye, V.; Zeng, G.; Yang, X.; Zhang, G.; Ullah, I.; Gahigi, A.; Vuguziga, F.; Gebremariam Asfaw, T.; Ayugi, B. Increased high-temperature extremes and associated population exposure in Africa by the mid-21st century. Sci. Total Environ. 2021, 790, 148162. [Google Scholar] [CrossRef] [PubMed]
- Tomaszkiewicz, M.; Abou Najma, M.; Beysens, D.; Alameddine, I.; Bou Zeid, E.; El-Fadel, M. Projected climate change impacts upon dew yield in the Mediterranean basin. Sci. Total Environ. 2016, 566–567, 1339–1348. [Google Scholar] [CrossRef]
- Agam, N.; Berliner, P. Dew formation and water vapor adsorption in semi-arid environments—A review. J. Arid Environ. 2006, 65, 572–590. [Google Scholar] [CrossRef]
- Lekouch, I.; Lekouch, K.; Muselli, M.; Mongruel, A.; Kabbachi, B.; Beysens, D. Rooftop dew, fog and rain collection in southwest Morocco and predictive dew modeling using neural networks. J. Hydrol. 2012, 448, 60–72. [Google Scholar] [CrossRef]
- Valjarević, A.; Filipović, D.; Valjarević, D.; Milanović, M.; Milošević, S.; Živić, N.; Lukić, T. GIS and remote sensing techniques for the estimation of dew volume in the Republic of Serbia. Meteorol. Appl. 2020, 27, e1930. [Google Scholar] [CrossRef]
- Beysens, D.; Pruvost, V.; Pruvost, B. Dew observed on cars as a proxy for quantitative measurements. J. Arid Environ. 2016, 135, 90–95. [Google Scholar] [CrossRef] [Green Version]
- Muselli, M.; Beysens, D.; Marcillat, J.; Milimouk, I.; Nilsson, T.; Louche, A. Dew water collector for potable water in Ajaccio (Corsica Island, France). Atmos. Res. 2002, 64, 297–312. [Google Scholar] [CrossRef]
- OPUR. 2021. Available online: www.opur.fr (accessed on 1 December 2021).
- Nilsson, T.M.J.; Vargas, W.E.; Niklasson, G.A.; Granqvist, C.G. Condensation of water by radiative cooling. Renew. Energy 1994, 5, 310–317. [Google Scholar] [CrossRef]
- Hall, J.N.; Fekete, J.R. Steels for auto bodies. In Automotive Steels; Woodhead Publishing: Cambridge, UK, 2017. [Google Scholar]
- The Engineering Toolbox. 2021. Available online: https://www.engineeringtoolbox.com (accessed on 1 December 2021).
- Raghu, O.; Philip, J. Thermal properties of paint coatings on different backings using a scanning photo acoustic technique. Meas. Sci. Technol. 2006, 17, 2945–2949. [Google Scholar] [CrossRef]
- Downing, H.; Williams, D. Optical constant of water in the infrared. J. Geophys. Res. 1975, 80, 1656–1661. [Google Scholar] [CrossRef]
- Pal Arya, S. Introduction to Micrometeorology; Academic Press: San Diego, CA, USA, 1988. [Google Scholar]
- Beysens, D.; Milimouk, I.; Nikolayev, V.; Muselli, M.; Marcillat, J. Using radiative cooling to condense atmospheric vapor: A study to improve water yield. J. Hydrol. 2003, 276, 1–11. [Google Scholar] [CrossRef]
- Trosseille, J.; Mongruel, A.; Royon, L.; Beysens, D. Effective surface emissivity during dew water condensation. Int. J. Heat Mass Transf. 2022, 183, 122078. [Google Scholar] [CrossRef]
- Bliss, R.A. Atmospheric radiation near the surface of the ground. Sol. Energy 1961, 5, 103–120. [Google Scholar] [CrossRef]
- Berger, X.; Bathiebo, J. Clear sky radiation as a function of altitude. Int. J. Renew. Energy 1992, 2, 139–157. [Google Scholar] [CrossRef]
- Awanou, C.N. Clear sky emissivity as a function of the zenith direction. Renew. Energy 1998, 13, 227–248. [Google Scholar] [CrossRef]
- Berger, X.; Bathiebo, J. Directional spectral emissivities of clear skies. Renew. Energy 2003, 28, 1925–1933. [Google Scholar] [CrossRef]
- Howell, J.C.; Yizhaq, T.; Drechsler, N.R.; Zamir, Y.; Beysens, D.; Shaw, J.A. Radiative, Power-Enhanced Dew Collection. J. Hydrol. 2021, 603, 126971. [Google Scholar] [CrossRef]
- Clus, O.; Ortega, P.; Muselli, M.; Milimouk, I.; Beysens, D. Study of dew water collection in humid tropical islands. J. Hydrol. 2008, 361, 159–171. [Google Scholar] [CrossRef]
- Sokuler, M.; Auernhammer, G.K.; Liu, C.J.; Bonaccurso, E.; Butt, H.-J. Dynamics of condensation and evaporation: Effect of inter-drop spacing. Europhys. Lett. 2010, 89, 36004. [Google Scholar] [CrossRef]
- Beysens, D.; Muselli, M.; Nikolayev, V.; Narhe, R.; Milimouk, I. Measurement and modelling of dew in island, coastal and alpine areas. Atmos. Res. 2005, 73, 1–22. [Google Scholar] [CrossRef] [Green Version]
- Clus, O.; Ouazzani, J.; Muselli, M.; Nikolayev, V.S.; Sharan, G.; Beysens, D. Comparison of Various Radiation-cooled Dew Condensers Using Computational Fluid Dynamics. Desalination 2009, 249, 707–712. [Google Scholar] [CrossRef]
- Sharan, G.; Roy, A.K.; Royon, L.; Mongruel, A.; Beysens, D. Dew plant for bottling water. J. Clean. Prod. 2017, 155, 83–92. [Google Scholar] [CrossRef]
- Beysens, D.; Cooke, R.; Crobu, E.; Royon, L. Computational Fluid Dynamics study of a corrugated hollow cone for enhanced dew yield. J. Hydrol. 2021, 592, 125788. [Google Scholar] [CrossRef]
- Lienhard, J.H., IV; Lienhard, J.H., V. A Heat Transfer Textbook, 5th ed.; Dover Publications Inc.: Mineola, NY, USA, 2019. [Google Scholar]
- Guyon, E.; Hulin, J.-P.; Petit, L. Hydrodynamique Physique, 3rd ed.; EDP Sciences: Paris, France, 2012. (In French) [Google Scholar]
- Schlichting, H. Boundary Layer Theory, 9th ed.; Springer: Berlin/Heidelberg, Germany, 2017. [Google Scholar]
- Rohsenow, W.M.; Hartnett, J.R.; Cho, Y.I. Handbook of Heat Transfer, 3rd ed.; Mc Graw-Hill: New York, NY, USA, 1998. [Google Scholar]
- MIT. 2016. Available online: http://web.mit.edu/16.unified/www/FALL/thermodynamics/notes/node64.html (accessed on 1 December 2021).
- Nikolayev, V.; Beysens, D.; Gioda, A.; Milimouk, I.; Katiushin, E.; Morel, J. Water recovery from dew. J. Hydrol. 1996, 182, 19–35. [Google Scholar] [CrossRef] [Green Version]
- Sharan, G.; Clus, O.; Singh, S.; Muselli, M.; Beysens, D. A very large dew and rain ridge collector in the Kutch area (Gujarat, India). J. Hydrol. 2011, 405, 171–181. [Google Scholar] [CrossRef]






















| Ajaccio | Valparaίso | |
|---|---|---|
| Latitude | 41°57′57″ N | 33°18′00″ S |
| Longitude | 8°48′43″ E | 71°31′48″ W |
| Altitude (m asl) | 53 | 340 |
| Average high temperature (°C) | 20.5 | 18.7 |
| Average low temperature (°C) | 10.5 | 9.1 |
| Mean temperature (°C) | 15.4 | 13.9 |
| Average relative humidity (%) | 69 | 76 |
| Average wind velocity (m·s−1) | 3.5 | 5.9 § |
| Average rainfall (mm·year−1) | 723 | 365 |
| Obstacle Angle | α1 (°) Right | α2 (°) Left | α3 (°) Back | α4 (°) Front | α5 (°) Front Hood | α6 (°) Back Trunk | α′2 (°) Left | |
|---|---|---|---|---|---|---|---|---|
| Car | ||||||||
| VW | 1.2 | 4.4 | 23 | 2.3 | 20 | - | 8 | |
| AUDI | ||||||||
| DC | 2.4 | 1.8 | 8.2 | 40 | - | 33 | 7.5 | |
| REF. | north: 17.7 | east: 11.3 | south: 11.3 | west: ≈0 | - | - | - | |
| Cars | VW | AD | DC | |||||||||||||
|---|---|---|---|---|---|---|---|---|---|---|---|---|---|---|---|---|
| Car Part | RT | FH | WS | LW | RW | BW | RT | FH | WS | LW | RW | BW | RT | BT | WS | BW |
| Approx. view angle α (°) | 0 | 0 | 0 | 0 | 0 | 0 | 0 | 0 | 0 | 0 | 0 | 0 | 0 | 30 | 30 | 0 |
| Surface tilt φ (°) | −1 | 14 | 30 | 68 | −68 | −44 | 0 | 11 | 29 | 61 | −61 | −35 | 0 | −3 | 30 | −47 |
| Thermal isolation | Y | Y | N | N | N | N | Y | Y | N | N | N | N | Y | N | N | N |
| Surface Model | RT | FH | BT | WS | LW | RW | BW | |
|---|---|---|---|---|---|---|---|---|
| VW | (°) | −1 | −14 | −30 | 68 | −68 | 44 | |
| Event nb. | 13 | 10 | 15 | 12 | 10 | 11 | ||
| (°) | 180 | 164 | 148 | 104 | 111 | 113 | ||
| 0.86 | 0.81 | 0.63 | 0.38 | 0.41 | 0.64 | |||
| SD | 0.03 | 0.03 | 0.03 | 0.02 | 0.03 | 0.01 | ||
| aNI/a0 | 1.39 ± 0.03 | 1.40 ± 0.04 | 1.30 ± 0.04 | 1.19 ± 0.02 | ||||
| 1.29 ± 0.03 | ||||||||
| aI(0)/a0 | 1.18 ± 0.02 | - | ||||||
| 0.132 | 0.058 | 0.029 | 0.024 | 0.021 | 0.021 | |||
| SD | 0.053 | 0.031 | 0.053 | 0.031 | 0.053 | 0.031 | ||
| AD | (°) | 0 | −11 | −29 | 61 | −61 | 35 | |
| Event nb. | 11 | 12 | 13 | 9 | 9 | 7 | ||
| (°) | 180 | 167 | 149 | 111 | 118 | 125 | ||
| 0.73 | 0.69 | 0.57 | 0.37 | 0.38 | 0.50 | |||
| SD | 0.04 | 0.03 | 0.04 | 0.04 | 0.04 | 0.05 | ||
| aNI/a0 | 1.55 ± 0.06 | 1.62 ± 0.1 | 1.58 ± 0.1 | 1.68 ± 0.08 | ||||
| 1.61 ± 0.06 | ||||||||
| aI(0)/a0 | 1.40 ± 0.02 | - | ||||||
| 0.188 | 0.155 | 0.047 | 0.04 | 0.06 | 0.04 | |||
| SD | 0.058 | 0.04 | 0.037 | 0.018 | 0.026 | 0.019 | ||
| DC | (°) | 0 | - | 3 | −30 | - | - | 47 |
| Event nb. | 1 | 1 | 1 | - | - | 1 | ||
| (°) | 132 | 139 | 110 | - | - | 130 | ||
| 0.80 § | 0.37 | 0.62 | 0.50 | - | - | 0.53 | ||
| SD | 0 | 0.06 | 0.08 | 0.07 | - | - | 0.06 | |
| aNI/a0 | 1.34 ± 0.1 | 1.31 ± 0.25 | - | - | 1.33 ± 0.05 | |||
| 1.33 ± 0.05 | ||||||||
| aI(0)/a0 | 1.24 ± 0.05 | - | ||||||
| Reference | Type | Ajaccio | Valparaiso—Virtual | |||||
| (°) | 0 | 0 | ||||||
| (°) | 180 | 180 | ||||||
| 0.17 | 0.13 § | |||||||
| SD | 0.06 | 0.03 | ||||||
| Car | Heat Transfer Coefficients | |||
|---|---|---|---|---|
| From Surface Temperatures | From Conden- Sation Rates | |||
| Value | SD | Value | SD | |
| REF | - | - | 2.2 | 0.5 |
| VW | 2.8 | 0.1 | 2.7 | 0.3 |
| AD | 3.3 | 0.1 | 3.0 | 0.4 |
| DC | 2.87 | 0.05 | - | - |
| Mean car | 2.92 | 0.04 | ||
| Site Coordinates Köppen-Geiger Climate | Measur.Time (mm/dd/yy) | Reference Surface, Tilt from Horizontal | Car type and Color | RT Angle (°) | WS Angle (°) | LW Angle (°) | RW Angle (°) | BW Angle (°) | FH Angle (°) | BT Angle (°) | k (× 10 −2 mm) | |
|---|---|---|---|---|---|---|---|---|---|---|---|---|
| Ajaccio (France) 8°48′43″ E, 41°57′57″ N Am | 07/15/20–10/25/20 | 0.5 m², 0° | a Volkswagen Polo, 2016, white | −1 | −30 | 68 | −68 | 44 | −14 | - | 5.41± 0.01 | 5.70 ± 0.05 |
| 10/29/20–11/30/20 | 0.5 m², 0° | a Audi A3, 2020, gray | 0 | −29 | 61 | −61 | 35 | −11 | - | 6.89 ± 0.02 | ||
| Valparaiso (Chile) 71°34′46″ W, 33°7′9″ S Csb | 04/28-29/15 (one night) | virtual | a Daihatsu Charade, 1991, white | 0 | −30 | - | - | 47 | - | 3 | c 4.2 ± 1.3 | |
| Auchel (France) 2°27′9″ E, 50°30′59″ N Cfb | 2/15/2015–5/13/2015 | - | b Peugeot 206 hdi, 2006, red | - | −21 | 69 | −69 | - | - | - | 5.70 ± 0.04 | 5.66 ± 0.03 |
| Villeneuve d’Asq (France) 3°8′3″ E, 50°37′43″ N Cfb | 3/18/15–3/27/15 | - | b Opel Corsa C, 2006, dark blue | - | −28 | 68 | −68 | - | - | - | 5.0 ± 0.4 | |
| Le Mesnil-en-Thelle 2°17′10″ E, 49°10′41″ N Cfb | 1/1/11–12/31/13 | - | b Volkswagen Golf GTI, 1991, white | - | −34 | 70 | −70 | - | - | - | 5.11 ± 0.03 | 5.553 ± 0.003 |
| 1/1/14–9/30/14 | - | b Opel Corsa C, 2006, dark blue | - | −30 | 68 | −68 | - | - | - | 6.63 ± 0.05 | ||
| 1/1/2011–9/30/2014 | - | b Renault Scenic 2009, black | - | −28 | 70 | −70 | ||||||
Publisher’s Note: MDPI stays neutral with regard to jurisdictional claims in published maps and institutional affiliations. |
© 2021 by the authors. Licensee MDPI, Basel, Switzerland. This article is an open access article distributed under the terms and conditions of the Creative Commons Attribution (CC BY) license (https://creativecommons.org/licenses/by/4.0/).
Share and Cite
Muselli, M.; Carvajal, D.; Beysens, D.A. A Study to Explore the Dew Condensation Potential of Cars. Atmosphere 2022, 13, 65. https://doi.org/10.3390/atmos13010065
Muselli M, Carvajal D, Beysens DA. A Study to Explore the Dew Condensation Potential of Cars. Atmosphere. 2022; 13(1):65. https://doi.org/10.3390/atmos13010065
Chicago/Turabian StyleMuselli, Marc, Danilo Carvajal, and Daniel A. Beysens. 2022. "A Study to Explore the Dew Condensation Potential of Cars" Atmosphere 13, no. 1: 65. https://doi.org/10.3390/atmos13010065
APA StyleMuselli, M., Carvajal, D., & Beysens, D. A. (2022). A Study to Explore the Dew Condensation Potential of Cars. Atmosphere, 13(1), 65. https://doi.org/10.3390/atmos13010065

