Levels, Sources, and Health Damage of Dust in Grain Transportation and Storage: A Case Study of Chinese Grain Storage Companies
Abstract
:1. Introduction
2. Materials and Methods
2.1. Dust Sampling and Analytical Method
2.2. Health Risk Assessment Model
2.2.1. Dust Exposure Dose
2.2.2. Quantizing the Health Risk of Dust
2.2.3. Dust Health Damage
2.3. Exposure Parameter Determination
3. Results and Discussion
3.1. Dust Concentration and Dispersity
3.2. Dust Health Damage Analysis
3.2.1. Health Risks
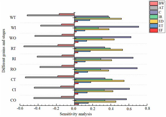
3.2.2. Sensitivity Analysis
3.2.3. Health Damages
3.2.4. Uncertainty Analysis
3.3. Implication and Limitations
4. Conclusions
Author Contributions
Funding
Institutional Review Board Statement
Informed Consent Statement
Acknowledgments
Conflicts of Interest
References
- Martin, C.R.; Sauer, D.B. Physical and biological characteristics of grain dust. Trans. ASAE 1976, 19, 720–723. [Google Scholar] [CrossRef]
- Hurst, T.S.; Dosman, J.A. Characterization of health effects of grain dust exposures. Am. J. Ind. Med. 1990, 17, 27–32. [Google Scholar] [CrossRef] [PubMed]
- Parnell, C.B., Jr.; Jones, D.D.; Rutherford, R.D.; Goforth, K.J. Physical properties of five grain dust types. Environ. Health Perspect. 1986, 66, 183–188. [Google Scholar] [CrossRef] [PubMed]
- Spankie, S.; Cherrie, J.W. Exposure to grain dust in Great Britain. Ann. Occup. Hyg. 2012, 56, 25–36. [Google Scholar] [PubMed] [Green Version]
- Chan, M.; Yeung, D.A.E.; Kennedy, S.M. The Impact of Grain Dust on Respiratory Health1-3. Am Rev. Respir. Dis. 1992, 145, 476–487. [Google Scholar] [CrossRef] [PubMed]
- Warren, P.; Cherniack, R.M.; Kam, S.T. Hypersensitivity reactions to grain dust. J. Allergy Clin. Immunol. 1974, 53, 139–149. [Google Scholar] [CrossRef]
- Flaherty, D.; Bhansali, P.; Chavaje, N. Grain fever syndrome induced by inhalation of airborne grain dust. J. Allergy Clin. Immunol. 1982, 69, 435–443. [Google Scholar]
- Davies, R.J.; Green, M.; Schofield, N.M.C. Recurrent ncturnal asthma after exposure to grain dust. Am. Rev. Respir. Dis. 1976, 114, 1011–1019. [Google Scholar]
- Rushton, L. Chronic obstructive pulmonary disease and occupational exposure to silica. Rev. Environ. Health 2007, 22, 255–272. [Google Scholar] [CrossRef] [PubMed]
- Cotton, D.J.; Dosman, J.A. Grain dust and health. III. Environmental factors. Ann. Intern. Med. 1978, 89, 420–421. [Google Scholar] [CrossRef]
- Chan-Yeung, M.; Enarson, D.; Grzybowski, S. Grain dust and respiratory health. Can. Med. Assoc. J. 1985, 133, 969. [Google Scholar]
- Eckhoff, R.K.; Fuhre, K. Dust explosion experiments in a vented 500 m3 silo cell. J. Occup. Accid. 1984, 6, 229–240. [Google Scholar] [CrossRef]
- Lebecki, K.; Cybulski, K.; Śliz, J.; Dyduch, Z.; Wolanski, P. Large scale grain dust explosions-research in Poland. Shock Waves 1995, 5, 109–114. [Google Scholar] [CrossRef]
- Lesikar, B.J.; Parnell, C.B.; Garcia, A. Determination of grain dust explosibility parameters. Trans. ASAE 1991, 34, 571–0576. [Google Scholar] [CrossRef]
- doPico, G.A.; Reddan, W.; Anderson, S.; Dennis, F.; Eugene, S. Acute effects of grain dust exposure during a work shift. Am. Rev. Respir. Dis. 1983, 128, 399–404. [Google Scholar] [CrossRef] [PubMed]
- Krysinska-Traczyk, E.; Perkowski, J.; Dutkiewicz, J. Levels of fungi and mycotoxins in the samples of grain and grain dust collected from five various cereal crops in eastern Poland. Ann. Agric. Environ. Med. 2007, 14, 159–167. [Google Scholar] [PubMed]
- Halstensen, A.S.; Nordby, K.C.; Elen, O.; Eduard, W. Ochratoxin a in grain dust- estimated exposure and relations to agricultural practices in grain production. Ann. Agric. Environ. Med. 2004, 11, 245–254. [Google Scholar]
- Deetz, D.C.; Jagielo, P.J.; Quinn, T.J.; Thorme, P.S.; Bleuer, S.A.; Schwartz, D.A. The kinetics of grain dust-induced inflammation of the lower respiratory tract. Am. J. Respir. Crit. Care Med. 1997, 155, 254–259. [Google Scholar] [CrossRef]
- Von Essen, S.G.; Robbins, R.A.; Thompson, A.B.; Ertl, R.F.; Linder, J.; Rennard, S. Mechanisms of neutrophil recruitment to the lung by grain dust exposure. Am. Rev. Respir. Dis. 1998, 138, 921–927. [Google Scholar] [CrossRef] [PubMed]
- Clapp, W.D.; Becker, S.; Quay, J.; Quay, J.; Watt, J.L.; Thorne, P.S.; Frees, K.L.; Zhang, X.; Koren, H.S.; Lux, C.R.; et al. Grain dust-induced airflow obstruction and inflammation of the lower respiratory tract. Am. J. Respir. Crit. Care Med. 1994, 150, 611–617. [Google Scholar] [CrossRef]
- Behrooz, R.D.; Kaskaoutis, D.G.; Grivas, G.; Mihalopoulos, N. Human health risk assessment for toxic elements in the extreme ambient dust conditions observed in Sistan, Iran. Chemosphere 2021, 262, 127835. [Google Scholar] [CrossRef]
- Guney, M.; Bourges, C.M.J.; Chapuis, R.P.; Zagury, G.J. Lung bioaccessibility of As, Cu, Fe, Mn, Ni, Pb, and Zn in fine fraction (<20 mm) from contaminated soils and mine tailings. Sci. Total Environ. 2017, 579, 378–386. [Google Scholar] [CrossRef] [PubMed]
- Donoghue, A.M. The design of hazard risk assessment matrices for ranking occupational health risks and their application in mining and minerals processing. Occup. Med. 2000, 51, 118–123. [Google Scholar] [CrossRef] [PubMed] [Green Version]
- Lim, H.-S.; Lee, J.-S.; Chon, H.-T.; Sager, M. Heavy metal contamination and health risk assessment in the vicinity of the abandoned Songcheon Au-Ag mine in Korea. J. Geochem. Explor. 2008, 96, 223–230. [Google Scholar] [CrossRef]
- Kan, H.; Chen, B. Particulate air pollution in urban areas of Shanghai, China: Health-based economic assessment. Sci. Total Environ. 2004, 322, 71–79. [Google Scholar] [CrossRef]
- Zhang, M. A health-based-assessment of particulate air pollution in urban areas of Beijing in 2000–2004. Sci. Total Environ. 2007, 376, 100–108. [Google Scholar] [CrossRef]
- Liu, E.; Yan, T.; Birch, G.; Zhu, Y. Pollution and health risk of potentially toxic metals in urban road dust in Nanjing, a mega-city of China. Sci. Total Environ. 2014, 476–477, 522–531. [Google Scholar] [CrossRef]
- Zhang, Y.; Ji, X.; Ku, T.; Li, G.; Sang, N. Heavy metals bound to fine particulate matter from northern China induce season-dependent health risks: A study based on myocardial toxicity. Environ. Pollut. 2016, 216, 380–390. [Google Scholar] [CrossRef] [Green Version]
- Chen, X.; Guo, C.; Song, J.; Wang, X.; Cheng, J. Occupational health risk assessment based on actual dust exposure in a tunnel construction adopting road header in Chongqing, China. Build. Environ. 2019, 165, 106415. [Google Scholar] [CrossRef]
- Zheng, N.; Liu, J.; Wang, Q.; Liang, Z. Health risk assessment of heavy metal exposure to street dust in the zinc smelting district, northeast of China. Sci. Total Environ. 2021, 408, 726–733. [Google Scholar] [CrossRef]
- Tahir, M.W.; Mumtaz, M.W.; Tauseef, S.; Sajjad, M.; Nazeer, A.; Farheen, N.; Iqbal, M. Monitoring of cotton dust and health risk assessment in small-scale weaving industry. Environ. Monit. Assess. 2012, 184, 4879–4888. [Google Scholar] [CrossRef] [PubMed]
- Zazouli, M.A.; Dehbandi, R.; Mohammadyan, M.; Aarabi, M.; Dominguez, A.O.; Kelly, F.J.; Khodabakhshloo, N.; Rahman, M.M.; Naidu, R. Physico-chemical properties and reactive oxygen species generation by respirable coal dust: Implication for human health risk assessment. J. Hazard. Mater. 2021, 405, 124185. [Google Scholar] [CrossRef]
- Li, X.; Zhu, Y.; Zhang, Z. An LCA-based environmental impact assessment model for construction processe. Build. Environ. 2010, 45, 766–775. [Google Scholar] [CrossRef]
- Dong, T.; Li, T.X.; Zhao, X.G.; Cao, S.Z.; Wang, B.B.; Ma, J.; Duan, X.L. Source and Health Risk Assessment of Heavy Metals in Ambient Air PM10 from One Coking Plant. Environ. Sci. 2014, 35, 1238–1244. [Google Scholar]
- Li, X.D.; Su, S.; Huang, T.J. Health damage assessment model for construction dust. J. Tsinghua Univ. Sci. Technol. 2015, 55, 50–55. [Google Scholar]
- Öberg, T.; Bergbäck, B. A review of probabilistic risk assessment of contaminated land (12 pp). J. Soils Sediments 2005, 5, 213–224. [Google Scholar] [CrossRef]
- Zhang, Z.H.; Wu, F. Health impairment due to building construction dust pollution. J. Tsinghua Univ. Sci. Technol. 2008, 48, 922–925. [Google Scholar]
- Peng, C.; Cai, Y.M.; Wang, T.Y.; Xiao, R.B.; Chen, W.P. Regional probabilistic risk assessment of heavy metals in different environmental media and land uses: An urbanization-affected drinking water supply area. Sci. Rep. 2016, 6, 37084. [Google Scholar] [CrossRef] [PubMed] [Green Version]
- Koupaie, E.H.; Eskicioglu, C. Health risk assessment of heavy metals through the consumption of food crops fertilized by biosolids: A probabilistic-based analysis. J. Hazard. Mater. 2015, 300, 855–865. [Google Scholar] [CrossRef] [PubMed]
- Li, F.; Huang, J.H.; Zeng, G.M.; Yuan, X.Z.; Liang, J.; Wang, X.Y. Multimedia health risk assessment: A case study of scenario-uncertainty. J. Cent. South Univ. 2012, 19, 2901–2909. [Google Scholar] [CrossRef]
- Chen, S.C.; Liao, C.M. Health risk assessment on human exposed to environmental polycyclic aromatic hydrocarbons pollution sources. Sci. Total Environ. 2006, 366, 112–123. [Google Scholar] [CrossRef]
- USEPA. Risk Assessment Guidance for Superfund. Human Health Evaluation Manual. Part F; USEPA: Washington, DC, USA, 2009; Volume 1. [Google Scholar]
- Shen, Z.X.; Cao, J.; Arimoto, R.; Han, Z.; Zhang, R.; Han, Y.; Liu, S.; Okuda, T.; Nakao, S.; Tanako, S. Ionic composition of TSP and PM2.5 during dust storms and air pollution episodes at Xi’an, China. Atmos. Environ. 2009, 43, 2911–2918. [Google Scholar] [CrossRef]
- USEPA. Appendix A to 40 CFR, Part 423–126 Priority Pollutants; USEPA: Washington, DC, USA, 2003. [Google Scholar]
- Murray, C.J.; Lopez, A.D. Regional patterns of disability-free life expectancy and disability-adjusted life expectancy: Global Burden of Disease Study. Lancet 1997, 349, 1347–1352. [Google Scholar] [CrossRef]
- USEPA. Exposure Factors Handbook: 2011 Edition EPA/600/R-090/052F; USEPA: Washington, DC, USA, 2011. [Google Scholar]
- Tong, R.P.; Cheng, M.Z.; Zhang, L.; Liu, M.; Yang, X.Y.; Li, X.D.; Yin, W. The construction dust-induced occupational health risk using Monte Carlo simulation. J. Clean. Prod. 2018, 184, 598–608. [Google Scholar] [CrossRef]
- GBZ 2.1. Occupational Exposure Limits for Hazardous Agents in the Workplace Part 1: Chemical Hazardous Agents; The Central People’s Government of the People’s Republic of China: Beijing, China, 2007.
- Murray, C.J. Quantifying the burden of disease: The technical basis for disability-adjusted life years. Bull. WHO 1994, 72, 429–445. [Google Scholar] [PubMed]
- Soerjomataram, I.; Lortet-Tieulent, J.; Ferlay, J.; Forman, D.; Mathers, C.; Parkin, D.M.; Bray, F. Estimating and validating disability-adjusted life years at the global level: A methodological framework for cancer. BMC Med. Res. Methodol. 2012, 12, 1. [Google Scholar] [CrossRef] [Green Version]
- Pan, S.; An, W.; Li, H.Y.; Su, M.; Zhang, J.L.; Yang, M. Cancer risk assessment on trihalomethanes and haloacetic acids in drinking water of China using disability-adjusted life years. J. Hazard. Mater. 2014, 280, 288–294. [Google Scholar] [CrossRef]
- Tong, R.; Cheng, M.; Ma, X.; Yang, Y.; Liu, Y.; Li, J. Quantitative health risk assessment of inhalation exposure to automobile foundry dust. Environ. Geochem. Health 2019, 41, 2179–2193. [Google Scholar] [CrossRef]
- National Bureau of Statistics. China Statistical Yearbook 2011; China Statistics Press: Beijing, China, 2011. [Google Scholar]
- Wang, Z.; Duan, X.; Liu, P.; Nie, J.; Zhang, J. Human exposure factors of Chinese people in environmental health risk assessment. Res. J. Environ. Sci. 2009, 22, 1164–1175. [Google Scholar]
- Xiang, H.L.; Yang, J.; Qiu, Z.Z.; Lei, W.X.; Zeng, T.T.; Lan, Z.C. Health Risk Assessment of Tunnel Workers Based on the Investigation and Analysis of Occupational Exposure to PM10. Environ. Sci. 2015, 36, 2768–2774. [Google Scholar]
- Brochu, P.; Ducre-Robitaille, J.F.; Brodeur, J. Physiological daily inhalation rates for free -living individuals aged 1 month to 96 years, using data from doubly labeled water measurements: A proposal for air quality criteria, standard calculations and health risk assessment. Hum. Ecol. Risk Assess. 2006, 12, 675–701. [Google Scholar] [CrossRef]
- Charnes, J. Financial Modeling with Crystal Ball and Excel, +Website; John Wiley & Sons: New York, NY, USA, 2012. [Google Scholar]
- Hou, J.; Qu, Y.; Ninf, D.; Wang, H. Impact of Human Exposure Factors on Health Risk Assessment for Benzene Contaminated Site. Environ. Sci. Technol. 2014, 37, 191–195. [Google Scholar]
- Qu, C.; Li, B.; Wu, H.; Wang, S.; Giesy, J.P. Multipathway assessment of human health risk posed by polycyclic aromatic hydrocarbons. Environ. Geochem. Health 2015, 37, 587–601. [Google Scholar] [CrossRef] [PubMed]
- Othman, M.; Latif, M.T.; Mohamed, A.F. Health impact assessment from building life cycles and trace metals in coarse particulate matter in urban office environments. Ecotoxicol. Environ. Saf. 2018, 148, 293–302. [Google Scholar] [CrossRef]
- Chiang, K.C.; Chio, C.P.; Chiang, Y.H.; Liao, C.M. Assessing hazardous risks of human exposure to temple airborne polycyclic aromatic hydrocarbons. J. Hazard. Mater. 2009, 166, 676–685. [Google Scholar] [CrossRef] [PubMed]
- Tong, R.P.; Cheng, M.Z.; Ma, X.; Xu, S.R. Ecaluation method of coal dust occupational health damage under uncertainty condition and its application. China Saf. Sci. J. 2018, 28, 139–144. [Google Scholar]
- Martin, C.R. Characterization of grain dust properties. Trans. ASAE 1981, 24, 738–742. [Google Scholar] [CrossRef]
- Tarafdar, A.; Sinha, A. Health risk assessment and source study of PAHs from roadside soil dust of a heavy mining area in India. Arch. Environ. Occup. Health 2019, 74, 252–262. [Google Scholar] [CrossRef] [PubMed]
- Li, F.; Zhang, J.; Huang, J.; Huang, D.; Yang, J.; Song, Y.; Zeng, G. Heavy metals in road dust from Xiandao District, Changsha City, China: Characteristics, health risk assessment, and integrated source identification. Environ. Sci. Pollut. Res. 2016, 23, 13100–13113. [Google Scholar] [CrossRef] [PubMed]
- Ghorbel, M.; Munoz, M.; Courjault-Radé, P.; Destrigneville, C.; de Parseval, P.; Souissi, R.; Souissi, F.; Mammou, A.B.; Abdeljaouad, S. Health risk assessment for human exposure by direct ingestion of Pb, Cd, Zn bearing dust in the former miners’ village of Jebel Ressas (NE Tunisia). Eur. J. Miner. 2010, 22, 639–649. [Google Scholar] [CrossRef]
- Liu, Y.; Ma, J.; Yan, H.; Ren, Y.; Wang, B.; Lin, C.; Liu, X. Bioaccessibility and health risk assessment of arsenic in soil and indoor dust in rural and urban areas of Hubei province, China. Ecotoxicol. Environ. Saf. 2016, 126, 14–22. [Google Scholar] [CrossRef] [PubMed]









| Grain | Stage | Sample Size |
|---|---|---|
| Maize | Out-warehousing | 57 |
| In-warehousing | 62 | |
| Transporting | 79 | |
| Rice | Out-warehousing | 73 |
| In-warehousing | 81 | |
| Transporting | 67 | |
| Wheat | Out-warehousing | 83 |
| In-warehousing | 61 | |
| Transporting | 53 |
| Disease Endpoints | Q | W | L/a |
|---|---|---|---|
| Death | 0.13 | 1.00 | 42.2 |
| Chronic obstructive pulmonary disease | 0.16 | 0.15 | 10 |
| Cardiovascular disease | 0.16 | 0.24 | 37.2 |
| Cerebrovascular disease | 0.20 | 0.20 | 37.2 |
| Acute respiratory infections | 0.35 | 0.08 | 0.04 |
| Exposure Parameters | Abbreviation | Unit | Distribution | Probable Value | Min | Max | SD |
|---|---|---|---|---|---|---|---|
| Inhalation rate | IR | m3/h | Triangular | 1.8 | 0.9 | 2.75 | |
| Body weight | BW | kg | Normal | 56.8 | 42.1 | 71.6 | 5.8 |
| Exposure duration | ED | a | Triangular | 15 | 5 | 25 | |
| Exposure frequency | EF | d/a | Triangular | 104.31 | 98.62 | 110.54 | |
| Exposure time | ET | h/d | Triangular | 5.9 | 4 | 6.5 | |
| Average time | AT | d | Triangular | 5475 | 1825 | 9125 |
| Grain | Dust Concentration | |||
|---|---|---|---|---|
| Workplace | Distribution | Mean (mg/m3) | SD | |
| Maize | Out-warehousing | Normal | 41.86 | 14.31 |
| In-warehousing | Normal | 35.92 | 13.12 | |
| Transporting | Normal | 67.25 | 11.57 | |
| Rice | Out-warehousing | Normal | 32.54 | 15.32 |
| In-warehousing | Normal | 30.91 | 12.69 | |
| Transporting | Normal | 59.68 | 10.67 | |
| Wheat | Out-warehousing | Normal | 35.29 | 13.29 |
| In-warehousing | Normal | 26.43 | 12.67 | |
| Transporting | Normal | 55.61 | 11.12 | |
| Grain | Stage | Health Risk Value | Quantiles | |||||
|---|---|---|---|---|---|---|---|---|
| Mean | SD | 5% | 20% | 50% | 90% | 100% | ||
| Maize | Out-warehousing | 1.42 × 10−6 | 9.14 × 10−7 | 3.74 × 10−7 | 7.09 × 10−7 | 1.21 × 10−6 | 2.56 × 10−6 | 9.63 × 10−6 |
| In-warehousing | 1.24 × 10−6 | 8.27 × 10−7 | 3.25 × 10−7 | 6.06 × 10−7 | 1.56 × 10−6 | 2.27 × 10−6 | 8.28 × 10−6 | |
| Transporting | 2.34 × 10−6 | 1.32 × 10−6 | 8.38 × 10−7 | 1.30 × 10−6 | 2.05 × 10−6 | 3.98 × 10−6 | 1.24 × 10−5 | |
| Rice | Out-warehousing | 1.12 × 10−6 | 8.04 × 10−7 | 1.80 × 10−7 | 4.82 × 10−7 | 9.51 × 10−7 | 2.14 × 10−6 | 9.55 × 10−6 |
| In-warehousing | 1.05 × 10−6 | 7.20 × 10−7 | 2.33 × 10−7 | 4.94 × 10−7 | 8.91 × 10−7 | 1.96 × 10−6 | 6.89 × 10−6 | |
| Transporting | 2.07 × 10−6 | 1.16 × 10−6 | 7.41 × 10−7 | 1.15 × 10−6 | 1.82 × 10−6 | 3.54 × 10−6 | 1.12 × 10−5 | |
| Wheat | Out-warehousing | 1.21 × 10−6 | 8.13 × 10−7 | 2.92 × 10−7 | 5.74 × 10−7 | 1.02 × 10−6 | 2.24 × 10−6 | 1.08 × 10−5 |
| In-warehousing | 9.03 × 10−6 | 6.83 × 10−7 | 1.25 × 10−7 | 3.84 × 10−7 | 7.59 × 10−7 | 1.74 × 10−6 | 8.09 × 10−6 | |
| Transporting | 1.90 × 10−6 | 1.06× 10−6 | 6.89 × 10−7 | 1.07 × 10−6 | 1.67 × 10−6 | 3.23 × 10−6 | 1.04 × 10−5 | |
| Grain | Stage | DALY/a | Quantiles | ||||||
|---|---|---|---|---|---|---|---|---|---|
| Min | Max | Mean | 5% | 20% | 50% | 90% | 100% | ||
| Maize | Out-warehousing | 0.01 | 2.76 | 0.63 | 0.20 | 0.35 | 0.57 | 1.07 | 2.76 |
| In-warehousing | 0.12 | 3.28 | 1.01 | 0.43 | 0.64 | 0.94 | 1.58 | 3.28 | |
| Transporting | 0.01 | 2.31 | 0.54 | 0.15 | 0.29 | 0.49 | 0.93 | 2.31 | |
| Rice | Out-warehousing | 0.01 | 2.28 | 0.48 | 0.09 | 0.23 | 0.43 | 0.89 | 2.28 |
| In-warehousing | 0.01 | 2.20 | 0.46 | 0.11 | 0.24 | 0.42 | 0.82 | 2.20 | |
| Transporting | 0.14 | 3.05 | 0.89 | 0.38 | 0.57 | 0.84 | 1.40 | 3.05 | |
| Wheat | Out-warehousing | 0.01 | 2.38 | 0.53 | 0.15 | 0.29 | 0.48 | 0.94 | 2.38 |
| In-warehousing | 0.01 | 2.64 | 0.40 | 0.07 | 0.19 | 0.36 | 0.73 | 2.64 | |
| Transporting | 0.11 | 2.83 | 0.83 | 0.35 | 0.53 | 0.77 | 1.31 | 2.83 | |
Publisher’s Note: MDPI stays neutral with regard to jurisdictional claims in published maps and institutional affiliations. |
© 2021 by the authors. Licensee MDPI, Basel, Switzerland. This article is an open access article distributed under the terms and conditions of the Creative Commons Attribution (CC BY) license (https://creativecommons.org/licenses/by/4.0/).
Share and Cite
Cui, P.; Zhang, T.; Chen, X.; Yang, X. Levels, Sources, and Health Damage of Dust in Grain Transportation and Storage: A Case Study of Chinese Grain Storage Companies. Atmosphere 2021, 12, 1025. https://doi.org/10.3390/atmos12081025
Cui P, Zhang T, Chen X, Yang X. Levels, Sources, and Health Damage of Dust in Grain Transportation and Storage: A Case Study of Chinese Grain Storage Companies. Atmosphere. 2021; 12(8):1025. https://doi.org/10.3390/atmos12081025
Chicago/Turabian StyleCui, Pengcheng, Tao Zhang, Xin Chen, and Xiaoyi Yang. 2021. "Levels, Sources, and Health Damage of Dust in Grain Transportation and Storage: A Case Study of Chinese Grain Storage Companies" Atmosphere 12, no. 8: 1025. https://doi.org/10.3390/atmos12081025
APA StyleCui, P., Zhang, T., Chen, X., & Yang, X. (2021). Levels, Sources, and Health Damage of Dust in Grain Transportation and Storage: A Case Study of Chinese Grain Storage Companies. Atmosphere, 12(8), 1025. https://doi.org/10.3390/atmos12081025

