Next Article in Journal
Greenhouse Evaluation of the Agronomic Potential of Urban Wastewater-Based Fertilizers: Sewage Sludge and Struvite for Lettuce Production in Sandy Soil
Next Article in Special Issue
Effect of Green Compost Application on the Soil Characteristics and the Dissipation of Iodosulfuron-Methyl-Sodium Under Pea–Wheat Field Crop Rotation
Previous Article in Journal
High-Resolution Crop Mapping and Suitability Assessment in China’s Three Northeastern Provinces (2000–2023): Implications for Optimizing Crop Layout
Previous Article in Special Issue
Organic Carbon Input to an Abandoned Rural Residential Land Improves Soil Carbon Fractions, Enhances Nitrogen Availability, and Increases Rice Yield
 
 
Font Type:
Arial Georgia Verdana
Font Size:
Aa Aa Aa
Line Spacing:
Column Width:
Background:
Article

The Topographic Template: Coordinated Shifts in Soil Chemistry, Microbiome, and Enzymatic Activity Across a Fluvial Landscape

by
Anastasia V. Teslya
,
Darya V. Poshvina
,
Artyom A. Stepanov
and
Alexey S. Vasilchenko
*
Laboratory of Antimicrobial Resistance, Institute of Environmental and Agricultural Biology (X-BIO), University of Tyumen, Tyumen 625003, Russia
*
Author to whom correspondence should be addressed.
Agronomy 2025, 15(11), 2588; https://doi.org/10.3390/agronomy15112588
Submission received: 2 October 2025 / Revised: 30 October 2025 / Accepted: 8 November 2025 / Published: 10 November 2025
(This article belongs to the Special Issue Effects of Agronomic Practices on Soil Properties and Health)

Abstract

The soil microbiome is an essential component of agroecosystems. However, managing it remains a challenge due to our limited knowledge of how various environmental factors interact and shape its spatial distribution. This study presents a hierarchical ecological model to explain the assembly of the microbiome in sloping agricultural landscapes. Through a comprehensive analysis of bacterial and fungal communities, as well as the examination of metabolic and phytopathogenic profiles across a topographic gradient, we have demonstrated that topography acts as the main filter, structuring bacterial communities. Land use, on the other hand, serves as a secondary filter, refining fungal functional guilds. Our results suggest that hydrological conditions in floodplains favor the growth of stress-tolerant bacterial communities with low diversity, dominated by Actinomycetota. Fungal communities, on the other hand, are directly influenced by land use. Long-term fallow periods lead to an enrichment of arbuscular mycorrhiza, while agroecosystems shift towards pathogenic and saprotrophic niches. Furthermore, we identify specific topographic positions that may be hotspots for phytopathogenic pressure. These hotspots are linked to certain taxa, such as Ustilaginaceae and Didymellaceae, which may pose a threat to plant health. The derived hierarchical model provides a scientific foundation for topography-aware precision agriculture. It promotes stratified management, prioritizing erosion control and soil restoration on slopes, customizing nutrient inputs in fertile floodplains, and implementing targeted phytosanitary monitoring in identified risk areas. Our research thus offers a practical framework for harnessing soil spatial variability to improve soil health and proactively manage disease risks in agricultural systems.

1. Introduction

Soil quality is a crucial factor in determining crop yields, yet its parameters exhibit significant spatial variability even within a single field. One major contributor to this variability is topography, which directly influences the physicochemical characteristics of the soil, including water retention, nutrient distribution, and biochemical activity.
Since edaphic factors influence the activity of soil microorganisms, it is reasonable to assume that there is a close relationship between spatial variability and the physicochemical and biological properties of soil ecosystems. This has been supported by numerous studies. For instance, Broughton and Gross [1] found that more productive and active microbial communities are found in the lower parts of slopes, which have higher levels of soil moisture, plant biomass, nitrogen (N) and carbon (C) content compared to the upper and middle parts of the slopes. Additionally, the activity of several soil enzymes, such as dehydrogenase, urease, phosphatase, arylsulfatase, β-glucosidase and chitinases, also depends on the position of the slope [2,3]. In a large-scale study, key edaphic factors of the terrain that determine the distribution of microbial communities were identified [4]. Under conditions of high humidity, topographic parameters are positively correlated with the activity of denitrifying enzymes, microbial biomass, and denitrification rate. Local characteristics such as elevation, gradient, and curvature show a negative relationship with microbial activity [4]. The highest microbial activity is observed in relief depressions, where moisture and organic matter accumulate. On slopes, aerated soils with increased bulk density and reduced enzymatic activity predominate. These patterns are significantly weakened under dry conditions when the topographic determinacy of spatial distribution parameters disappears.
Thus, soil microbial communities are shaped under the complex influence of abiotic and human factors. However, most research has focused on the impact of topography or land use in isolation. The combined and potentially hierarchical effects of a pronounced altitudinal gradient, hydrologically driven regimes (distance from rivers), and specific crop types within a single agricultural system remain poorly understood and represent a critical knowledge gap.
In this study, we go beyond investigating these factors in isolation and decode their unique interaction. We conducted a comprehensive analysis to understand how a pronounced altitudinal gradient, hydrological conditions, and specific agricultural land uses interact hierarchically to shape the structure and function of soil biota.
We hypothesized that the diversity and taxonomic composition of microbial communities would vary significantly across the topographic gradient, with the greatest differences observed between the upper slopes and floodplain areas. We also hypothesized that land use would play a key role in modulating community function, especially for fungi.
Understanding this hierarchy is essential for the advancement of precision agriculture. This study aims to provide a framework that allows for the development of spatially explicit management strategies. These strategies could include tailored erosion control measures and nutrient amendments based on specific topographic conditions.
Furthermore, by mapping the distribution of microbial functional groups, our work provides a basis for developing predictive models for assessing phytopathogenic risks. This allows for targeted interventions to prevent crop disease outbreaks in diverse landscapes.

2. Materials and Methods

The methodological approach was designed to thoroughly characterize the soil ecosystem at each sampling site. This was done through a multi-level analysis that included soil physicochemical properties, microbial community activity, and taxonomic and functional potential through DNA sequencing and enzymatic activity.

2.1. Study Area

The study area is located in the southwestern part of the Tyumen Region, Russia, in the northern forest–steppe subzone of the West Siberian Lowland. Some of the sites are located in the floodplains of the Ingala and Iset Rivers, and are characterized by specific geomorphological conditions, dominated by sandy deposits. The terrain is gently rolling, with gently sloping hillsides that lead to the valleys of large rivers (Figure 1). There are alternating drained ridges and depressions, partially occupied by marshes and lakes.
The climate in the region is sharply continental, with pronounced seasonal contrasts. Winters are long and cold, with stable snow cover down to −40 degrees Celsius and an average precipitation of 350–400 mm per year. Summers are warm, with temperatures reaching up to +35 degrees Celsius, and a growing season lasting 110–120 days. A list of sampling sites and their specific characteristics can be found in Table 1 below.
At each study site, three spatially distant locations were selected. At each selected site, the top layer of soil (0–10 cm deep) was collected using the ‘checkboard’ sampling method (with four points in the corners and one in the center). The soil samples were transported to the laboratory and stored in sterile plastic bags at 4 °C until analysis.

2.2. Chemical Analysis of Soils

Soil pH was measured according to the international standard ISO 10390 (accessed on 7 November 2025, https://www.iso.org/standard/75243.html). The pHKCl value was determined potentiometrically in a 1 M KCl solution, and the pHH2O value was determined in an aqueous solution at a soil:solution ratio of 1:5 using an Orion Star A 111 pH-meter (Thermo Scientific, Waltham, MA, USA) [5]. Total carbon (TC) and total nitrogen (TN) content were determined in triplicate using a Vario EL III elemental analyzer (Elementar, Langenselbold, Germany).

2.3. Determination of Soil Microbiological Properties

Before the start of microbiological measurements, sieved soil with a sieve diameter of 2 mm was freed from roots and large plant residues. It was moistened to 60% of its full moisture capacity and incubated in plastic bags at 22 °C for 3 days. The physiological activity of microorganisms in samples was assessed based on basal (microbial) soil respiration (BR) (CO2 production) as described in the study [6]. Samples were incubated during 24 h of incubation at 22 °C and 60% of the full moisture capacity.
Microbial biomass (MBSIR) was determined by the substrate-induced respiration (SIR) method [7]. CO2 production (BR, SIR) was measured using a LI-830 gas analyzer (LI-COR Biosciences, Lincoln, NE, USA). The BR and SIR results were expressed in μg CO2 g−1 soil h−1, a MBSIR—in μg C g−1 soil. Basal soil respiration and microbial biomass were determined for each biological replicate (3 analytical replicates each).
To assess the metabolic efficiency and physiological stress of the microbial community in response to environmental conditions, we calculated the following eco-physiological indices: the microbial respiration coefficient (QR = BR/SIR), which reflects energy allocation strategy, the metabolic coefficient or specific respiration of microbial biomass (qCO2 = BR/MBSIR, mg CO2 (g C h)−1), the share of microbial biomass carbon in organic carbon (MBSIR/TC, %), the relationship between C-use efficiency and the quality of available soil organic matter (qCO2/TC, mg CO2 kg soil−1 (gMBSIR gC h)−1). The description of eco-physiological indicators is detailed in our previous study [8].

2.4. DNA Sequencing and Bioinformatics Analysis

To understand the taxonomic composition of bacterial and fungal communities, and to test the hypothesis that topography and land use influence community assembly, we performed high-throughput sequencing of the 16S rRNA gene and ITS region. Additionally, to gain a deeper understanding of the functional potential of these communities beyond taxonomic classifications, we conducted shotgun metagenomics on a subset of samples. DNA was extracted from 0.5 g soil samples using the Quick-DNA™ Fecal/Soil Microbe Miniprep Kit (ZymoResearch, Irvine, CA, USA). DNA concentration and purity were determined using a Qubit 4.0 fluorometer (Thermo Fisher Scientific, Waltham, MA, USA) and a NanoPhotometer N120 spectrophotometer (Implen, Munich, Germany), respectively. The 27F (AGRGTTYGATYMTGGCTCAG) and 1492R (RGYTACCTTGTTACGACTT) universal primer set was used to amplify the full-length 16S rRNA gene from the genomic DNA. Both the forward and reverse 16S primers were tailed with sample specific PacBio barcode sequences to allow for multiplexed sequencing. To amplify the target region 18S-ITS-28S rRNA, we used a primer set containing the forward primer 3ndf complementary to the V4 region of the 18S rRNA gene GGCAAGTCTGGTGGTGCCAG and the reverse primer 21R complementary to the 28S rRNA gene GACGAGGCATTTGGCTATTTGGCTACCTT [9].
The DNA amplified from each sample was then pooled in equimolar concentration prior to library preparation. The amplified DNA pool was processed using the SMRTbell prep kit 3.0 (PacBio, Menlo Park, CA, USA) according to the Procedure and Checklist—Amplification of Full-Length 16S Gene with Barcoded Primers for Multiplexed SMRTbell Library Preparation and Sequencing protocol. Fluorescence concentration and average size of the resulting library pool were checked using the Qubit HS DNA Kit (Qubit Fluorometer, Invitrogen, Waltham, MA, USA) and Fragment Analyzer (Agilent Technologies, Santa Clara, CA, USA). Sequencing was performed using the Sequel II Sequencing Kit 3.0 (PacBio, PacBio, Menlo Park, CA, USA) on the Sequel II PacBio system.
Shotgun metagenomic sequencing analysis. DNA libraries for shotgun metagenomic sequencing were prepared using the Illumina DNA Prep (M) Tagmentation Kit (Illumina, San Diego, CA, USA). Sequencing was performed on the Illumina NovaSeq 6000 platform (Illumina, San Diego, CA, USA) following standard protocols for shotgun metagenomics, generating paired-end 2 × 100 bp reads.Pacific Biosciences data were demultiplexed using the PacBio ‘lima’ program (version 2.5.1). HiFi reads (CCS reads with predicted accuracy ≥ Q20) were extracted using SAMtools (version 1.13) [10] and converted to FASTQ format using PacBio ‘bam2fasta’ (version 1.3.1). ITS sequences were isolated from sequencing data of the 18S-ITS-28S rRNA region using ITSx. Sequences containing both ITS1 and ITS2 were selected using a Perl script. The quality of the FASTQ files was analyzed using FastQC (version 0.11.5) software. Further processing was performed using the DADA2 algorithm [11]. This algorithm, in brief, reorients sequences, removes forward and reverse primers, filters and trims sequences by length and average quality, dereplicates sequences, estimates sequencing errors using the PacBio error model, and determines sample composition. The ASVs were assigned taxonomically using the GTDB database [12] for the bacterial communities and the UNITE database [13] for the fungal communities.
The quality of the paired-end metagenome reads was assessed using FastQC (0.11.5) software [14] and subsequently trimmed using Trimmomatic with the following parameters: SLIDINGWINDOW:4:20 MINLEN:50. Metagenome assembly was performed using metaSPAdes. Assembled contigs were annotated using reCOGnizer v. 1.6.4. This tool was employed to identify clusters of orthologous groups (COGs) in the predicted protein sequences.

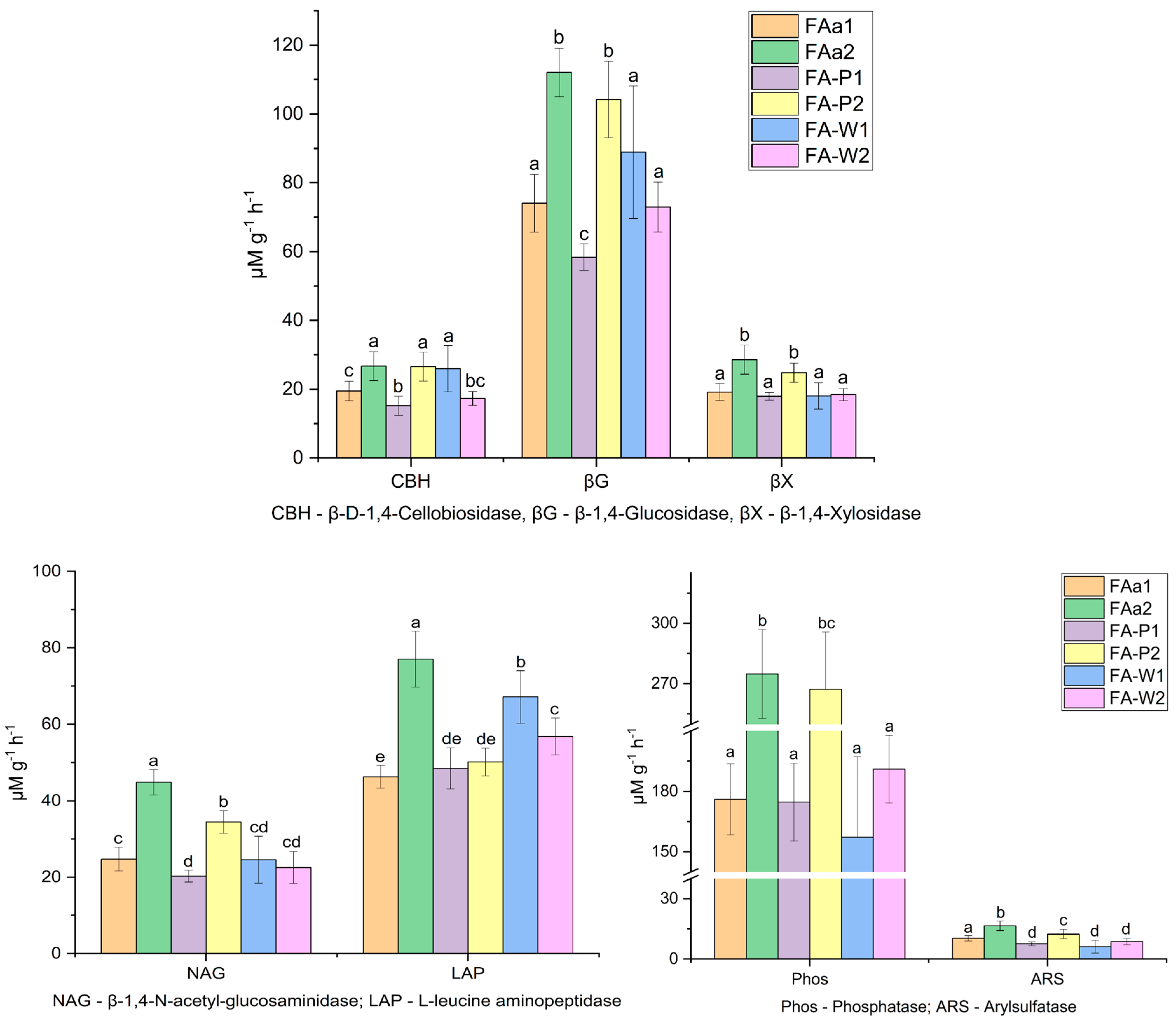
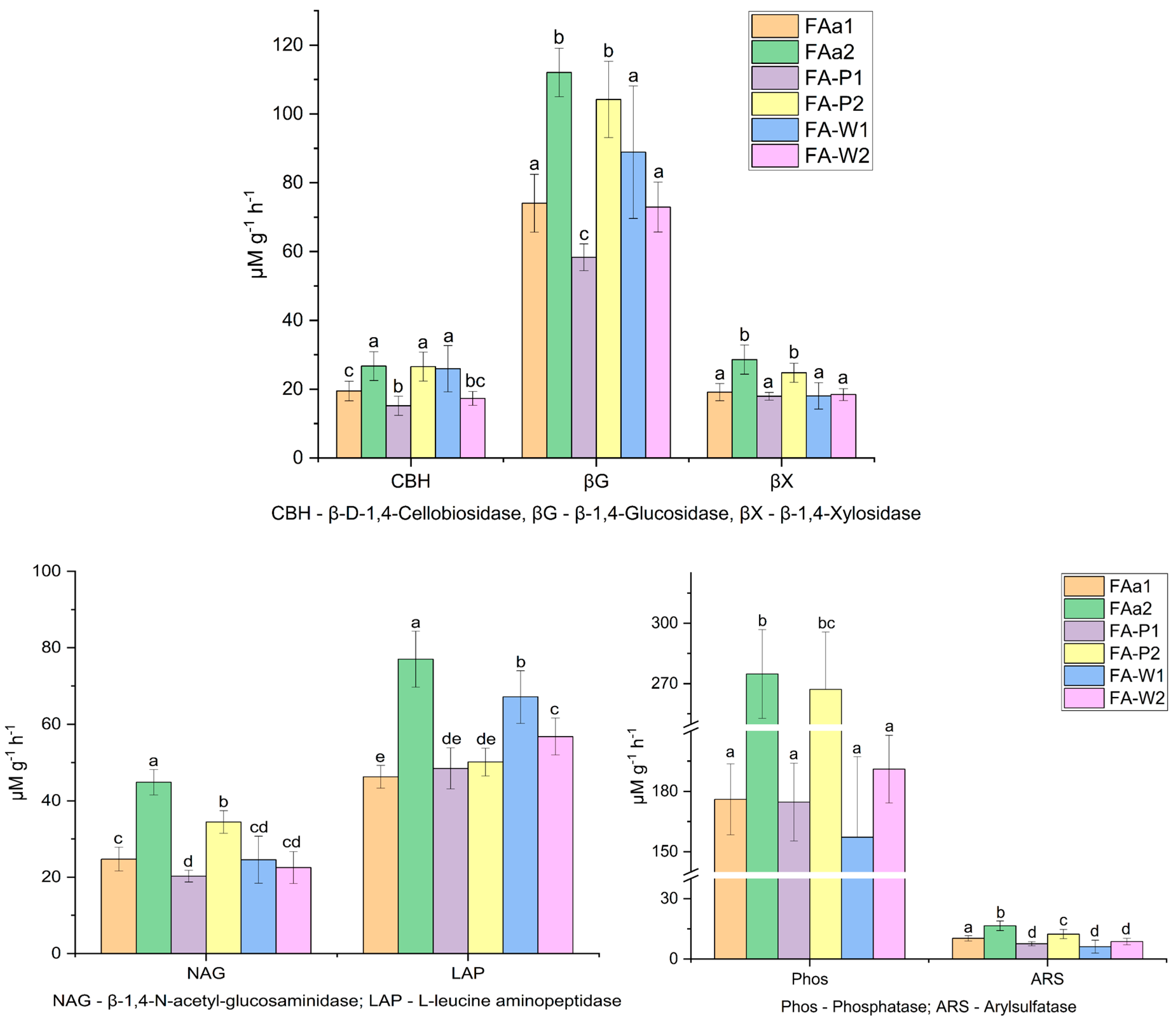
2.5. Soil Enzyme Activities

To link the composition of microbial communities to ecosystem-level functioning and quantify the rates of key nutrient cycling, we measured the activity of hydrolytic enzymes specific to carbon (βG, βX, CBH), nitrogen (NAG, LAP), phosphorus (Phos), and sulfur (ARS) cycling using a fluorometric assay with methylumbelliferyl (MUB)-labeled substrates, following the method described by [15]. The principle of the method is based on the enzymatic hydrolysis of a substrate labeled with a fluorescent dye (4-MUB). The hydrolysis reaction releases the fluorescent product, the concentration of which is quantified fluorometrically. Specifically, the activities of β-1,4-glucosidase (βG, EC 3.2.1.21), β-1,4-xylosidase (βX, EC 3.2.1.37), cellobiohydrolase (CBH, EC 3.2.1.91), phosphatase (Phos, EC 3.1.3.2), arylsulfatase (ARS, EC 3.1.6.1), and β-1,4-N-acetylglucosaminidase (NAG, EC 3.2.1.30) were measured using their respective 4-MUB-labeled substrates: 4-MUB-β-D-glucopyranoside, 4-MUB-β-D-xylopyranoside, 4-MUB-β-D-cellobioside, 4-MUB-phosphate, 4-MUB-sulfate, and 4-MUB-N-acetyl-β-D-glucosaminide. For L-leucine aminopeptidase (LAP, EC3.4.11.1), the substrate L-leucine-7-amino-4-methylcoumarin labeled with 7-Amino-4-Methylcoumarin (AMC) was used. Fluorescent emission was measured using a Fluoroskan Ascent FL microplate reader (Thermo Fisher Scientific, Waltham, MA, USA). The procedure for determining enzyme activity is described in detail in our previous study [8]. In each biological replicate, enzymatic activity was determined in 8 analytical replicates.

2.6. Statistical Processing

The Shapiro–Wilk test was used to assess the normal distribution of values. In the presence of a normal distribution, the two-sample t-test was used, whereas if normality was rejected, the Mann–Whitney test was used. A correction for multiple comparisons was applied using the Sequential Bonferroni (Holm-Bonferroni) method. A p-value of <0.05 was considered statistically significant for all tests. Principal coordinate analysis (PCA) was performed using Origin v. 2021 software (OriginLab Corporation, Northampton, MA, USA). One-way PERMANOVA (Bray–Curtis similarity index), the α-diversity was assessed using the Shannon and Chao1 indices were calculated using Past v.5.2.2.

3. Results

3.1. Physicochemical Soil Properties

Analysis of the TC and TN content revealed a pronounced spatial differentiation along the slope catena (Figure S1). The most significant trend was the accumulation of both TC and TN in the floodplain soils (FA-W1, FA-W2). In contrast, the watershed slopes demonstrated high variability, with the lowest values recorded at the FAa1 site and the highest among the upland sites at FA-P1. Soils were consistently alkaline (pH2O 7.05–8.15), with a texture gradient from sandy soils on the plateau (FAa2) to loams in the accumulation zones. All detailed numerical data, including TC, TN, C:N ratios, pH values, and particle size distribution, are consolidated in Figure S1 and Table S1.

3.2. Analysis of Soil Microbiological Activity

Analysis of microbial physiological profiles revealed a clear contrast in metabolic strategies along the topographic gradient. Ecophysiological profiles revealed contrasting microbial metabolic strategies along the topographic gradient (Table 2, Figure S2). The sandy plateau (FAa2) showed indicators of energy stress, while the floodplain (FA-W1) supported highly efficient microbial communities. The northern slope fallow (FAa1) demonstrated a unique profile, with an exceptionally high proportion of soil organic carbon present as living microbial biomass (MBSIR/TC), suggesting a system with rapid turnover of labile organic matter. Detailed data on basal respiration (BR) and microbial biomass (MBSIR) can be found in Figure S2.

3.3. Enzymatic Activity of Soils

Analysis of enzymatic activities revealed distinct spatial patterns along the topographic gradient (Figure 2). Fallow soils on the plateau consistently exhibited the highest overall enzymatic activity across multiple nutrient cycles (FAa2). For C-cycle enzymes (Figure 2), significant differences were observed among land use types and topographic positions. Plateau fallow (FAa) showed substantially higher activity of CBH, βG, and βX compared to other sites. Pea cultivation sites generally demonstrated higher C-acquiring enzyme potential than wheat fields, particularly in the middle slope position (FA-P2).
The N-cycle enzymes displayed contrasting patterns between proteolytic and chitinolytic activities (Figure 2). LAP activity was predominant in wheat fields and the northern slope fallow, while NAG activity dominated in the middle slope pea plot (FA-P2). The plateau fallow (FAa2) maintained elevated activity of both N-cycling enzymes compared to arable lands.
For P- and S-cycle enzymes, the most pronounced activity was recorded in the plateau fallow FAa2, with Phos and ARS values significantly exceeding those in other locations. Among arable sites, the middle slope pea plot FA-P2 showed notably higher phosphorus and sulfur acquisition potential compared to wheat fields.
The enzymatic profiles reflected a clear hierarchy of microbial functional strategies, with the sandy plateau fallow exhibiting signs of nutrient limitation stress, while accumulation zones demonstrated more balanced nutrient acquisition patterns.

3.4. Spatial Distribution of Soil Properties and Microbial Activity: Principal Component Analysis

Principal component analysis (PCA) identified a two-factor structure that explains 76.1% of the overall variability in soil physicochemical properties and microbial physiological activity (Figure 3A).
The first factor (PC1), accounting for 54.6% of variability, represents a large-scale hydrological and topographical gradient. The positive end of PC1 is strongly associated with distance from the Ingala River (loading = 0.430), topographic position (loading = 0.413) and altitude (loading = 0.287), while the negative end is determined by distance from Iset River (loadings = −0.444). Soil carbon and nitrogen distribution is specifically linked to this gradient as indicated by negative loading of total carbon (TC) (loading = −0.357) and total nitrogen (TN) (−0.341) with the negative pole of PC1 confirming the accumulation of organic matter in areas influenced by Iset river watershed.
The second component (PC2, accounting for 21.5% of the total variance) reflects an independent gradient of microbial community physiological activity. This gradient is strongly positively correlated with microbial biomass (MBSIR, loading = 0.594) and basal respiration (BR, loading = 0.515), but negatively correlated with altitude (loading = −0.395). Hydrological factors exhibit negligible loadings on this component (distance from Ingala: −0.055; distance from Iset: −0.021), demonstrating that the gradient of microbial activity and the influence of the river are orthogonal in this system.
A separate PCA of enzymatic activity revealed two orthogonal gradients that explained 85.3% of the total variation (Figure 3B). The first gradient (PC1, 56.9%) represents an erosion-hydrological gradient. The activity of enzymes involved in carbon (β-xylosidase, βX, loading = 0.387; β-glucosidase, βG, loading = 0.333), phosphorus (phosphatase, Phos, loading = 0.375) and sulfur (arylsulfatase, ARS, loading = 0. 398) cycling was high in elevated areas of the watershed (elevation, loading = 0.353). This indicates increased enzymatic activity under conditions of elemental limitation in well-drained erosion-prone zones. The second gradient (PC2) contrasts zones with intense nitrogen metabolism. It showed a strong positive correlation with leucine aminopeptidase (LAP) (loading = 0.521) and a strong negative correlation with distance from the Iset River (loading = −0.458). This suggests that the local hydrological regime of the Iset floodplain plays a more significant role in controlling proteolytic activity than the general topographic position. Although a global PERMANOVA analysis of all measured parameters showed significant differences between sampling points (F = 36.6, p < 0.001), pairwise analysis did not find any statistically significant differences (all p > 0.05), suggesting that spatial heterogeneity is characterized by gradual change along PCA gradients rather than distinct groups.

3.5. Diversity and Taxonomic Composition of Bacterial and Fungal Communities in Soil

3.5.1. Fungal Diversity, Composition, and Functional Guilds

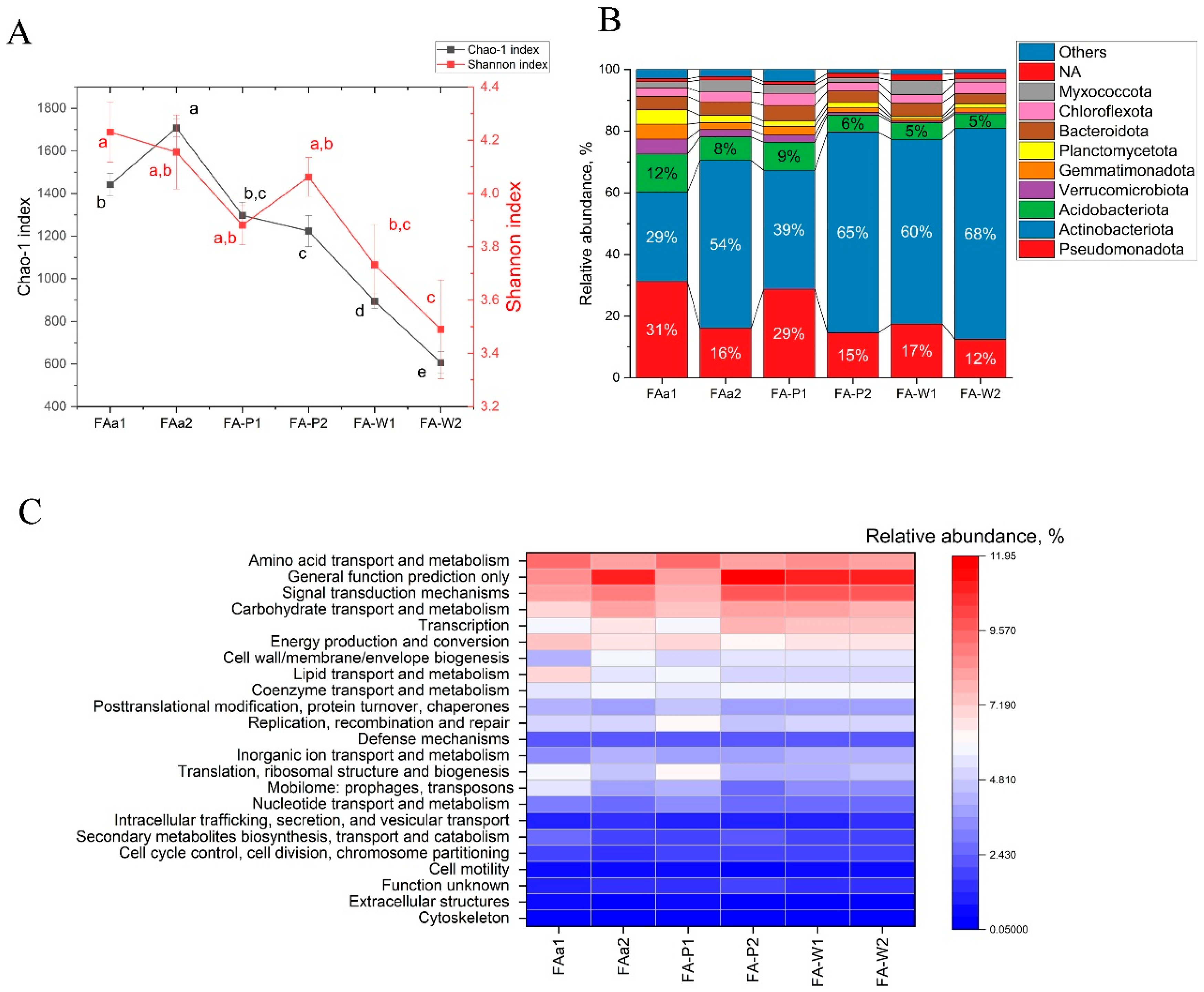
Fungal alpha-diversity, expressed by the Shannon index, showed consistency across topographic gradients and land use types, ranging from 2.81 to 3.04, without statistically significant variation. In contrast, the Chao1 index showed substantial variation ranging from 199 to 299 with significant differences between specific sites (Figure 4A).
Significant differences were found in the proportion of Glomeromycota, a group of arbuscular mycorrhizal fungi. Their share increased substantially under FAa2 conditions (up to 26.5%), whereas in FA-P1 and FAa1, it remained moderate, not exceeding 1.8% (Figure 4B). The dominant phylum Ascomycota also showed an increase in relative abundance in agrosystems (FA-P2: 73.4%, FA-W1: 71.0%) compared to most fallow and legume sites. Mortierellomycota abundance was highest on the low floodplain terrace (FA-W2: 15.6%) and at one fallow site (FAa1: 13.9%), but it decreased in other samples, exhibiting no clear topographic pattern.
Analysis of fungal communities revealed distinct functional patterns driven primarily by land management practices. Long-term fallow on the plateau (FAa2) created a unique symbiotic system characterized by the highest observed proportion of arbuscular mycorrhizal fungi (10.7%) and a high abundance of saprotrophic fungi (e.g., Undefined Saprotroph, 8.8%) (Figure 4C). In contrast, fallow on the slope (FAa1) had a pathogen-dominated community, with a combined share of pathogens exceeding 3.2%.
Agricultural sites shifted towards saprotrophic and pathogenic niches. A key finding was a sharp increase in dung saprotrophs in the floodplain wheat fields (FA-W1, FA-W2: 3.7–3.8%). In contrast, pea crops on the slopes (FA-P1, FA-P2) were associated with a higher abundance of fungal parasites (up to 7.1% in FA-P1), suggesting crop-specific pathogenic pressures (Figure 4C).
The analysis of phytopathogenic fungal communities revealed significant differences in their taxonomic structure and relative abundance between the studied samples. The highest taxonomic diversity and total proportion of pathogens were characteristic of the samples FAa1. Representatives of Ustilaginaceae, Dactylonectria macrodidyma, and Neonectria candida dominated, with a total of 1.19%, 0.93%, and 0.69%, respectively, while species of the genus Knufia and members of the Didymellaceae were also present. In contrast, sample FA-P2 stood out for its uniquely high content of unidentified members of the family Didymellacea (0.71%), as well as the presence of species from Sclerotiniacea (0.92%). These findings were not observed at other sampling sites. FA-W1 и FA-W2 samples are dominated by Didymellaceae (0.35% и 0.80%), respectively, and Neonectria candida (0.38% и 0.77%). While FA-P1 and FA-P2 are characterized by a more uniform distribution and a smaller overall pathogen pool. The exception is Neonectria candida in FA-P1 (45%), and there are also residual amounts of other taxa present (Figure 4D). Thus, the samples from FAa1 и FA-P2 can be considered the most problematic phytopathogenic zones.

3.5.2. Bacterial Diversity, Composition, and Functional Potential

The spatial structure of the bacterial community, assessed at the level of dominant phyla, demonstrates a clear dependence on edaphic and topographic gradients. A key finding is the significant imbalance in the community on low floodplain terraces of the Ingala River. This community exhibits significantly reduced alpha diversity, with a Shannon index ranging from 3.67 to 3.9 and a Chao1 index ranging from 649 to 905 (Figure 5A). The community is dominated by Actinomycetota, accounting for 59.2–67.6% of the total community, with a corresponding reduction in Pseudomonadota, which accounts for 12.3–17.2%. Acidobacteria, Verrucomicrobia, and Planctomycetes are also present, but at much lower abundances (<2%), as shown in Figure 5B. Bacterial communities on elevated interfluve and slope sites (FAa1, FAa2, FA-P1, and FA-P2, with altitudes greater than 80 cm) exhibited higher alpha diversity indices (Shannon index of 3.94 to 4.19 and Chao1 index of 1238 to 1703), compared to floodplain sites. The composition of these upland communities varied in the proportions of the dominant phyla, including Actinomycetota, Pseudomonadota, and Acidobacteriota. At site FAa2 with sandy Chernozem, Actinomycetota exhibited the highest dominance within this group, accounting for 64.4% of the total bacterial community (Figure 5B).

3.5.3. Functional Potential of the Soil Metagenome

The analysis of the functional potential of metagenomes has revealed statistically significant differences in the relative representation of key categories of COG genes between the studied areas (Figure 5C). These differences indicate the formation of different metabolic strategies in response to environmental conditions.
In the floodplain agrosystems (FA-W1 and FA-W2), a stress response strategy has been confirmed, as shown by a significant increase in the proportion of genes involved in signal transduction mechanisms (9.61–9.74% vs. 7.77–8.99%). At the same time, a decrease in the representation of genes related to mobilome (3.23–3.46% vs. 3.66–5.39%) and secondary metabolites biosynthesis (1.76–1.95% vs. 1.79–2.66%) has been observed.
In fallow areas, there was a contrast in metabolic status. On the plateau, a high abundance of general function prediction genes (11.01%) and inorganic ion transport and metabolism (4.16%) was recorded. In contrast, on the slope, the maximum representation of mobilome genes (5.39%) and secondary metabolites biosynthesis (2.66%) was found.
In agricultural ecosystems on flat lands, there is an intermediate nature of the functional profile with a tendency towards a decrease in mobilome genes and an increase in carbohydrate transport and metabolism.

4. Discussion

4.1. Influence of Topography and Land Use on Soil Physicochemical Properties and Microbial Physiology

The concept of the soil-topographic catena as a template for soil properties is well-established, and recent work has extended this framework to soil microbial communities [16]. Our integrated study reveals that the spatial organization of soil microbial communities in an agricultural landscape is not random but follows a predictable pattern governed by a hierarchy of ecological filters. The spatial distribution of soil properties and microbial communities on slopes is complex and non-linear. Slope topography plays a crucial role in determining the distribution of moisture, heat, and the movement of elements, leading to spatial heterogeneity in organic matter content, nutrient availability, and pH levels [17,18,19,20]. This modulates the composition and functional activity of soil microbial communities [4,21]. One of the key factors that mediates the influence of topography is the particle size distribution of soils [22]. As the results of the present study show, the interaction between relief and granulometry determines the final pattern of organic matter distribution and the functional activity of microbial communities.

4.1.1. The Influence of Particle Size Distribution and Moisture Deficit on the Microbial Community Is Limited

Despite the relatively high total carbon content, the most pronounced stress was observed at the plateau site (FAa2). The predominance of sand fractions (75.9%) results in low water-holding capacity and cation exchange capacity (CEC), which acts as a key limiting factor for microbial growth [23,24,25,26,27] is evidenced by the low values of MBSIR (microbial biomass specific respiration) and its share in the total carbon pool. Under these conditions, despite the abundance of available substrate (C:N ratio = 5.22), the community is experiencing physiological stress. The microorganisms are forced to redirect the energy they receive not towards growth (MBSIR increase), but towards maintaining life under unfavorable conditions, as indicated by abnormally high values of the metabolic quotient (qCO2) and the coefficient of microbial respiration (QR) [28].
A similar, albeit less pronounced, stress situation was observed in the arable land plot on the central southern slope (FA-P2). The sharp increase in the sand fraction compared to the arable land at the top of the slope is likely the result of water erosion, which led to the removal of silt and clay particles [29]. This led to destabilization of conditions: moisture fluctuations, a drop in CEC, and nutrient deficiencies. The influx of fresh organic matter (low C:N = 4.48) stimulated respiration (high BR), but the energy was used by microorganisms primarily to cope with stress (high qCO2 and QR) rather than for efficient biomass growth [30].

4.1.2. Balanced Functioning Under Optimal Conditions of Particle Size Distribution and Resource Availability Is Essential for the Health of Ecosystems

Sites with loamy soil, on the other hand, have highly efficient carbon utilization due to the unique characteristics of their microbial communities. For instance, the arable soil on the top of the southern slope (FA-P1) has a high content of stable organic matter, which is unusual for an arable horizon. It can be assumed that the medium-loam composition provides effective physicochemical protection for organic matter, as indicated by the low qCO2/TC ratio [31,32]. The presence of a high-quality and labile pool of organic carbon (C:N = 6.16) also supports high metabolic activity and a significant amount of microbial biomass [33,34]. The microbial community in this area functions in a balanced way, efficiently utilizing readily available carbon without excessive energy expenditure [35].
The most favorable conditions are found in the arable land at the foot of the slope (FA-W1), which acts as a zone for the accumulation of matter and energy. The influx of fine-dispersed material and labile organic matter from the slopes above, combined with an optimal particle size distribution, has created the conditions necessary for the formation of a highly efficient microbial community [36,37]. This is reflected in the maximum MBSIR values and an optimal MBSIR/TC ratio, with minimal energy losses (low qCO2 and QR). Microorganisms actively utilize the labile carbon pool, while the primary pool remains stable and protected.

4.1.3. The Influence of Specific Hydrological Regimes

A special case is the northern slope fallow (FAa1). The balanced loamy composition is expected to promote organic matter accumulation, but an anomalously low content was recorded here. This discrepancy can be explained by the development of a hydromorphic regime on the northern slope, which leads to increased moisture conditions. Under these conditions, the labile pools of carbon and nitrogen are actively involved in microbial turnover, and, without the protection of vegetation (in a fallow), are partially leached from the soil profile. The microbial community functions very efficiently under these conditions (low qCO2 and QR), directing energy toward growth and reproduction [30,38,39]. his results in the formation of a large biomass with high respiratory activity. Almost all soil carbon is present as living microbial biomass (high MBSIR/TC), indicating a very high rate of organic matter turnover [40].

4.1.4. Spatial Heterogeneity of Accumulation Sites

The sharp contrast between two adjacent sites at the foot of the slope (FA-W1 and FA-W2) emphasizes the high spatial variability in conditions even within a single geomorphic site. Although located in the accumulation zone, site FA-W2, with its lighter texture, has lower fertility and biological activity compared to site FA-W1. This lighter texture results in rapid mineralization of labile organic matter (C:N = 5.00), likely creating less stable moisture conditions. As a result, although the community processes carbon efficiently (low QR), it operates in a state of mild stress, expending additional energy to overcome suboptimal conditions (qCO2 is higher than in FA-W1) [30]. This suggests a non-linear nature of the accumulation processes, which may be related to the microtopography, such as the presence of riverbed ridges from an ancient terrace, which determine local conditions for the deposition and preservation of fine-grained material.
The functioning of microbial communities in the catena studied is an indicator of the stability of the soil ecosystem. The particle size distribution, which is modified by topography and erosion processes, plays a key role in determining the availability of moisture and nutrients. This, in turn, directly affects the physiological state of microorganisms and their ability to use organic matter efficiently.
Our observations of increased microbial metabolic stress (higher qCO2) on the plateau (FAa2) and higher efficiency in the accumulation zone (FA-W1) align with the understanding that topography plays a significant role in determining the distribution of resources and water in the ecosystem, thereby shaping the physiological status of microorganisms [41].
However, the specific factors that drive these processes in our agricultural system seem to be more complex than previously thought. While Mohammadi et al. (2017) linked microbial biomass and activity in a forest ecosystem primarily to the accumulation of soil organic carbon and water along a catena, our data suggest that soil texture plays a critical role in mediating these topographic effects [41].
The extreme stress at the sandy site FAa2, despite its relatively high carbon content, demonstrates how texture-induced limitations on water and nutrient holding capacity can override the influence of total organic carbon pools in determining microbial physiological stress in agricultural ecosystems.

4.2. Spatial Differentiation of Enzymatic Activity as an Indicator of the Functional State of Microbial Communities in a Slope Catena

The study found clear spatial variation in soil enzymatic activity along a slope, reflecting the complex impact of topography, particle size, and land use on microbial metabolism. Analysis of enzyme profiles allows us to not only assess resource availability, but also to diagnose the physiological status of soil biota, identifying signs of both healthy functioning and chronic stress.

4.2.1. Enzymatic Indicators of Stress Caused by Texture and Erosion

Plots with light textures, such as plateau, FAa2, and eroded cropland, FA-P2, exhibit similar patterns of physiological stress in microbial communities due to resource scarcity. These plots are characterized by extremely high phosphatase activity in response to severe phosphorus deficiency caused by nutrient leaching from light soils [42].
However, on the eroded cropland (FA-P2), phosphatase activity is 1.5 times higher than on stable cropland (FA-P1). This indicates catastrophic depletion of the silt-clay fraction due to erosion [43]. Against this backdrop, the key difference is in the carbon metabolism strategy. While moderate cellobiohydrolase and β-glucosidase activity on the plateau indicates a preference for labile substrates, on eroded cropland, a sharp increase in their activity reflects the community’s desperate attempt to compensate for the depletion of its resource base by breaking down more difficult-to-access compounds, such as cellulose.
This shift is supported by a significant change in the nitrogen cycle, which is an increase in the NAG:LAP ratio, indicating a shift towards nitrogen utilization from chitin [44]. The need to produce a wide variety of enzymes to address combined elemental deficiencies directly contributes to the highest energy expenditure (qCO2, QR) in these areas of the catena [45,46,47].

4.2.2. The Specificity of Enzymatic Profiles in Hydromorphic Conditions with Balanced Nutrition Is Contrasted with Those of Stressed Communities

Areas with optimal conditions exhibit energy-efficient enzymatic strategies, although the mechanisms behind these strategies differ from those in stressed communities. The northern slope fallow soil profile (FAa1) reflects adaptation to a hydromorphic regime, which is characterized by dominance of phosphatase activity, confirming phosphorus limitation in waterlogged soils with leaching processes [43]. The low CBH and βX activities combined with high βG activity indicate that degradation processes focus on the final stages of decomposition, consistent with the hypothesis of predominance of labile microbial organic matter. This is evidenced by the low NAG:LAP ratio, which indicates the dominance of proteins and peptides as the main nitrogen source. The most balanced and efficient profile is found in the arable land at the top of the southern slope (FA-P1). This is due to the stabilizing role of the medium loamy texture and the enrichment of the soil with bioavailable nitrogen through pea cultivation, which alleviates the severe limitation of key elements [48,49]. This allows the community to avoid the need for excessive synthesis of exoenzymes, as reflected in moderate phosphatase activity [50]. The low NAG:LAP ratio and minimal metabolic quotients (qCO2, QR) indicate an efficient use of readily available resources, with energy being allocated to biomass growth rather than compensating for deficits [51,52].

4.2.3. The Role of Accumulation Sites in the Formation of Enzymatic Patterns

The accumulation sites at the foot of the slope, FA-W1 and FA-W2, exhibit contrasting enzymatic patterns that are not solely explained by their texture, which is heavy loam and medium loam, respectively. The soil at site FA-W1 provides conditions for a highly productive ecosystem, with minimal AP activity indicating a sufficient phosphorus supply due to effective accumulation and stabilization of this nutrient. At the same time, high βG and LAP activity levels indicate an intense flow of labile organic matter, maintaining maximum values for MBSIR and respiratory rate [33]. An extremely low NAG:LAP ratio confirms the abundance of readily available nitrogen-containing compounds. This enzyme profile corresponds to a state of physiological well-being and high metabolic efficiency.
In contrast, the plot profile of FA-W2 (medium loam) shows a development of moderate resource limitation. The elevated AP activity indicates a lack of available phosphorus, which, despite its potential for accumulation, is not being compensated for. This creates an additional metabolic burden on the ecosystem, as evidenced by higher CO2 levels compared to baseline (FA-W1). The stark contrast between these two sites highlights the significant spatial variability in soil properties and nutrient flows at the base of the slope. This variability may be attributed to microtopographic features (such as channel ridges from an ancient terrace), differences in the hydrologic regime, or historical land use, which require further investigation.
The spatial patterns of enzyme activities that we observed support the idea that topography creates a template for biogeochemical “hotspots” [53]. However, when comparing our findings with other ecosystems, we found that the specific expression of these hotspots is highly dependent on the local context. For example, Keller et al. (2023) reported that C-cycle enzyme activity was highest in a forested catchment on drier slopes, while P-cycle (phosphatase) enzyme activity was more pronounced in the wet valley of a river [54]. In contrast, our study in an agricultural area found that the highest overall activity of enzymes involved in the C, N, P, and S cycles occurred on a well-drained sandy plateau (FAa2), which is a site with severe nutrient limitation and physiological stress. This key difference highlights a fundamental distinction: in managed systems, historical erosion and land use can create localized areas of extreme resource depletion (like FAa2 and FA-P2), which can become powerful drivers for enzyme synthesis, potentially overpowering the more generalized topographic patterns seen in natural ecosystems. As a result, the “topographic template” in agriculture is often a modified one, where the legacy of soil degradation determines microbial function.

4.3. Response of Bacterial and Fungal Community Structure and Function to Environmental Gradients

Our metagenomic analysis of COG categories has revealed differences in the functional potential of microbial communities along the topographic gradient. However, it is crucial to contextualize these genetic predictions within the broader framework of microbial ecology.
The presence of genes identified by COG annotation indicates metabolic potential, but it does not guarantee their phenotypic expression at any given moment. This is supported by the recent study by Teslya et al. (2024), which showed a clear disconnect between the relative abundance of functional genes in metagenomes and the actual activity of corresponding enzymes in soil [55]. The authors concluded that changes in enzyme activity are likely due to post-genomic regulatory mechanisms.
This principle is essential for interpreting our own integrated dataset and understanding the complex interactions between genes, enzymes, and the environment. While the functional potential inferred from COGs provides a valuable layer of explanation for stress response in floodplains, direct measurements of enzyme activity and ecophysiological coefficients (qCO2, QR) represent the realized functional output of microbial communities in situ. Combining these approaches, which predict potential and measure activity, provides a more robust and holistic understanding of community function than either method alone. This helps bridge the gap between genetic capabilities and ecosystem-level processes, providing a more complete picture of microbial community functioning.
A comprehensive study has identified a hierarchy of ecological factors that influence the structure and function of soil microbial communities in an agricultural landscape with slopes. By synthesizing all the available data, we can propose a comprehensive framework for understanding the distribution of ecological niches and metabolic strategies within these communities.
Our results convincingly demonstrate that the topographic position and the resulting hydrological regime are the primary factors that drive the spatial organization of the microbiome which is consistent with the results of other studies [56]. This is particularly evident in the case of bacteria, where the absolute dominance of the Actinomycetota phylum (59.2–67.6%) and the suppression of other bacterial phyla in waterlogged floodplain soils (FA-W1 and FA-W2), in contrast to a background of reduced taxonomic richness (Chao1: 649–905), clearly indicates that these conditions are stressful, leading to the selection of a highly specialized microbial community.
Within a given topographic gradient, the history and type of land use determine the metabolic strategy of the microbial community. This is where the fundamental difference between bacterial and fungal communities emerges. Fungi act as direct indicators of land use. A sharp increase in the proportion of Glomeromycota (arbuscular mycorrhiza), to 26.5%, in long-term fallow land (FAa2), and a shift toward phytopathogens in agroecosystems reflect a direct restructuring of trophic interactions dependent on vegetation cover [57]. The functional shifts we observed in fungal communities—from symbiotic (mycorrhizal) in fallow fields to pathogenic and saprotrophic in crop fields—align with broader ecological principles of community assembly. A study by Wang et al. (2023), on an eroding landscape, described a shift in fungal taxa from r-selected (e.g., Ascomycota) to K-selected (Basidiomycota), driven by changes in carbon availability [16]. While our study did not detect a clear topographic pattern of taxa, we can draw a parallel at the functional level. The increase in saprotrophs and pathogens in agroecosystems may reflect a r-selected strategy, favoring species that can rapidly exploit readily available resources under disturbed conditions. In contrast, mycorrhizal communities in long-term fallow fields may represent a K-selected and stable assemblage. This suggests that, in addition to taxonomy, land use has a significant impact on the life cycle strategies of soil fungi.
Bacteria exert their influence through changes in their functional efficiency. This mechanism is revealed by data on enzymatic activity and ecophysiological coefficients. The FAa2 site exhibits a paradoxical situation: despite having low microbial biomass and organic carbon content, it shows maximum activity of enzymes involved in C-, N-, P- and S-cycling. This indicates a state of acute energy stress, confirmed by high CO2 and QR, where the community has to intensify its enzymatic activity to degrade inaccessible organic matter. The presence of Actinomycetota, known for their hydrolytic abilities, supports this hypothesis [58].

4.4. Topographic-Hydrological Gradient as the Primary Community Filter

The most profound divide in our system was between the floodplain and the watershed slope sites, overriding the influence of agricultural management. This was unequivocally demonstrated by the stark restructuring of the bacterial community in the periodically flooded soils (FA-W1, FA-W2), which exhibited significantly reduced alpha diversity and a strong dominance of actinobacteria. This pattern is a classic signature of an environmental filter selecting for stress-tolerant specialists. The hypoxic conditions and physical disturbances associated with flooding likely favor actinobacteria, known for their metabolic versatility and ability to produce spores to withstand adverse conditions [59,60]. This taxonomic shift is further corroborated by the metagenomic data, which showed an enrichment in genes related to signal transduction—a typical stress-response strategy—at the expense of genes for secondary metabolite biosynthesis and mobile genetic elements, indicating a reduction in competitive and evolutionary potential.
The influence of topography extended beyond taxonomy to ecosystem-level functions. The catena position directly governed the accumulation and quality of organic matter, leading to a gradient from carbon-depleted, erosion-prone upper slopes to carbon-enriched accumulation zones in the floodplain. This physical template preconditioned the metabolic landscape for microorganisms, setting the boundaries within which land use practices could modulate microbial activity.

4.5. Model Context and Forward Look

Our findings reveal a clear hierarchical structure of microbial communities across the topography. It is important to consider this model as a spatial framework that may vary over time. The functional hotspots and metabolic strategies we describe are linked to the landscape, but their intensity may be influenced by seasonal and inter-annual fluctuations that we have not addressed here. To validate the temporal stability of this pattern, especially for assessing phytopathogen risks, future longitudinal studies are needed.
The strength of the topographic and land use signals, as evidenced by the high effect sizes in our multivariate models, gives us confidence in the primary drivers. However, the incorporation of additional variables, such as precise management histories and explicit spatial modeling, could further enhance the predictive power of our framework for precision agriculture applications. This represents a promising avenue for translating our ecological model into actionable management strategies.

5. Conclusions

Our study shows that in agricultural landscapes with a pronounced topography, the composition of soil microbial communities is determined by a hierarchy of ecological factors. Topography acts as the main filter, controlling hydrology and soil development and thus shaping the structure and function of bacterial communities. Land use and its associated soil texture serve as secondary filters, refining the system by influencing the metabolic efficiency of microorganisms and the guild structure of fungal communities within this topographic context.
The crucial role of soil texture in influencing microbial responses emphasizes the need for context-specific soil management. A one-size-fits-all approach is not suitable for spatially diverse systems. Instead, we recommend adopting a topography-informed precision management strategy. This involves implementing targeted measures based on the landscape’s characteristics: prioritizing erosion prevention and organic matter addition on degraded slopes and carefully managing nutrient input in naturally fertile areas. Implementing this stratified approach will optimize resource use and maximize the potential of soil microorganisms to enhance agricultural productivity and sustainability.

Supplementary Materials

The following supporting information can be downloaded at: https://www.mdpi.com/article/10.3390/agronomy15112588/s1. Figure S1: The gradient of carbon, nitrogen, and C:N ratios (embedded image) along a slope, depending on altitudinal position, land use, and soil type.; Figure S2: Spatial variability of basal respiration (A) and microbial biomass content (B) along a slope, as a function of elevation, land use, and soil type. Table S1: Spatial variability of particle size distribution and acid-base properties of soils within the slope boundaries.

Author Contributions

Conceptualization, A.S.V.; methodology, A.V.T., D.V.P. and A.S.V.; investigation, A.V.T., D.V.P. and A.A.S.; data curation, A.V.T.; writing—original draft preparation, A.V.T. and A.S.V.; writing—review and editing, A.V.T., D.V.P. and A.S.V.; visualization, A.V.T. and A.S.V.; supervision, A.S.V.; funding acquisition, A.S.V. All authors have read and agreed to the published version of the manuscript.

Funding

This study was supported by the Ministry of Science and Higher Education of the Russian Federation (agreement no. 075-15-2024-563).

Data Availability Statement

The datasets generated and analyzed in this study are deposited in the NCBI Sequence Read Archive (SRA) under BioProject accession number PRJNA1268469. These datasets include BioSamples with accession numbers SAMN51604667–SAMN51604684.

Acknowledgments

We are grateful to Arina N. Fink (University of Tyumen) for her assistance in assessing the particle size distribution of soils.

Conflicts of Interest

The authors declare no conflicts of interest.

References

  1. Broughton, L.C.; Gross, K.L. Patterns of diversity in plant and soil microbial communities along a productivity gradient in a Michigan old-field. Oecologia 2000, 125, 420–427. [Google Scholar] [CrossRef] [PubMed]
  2. Bergstrom, D.W.; Monreal, C.M.; King, D.J. Sensitivity of soil enzyme activities to conservation practices. Soil Sci. Soc. Am. J. 1998, 62, 1286–1295. [Google Scholar] [CrossRef]
  3. Decker, K.L.M.; Boerner, R.E.J.; Morris, S.J. Scale-dependent patterns of soil enzyme activity in a forested landscape. Can. J. For. Res. 1999, 29, 232–241. [Google Scholar] [CrossRef]
  4. Florinsky, I.V.; McMahon, S.; Burton, D.L. Topographic control of soil microbial activity: A case study of denitrifiers. Geoderma 2004, 119, 33–53. [Google Scholar] [CrossRef]
  5. Pansu, M.; Gautheyrou, J. Handbook of Soil Analysis: Mineralogical, Organic and Inorganic Methods; Springer: Berlin, Germany, 2007. [Google Scholar]
  6. Anderson, T.H.; Domsch, K.H. Application of eco-physiological quotients (qCO2 and qD) on microbial biomasses from soils of different cropping histories. Soil Biol. Biochem. 1990, 22, 251–255. [Google Scholar] [CrossRef]
  7. Anderson, J.P.E.; Domsch, K.H. A physiological method for the quantitative measurement of microbial biomass in soils. Soil Biol. Biochem. 1978, 10, 215–221. [Google Scholar] [CrossRef]
  8. Teslya, A.V.; Gurina, E.V.; Poshvina, D.V.; Stepanov, A.A.; Iashnikov, A.V.; Vasilchenko, A.S. Fungal secondary metabolite gliotoxin enhances enzymatic activity in soils by reshaping their microbiome. Rhizosphere 2024, 32, 100960. [Google Scholar] [CrossRef]
  9. Schwelm, A.; Badstöber, J.; Bulman, S.; Desoignies, N.; Etemadi, M.; Falloon, R.E.; Gachon, C.M.M.; Legreve, A.; Lukeš, J.; Merz, U.; et al. Not in your usual Top 10: Protists that infect plants and algae. Mol. Plant Pathol. 2016, 17, 729–745. [Google Scholar] [CrossRef]
  10. Danecek, P.; Bonfield, J.K.; Liddle, J.; Marshall, J.; Ohan, V.; Pollard, M.O.; Whitwham, A.; Keane, T.; McCarthy, S.A.; Davies, R.M.; et al. Twelve years of SAMtools and BCFtools. Gigascience 2021, 10, giab008. [Google Scholar] [CrossRef]
  11. Callahan, B.J.; McMurdie, P.J.; Rosen, M.J.; Han, A.W.; Johnson, A.J.A.; Holmes, S.P. DADA2: High-resolution sample inference from Illumina amplicon data. Nat. Methods 2016, 13, 581–583. [Google Scholar] [CrossRef]
  12. Parks, D.H.; Chuvochina, M.; Rinke, C.; Mussig, A.J.; Chaumeil, P.-A.; Hugenholtz, P. GTDB: An ongoing census of bacterial and archaeal diversity through a phylogenetically consistent, rank normalized and complete genome-based taxonomy. Nucleic Acids Res. 2022, 50, D785–D794. [Google Scholar] [CrossRef] [PubMed]
  13. Andrews, S. FastQC: A Quality Control Tool for High Throughput Sequence Data; Babraham Institute: Cambridge, UK, 2010; Available online: https://www.bioinformatics.babraham.ac.uk/projects/fastqc/ (accessed on 1 January 2024).
  14. Abarenkov, K.; Nilsson, R.H.; Larsson, K.H.; Taylor, A.F.S.; May, T.W.; Frøslev, T.G.; Pawlowska, J.; Lindahl, B.; Põldmaa, K.; Truong, C.; et al. The UNITE database for molecular identification and taxonomic communication of fungi and other eukaryotes: Sequences, taxa and classifications reconsidered. Nucleic Acids Res. 2024, 52, D791–D797. [Google Scholar] [CrossRef] [PubMed]
  15. Razavi, B.S.; Blagodatskaya, E.; Kuzyakov, Y. Nonlinear temperature sensitivity of enzyme kinetics explains canceling effect—A case study on loamy haplic Luvisol. Front. Microbiol. 2015, 6, 1126. [Google Scholar] [CrossRef] [PubMed]
  16. Wang, R.; Hu, Y.; Khan, A.; Du, L.; Wang, Y.; Hou, F.; Guo, S. Soil Prokaryotic Community Structure and Co-Occurrence Patterns on the Fragmented Chinese Loess Plateau: Effects of Topographic Units of a Soil Eroding Catena. CATENA 2021, 198, 105035. [Google Scholar] [CrossRef]
  17. Hancock, G.R.; Murphy, D.; Evans, K.G. Hillslope and catchment scale soil organic carbon concentration: An assessment of the role of geomorphology and soil erosion in an undisturbed environment. Geoderma 2010, 155, 36–45. [Google Scholar] [CrossRef]
  18. Pennino, A.; Strahm, B.D.; McGuire, K.J.; Bower, J.A.; Bailey, S.W.; Schreiber, M.E.; Ross, D.S.; Duston, S.A.; Benton, J.R. Forest catchment structure mediates shallow subsurface flow and soil base cation fluxes. Geoderma 2024, 450, 117045. [Google Scholar] [CrossRef]
  19. Utin, U.E.; Essien, G.E. Soil properties and growth of maize as affected by slope position and fertilizer type on coastal plain sands. Int. J. Sustain. Agric. Res. 2021, 8, 180–197. [Google Scholar] [CrossRef]
  20. Li, L.; Chen, L.; Li, H.; Xia, Y.; Wang, H.; Wang, Q.; Yuan, W.; Zhou, M.; Tian, J.; Wang, B. Slope position modulates soil chemical properties and microbial dynamics in tea plantation ecosystems. Agronomy 2025, 15, 538. [Google Scholar] [CrossRef]
  21. Naveed, M.; Herath, L.; Moldrup, P.; Arthur, E.; Nicolaisen, M.; Norgaard, T.; Ferré, T.P.; de Jonge, L.W. Spatial variability of microbial richness and diversity and relationships with soil organic carbon, texture and structure across an agricultural field. Appl. Soil Ecol. 2016, 103, 44–55. [Google Scholar] [CrossRef]
  22. Selassie, Y.G.; Anemut, F.; Addisu, S. The effects of land use types, management practices and slope classes on selected soil physico-chemical properties in Zikre watershed, North-Western Ethiopia. Environ. Syst. Res. 2015, 4, 3. [Google Scholar] [CrossRef]
  23. Sessitsch, A.; Weilharter, A.; Gerzabek, M.H.; Kirchmann, H.; Kandeler, E. Microbial population structures in soil particle size fractions of a long-term fertilizer field experiment. Appl. Environ. Microbiol. 2001, 67, 4215–4224. [Google Scholar] [CrossRef]
  24. Riaz, M.; Marschner, P. Sandy soil amended with clay soil: Effect of clay soil properties on soil respiration, microbial biomass, and water extractable organic C. J. Soil Sci. Plant Nutr. 2020, 20, 2465–2470. [Google Scholar] [CrossRef]
  25. Osman, K.T. Sandy Soils. In Management of Soil Problems; Springer: Cham, Switzerland, 2018; pp. 37–65. [Google Scholar]
  26. Uhlířová, E.; Elhottova, D.; Tříska, J.; Šantrůčková, H. Physiology and microbial community structure in soil at extreme water content. Folia Microbiol. 2005, 50, 161–166. [Google Scholar] [CrossRef]
  27. Cui, Y.; Wang, X.; Zhang, X.; Ju, W.; Duan, C.; Guo, X.; Wang, Y.; Fang, L. Soil moisture mediates microbial carbon and phosphorus metabolism during vegetation succession in a semiarid region. Soil Biol. Biochem. 2020, 147, 107814. [Google Scholar] [CrossRef]
  28. Zhang, Y.; Zou, J.; Dang, S.; Osborne, B.; Ren, Y.; Ju, X. Topography modifies the effect of land-use change on soil respiration: A meta-analysis. Ecosphere 2021, 12, e03845. [Google Scholar] [CrossRef]
  29. Lowe, M.A.; McGrath, G.; Leopold, M. The impact of soil water repellency and slope upon runoff and erosion. Soil Tillage Res. 2021, 205, 104756. [Google Scholar] [CrossRef]
  30. Ashraf, M.N.; Waqas, M.A.; Rahman, S. Microbial metabolic quotient is a dynamic indicator of soil health: Trends, implications and perspectives. Eurasian Soil Sci. 2022, 55, 1794–1803. [Google Scholar] [CrossRef]
  31. Sarkar, B.; Singh, M.; Mandal, S.; Churchman, G.J.; Bolan, N.S. Clay minerals-organic matter interactions in relation to carbon stabilization in soils. In The Future of Soil Carbon; Academic Press: Cambridge, MA, USA, 2018; pp. 71–86. [Google Scholar]
  32. Islam, M.R.; Singh, B.; Dijkstra, F.A. Stabilisation of soil organic matter: Interactions between clay and microbes. Biogeochemistry 2022, 160, 145–158. [Google Scholar] [CrossRef]
  33. Fang, Y.; Singh, B.P.; Collins, D.; Li, B.; Zhu, J.; Tavakkoli, E. Nutrient supply enhanced wheat residue-carbon mineralization, microbial growth, and microbial carbon-use efficiency when residues were supplied at high rate in contrasting soils. Soil Biol. Biochem. 2018, 126, 168–178. [Google Scholar] [CrossRef]
  34. Cotrufo, M.F.; Wallenstein, M.D.; Boot, C.M.; Denef, K.; Paul, E. The Microbial Efficiency-Matrix Stabilization (MEMS) framework integrates plant litter decomposition with soil organic matter stabilization: Do labile plant inputs form stable soil organic matter? Glob. Change Biol. 2013, 19, 988–995. [Google Scholar] [CrossRef] [PubMed]
  35. Fang, Y.; Singh, B.P.; Collins, D.; Armstrong, R.; Van Zwieten, L.; Tavakkoli, E. Nutrient stoichiometry and labile carbon content of organic amendments control microbial biomass and carbon-use efficiency in a poorly structured sodic-subsoil. Biol. Fertil. Soils 2020, 56, 219–233. [Google Scholar] [CrossRef]
  36. Kögel-Knabner, I.; Guggenberger, G.; Kleber, M.; Kandeler, E.; Kalbitz, K.; Scheu, S.; Eusterhues, K.; Leinweber, P. Organo-mineral associations in temperate soils: Integrating biology, mineralogy, and organic matter chemistry. J. Plant Nutr. Soil Sci. 2008, 171, 61–82. [Google Scholar] [CrossRef]
  37. Sun, Q.; Hu, Y.; Wang, R.; Guo, S.; Yao, L.; Duan, P. Spatial distribution of microbial community composition along a steep slope plot of the Loess Plateau. Appl. Soil Ecol. 2018, 130, 226–236. [Google Scholar] [CrossRef]
  38. Anderson, T.H. Microbial eco-physiological indicators to assess soil quality. Agric. Ecosyst. Environ. 2003, 98, 285–293. [Google Scholar] [CrossRef]
  39. Anderson, T.H.; Domsch, K.H. Soil microbial biomass: The eco-physiological approach. Soil Biol. Biochem. 2010, 42, 2039–2043. [Google Scholar] [CrossRef]
  40. Vega, J.A.; Fontúrbel, T.; Merino, A.; Fernández, C.; Ferreiro, A.; Jiménez, E. Testing the ability of visual indicators of soil burn severity to reflect changes in soil chemical and microbial properties in pine forests and shrubland. Plant Soil 2013, 369, 73–91. [Google Scholar] [CrossRef]
  41. Mohammadi, M.F.; Jalali, S.G.; Kooch, Y.; Said-Pullicino, D. The Effect of Landform on Soil Microbial Activity and Biomass in a Hyrcanian Oriental Beech Stand. CATENA 2017, 149, 309–317. [Google Scholar] [CrossRef]
  42. Yan, J.; Lou, L.; Bai, W.; Zhang, S.; Zhang, N. Phosphorus deficiency is the main limiting factor for re-vegetation and soil microorganisms in Mu Us Sandy Land, Northwest China. Sci. Total Environ. 2023, 900, 165770. [Google Scholar] [CrossRef]
  43. Quinton, J.N.; Catt, J.A.; Hess, T.M. The selective removal of phosphorus from soil: Is event size important? J. Environ. Qual. 2001, 30, 538–545. [Google Scholar] [CrossRef]
  44. Yeh, T.C.; Krennmayr, K.; Liao, C.S.; Ejarque, E.; Schomakers, J.; Huang, J.; Zehetner, F.; Hein, T. Effects of terrigenous organic substrates and additional phosphorus on bacterioplankton metabolism and exoenzyme stoichiometry. Freshw. Biol. 2020, 65, 1973–1988. [Google Scholar] [CrossRef]
  45. Harder, W.; Dijkhuizen, L. Physiological responses to nutrient limitation. Annu. Rev. Microbiol. 1983, 37, 1–23. [Google Scholar] [CrossRef]
  46. Reeves, D.W. The role of soil organic matter in maintaining soil quality in continuous cropping systems. Soil Tillage Res. 1997, 43, 131–167. [Google Scholar] [CrossRef]
  47. Uwituze, Y.; Nyiraneza, J.; Fraser, T.D.; Dessureaut-Rompré, J.; Ziadi, N.; Lafond, J. Carbon, nitrogen, phosphorus, and extracellular soil enzyme responses to different land use. Front. Soil Sci. 2022, 2, 814554. [Google Scholar] [CrossRef]
  48. Lai, H.; Gao, F.; Su, H.; Zheng, P.; Li, Y.; Yao, H. Nitrogen distribution and soil microbial community characteristics in a legume-cereal intercropping system: A review. Agronomy 2022, 12, 1900. [Google Scholar] [CrossRef]
  49. Kanté, M.; Riah-Anglet, W.; Cliquet, J.B.; Trinsoutrot-Gattin, I. Soil enzyme activity and stoichiometry: Linking soil microorganism resource requirement and legume carbon rhizodeposition. Agronomy 2021, 11, 2131. [Google Scholar] [CrossRef]
  50. Allison, S.D.; Vitousek, P.M. Responses of extracellular enzymes to simple and complex nutrient inputs. Soil Biol. Biochem. 2005, 37, 937–944. [Google Scholar] [CrossRef]
  51. Nava-Arsola, N.E.; Beltrán-Paz, O.; Martínez-Jardines, G.; Chávez-Vergara, B. Metabolic quotient and specific enzymatic activity in response to the addition of organic amendments to mining tailings. Int. J. Environ. Sci. Technol. 2024, 21, 4239–4250. [Google Scholar] [CrossRef]
  52. Chen, L.; Liu, L.; Mao, C.; Qin, S.; Wang, J.; Liu, F.; Blagodatsky, S.; Yang, G.; Zhang, Q.; Zhang, D.; et al. Nitrogen availability regulates topsoil carbon dynamics after permafrost thaw by altering microbial metabolic efficiency. Nat. Commun. 2018, 9, 3951. [Google Scholar] [CrossRef]
  53. Agumas, B.; Agegnehu, G.; Feyisa, T. Interactive Effect of Residue Quality and Agroecologies Modulate Soil C-and N-Cycling Enzyme Activities, Microbial Gene Abundance, and Metabolic Quotient. Appl. Environ. Soil Sci. 2024, 2024, 8498801. [Google Scholar] [CrossRef]
  54. Keller, N.; Bol, R.; Herre, M.; Marschner, B.; Heinze, S. Catchment Scale Spatial Distribution of Soil Enzyme Activities in a Mountainous German Coniferous Forest. Soil Biol. Biochem. 2023, 177, 108885. [Google Scholar] [CrossRef]
  55. Teslya, A.V.; Iashnikov, A.V.; Poshvina, D.V.; Stepanov, A.A.; Vasilchenko, A.S. Extracellular Enzymes of Soils Under Organic and Conventional Cropping Systems: Predicted Functional Potential and Actual Activity. Agronomy 2024, 14, 2634. [Google Scholar] [CrossRef]
  56. Ewunetu, T.; Selassie, Y.G.; Molla, E.; Admase, H.; Gezahegn, A. Soil properties under different land uses and slope gradients: Implications for sustainable land management in the Tach Karnuary watershed, Northwestern Ethiopia. Front. Environ. Sci. 2025, 13, 1518068. [Google Scholar] [CrossRef]
  57. Schalamuk, S.; Velázquez, S.; Cabello, M.N. Dynamics of arbuscular mycorrhizal fungi spore populations and their viability under contrasting tillage systems in wheat at different phenological stages. Biol. Agric. Hortic. 2013, 29, 38–45. [Google Scholar] [CrossRef]
  58. Selim, M.; Abdelhamid, S.A.; Mohamed, S.S. Secondary metabolites and biodiversity of actinomycetes. J. Genet. Eng. Biotechnol. 2021, 19, 72. [Google Scholar] [CrossRef] [PubMed]
  59. Newton, G.L.; Buchmeier, N.; Fahey, R.C. Biosynthesis and functions of mycothiol, the unique protective thiol of Actinobacteria. Microbiol. Mol. Biol. Rev. 2008, 72, 471–494. [Google Scholar] [CrossRef]
  60. Yandigeri, M.S.; Meena, K.K.; Singh, D.P.; Malviya, N.; Singh, D.P.; Solanki, M.K.; Yadav, A.K.; Arora, D.K. Drought-tolerant endophytic actinobacteria promote growth of wheat (Triticum aestivum) under water stress conditions. Plant Growth Regul. 2012, 68, 411–420. [Google Scholar] [CrossRef]
Figure 1. A schematic map of the study area, showing sampling points (A), and an elevation profile of the area, indicating absolute heights and distances between sampling points (B), created using Google Earth Pro data.
Figure 1. A schematic map of the study area, showing sampling points (A), and an elevation profile of the area, indicating absolute heights and distances between sampling points (B), created using Google Earth Pro data.
Agronomy 15 02588 g001
Figure 2. The spatial variability of enzyme activity values along the slope, depending on altitude, land use, and soil type. Different letters indicate statistically significant differences between treatments (p < 0.05).
Figure 2. The spatial variability of enzyme activity values along the slope, depending on altitude, land use, and soil type. Different letters indicate statistically significant differences between treatments (p < 0.05).
Agronomy 15 02588 g002
Figure 3. (A) Principal component analysis is based on the physicochemical properties and physiological activity of microbial communities. Variables are shown for factors with the largest contributions to PC1 and PC2, and explained variance is shown in parentheses. (B) PCA is based on enzymatic activity values.
Figure 3. (A) Principal component analysis is based on the physicochemical properties and physiological activity of microbial communities. Variables are shown for factors with the largest contributions to PC1 and PC2, and explained variance is shown in parentheses. (B) PCA is based on enzymatic activity values.
Agronomy 15 02588 g003
Figure 4. Taxonomic diversity (A) and structure (B) of fungal communities at the phylum level of soils as revealed by PacBio sequencing of the full-length ITS region. Analysis of the ecological role of fungi, based on the results of the FUNguild annotation (C). Identified phytopathogens (D). Different letters indicate statistically significant differences between treatments (p < 0.05).
Figure 4. Taxonomic diversity (A) and structure (B) of fungal communities at the phylum level of soils as revealed by PacBio sequencing of the full-length ITS region. Analysis of the ecological role of fungi, based on the results of the FUNguild annotation (C). Identified phytopathogens (D). Different letters indicate statistically significant differences between treatments (p < 0.05).
Agronomy 15 02588 g004
Figure 5. Diversity and taxonomic structure of bacterial communities of soils as revealed by PacBio sequencing of the full-length 16S rDNA. Alpha diversity estimated with Shannon and Chao1 indices (A). Taxonomic structure is presented at phylum level (B). Heatmap visualization of functional gene abundances across metabolic categories. Genes were predicted from shotgun metagenomic sequencing data using reCOGnizer and grouped into functional categories based on COG classifications (C). Different letters indicate statistically significant differences between treatments (p < 0.05).
Figure 5. Diversity and taxonomic structure of bacterial communities of soils as revealed by PacBio sequencing of the full-length 16S rDNA. Alpha diversity estimated with Shannon and Chao1 indices (A). Taxonomic structure is presented at phylum level (B). Heatmap visualization of functional gene abundances across metabolic categories. Genes were predicted from shotgun metagenomic sequencing data using reCOGnizer and grouped into functional categories based on COG classifications (C). Different letters indicate statistically significant differences between treatments (p < 0.05).
Agronomy 15 02588 g005
Table 1. Register of sampling points and their characteristics.
Table 1. Register of sampling points and their characteristics.
Type of Land UseGPS CoordinatesIDDescription
Fallow land56°26′49.7″ N 65°29′31.5″ EFAa1Grass–forb meadow; fallow land 5–7 years old. Gentle slope of the watershed (3–5 degrees) descending toward the Iset River valley. Transition zone between the flat plain and the floodplain terrace. Absolute altitude: 81.49 m (Google Earth data). The nearest distance to the Ingala River bed is 6.48 km, to the Iset—3.5 km. The distance from rivers (more than 3 km) excludes direct alluvial influence. Meadow chernozem soil (WRB: Gleyic Chernozem).
Fallow land56°26′36.3″ N 65°30′17.9″ EFAa2A 4–6-year-old fallow land, dominated by a cereal-legume community, with an absolute altitude of 124.13 m. The site is located on a flat surface of a plateau. The nearest distance to the Ingala River is 5.8 km and to the Iset River is 4.32 km. This area is located on the watershed of the Iset and Ingala Rivers. The soil type is leached sandy agrochernozem, (WRB: Haplic Chernozem (Agric, Postluvic, Arenic)).
Arable land56°25′21.3″ N 65°32′26.8″ EFA-P1Crop type: Pea crop. Gentle slope of the watershed (2–4 degrees). Transition zone from the center of the basin to the lower part of the slope. Absolute altitude: 102 m. The nearest distance to the Ingala River is 5.1 km and to the Iset is 7.27 km. Leached agrochernozem (WRB: Anthric Luvic Chernozem).
Four-field crop rotation: Winter wheat—Spring wheat—Peas (2024)—Fallow
Arable land56°26′13.9″ N 65°31′38.8″ EFA-P2Peas are grown on a gentle slope of the watershed plateau (2–3 degrees). Absolute altitude: 114 m. The nearest distance to the Ingala River bed is 4.76 km, and to the Iset is 5.44 km. Leached agrochernozem (WRB: Anthric Luvic Chernozem).
Four-field crop rotation: Fallow—Winter wheat—Peas (2024)—Spring wheat
Arable land56°25′26.3″ N 65°40′06.8″ EFA-W1Crop type: wheat. Absolute altitude: 64 m. Low floodplain terrace of the Ingala River (slope < 1 degree). The nearest distance to the Ingala River bed is 1.45 km, and to the Iset is 8.92 km. Agrogenically transformed alluvial dark humus soil. (WRB: Anthric Fluvic Phaeozem).
Four-field crop rotation: Fallow–Winter wheat–Peas–Spring wheat (2024)
Arable land56°25′25.2″ N 65°43′40.8″ EFA-W2Crop type: wheat. Absolute elevation: 62.01 m. Low-lying floodplain terrace of the Ingala River with a minimal slope (<1 degree). The nearest distance to the Ingala River bed is 2.31 km, and to the Iset is 9.17 km. Agrogenically transformed alluvial dark humus soil. (WRB: Anthric Fluvic Phaeozem).
Four-field crop rotation: Fallow–Winter wheat (2024)–Peas–Spring wheat.
Table 2. Ecophysiological coefficients of the functional activity of microbial communities under conditions of slope agricultural landscapes. Different letters indicate statistically significant differences between treatments (p < 0.05).
Table 2. Ecophysiological coefficients of the functional activity of microbial communities under conditions of slope agricultural landscapes. Different letters indicate statistically significant differences between treatments (p < 0.05).
QRqCO2MBSIR/TCqCO2/TC
FAa10.08 ± 0.01 a1.96 ± 0.27 a4.51 ± 0.15 a0.27 ± 0.04 c
FAa20.12 ± 0.01 b3.01 ± 0.16 b0.76 ± 0.06 b0.13 ± 0.01 b
FA-P10.07 ± 0.01 a1.78 ± 0.14 a0.93 ± 0.07 a0.05 ± 0.004 a
FA-P20.11 ± 0.001 b2.65 ± 0.04 b1.77 ± 0.13 b0.19 ± 0.003 c
FA-W10.08 ± 0.003 a1.96 ± 0.07 a1.09 ± 0.04 a0.06 ± 0.002 a
FA-W20.08 ± 0.03 ab2.1 ± 0.73 ab0.88 ± 0.09 c0.08 ± 0.03 ab
Disclaimer/Publisher’s Note: The statements, opinions and data contained in all publications are solely those of the individual author(s) and contributor(s) and not of MDPI and/or the editor(s). MDPI and/or the editor(s) disclaim responsibility for any injury to people or property resulting from any ideas, methods, instructions or products referred to in the content.

Share and Cite

MDPI and ACS Style

Teslya, A.V.; Poshvina, D.V.; Stepanov, A.A.; Vasilchenko, A.S. The Topographic Template: Coordinated Shifts in Soil Chemistry, Microbiome, and Enzymatic Activity Across a Fluvial Landscape. Agronomy 2025, 15, 2588. https://doi.org/10.3390/agronomy15112588

AMA Style

Teslya AV, Poshvina DV, Stepanov AA, Vasilchenko AS. The Topographic Template: Coordinated Shifts in Soil Chemistry, Microbiome, and Enzymatic Activity Across a Fluvial Landscape. Agronomy. 2025; 15(11):2588. https://doi.org/10.3390/agronomy15112588

Chicago/Turabian Style

Teslya, Anastasia V., Darya V. Poshvina, Artyom A. Stepanov, and Alexey S. Vasilchenko. 2025. "The Topographic Template: Coordinated Shifts in Soil Chemistry, Microbiome, and Enzymatic Activity Across a Fluvial Landscape" Agronomy 15, no. 11: 2588. https://doi.org/10.3390/agronomy15112588

APA Style

Teslya, A. V., Poshvina, D. V., Stepanov, A. A., & Vasilchenko, A. S. (2025). The Topographic Template: Coordinated Shifts in Soil Chemistry, Microbiome, and Enzymatic Activity Across a Fluvial Landscape. Agronomy, 15(11), 2588. https://doi.org/10.3390/agronomy15112588

Note that from the first issue of 2016, this journal uses article numbers instead of page numbers. See further details here.

Article Metrics

Back to TopTop