High-Resolution Crop Mapping and Suitability Assessment in China’s Three Northeastern Provinces (2000–2023): Implications for Optimizing Crop Layout
Abstract
1. Introduction
2. Materials and Methods
2.1. Study Area
2.2. Workflow of This Study
2.3. Crop Mapping
2.3.1. Image Processing
2.3.2. Sample Point Selection
2.3.3. Feature Construction
2.3.4. Extraction of Composite High-Confidence Cropland Mask for Major Crops
2.3.5. Modeling and Classification
2.3.6. Accuracy Assessment
2.3.7. Data Comparison
2.4. Crop Suitability Assessment
2.4.1. Multicriteria Suitability Evaluation Model for Farmland Suitability Assessment
2.4.2. MaxEnt Model for Crop Suitability Assessment
2.5. Potential Conflict Identification for Crop Suitability
3. Result
3.1. Accuracy Assessment of Crop Mapping
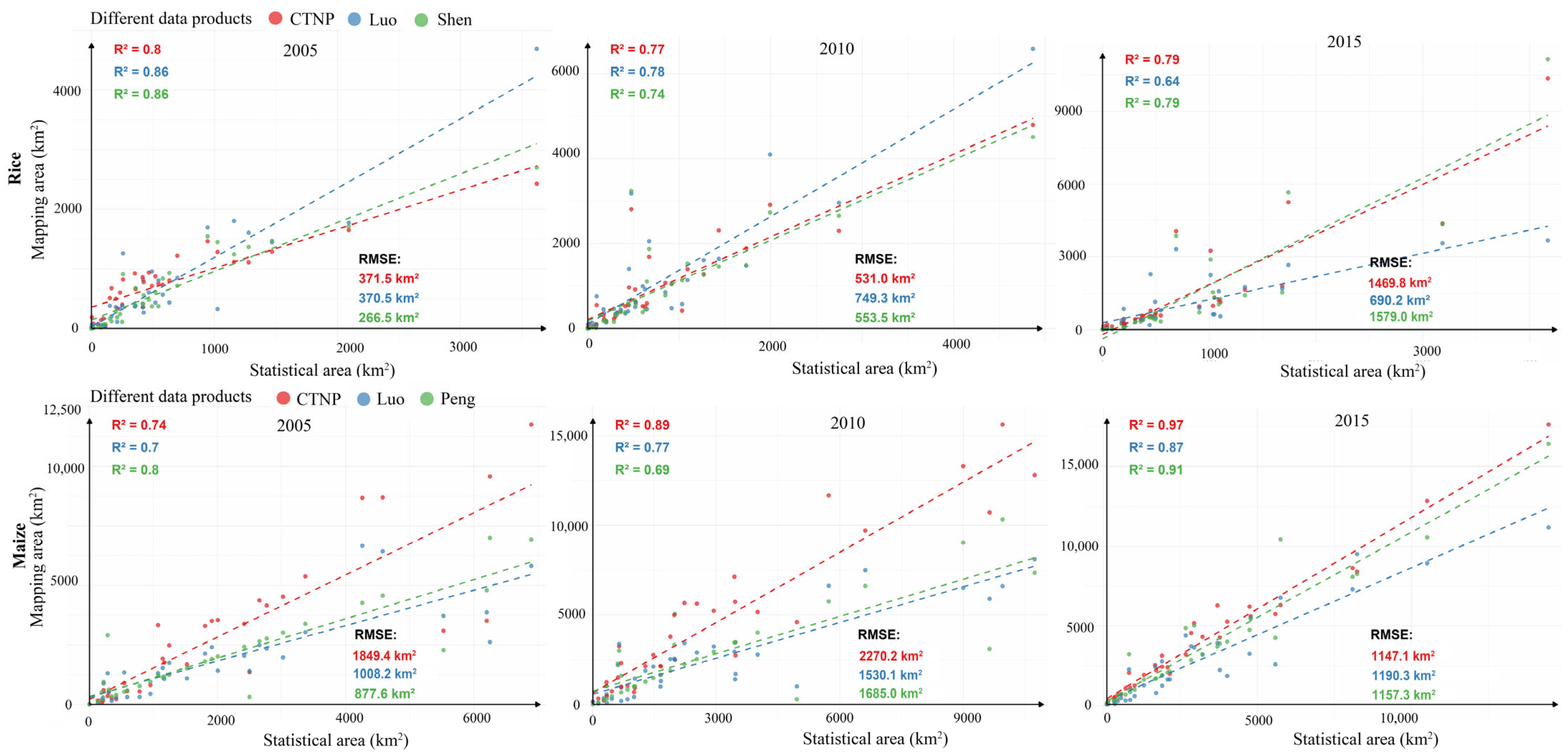
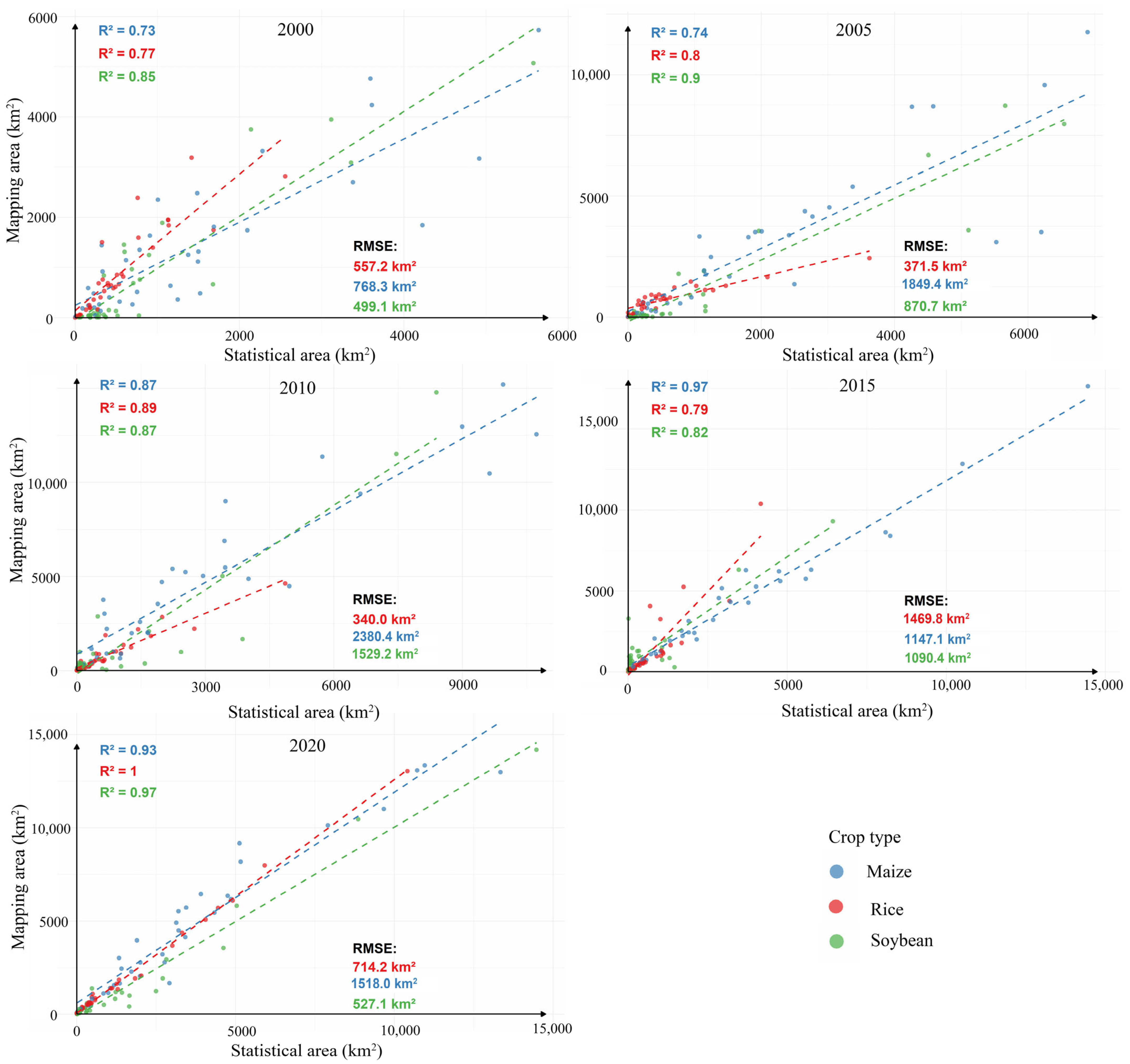
3.2. Comparison with Statistical Yearbook Data
3.3. Spatial Temporal Distribution of Three Major Crops from 2000 to 2023
3.4. Potential Distribution and Suitability Area of Crop
3.5. Consistent Analysis of Crop Distribution and Suitability
4. Discussion
4.1. Comparison with Published Crop Distribution Data Products
4.2. Drivers of Crop Pattern Transformation
4.3. Improvements in the Prediction of Potential Crop Planting Zones Suitability
4.4. Potential Suitability Conflicts Among Different Crops
4.5. Policy Implications
4.6. Limitations
5. Conclusions
Supplementary Materials
Author Contributions
Funding
Data Availability Statement
Acknowledgments
Conflicts of Interest
References
- Yue, Y.; Su, P.; Gao, Y.; Zhang, P.; Wang, R.; Zhang, A.; Jiang, Q.; Ma, W.; Zhou, Y.; Wang, J.A. Mapping Global Crop Distribution. In Atlas of Global Change Risk of Population and Economic Systems; Springer Nature Singapore: Singapore, 2022; pp. 131–148. [Google Scholar]
- Dong, J.; Xiao, X.; Menarguez, M.A.; Zhang, G.; Qin, Y.; Thau, D.; Biradar, C.; Moore, B. Mapping paddy rice planting area in northeastern Asia with Landsat 8 images, phenology-based algorithm and Google Earth Engine. Remote Sens. Environ. 2016, 185, 142–154. [Google Scholar] [CrossRef]
- Qiu, B.; Yu, L.; Yang, P.; Wu, W.; Chen, J.; Zhu, X.; Duan, M. Mapping upland crop–rice cropping systems for targeted sustainable intensification in South China. Crop J. 2024, 12, 614–629. [Google Scholar] [CrossRef]
- Li, L.; Friedl, M.A.; Xin, Q.; Gray, J.; Pan, Y.; Frolking, S. Mapping Crop Cycles in China Using MODIS-EVI Time Series. Remote Sens. 2014, 6, 2473–2493. [Google Scholar]
- Xie, W.; Zhu, A.; Ali, T.; Zhang, Z.; Chen, X.; Wu, F.; Huang, J.; Davis, K.F. Publisher Correction: Crop switching can enhance environmental sustainability and farmer incomes in China. Nature 2023, 618, E26. [Google Scholar] [CrossRef]
- Li, X.; Wu, K.; Hao, S.; Yue, Z.; Ran, Z.; Ma, J. Mapping cropland suitability in China using optimized MaxEnt model. Field Crops Res. 2023, 302, 109064. [Google Scholar] [CrossRef]
- Peter, P.; Svetlana, T.; Hansen, M.C.; Alexandra, T.; Viviana, Z.; Ahmad, K.; Xiao-Peng, S.; Amy, P.; Quan, S.; Jocelyn, C. Global maps of cropland extent and change show accelerated cropland expansion in the twenty-first century. Nat. Food 2022, 3, 19–28. [Google Scholar]
- Zanaga, D.; Van De Kerchove, R.; Daems, D.; De Keersmaecker, W.; Brockmann, C.; Kirches, G.; Wevers, J.; Cartus, O.; Santoro, M.; Fritz, S. ESA WorldCover 10 m 2021 v200 (Version v200) [Data set]. Zenodo. 2022. Available online: https://zenodo.org/records/7254221 (accessed on 1 September 2025).
- You, L.; Sun, Z. Mapping global cropping system: Challenges, opportunities, and future perspectives. Crop Environ. 2022, 1, 68–73. [Google Scholar] [CrossRef]
- Ditommaso, S.; Wang, S.; Strey, R.; Lobell, D. Mapping sugarcane globally at 10 m resolution using Global Ecosystem Dynamics Investigation (GEDI) and Sentinel-2. Earth Syst. Sci. Data 2024, 16, 4931–4947. [Google Scholar] [CrossRef]
- Tian, H.; Huang, N.; Niu, Z.; Qin, Y.; Pei, J.; Wang, J. Mapping Winter Crops in China with Multi-Source Satellite Imagery and Phenology-Based Algorithm. Remote Sens. 2019, 11, 820. [Google Scholar] [CrossRef]
- Zhang, H.; Li, Q.; Liu, J.; Shang, J.; Du, X.; Zhao, L.; Wang, N.; Dong, T. Crop classification and acreage estimation in North Korea using phenology features. GIScience Remote Sens. 2017, 54, 381–406. [Google Scholar] [CrossRef]
- Zhong, L.; Hu, L.; Zhou, H. Deep learning based multi-temporal crop classification. Remote Sens. Environ. 2019, 221, 430–443. [Google Scholar] [CrossRef]
- Belgiu, M.; Csillik, O. Sentinel-2 cropland mapping using pixel-based and object-based time-weighted dynamic time warping analysis. Remote Sens. Environ. 2018, 204, 509–523. [Google Scholar] [CrossRef]
- Vuolo, F.; Neuwirth, M.; Immitzer, M.; Atzberger, C.; Ng, W.-T. How much does multi-temporal Sentinel-2 data improve crop type classification? Int. J. Appl. Earth Obs. Geoinf. 2018, 72, 122–130. [Google Scholar] [CrossRef]
- Hu, X.; Zhang, S.; Li, L.; Huang, J.; Zhao, Z.; Liu, K.; Zhang, Z.; Yao, X. Major grain crop mapping in Northeast China using sample generation method and ensemble learning. Eur. J. Agron. 2025, 169, 127678. [Google Scholar] [CrossRef]
- Wang, S.; Azzari, G.; Lobell, D.B. Crop type mapping without field-level labels: Random forest transfer and unsupervised clustering techniques. Remote Sens. Environ. 2019, 222, 303–317. [Google Scholar] [CrossRef]
- Luo, Y.; Zhang, Z.; Li, Z.; Chen, Y.; Zhang, L.; Cao, J.; Tao, F. Identifying the spatiotemporal changes of annual harvesting areas for three staple crops in China by integrating multi-data sources. Environ. Res. Lett. 2020, 15, 074003. [Google Scholar] [CrossRef]
- Zhai, Y.; Wang, N.; Zhang, L.; Hao, L.; Hao, C. Automatic Crop Classification in Northeastern China by Improved Nonlinear Dimensionality Reduction for Satellite Image Time Series. Remote Sens. 2020, 12, 2726. [Google Scholar] [CrossRef]
- Xuan, F.; Dong, Y.; Li, J.; Li, X.; Su, W.; Huang, X.; Huang, J.; Xie, Z.; Li, Z.; Liu, H. Mapping crop type in Northeast China during 2013–2021 using automatic sampling and tile-based image classification. Int. J. Appl. Earth Obs. Geoinf. 2023, 117, 15. [Google Scholar] [CrossRef]
- Liu, Y.; Wang, J. Revealing Annual Crop Type Distribution and Spatiotemporal Changes in Northeast China Based on Google Earth Engine. Remote Sens. 2022, 14, 4056. [Google Scholar] [CrossRef]
- Li, X.; Yu, L.; Peng, D.; Gong, P. A large-scale, long time-series (1984–2020) of soybean mapping with phenological features: Heilongjiang Province as a test case. Int. J. Remote Sens. 2021, 42, 7332–7356. [Google Scholar] [CrossRef]
- Yang, L.; Wang, L.; Huang, J.; Mansaray, L.R.; Mijiti, R. Monitoring policy-driven crop area adjustments in northeast China using Landsat-8 imagery. Int. J. Appl. Earth Obs. Geoinf. 2019, 82, 101892. [Google Scholar] [CrossRef]
- Talukdar, S.; Naikoo, M.W.; Mallick, J.; Praveen, B.; Shahfahad; Sharma, P.; Islam, A.R.M.T.; Pal, S.; Rahman, A. Coupling geographic information system integrated fuzzy logic-analytical hierarchy process with global and machine learning based sensitivity analysis for agricultural suitability mapping. Agric. Syst. 2022, 196, 103343. [Google Scholar] [CrossRef]
- Wang, Y.; Li, Y. Mapping the ratoon rice suitability region in China using random forest and recursive feature elimination modeling. Field Crops Res. 2023, 301, 109016. [Google Scholar] [CrossRef]
- He, Q.J.; Zhou, G.S. Climate-associated distribution of summer maize in China from 1961 to 2010. Agric. Ecosyst. Environ. 2016, 232, 326–335. [Google Scholar] [CrossRef]
- Zhao, J.; Wang, C.; Shi, X.; Bo, X.; Chu, Q. Modeling climatically suitable areas for soybean and their shifts across China. Agric. Syst. 2021, 192, 103205. [Google Scholar] [CrossRef]
- Yang, J.; Hu, Q.; You, L.; Cai, Z.; Chen, Y.; Wei, H.; Xu, Z.; He, Z.; Yin, G.; Xu, B. Mapping the potential northern limits and promotion extent of ratoon rice in China. Appl. Geogr. 2023, 150, 102822. [Google Scholar] [CrossRef]
- Xian, Y.; Liu, G.; Zhong, L. Will citrus geographical indications face different climate change challenges in China? J. Clean. Prod. 2022, 356, 131885. [Google Scholar] [CrossRef]
- Liu, H.; Wan, W.; Zheng, M.; Li, J.; Liu, S.; Lv, W.; Zhou, Y.; Liu, Z. Study on climate suitability for maize and technical implementation strategies under conservation tillage in Northeast China. Soil Tillage Res. 2025, 249, 106473. [Google Scholar] [CrossRef]
- Hong, Y.; Chen, Y.; Su, Y.; Dong, G.; Song, X.; Zhang, J.; Wang, H.; Sun, Z.; Guo, L.; Yang, J.; et al. A new framework for evaluating land suitability for Goji (Lycium barbarum L.) cultivation across China. J. Environ. Manag. 2025, 392, 126908. [Google Scholar] [CrossRef]
- Pilevar, A.R.; Matinfar, H.R.; Sohrabi, A.; Sarmadian, F. Integrated fuzzy, AHP and GIS techniques for land suitability assessment in semi-arid regions for wheat and maize farming. Ecol. Indic. 2020, 110, 105887. [Google Scholar] [CrossRef]
- Al-Taani, A.; Al-husban, Y.; Farhan, I. Land suitability evaluation for agricultural use using GIS and remote sensing techniques: The case study of Ma’an Governorate, Jordan. Egypt. J. Remote Sens. Space Sci. 2021, 24, 109–117. [Google Scholar] [CrossRef]
- Khaki, B.D.; Chatrenour, M.; Navidi, M.N.; Soleimani, M.; Mirzaei, S.; Pignatti, S. Land Suitability Assessment Based on Feature-Level Fusion of Sentinel-1 and Sentinel-2 Imagery: A Case Study of the Honam Region of Iran. IEEE J. Sel. Top. Appl. Earth Obs. Remote Sens. 2024, 17, 14777–14789. [Google Scholar] [CrossRef]
- Franco, L.; Magalhães, M.R. Assessing the ecological suitability of land-use change. Lessons learned from a rural marginal area in southeast Portugal. Land Use Policy 2022, 122, 106381. [Google Scholar] [CrossRef]
- Luo, K.; Lu, L.; Xie, Y.; Chen, F.; Yin, F.; Li, Q. Crop type mapping in the central part of the North China Plain using Sentinel-2 time series and machine learning. Comput. Electron. Agric. 2023, 205, 107577. [Google Scholar] [CrossRef]
- Shen, R.; Peng, Q.; Li, X.; Chen, X.; Yuan, W. CCD-Rice: A long-term paddy rice distribution dataset in China at 30 m resolution. Earth Syst. Sci. Data 2025, 17, 2193–2216. [Google Scholar] [CrossRef]
- Peng, Q.; Shen, R.; Li, X.; Ye, T.; Dong, J.; Fu, Y.; Yuan, W. A twenty-year dataset of high-resolution maize distribution in China. Sci. Data 2023, 10, 658. [Google Scholar] [CrossRef]
- Liu, W.; Shu, L.; Fulu, T.; Jun, X.; Jinwei, D.; Jichong, H.; Qinghang, M.; Lichang, Y.; Hongyan, Z.; Juan, G. 30 m Annual Soybean Area Map in China from 2000 to 2022; Zenodo: Geneva, Switzerland, 2024. [Google Scholar] [CrossRef]
- Wardlow, B.D.; Egbert, S.L. Large-area crop mapping using time-series MODIS 250 m NDVI data: An assessment for the U.S. Central Great Plains. Remote Sens. Environ. 2008, 112, 1096–1116. [Google Scholar] [CrossRef]
- Yang, N.; Liu, D.; Feng, Q.; Xiong, Q.; Zhang, L.; Ren, T.; Zhao, Y.; Zhu, D.; Huang, J. Large-Scale Crop Mapping Based on Machine Learning and Parallel Computation with Grids. Remote Sens. 2019, 11, 1500. [Google Scholar] [CrossRef]
- Beckschäfer, P. Obtaining rubber plantation age information from very dense Landsat TM & ETM+ time series data and pixel-based image compositing. Remote Sens. Environ. 2017, 196, 89–100. [Google Scholar] [CrossRef]
- You, N.; Dong, J.; Huang, J.; Du, G.; Zhang, G.; He, Y.; Yang, T.; Di, Y.; Xiao, X. The 10-m crop type maps in Northeast China during 2017–2019. Sci. Data 2021, 8, 41. [Google Scholar] [CrossRef]
- Li, H.; Song, X.-P.; Hansen, M.C.; Becker-Reshef, I.; Adusei, B.; Pickering, J.; Wang, L.; Wang, L.; Lin, Z.; Zalles, V.; et al. Development of a 10-m resolution maize and soybean map over China: Matching satellite-based crop classification with sample-based area estimation. Remote Sens. Environ. 2023, 294, 113623. [Google Scholar] [CrossRef]
- Kyere, I.; Astor, T.; Graß, R.; Wachendorf, M. Agricultural crop discrimination in a heterogeneous low-mountain range region based on multi-temporal and multi-sensor satellite data. Comput. Electron. Agric. 2020, 179, 105864. [Google Scholar] [CrossRef]
- You, N.; Dong, J.; Li, J.; Huang, J.; Jin, Z. Rapid early-season maize mapping without crop labels. Remote Sens. Environ. 2023, 290, 113496. [Google Scholar] [CrossRef]
- Yang, J.; Huang, X. The 30 m annual land cover dataset and its dynamics in China from 1990 to 2019. Earth Syst. Sci. Data 2021, 13, 3907–3925. [Google Scholar] [CrossRef]
- Wang, X.; Gao, X.; Zhang, Y.; Fei, X.; Chen, Z.; Wang, J.; Zhang, Y.; Lu, X.; Zhao, H. Land-Cover Classification of Coastal Wetlands Using the RF Algorithm for Worldview-2 and Landsat 8 Images. Remote Sens. 2019, 11, 1927. [Google Scholar] [CrossRef]
- Adugna, T.; Xu, W.; Fan, J. Comparison of Random Forest and Support Vector Machine Classifiers for Regional Land Cover Mapping Using Coarse Resolution FY-3C Images. Remote Sens. 2022, 14, 574. [Google Scholar] [CrossRef]
- Wang, M.; Liu, Z.; Baig, M.H.A.; Wang, Y.; Li, Y.; Chen, Y. Mapping sugarcane in complex landscapes by integrating multi-temporal Sentinel-2 images and machine learning algorithms. Land Use Policy 2019, 88, 104190. [Google Scholar] [CrossRef]
- Loosvelt, L.; Peters, J.; Skriver, H.; Lievens, H.; Van Coillie, F.M.; De Baets, B.; Verhoest, N.E. Random Forests as a tool for estimating uncertainty at pixel-level in SAR image classification. Int. J. Appl. Earth Obs. Geoinf. 2012, 19, 173–184. [Google Scholar] [CrossRef]
- Brinkhoff, J.; Vardanega, J.; Robson, A.J. Land Cover Classification of Nine Perennial Crops Using Sentinel-1 and -2 Data. Remote Sens. 2020, 12, 96. [Google Scholar] [CrossRef]
- Ji, Y.; Gao, D.; Liu, Q.; Su, J.; Liu, Y.; Zhao, J.; Yang, Y.; Fu, Y.; Huang, G. An integrated framework for agricultural non-point source pollution control technology evaluation: Application of an improved multiple attribute decision making method. Expert Syst. Appl. 2023, 229, 120319. [Google Scholar] [CrossRef]
- Jiang, S.; Meng, J.; Zhu, L. Spatial and temporal analyses of potential land use conflict under the constraints of water resources in the middle reaches of the Heihe River. Land Use Policy 2020, 97, 104773. [Google Scholar] [CrossRef]
- Feng, Y.; Zhang, W.; Yu, J.; Zhuo, R. Optimization of land-use pattern based on suitability and trade-offs between land development and protection: A case study of the Hohhot-Baotou-Ordos (HBO) area in Inner Mongolia, China. J. Clean. Prod. 2024, 466, 142796. [Google Scholar] [CrossRef]
- Qian, F.; Lal, R.; Wang, Q. Land evaluation and site assessment for the basic farmland protection in Lingyuan County, Northeast China. J. Clean. Prod. 2021, 314, 128097. [Google Scholar] [CrossRef]
- Qian, F.K.; Wang, W.W.; Wang, Q.B.; Lal, R. Implementing land evaluation and site assessment (LESA system) in farmland protection: A case-study in northeastern China. Land Degrad. Dev. 2021, 32, 2437–2452. [Google Scholar] [CrossRef]
- Shuqin, S.H.I.; Youqi, C.; Yanmin, Y.A.O.; Zhibin, L.I.; Yingbin, H.E. Assessing Natural Quality and Use Quafity of Cultivated Land in Northeast China. Resour. Sci. 2008, 30, 378–384. [Google Scholar]
- Song, G.; Zhang, H. Spatial reconstruction of farmland rotation and fallow in the typical black soil region of Northeast China. J. Nat. Resour. 2022, 37, 2231–2246. [Google Scholar] [CrossRef]
- Jian-Ling, A.I.; You-Qi, C.; Yan-Min, Y. THE ASSESSMENT OF NORTHEAST RESERVE FARMING LAND RESOURCE BASED ON GIS. Econ. Geogr. 2007, 637–639. Available online: https://kns.cnki.net/kcms2/article/abstract?v=uSrlZFhNZxLS1FeUsOlXy_GXTyWOePuhEB2R30JsHUbDwuUNRB0lA_FnU8KuB3roUSzU0ADB4PFHb7c2L3h_ulvuApIqEAJZ6-XxB-sApfTUgj1n2mRR2EWCMmNfLDmRw_2ooVLKeq0Opzfh0_xfYdSHu-f7Y4ubBqrcLzMdFS0SVZtMkwIWSO4ftFE95v-V&uniplatform=NZKPT&language=CHS (accessed on 1 September 2025).
- Zolekar, R.B.; Bhagat, V.S. Multi-criteria land suitability analysis for agriculture in hilly zone: Remote sensing and GIS approach. Comput. Electron. Agric. 2015, 118, 300–321. [Google Scholar] [CrossRef]
- Li, S.; Zhao, X.; Pu, J.; Miao, P.; Wang, Q.; Tan, K. Optimize and control territorial spatial functional areas to improve the ecological stability and total environment in karst areas of Southwest China. Land Use Policy 2021, 100, 104940. [Google Scholar] [CrossRef]
- Han, J.; Cui, J.; Yang, W.; Xu, Y.; Qin, D.; Gao, F. Analysis of Soil Erosion Change and Driving Factors in Low Hilly Areas Based on InVEST Model. Res. Soil Water Conserv. 2022, 29, 32–39. [Google Scholar]
- Williams, J.R. The erosion-productivity impact calculator (EPIC) model: A case history. Philosophical Transactions of the Royal Society of London. Ser. B Biol. Sci. 1990, 329, 421–428. [Google Scholar]
- Fan, Y.; Li, H.; Miguez-Macho, G. Global patterns of groundwater table depth. Science 2013, 339, 940–943. [Google Scholar] [CrossRef]
- Yang, S.L.; Wang, H.M.; Tong, J.P.; Bai, Y.; Alatalo, J.M.; Liu, G.; Fang, Z.; Zhang, F. Impacts of environment and human activity on grid-scale land cropping suitability and optimization of planting structure, measured based on the MaxEnt model. Sci. Total Environ. 2022, 836, 155356. [Google Scholar] [CrossRef]
- Liu, F.; Wu, H.; Zhao, Y.; Li, D.; Yang, J.-L.; Song, X.; Shi, Z.; Zhu, A.X.; Zhang, G.-L. Mapping high resolution National Soil Information Grids of China. Sci. Bull. 2022, 67, 328–340. [Google Scholar] [CrossRef]
- Li, Y.; Hong, H. Modelling flood susceptibility based on deep learning coupling with ensemble learning models. J. Environ. Manag. 2023, 325, 116450. [Google Scholar] [CrossRef]
- Cao, D.; Feng, J.-Z.; Bai, L.-Y.; Xun, L.; Jing, H.-T.; Sun, J.-K.; Zhang, J.-H. Delineating the rice crop activities in Northeast China through regional parametric synthesis using satellite remote sensing time-series data from 2000 to 2015. J. Integr. Agric. 2021, 20, 424–437. [Google Scholar] [CrossRef]
- Wang, S.; Xu, X.; Huang, L. Spatial and Temporal Variability of Soil Erosion in Northeast China from 2000 to 2020. Remote Sens. 2023, 15, 225. [Google Scholar] [CrossRef]
- Yang, D.; Liu, Y.; Wang, J. Trade-offs and synergies of food-water-land benefits for crop rotation optimization in Northeast China. Agric. Ecosyst. Environ. 2025, 379, 109377. [Google Scholar] [CrossRef]
- Zhang, Y.; Wang, S.; Wang, H.; Ning, F.; Zhang, Y.; Dong, Z.; Wen, P.; Wang, R.; Wang, X.; Li, J. The effects of rotating conservation tillage with conventional tillage on soil properties and grain yields in winter wheat-spring maize rotations. Agric. For. Meteorol. 2018, 263, 107–117. [Google Scholar] [CrossRef]
- Du, G.; Han, L.; Yao, L.; Faye, B. Spatiotemporal Dynamics and Evolution of Grain Cropping Patterns in Northeast China: Insights from Remote Sensing and Spatial Overlay Analysis. Agriculture 2024, 14, 1443. [Google Scholar] [CrossRef]
- Liu, X.Q.; Liu, Y.S.; Liu, Z.J.; Chen, Z.F. Impacts of climatic warming on cropping system borders of China and potential adaptation strategies for regional agriculture development. Sci. Total Environ. 2021, 755, 13. [Google Scholar] [CrossRef]
- Yang, Z.; Chu, L.; Wang, C.; Pan, Y.; Su, W.; Qin, Y.; Cai, C. What drives the spatial heterogeneity of cropping patterns in the Northeast China: The natural environment, the agricultural economy, or policy? Sci. Total Environ. 2023, 905, 167810. [Google Scholar] [CrossRef] [PubMed]
- Liu, Z.; Yang, P.; Tang, H.; Wu, W.; Zhang, L.; Yu, Q.; Li, Z. Shifts in the extent and location of rice cropping areas match the climate change pattern in China during 1980–2010. Reg. Environ. Change 2015, 15, 919–929. [Google Scholar] [CrossRef]
- Liu, Y.; Liu, X.; Liu, Z. Effects of climate change on paddy expansion and potential adaption strategies for sustainable agriculture development across Northeast China. Appl. Geogr. 2022, 141, 102667. [Google Scholar] [CrossRef]
- Du, G.; Ma, M.; Zhang, R.; Liu, Z. Change of maize-soybean cropping patterns and its link with climate warming in Northeast China between 2000 and 2020. Resour. Sci. 2024, 46, 2251–2262. [Google Scholar]
- Ming, G.; Yin-Sheng, X.I. Research on the Coordination Mechanism of Grain Policy in Northeast China. J. South China Agric. Univ. 2018, 17, 20–28. [Google Scholar]
- Wei, W.X.; Si, W. Does the Reform of Soybean Subsidy Policy Realize the Expansion of Soybean Production? An Empirical Analysis Based on 124 Prefecture-level Cities in Soybean Main Producing Areas. Chin. Rural. Econ. 2021, 44–65. Available online: https://link.cnki.net/urliu/11.1262.F.20211228.1117.004 (accessed on 1 September 2025).
- Di, Y.; You, N.; Dong, J.; Liao, X.; Song, K.; Fu, P. Recent soybean subsidy policy did not revitalize but stabilize the soybean planting areas in Northeast China. Eur. J. Agron. 2023, 147, 126841. [Google Scholar] [CrossRef]
- Estes, L.; Bradley, B.; Beukes, H.; Hole, D.; Lau, M.; Oppenheimer, M.; Schulze, R.; Tadross, M.; Turner, W. Comparing mechanistic and empirical model projections of crop suitability and productivity: Implications for ecological forecasting. Glob. Ecol. Biogeogr. 2013, 22, 1007–1018. [Google Scholar] [CrossRef]
- Gu, Z.; Xie, Y.; Gao, Y.; Ren, X.; Cheng, C.; Wang, S. Quantitative assessment of soil productivity and predicted impacts of water erosion in the black soil region of northeastern China. Sci. Total Environ. 2018, 637, 706–716. [Google Scholar] [CrossRef]
- Elbagory, M.; Shaker, E.M.; El-Nahrawy, S.; Omara, A.E.-D.; Khalifa, T.H. The Concurrent Application of Phosphogypsum and Modified Biochar as Soil Amendments Influence Sandy Soil Quality and Wheat Productivity. Plants 2024, 13, 1492. [Google Scholar] [CrossRef] [PubMed]












| Year | Crop | Counts | Sources |
|---|---|---|---|
| 2000 | Rice | 1478 | [18,37] |
| Maize | 1385 | [18,38] | |
| Soybean | 1238 | [23,39] | |
| 2005 | Rice | 1467 | [18,37] |
| Maize | 1480 | [18,38] | |
| Soybean | 1301 | [23,39] | |
| 2010 | Rice | 904 | [18,37] |
| Maize | 2107 | [18,38] | |
| Soybean | 1004 | [23,39] | |
| 2015 | Rice | 900 | [18,37] |
| Maize | 2100 | [18,38] | |
| Soybean | 1000 | [23,39] | |
| 2020 | Rice | 1492 | [20,37] |
| Maize | 1489 | [20,38] | |
| Soybean | 1483 | [23,39] | |
| 2023 | Rice | 914 | Field survey |
| Maize | 1797 | ||
| Soybean | 913 |
| Spectral Indices | Formula | References |
|---|---|---|
| Normalized Difference Vegetation Index (NDVI) | (NIR − Red)/ (NIR + Red) | [44] |
| Normalized Difference Water Index (NDWI) | (Green − NIR)/ (Green + NIR) | [24] |
| Normalized Difference Moisture Index (NDMI) | (NIR − SWIR1)/(NIR + SWIR1) | [45] |
| Normalized Difference Snow Index (NDSI) | (Green − SWIR1)/ (Green + SWIR1) | [44] |
| Name | Resolution | Sources |
|---|---|---|
| 1 km-grid crop harvesting area dataset for three main crops of China from 2000 to 2015 | 1 km | [18] |
| China Crop Dataset-Rice | 30 m | [37] |
| China Crop Dataset–Maize | 30 m | [39] |
| 30 m soybean dataset for China from 2000 to 2022 | 30 m | [38] |
| Soybean Area of Heilongjiang from 1984 to 2020 | [23] | |
| Land use and cover monitoring in China | 30 m/1 km | http://www.resdc.cn, accessed on 7 November 2025 |
| China land cover dataset | 30 m | [47] |
| First Level Indicators | Secondary Indicators | Highly Suitable (100) | Very Suitable (80) | Moderately Suitable (60) | Less Suitable (40) | Highly Unsuitable (20) |
|---|---|---|---|---|---|---|
| Climate | ≥10 °C accumulated temperature (+) | ≥4500 | 3500–4500 | 2500–3500 | 1800–2500 | <1800 |
| annual average precipitation (+>) | ≥800 | 700–800 | 600–700 | 450–600 | <450 | |
| Topography | elevation (−) | <200 | 200–500 | 500–800 | 800–1000 | ≥1000 |
| slope (−) | ≤2 | 2–8 | 8–15 | 15–25 | ≥25 | |
| Soil | soil layer thickness (+) | ≥150 | 100–150 | 60–100 | 30–60 | <30 |
| soil organic matter (+) | ≥40 | 30–40 | 20–30 | 10–20 | <10 | |
| soil texture (+) | loam, silty loam, sandy clay loam, silty clay loam, clay loam, and sandy loam | clay, sandy clay, and silty clay | - | sandy soil and loamy sand | ||
| pH (+) | 6–7.9 | 5.5–6 or 7.9–8.5 | 5–5.5 or 8.5–9 | 4.5–5 or 9–9.5 | <4.5 or >9.5 | |
| soil moisture (+) | >0.39 | 0.28–0.39 | - | 0.18–0.28 | <0.18 | |
| potential soil erosion (+) | <4.25 | 4.25–10.98 | 10.98–21.31 | 21.31–38.21 | <38.21 | |
| Hydrology | distance to water sources (+) | <2 | 2–5 | 5–10 | 10–20 | ≥20 |
| groundwater depth (−) | 0–10 | 10–30 | 30–100 | 100–200 | ≥200 | |
| Location conditions | distance to roads (−) | ≤2 | 2–5 | 5–10 | 10–20 | ≥20 |
| distance to rural settlements (−) | ≤2 | 2–5 | 5–10 | 10–20 | ≥20 | |
| Spatial form | farmland aggregation (+) | >93.81 | 89.71–93.81 | 85.47–89.71 | 80.77–85.47 | <80.77 |
| First Level Indicators | Secondary Indicators | Weight Calculated by the AHP Method | Weight Calculated by the EWM | Composite Weight |
|---|---|---|---|---|
| Climate | ≥10 °C accumulated temperature (+) | 0.2347 | 0.0480 | 0.1244 |
| annual average precipitation (−) | 0.0587 | 0.0871 | 0.0838 | |
| Topography | elevation (−) | 0.032 | 0.0483 | 0.0460 |
| slope (−) | 0.0641 | 0.0405 | 0.0597 | |
| Soil | soil layer thickness (+) | 0.1239 | 0.0578 | 0.0991 |
| soil organic matter (+) | 0.039 | 0.2803 | 0.1225 | |
| soil texture (+) | 0.0702 | 0.0187 | 0.0424 | |
| pH (+) | 0.0267 | 0.0814 | 0.0546 | |
| soil moisture (+) | 0.0168 | 0.0978 | 0.0475 | |
| potential soil erosion (−) | 0.0168 | 0.0337 | 0.0279 | |
| Hydrology | distance to water sources (−) | 0.0836 | 0.0489 | 0.0749 |
| groundwater depth (−) | 0.0836 | 0.0257 | 0.0543 | |
| Location conditions | distance to roads (−) | 0.0481 | 0.0404 | 0.0517 |
| distance to rural settlements (−) | 0.0481 | 0.0600 | 0.0629 | |
| Spatial form | farmland aggregation (+) | 0.0536 | 0.0316 | 0.0482 |
| Type | Variables | Define (Unit) | Rice | Maize | Soybean |
|---|---|---|---|---|---|
| Climate | Bio_1 | Annual mean temperature (℃) | √ | ||
| Bio_2 | Annual mean diurnal range (℃) | √ | √ | √ | |
| Bio_3 | Isothermality (%) | √ | √ | √ | |
| Bio_4 | Temperature seasonality (℃) | √ | |||
| Bio_5 | Maximum temperature of warmest month (℃) | √ | |||
| Bio_6 | Minimum temperature of the coldest month (℃) | √ | |||
| Bio_7 | Annual temperature range (℃) | √ | √ | ||
| Bio_8 | Mean temperature of wettest quarter (℃) | ||||
| Bio_9 | Mean temperature of driest quarter (℃) | √ | |||
| Bio_10 | Mean temperature of warmest quarter (℃) | ||||
| Bio_11 | Mean temperature of coldest quarter (℃) | ||||
| Bio_12 | Annual precipitation (mm) | √ | |||
| Bio_13 | Precipitation of wettest month (mm) | √ | |||
| Bio_14 | Precipitation of driest month (mm) | √ | √ | ||
| Bio_15 | Precipitation seasonality (mm) | √ | √ | √ | |
| Bio_16 | Precipitation of wettest quarter (mm) | √ | |||
| Bio_17 | Precipitation of driest quarter (mm) | ||||
| Bio_18 | Precipitation of warmest quarter (mm) | √ | √ | ||
| Bio_19 | Precipitation of coldest quarter (mm) | √ | |||
| At10 | ≥10 °C accumulated temperature | √ | √ | ||
| Soil | SOM | Soil organic matter (g/kg) | √ | ||
| Thickness | Soil thickness (cm) | √ | √ | √ | |
| pH | Soil pH value | ||||
| CEC | Cation exchange capacity (cmol (+)/kg) | √ | √ | ||
| Cly | Proportion of clay particles (%) | √ | √ | √ | |
| SLIT | Proportion of slit particles (%) | ||||
| SAND | Proportion of sand particles (%) | √ | √ | √ | |
| Bd | Bulk density (g/cm3) | √ | √ | √ | |
| Terrain | Slope | Slope (°) | √ | √ | √ |
| DEM | Elevation/m | √ | √ | √ | |
| Hydrology | WTD | Depth to water table (m) | √ | √ | √ |
| D_Water | Distances to river networks (m) | √ | √ | √ | |
| Human activities | D_Road | Distances to main roads (m) | √ | √ | √ |
| D_Residence | Distances to residence (m) | √ | √ | √ | |
| GDP | Gross Domestic Product (104 yuan/km2) | √ | √ | ||
| POP | Population count (person/km2) | √ |
| Rice Suitability-Maize Suitability -Soybean Suitability | Primary Types of Conflict | Second Level Types of Conflict | Expected Changes |
|---|---|---|---|
| 111 | No potential conflict | Unsuitable for all three crops | Develop other agricultural or non-agricultural uses besides the three main crops. |
| 211, 311, 312, 321, 322, 411, 412, 421, 422 | Rice suitability dominance | It is more suitable for rice cultivation. | |
| 121, 131, 132, 141, 142, 231, 232, 241, 242 | Maize suitability dominance | It is more suitable for maize cultivation. | |
| 112, 113, 114, 123, 124, 213, 214, 223, 224 | Soybean suitability dominance | It is more suitable for soybean cultivation. | |
| 222 | Mild potential conflict | Mild conflict among the suitability of the three crops | Combine farming and breeding with flexible crop rotation. |
| 331, 332, 221 | Mild conflict between rice suitability and maize suitability | Suitable for rice or maize cultivation, but with a lower suitability than that in the moderate conflict zones between rice and maize. | |
| 313, 323, 212 | Mild conflict between rice suitability and soybean suitability | Suitable for rice or soybean cultivation, but with a lower suitability than that in the moderate conflict zones between rice and soybean. | |
| 122, 133, 233 | Mild conflict between maize suitability and soybean suitability | Suitable for maize or soybean cultivation, but with a lower suitability than that in the moderate conflict zones between maize and soybean. | |
| 333, 343, 433, 334 | Moderate potential conflict | Moderate conflict among the suitability of the three crops | Determine the optimal crop through a multi-objective decision optimization model considering economic benefits, ecological impacts, and policy orientation. |
| 341, 342, 431, 432 | Moderate conflict between rice suitability and maize suitability | Suitable for rice or maize cultivation, but with a lower suitability than that in the severe conflict zones between rice and maize. | |
| 314, 324, 413, 423 | Moderate conflict between rice suitability and soybean suitability | Suitable for rice or soybean cultivation, but with a lower suitability than that in the severe conflict zones between rice and soybean. | |
| 134, 143, 234, 243 | Moderate conflict between maize suitability and soybean suitability | Suitable for maize or soybean cultivation, but with a lower suitability than that in the severe conflict zones between maize and soybean. | |
| 444 | Severe potential conflict | Severe conflict among the suitability of the three crops | Determine the optimal crop through a multi-objective decision optimization model considering economic benefits, ecological impacts, and policy orientation. |
| 441, 442, 443 | Severe conflict between rice suitability and maize suitability | Suitable for rice or maize cultivation. | |
| 414, 424, 434 | Severe conflict between rice suitability and soybean suitability | Suitable for rice or soybean cultivation. | |
| 144, 244, 344 | Severe conflict between maize suitability and soybean suitability | Suitable for maize or soybean cultivation. |
| Crop1 Suitability—Crop2 Suitability | Primary Types of Conflict | Second Level Types of Conflict |
|---|---|---|
| 11 | No potential conflict | Unsuitable for two crops |
| 21, 31, 41, 42 | Crop 1 suitability dominance | |
| 12, 13, 14, 24 | Crop 2 suitability dominance | |
| 22, 23, 32 | Mild potential conflict | Mild conflict between two crops |
| 33, 34, 43 | Moderate potential conflict | Moderate conflict between two crops |
| 44 | Severe potential conflict | Severe conflict between two crops |
| Year | Class | Rice | Maize | Soybean | PA (%) | UA (%) | OA (%) | Kappa |
|---|---|---|---|---|---|---|---|---|
| 2000 | Rice | 444 | 12 | 6 | 96.77 | 92.02 | 86.37 | 0.795 |
| Maize | 15 | 340 | 69 | 77.41 | 83.08 | |||
| Soybean | 3 | 61 | 298 | 83.89 | 82.90 | |||
| 2005 | Rice | 424 | 17 | 13 | 95.55 | 93.46 | 89.79 | 0.847 |
| Maize | 18 | 360 | 40 | 84.46 | 90.36 | |||
| Soybean | 10 | 34 | 361 | 89.29 | 85.59 | |||
| 2010 | Rice | 259 | 12 | 4 | 94.18 | 91.2 | 91.01 | 0.849 |
| Maize | 23 | 626 | 24 | 93.02 | 91.25 | |||
| Soybean | 2 | 48 | 259 | 83.82 | 90.24 | |||
| 2015 | Rice | 261 | 5 | 1 | 97.75 | 98.86 | 95.09 | 0.912 |
| Maize | 2 | 611 | 18 | 96.83 | 94.44 | |||
| Soybean | 1 | 31 | 251 | 88.69 | 92.96 | |||
| 2020 | Rice | 441 | 10 | 1 | 97.57 | 96.5 | 95.40 | 0.931 |
| Maize | 10 | 387 | 14 | 94.16 | 93.03 | |||
| Soybean | 6 | 19 | 417 | 94.34 | 96.53 | |||
| 2023 | Rice | 253 | 17 | 0 | 90.36 | 95.11 | 88.61 | 0.805 |
| Maize | 8 | 494 | 24 | 93.92 | 86.67 | |||
| Soybean | 5 | 59 | 210 | 76.64 | 86.07 |
| Year | Crop Type | Unsuitable (km2) | Poorly Suitable (km2) | Moderate Suitable (km2) | Highly Suitable (km2) |
|---|---|---|---|---|---|
| 2023 | Rice | 4616 | 7685 | 13,014 | 34,094 |
| Maize | 28,087 | 29,365 | 43,342 | 66,322 | |
| Soybean | 15,322 | 29,481 | 13,254 | 23,590 | |
| 2000→2023 | Rice→Others | 765 | 2478 | 3591 | 5012 |
| Maize→Others | 5557 | 3829 | 5794 | 7006 | |
| Soybean→Others | 4214 | 7812 | 3179 | 8219 | |
| Others→Rice | 4423 | 6706 | 9617 | 19,783 | |
| Others→Maize | 26,406 | 26,714 | 36,526 | 48,471 | |
| Others→Soybean | 14,281 | 27,222 | 11,942 | 16,906 |
| Year | Crops | (a)R2 | RMSE (km2) | (b)R2 | RMSE (km2) |
|---|---|---|---|---|---|
| 2015 | Rice | 0.75 | 696.3 | 0.79 | 1469.8 |
| Maize | 0.96 | 786.7 | 0.97 | 1147.1 | |
| Soybean | 0.77 | 586.4 | 0.82 | 1090.4 | |
| 2020 | Rice | 0.99 | 215.4 | 1 | 714.2 |
| Maize | 0.92 | 923.5 | 0.93 | 1518 | |
| Soybean | 0.91 | 903.6 | 0.97 | 527.1 |
| Region | Year | (a) R2 | RMSE (km2) | (b) R2 | RMSE (km2) |
|---|---|---|---|---|---|
| Heilongjiang | 2000 | 0.84 | 911.8 | 0.85 | 717.4 |
| 2005 | 0.96 | 2533.9 | 0.84 | 1517.4 | |
| 2010 | 0.91 | 1295.9 | 0.87 | 2762.9 | |
| 2015 | 0.76 | 1021.4 | 0.9 | 1420.2 | |
| 2020 | 0.94 | 1548.4 | 0.97 | 821.9 | |
| Three Northeastern Provinces | 2000 | 0.84 | 558.0 | 0.85 | 499.1 |
| 2005 | 0.92 | 1001.7 | 0.9 | 870.7 | |
| 2010 | 0.9 | 1466.6 | 0.87 | 1594.8 | |
| 2015 | 0.91 | 892.4 | 0.82 | 1090.4 | |
| 2020 | 0.99 | 358 | 0.97 | 527.1 |
Disclaimer/Publisher’s Note: The statements, opinions and data contained in all publications are solely those of the individual author(s) and contributor(s) and not of MDPI and/or the editor(s). MDPI and/or the editor(s) disclaim responsibility for any injury to people or property resulting from any ideas, methods, instructions or products referred to in the content. |
© 2025 by the authors. Licensee MDPI, Basel, Switzerland. This article is an open access article distributed under the terms and conditions of the Creative Commons Attribution (CC BY) license (https://creativecommons.org/licenses/by/4.0/).
Share and Cite
Wang, X.; Zhao, H.; Zhao, G.; Qu, X.; Cao, C.; Qian, J.; Fu, S.; Wang, T.; Han, H. High-Resolution Crop Mapping and Suitability Assessment in China’s Three Northeastern Provinces (2000–2023): Implications for Optimizing Crop Layout. Agronomy 2025, 15, 2587. https://doi.org/10.3390/agronomy15112587
Wang X, Zhao H, Zhao G, Qu X, Cao C, Qian J, Fu S, Wang T, Han H. High-Resolution Crop Mapping and Suitability Assessment in China’s Three Northeastern Provinces (2000–2023): Implications for Optimizing Crop Layout. Agronomy. 2025; 15(11):2587. https://doi.org/10.3390/agronomy15112587
Chicago/Turabian StyleWang, Xiaoxiao, Huafu Zhao, Guanying Zhao, Xuzhou Qu, Congjie Cao, Jiacheng Qian, Sheng Fu, Tao Wang, and Huiqin Han. 2025. "High-Resolution Crop Mapping and Suitability Assessment in China’s Three Northeastern Provinces (2000–2023): Implications for Optimizing Crop Layout" Agronomy 15, no. 11: 2587. https://doi.org/10.3390/agronomy15112587
APA StyleWang, X., Zhao, H., Zhao, G., Qu, X., Cao, C., Qian, J., Fu, S., Wang, T., & Han, H. (2025). High-Resolution Crop Mapping and Suitability Assessment in China’s Three Northeastern Provinces (2000–2023): Implications for Optimizing Crop Layout. Agronomy, 15(11), 2587. https://doi.org/10.3390/agronomy15112587

