The Effect of Farming Management and Crop Rotation Systems on Chlorophyll Content, Dry Matter Translocation, and Grain Quantity and Quality of Wheat (Triticum aestivum L.) Grown in a Semi-Arid Region of Iran
Abstract
1. Introduction
2. Materials and Methods
2.1. Study Area
2.2. Experimental Design
2.3. Sampling and Analysis
2.3.1. Determination of Chlorophyll Content and Photosynthesis Parameters
2.3.2. Measurement of Quantity and Quality of Grain Wheat
2.4. Statistical Analyses
3. Results
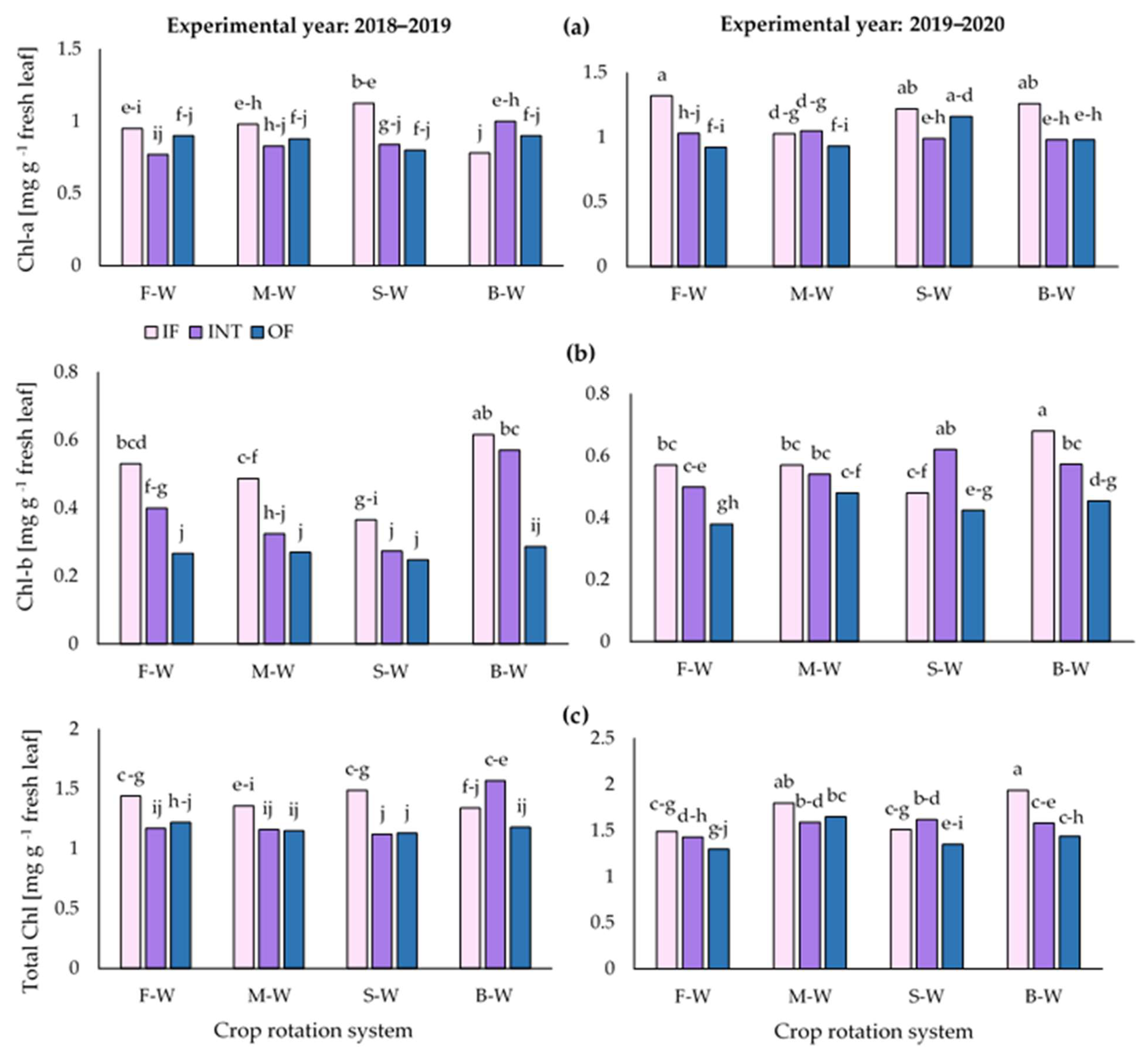
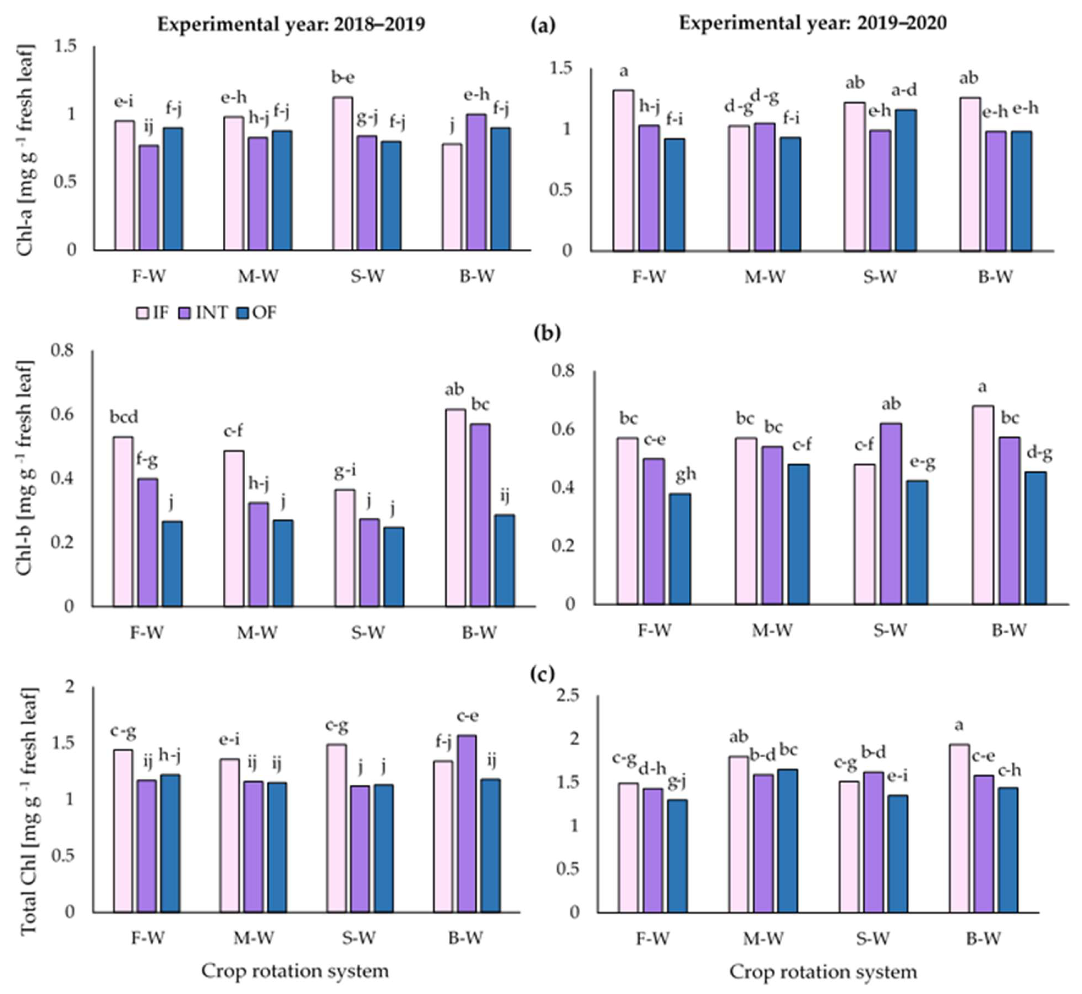
3.1. Effect of Year and Treatment Interactions on Chlorophyll Contents
3.2. Effects of Year and Treatment Interactions on Dry Matter Translocation Parameters
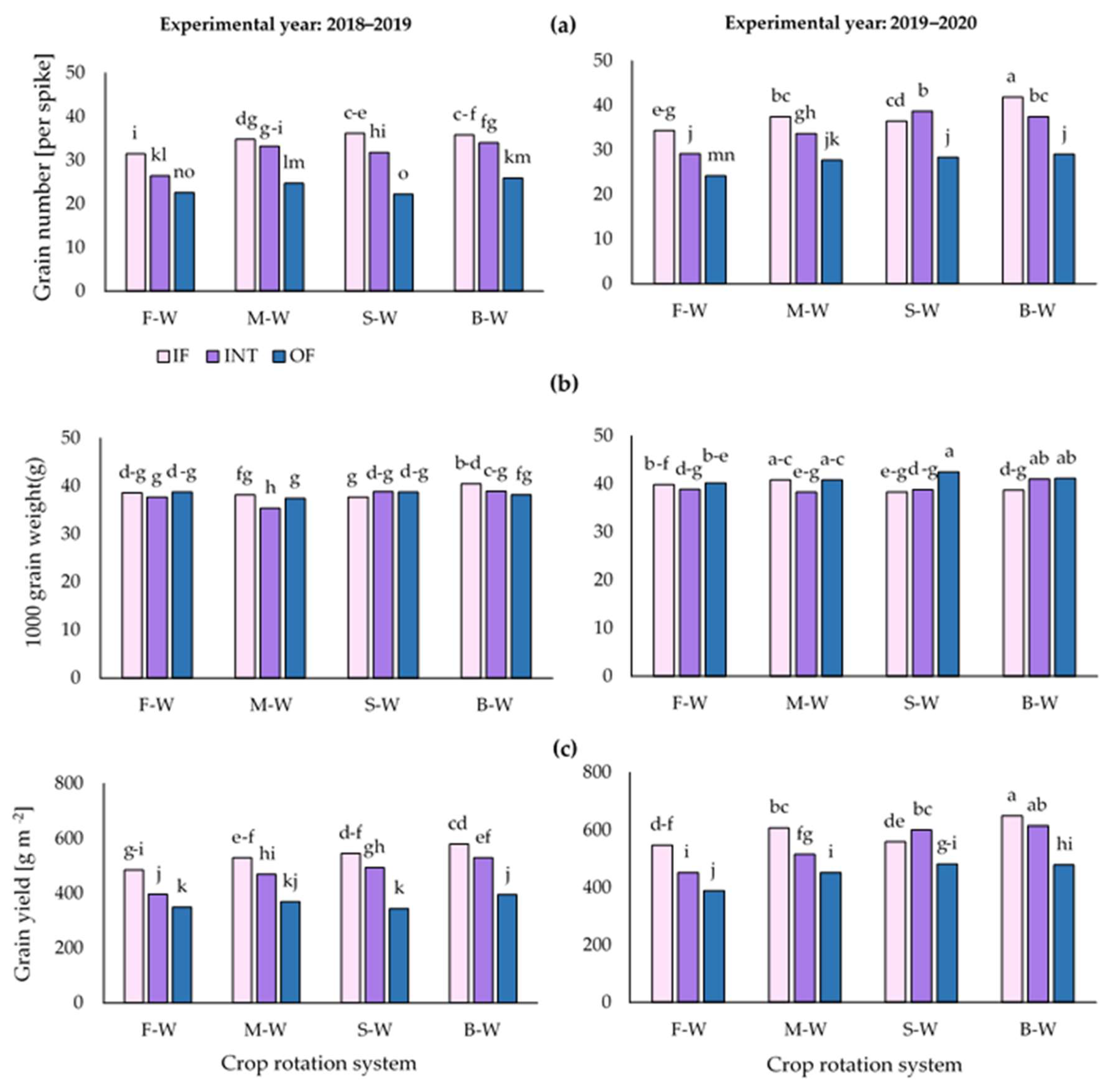
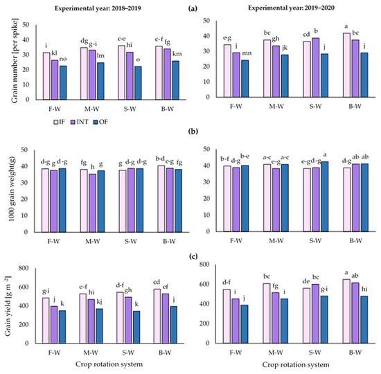
3.3. Effect of Year and Interaction of the Treatments on Wheat Yield Components
3.4. Main and Interaction Effects of the Treatments on Wheat Grain Protein Content
4. Discussion
4.1. Effect of Year and Treatment Interactions on Chlorophyll Contents and Dry Matter Translocation
4.2. Effect of Year and Treatment Interactions on Wheat Yield Components
4.3. Effect of Year and Treatment Interactions on Wheat Grain Protein Content
5. Conclusions
Supplementary Materials
Author Contributions
Funding
Institutional Review Board Statement
Informed Consent Statement
Data Availability Statement
Conflicts of Interest
References
- Geng, Y.; Cao, G.; Wang, L.; Wang, S. Effects of equal chemical fertilizer substitutions with organic manure on yield, dry matter, and nitrogen uptake of spring maize and soil nitrogen distribution. PLoS ONE 2019, 14, e0219512. [Google Scholar] [CrossRef] [PubMed]
- Berthrong, S.T.; Buckley, D.H.; Drinkwater, L.E. Agricultural management and labile carbon additions affect soil microbial community structure and interact with carbon and nitrogen cycling. Microb. Ecol. 2013, 66, 158–170. [Google Scholar] [CrossRef]
- Benton, T.G.; Vickery, J.A.; Wilson, J.D. Farmland biodiversity: Is habitat heterogeneity the key? Trends Ecol. Evol. 2003, 18, 182–188. [Google Scholar] [CrossRef]
- Reganold, J.P. Soil quality and profitability of biodynamic and conventional farming systems: A review. Am. J. Altern. Agric. 1995, 10, 36–45. [Google Scholar] [CrossRef]
- Rasul, G.; Thapa, G.B. Sustainability of ecological and conventional agricultural systems in Bangladesh: An assessment based on environmental, economic and social perspectives. Agric. Syst. 2004, 79, 327–351. [Google Scholar] [CrossRef]
- Olesen, J.E.; Schelde, K.; Weiske, A.; Weisbjerg, M.R.; Asman, W.A.; Djurhuus, J. Modelling greenhouse gas emissions from European conventional and organic dairy farms. Agric. Ecosyst. Environ. 2006, 112, 207–220. [Google Scholar] [CrossRef]
- Petersen, H. Effects of non-inverting deep tillage vs. conventional ploughing on collembolan populations in an organic wheat field. Eur. J. Soil Biol. 2002, 38, 177–180. [Google Scholar] [CrossRef]
- Morgan, K.; Murdoch, J. Organic vs. conventional agriculture: Knowledge, power and innovation in the food chain. Geoforum 2000, 31, 159–173. [Google Scholar] [CrossRef]
- Shennan, C.; Krupnik, T.J.; Baird, G.; Cohen, H.; Forbush, K.; Lovell, R.J.; Olimpi, E.M. Organic and conventional agriculture: A useful framing? Annu. Rev. Environ. Resour. 2017, 42, 317–346. [Google Scholar] [CrossRef]
- Willer, H.; Lernoud, J. The World of Organic Agriculture. Statistics and Emerging Trends 2017; Research Institute of Organic Agriculture FiBL: Frick, Switzerland; IFOAM-Organics International: Bonn, Germany, 2017; 336p. [Google Scholar]
- Bengtsson, J.; Ahnström, J.; Weibull, A.C. The effects of organic agriculture on biodiversity and abundance: A meta-analysis. J. Appl. Ecol. 2005, 42, 261–269. [Google Scholar] [CrossRef]
- Hammad, H.M.; Khaliq, A.; Abbas, F.; Farhad, W.; Fahad, S.; Aslam, M.; Shah, G.M.; Nasim, W.; Mubeen, M.; Bakhat, H.F. Comparative effects of organic and inorganic fertilizers on soil organic carbon and wheat productivity under arid region. Commun. Soil. Sci. Plant. Anal. 2020, 51, 406–422. [Google Scholar] [CrossRef]
- Reganold, J.P. Effects of Alternative and Conventional Farming Systems on Agricultural Sustainability; FFTC: Taipei, Taiwan, 1992; pp. 1–5. [Google Scholar]
- Berresaw, M.K.; Zikhali, P.; Manjur, K.; Edwards, S. Adoption of sustainable agriculture practices: Evidence from a semi-arid region of Ethiopi. Nat. Resour. 2010, 33, 189–198. [Google Scholar]
- Królczyk, J.B.; Latawiec, A.E.; Kuboń, M. Sustainable agriculture-the potential to increase wheat and rapeseed yields in Poland. Pol. J. Environ. Stud. 2014, 23, 663–672. [Google Scholar]
- Petrescu-Mag, R.M.; Banatean-Dunea, I.; Vesa, S.C.; Copacinschi, S.; Petrescu, D.C. What do Romanian farmers think about the effects of pesticides? Perceptions and willingness to pay for bio-pesticides. Sustainability 2019, 11, 3628. [Google Scholar] [CrossRef]
- Akinbile, C.O.; Adefolaju, S.; Ajibade, F.O. Effect of organic and inorganic fertilizer on the growth and yield of amaranthus curentus in Akure, Ondo State, Nigeria. J. Agric. Soc. Res. 2014, 2, 1–8. [Google Scholar]
- Agegnehu, G.; Tsigie, A.; Tesfaye, A. Evaluation of crop residue retention, compost and inorganic fertilizer application on barley productivity and soil chemical properties in the central Ethiopian highlands. Ethiop. J. Agric. Sci. 2012, 22, 45–61. [Google Scholar]
- Khan, M.U.; Qasim, M.; Khan, I.U.; Qasim, M.; Khan, I.U. Effect of integrated nutrient management on crop yields in rice-wheat cropping system. Sarhad J. Agric. 2007, 23, 1019. [Google Scholar]
- Sarwar, G.; Schmeisky, H.; Hussain, N.; Muhammad, S.; Tahir, M.A.; Saleem, U. Variations in nutrient concentrations of wheat and paddy as affected by different levels of compost and chemical fertilizer in normal soil. Pak. J. Bot. 2009, 41, 2403–2410. [Google Scholar]
- Berzsenyi, Z.; Győrffy, B.; Lap, D. Effect of crop rotation and fertilisation on maize and wheat yields and yield stability in a long-term experiment. Eur. J. Agron. 2000, 13, 225–244. [Google Scholar] [CrossRef]
- Hegarty, M.; Keehner, M.; Cohen, C.; Montello, D.R.; Lippa, Y. The role of spatial cognition in medicine: Applications for selecting and training professionals. In Applied Spatial Cognition; Psychology Press: London, UK, 2020; pp. 285–316. [Google Scholar]
- Dill-Macky, R.; Jones, R.K. The effect of previous crop residues and tillage on Fusarium head blight of wheat. Plant Dis. 2000, 84, 71–76. [Google Scholar] [CrossRef]
- Bekewe, P.E. Building Soil and Food Security in Wheat Production Systems in Texas. Ph.D. Thesis, Texas A&M University, College Station, TX, USA, 2021. [Google Scholar]
- Mourtzinis, S.; Marburger, D.; Gaska, J.; Diallo, T.; Lauer, J.G.; Conley, S. Corn soybean, and wheat yield response to crop rotation, nitrogen rates, and foliar fungicide application. Crop Sci. 2017, 57, 983–992. [Google Scholar] [CrossRef]
- Marburger, D.A.; Mourtzinis, S.; Gaska, J.M.; Conley, S.P. Do crop rotation and tillage influence soybean seed-applied inoculant decisions? Agron. J. 2016, 108, 402–406. [Google Scholar] [CrossRef]
- Faligowska, A.; Szymańska, G.; Panasiewicz, K.; Szukała, J.; Koziara, W.; Ratajczak, K. The long-term effect of legumes as fore crops on the productivity of rotation (winter rape-winter wheat-winter wheat) with nitrogen fertilization. Plant Soil Environ. 2019, 65, 138–144. [Google Scholar] [CrossRef]
- Wittmann, C.; Aschan, G.; Pfanz, H. Leaf and twig photosynthesis of young beech (Fagus sylvatica) and aspen (Populus tremula) trees grown under different light regime. Basic Appl. Ecol. 2001, 2, 145–154. [Google Scholar] [CrossRef]
- Iqbal, A.; He, L.; Ali, I.; Ullah, S.; Khan, A.; Khan, A.; Akhtar, K.; Wei, S.; Zhao, Q.; Zhang, J.; et al. Manure combined with chemical fertilizer increases rice productivity by improving soil health, post-anthesis biomass yield, and nitrogen metabolism. PLoS ONE 2020, 15, e0238934. [Google Scholar]
- Ali, I.; Zhao, Q.; Wu, K.; Ullah, S.; Iqbal, A.; Liang, H.; Zhang, J.; Muhammad, I.; Khan, A.; Khan, A.A.; et al. Biochar in combination with nitrogen fertilizer is a technique: To enhance physiological and morphological traits of Rice (Oryza sativa L.) by improving soil physio-biochemical properties. Plant Growth Regul. 2022, 6, 2406–2420. [Google Scholar] [CrossRef]
- Ding, J.; Zi, Y.; Li, C.; Peng, Y.; Zhu, X.; Guo, W. Dry matter accumulation, partitioning, and remobilization in high-yielding wheat under rice–wheat rotation in China. Agron. J. 2016, 108, 604–614. [Google Scholar] [CrossRef]
- Papakosta, D.K.; Gagianas, A.A. Nitrogen and dry matter accumulation, remobilization, and losses for Mediterranean wheat during grain filling. Agron. J. 1991, 83, 864–870. [Google Scholar] [CrossRef]
- Ronga, D.; Zaccardelli, M.; Lovelli, S.; Perrone, D.; Francia, E.; Milc, J.; Ulrici, A.; Pecchioni, N. Biomass production and dry matter partitioning of processing tomato under organic vs conventional cropping systems in a Mediterranean environment. Sci. Hortic. 2017, 224, 163–170. [Google Scholar] [CrossRef]
- Smith, M.R.; Rao, I.M.; Merchant, A. Source-sink relationships in crop plants and their influence on yield development and nutritional quality. Front. Plant Sci. 2018, 9, 1889. [Google Scholar] [CrossRef]
- Hobbs, P.R.; Sayre, K.; Gupta, R. The role of conservation agriculture in sustainable agriculture. Philos. Trans. R. Soc. B Biol. Sci. 2008, 12, 543–555. [Google Scholar] [CrossRef]
- Gorooei, A.; Aynehband, A.; Rahnama, A.; Gaiser, T.; Kamali, B. Cropping systems and agricultural management strategies affect soil organic carbon dynamics in semi-arid regions. Front. Sustain. Food Syst. 2023, 6, 655. [Google Scholar] [CrossRef]
- Salaree, A.; Mansouri, R.; Okal, E.A. The intriguing tsunami of 19 March 2017 at Bandar Dayyer, Iran: Field survey and simulations. Nat. Hazards 2018, 90, 1277–1307. [Google Scholar] [CrossRef]
- Iqbal, A.; He, L.; Ali, I.; Ullah, S.; Khan, A.; Akhtar, K.; Wei, S.; Fahad, S.; Khan, R.; Jiang, L. Co-incorporation of manure and inorganic fertilizer improves leaf physiological traits, rice production and soil functionality in a paddy field. Sci. Rep. 2021, 11, 10048. [Google Scholar] [CrossRef]
- Porra, R.J.; Thompson, W.A.; Kriedemann, P.E. Determination of accurate extinction coefficients and simultaneous equations for assaying chlorophylls a and b extracted with four different solvents: Verification of the concentration of chlorophyll standards by atomic absorption spectroscopy. Biochim. Biophys. Acta BBA Bioenerg. 1989, 975, 384–394. [Google Scholar] [CrossRef]
- Arnon, D.I. Copper enzymes in isolated chloroplasts. Polyphenoloxidase in Beta vulgaris. Plant Physiol. 1949, 24, 1–15. [Google Scholar] [CrossRef]
- Shah, S.H.; Houborg, R.; McCabe, M.F. Response of chlorophyll, carotenoid and SPAD-502 measurement to salinity and nutrient stress in wheat (Triticum aestivum L.). Agronomy 2017, 12, 61. [Google Scholar] [CrossRef]
- Xu, Z.Z.; Yu, Z.W.; Wang, D.; Zhang, Y.L. Nitrogen accumulation and translocation for winter wheat under different irrigation regimes. J. Agron. Crop Sci. 2005, 191, 439–449. [Google Scholar] [CrossRef]
- Ntanos, D.A.; Koutroubas, S.D. Dry matter and N accumulation and translocation for Indica and Japonica rice under Mediterranean conditions. Field Crops Res. 2002, 74, 93–101. [Google Scholar] [CrossRef]
- Lee, Y.J.; Shukla, S.D. Pro-and anti-apoptotic roles of c-Jun N-terminal kinase (JNK) in ethanol and acetaldehyde exposed rat hepatocytes. Eur. J. Agron. 2005, 508, 31–45. [Google Scholar] [CrossRef]
- McDonald, C.E. Methods of Protein Analysis and Variation in Protein Results. Farm Res. 1977, 34, 5. [Google Scholar]
- Velp Scientifica. N/Protein Determination in Cereals According to the Kjeldahl Method; Velp Scientifica: Usmate Velate, Italy, 2013; AOAC 979.09 Protein in Grains; AACC 46.11 A. [Google Scholar]
- SAS Institute. Base SAS 9.4 Procedures Guide; SAS Institute: Cary, NC, USA, 2015. [Google Scholar]
- Onofri, A. Routine statistical analyses of field experiments by using an Excel extension. In Proceedings of the 6th National Conference of Italian Biometric Society “La Statistica nelle Scienze della Vita e dell’Ambiente”, Pisa, Italy, 20–22 June 2007; Volume 20, pp. 93–96. [Google Scholar]
- Pandey, V.; Patel, A.; Patra, D.D. Amelioration of mineral nutrition, productivity, antioxidant activity and aroma profile in marigold (Tagetes minuta L.) with organic and chemical fertilization. Ind. Crops Prod. 2015, 15, 378–385. [Google Scholar] [CrossRef]
- Amujoyegbe, B.J.; Opabode, J.T.; Olayinka, A. Effect of organic and inorganic fertilizer on yield and chlorophyll content of maize (Zea mays L.) and sorghum Sorghum bicolour (L.) Moench. Afr. J. Biotechnol. 2007, 6. [Google Scholar] [CrossRef]
- Seleiman, M.F.; Almutairi, K.F.; Alotaibi, M.; Shami, A.; Alhammad, B.A.; Battaglia, M.L. Nano-fertilization as an emerging fertilization technique: Why can modern agriculture benefit from its use? Plants 2021, 10, 2. [Google Scholar] [CrossRef]
- Blum, A. Improving wheat grain filling under stress by stem reserve mobilisation. Euphytica 1998, 100, 77–83. [Google Scholar] [CrossRef]
- Lawlor, D.W. Carbon and nitrogen assimilation in relation to yield: Mechanisms are the key to understanding production systems. J. Exp. Bot. 2002, 53, 773–787. [Google Scholar] [CrossRef]
- Wang, X.; Cai, J.; Jiang, D.; Liu, F.; Dai, T.; Cao, W. Pre-anthesis high-temperature acclimation alleviates damage to the flag leaf caused by post-anthesis heat stress in wheat. J. Plant Physiol. 2011, 168, 585–593. [Google Scholar] [CrossRef]
- Sellers, P.J.; Berry, J.A.; Collatz, G.J.; Field, C.B.; Hall, F.G. Canopy reflectance, photosynthesis, and transpiration. III. A reanalysis using improved leaf models and a new canopy integration scheme. Remote Sens. Environ. 1992, 42, 187–216. [Google Scholar] [CrossRef]
- Reynolds, M.P.; Gutiérrez-Rodríguez, M.; Larqué-Saavedra, A. Photosynthesis of wheat in a warm, irrigated environment: I: Genetic diversity and crop productivity. Field Crops Res. 2000, 66, 37–50. [Google Scholar] [CrossRef]
- Stopes, C.; Millington, S.; Woodward, L. Dry matter and nitrogen accumulation by three leguminous green manure species and the yield of a following wheat crop in an organic production system. Agric. Ecosyst. Environ. 1996, 57, 189–196. [Google Scholar] [CrossRef]
- Gregorich, E.G.; Drury, C.F.; Baldock, J.A. Changes in soil carbon under long-term maize in monoculture and legume-based rotation. Can. J. Soil Sci. 2001, 81, 21–31. [Google Scholar] [CrossRef]
- Ercoli, L.; Lulli, L.; Mariotti, M.; Masoni, A.; Arduini, I. Post-anthesis dry matter and nitrogen dynamics in durum wheat as affected by nitrogen supply and soil water availability. Eur. J. Agron. 2008, 28, 138–147. [Google Scholar] [CrossRef]
- Körschens, M.; Albert, E.; Armbruster, M.; Barkusky, D.; Baumecker, M.; Behle-Schalk, L.; Bischoff, R.; Čergan, Z.; Ellmer, F.; Herbst, F.; et al. Effect of mineral and organic fertilization on crop yield, nitrogen uptake, carbon and nitrogen balances, as well as soil organic carbon content and dynamics: Results from 20 European long-term field experiments of the twenty-first century. Arch. Agron. Soil Sci. 2013, 59, 1017–1040. [Google Scholar] [CrossRef]
- Yang, J.; Zhang, J.; Huang, Z.; Zhu, Q.; Wang, L. Remobilization of carbon reserves is improved by controlled soil-drying during grain filling of wheat. Crop Sci. 2000, 40, 1645–1655. [Google Scholar] [CrossRef]
- Efthimiadou, A.; Bilalis, D.; Karkanis, A.; Froud-Williams, B. Combined organic/inorganic fertilization enhance soil quality and increased yield, photosynthesis and sustainability of sweet maize crop. Ital. J. Agron. 2010, 4, 722–729. [Google Scholar]
- Pampana, S.; Mariotti, M.; Ercoli, L.; Masoni, A. Remobilization of dry matter, nitrogen and phosphorus in durum wheat as affected by genotype and environment. Ital. J. Agron. 2007, 30, 303–314. [Google Scholar] [CrossRef]
- Inoue, T.; Inanaga, S.; Sugimoto, Y.E.L.; Siddig, K. Contribution of pre-anthesis assimilates and current photosynthesis to grain yield, and their relationships to drought resistance in wheat cultivars grown under different soil moisture. Photosynthetica 2004, 42, 99–104. [Google Scholar] [CrossRef]
- Asseng, S.; Van Herwaarden, A.F. Analysis of the benefits to wheat yield from assimilates stored prior to grain filling in a range of environments. Plant Soil 2003, 256, 217–229. [Google Scholar] [CrossRef]
- Kaur, T.; Brar, B.S.; Dhillon, N.S. Soil organic matter dynamics as affected by long-term use of organic and inorganic fertilizers under maize–wheat cropping system. Nutr. Cycl. Agroecosyst. 2008, 81, 59–69. [Google Scholar] [CrossRef]
- Sarkar, S.; Singh, S.R.; Singh, R.P. The effect of organic and inorganic fertilizers on soil physical condition and the productivity of a rice–lentil cropping sequence in India. J. Agric. Sci. 2003, 140, 419–425. [Google Scholar] [CrossRef]
- Campiglia, E.; Mancinelli, R.; De Stefanis, E.; Pucciarmati, S.; Radicetti, E. The long-term effects of conventional and organic cropping systems, tillage managements and weather conditions on yield and grain quality of durum wheat (Triticum durum Desf.) in the Mediterranean environment of Central Italy. Field Crops Res. 2015, 176, 34–44. [Google Scholar] [CrossRef]
- Hauggaard-Nielsen, H.; Ambus, P.; Jensen, E.S. The comparison of nitrogen use and leaching in sole cropped versus intercropped pea and barley. Nutr. Cycl. Agroecosyst. 2003, 65, 289–300. [Google Scholar] [CrossRef]
- Maltas, A.; Kebli, H.; Oberholzer, H.R.; Weisskopf, P.; Sinaj, S. The effects of organic and mineral fertilizers on carbon sequestration, soil properties, and crop yields from a long-term field experiment under a Swiss conventional farming system. Land Degrad. Dev. 2018, 29, 926–938. [Google Scholar] [CrossRef]
- Fageria, N.K.; Filho, M.B.; Moreira, A.; Guimarães, C.M. Foliar fertilization of crop plants. J. Plant Nutr. 2009, 32, 1044–1064. [Google Scholar] [CrossRef]
- Plaza-Bonilla, D.; Nolot, J.M.; Passot, S.; Raffaillac, D.; Justes, E. Grain legume-based rotations managed under conventional tillage need cover crops to mitigate soil organic matter losses. Soil Tillage Res. 2016, 156, 33–43. [Google Scholar] [CrossRef]
- López-Bellido, L.; Fuentes, M.; Castillo, J.; López-Garrido, F.; Fernández, E. Long-term tillage, crop rotation, and nitrogen fertilizer effects on wheat yield under rain fed Mediterranean conditions. Agro J. 1996, 791, 783–791. [Google Scholar] [CrossRef]
- Nuttall, J.G.; O’Leary, G.J.; Panozzo, J.F.; Walker, C.K.; Barlow, K.M.; Fitzgerald, G.J. Models of grain quality in wheat—A review. Field Crops Res. 2017, 202, 136–145. [Google Scholar] [CrossRef]
- Zörb, C.; Niehaus, K.; Barsch, A.; Betsche, T.; Langenkämper, G. Levels of compounds and metabolites in wheat ears and grains in organic and conventional agriculture. J. Agric. Food Chem. 2009, 57, 9555–9562. [Google Scholar] [CrossRef]
- Dawson, J.C.; Huggins, D.R.; Jones, S.S. Characterizing nitrogen use efficiency in natural and agricultural ecosystems to improve the performance of cereal crops in low-input and organic agricultural systems. Field Crops Res. 2008, 107, 89–101. [Google Scholar] [CrossRef]
- Johnson, J.M.; Barbour, N.W.; Weyers, S.L. Chemical composition of crop biomass impacts its decomposition. Soil Sci. Soc. Am. J. 2007, 71, 155–162. [Google Scholar] [CrossRef]







| IF | OF | INT | ||||||||||
|---|---|---|---|---|---|---|---|---|---|---|---|---|
| W | B | M | S | W | B | M | S | W | B | M | S | |
| Organic/biological fertilisers | ||||||||||||
| Vermicompost (t ha−1) | - | - | - | - | 3.3 | 3.3 | 3.3 | 3.3 | 1.7 | 1.7 | 1.7 | 1.7 |
| Manure compost (t ha−1) | - | - | - | - | 10 | 10 | 13.3 | 10 | 5 | 5 | 6.7 | 5 |
| Humic acid (kg ha−1) 1 | - | - | - | - | 20 | - | - | - | 10 | - | - | - |
| Biological phosphate (l ha−1) 2 | - | - | - | - | 4 | - | - | - | 2 | - | - | - |
| Crop residues return to soil (t ha−1) | Removed from the soil | 0.9 | 2.88 | 3.93 | 1.29 | 0.45 | 1.44 | 1.965 | 0.645 | |||
| Inorganic fertilisers | ||||||||||||
| Nitrogen (kg ha−1) 3 | 110 | 30 | 200 | 75 | - | - | - | - | 55 | 15 | 100 | 37.5 |
| Phosphorus (kg ha−1) | 100 | 50 | 100 | 50 | - | - | - | - | 50 | 25 | 50 | 25 |
| Potassium (kg ha−1) | 100 | 50 | 100 | 50 | - | - | - | - | 50 | 25 | 50 | 25 |
| Control of weed 4 | 10 L ha−1 Roundup | - | - | - | Manually | 5 L ha−1 Roundup+Manually | Manually | |||||
| Fungicide (g kg−1 seed) 5 | 160 | 45 | - | - | - | - | 80 | - | 23 | - | ||
| Source | df | Chl-a | Chl-b | Total Chl | DMR | PAP |
|---|---|---|---|---|---|---|
| Year (Y) | 1 | 0.51 ** | 0.35 ** | 1.7 ** | 1726 NS | 62078 ** |
| Farming management practice (F) | 2 | 0.13 ** | 0.191 ** | 0.53 ** | 6753 ** | 152919 ** |
| Crop rotation system (CS) | 3 | 0.012 * | 0.045 ** | 0.05 * | 9044 ** | 10988 ** |
| Y × CS | 3 | 0.041 * | 0.03 ** | 0.04 NS | 1509 NS | 1172 NS |
| Y × F | 2 | 0.054 * | 0.007 NS | 0.02 NS | 1918 * | 1727 NS |
| F × CS | 6 | 0.023 NS | 0.015 ** | 0.03 NS | 2622 ** | 6588 ** |
| Y × F × CS | 6 | 0.053 ** | 0.012 ** | 0.09 ** | 1749 * | 2584 * |
| Error Y (Y × R) | 4 | 0.023 | 0.002 | 0.03 | 188 | 688 |
| Error F × Y (F × Y × R) | 8 | 0.0121 | 0.0013 | 0.013 | 991 | 805 |
| Error | 36 | 0.012 | 0.002 | 0.017 | 532 | 970 |
| C.V | 11.16 | 12.1 | 9.2 | 15.5 | 9.08 |
| Source | df | Yield Components | Quality Parameter | |||
|---|---|---|---|---|---|---|
| Grain Number per Spike | 1000 Grain Weight | Spike per m−2 | Grain Yield | Grain Protein | ||
| Year (Y) | 1 | 194.8 ** | 53.102 ** | 13.34 NS | 93071.1 ** | 4.67 ** |
| Farm management practice (F) | 2 | 692.9 ** | 9.54 ** | 7.59 NS | 148671 ** | 7.88 ** |
| Crop rotation system (CS) | 3 | 115.4 ** | 4.8 * | 42.9 NS | 33530 ** | 9.25 ** |
| Y × CS | 3 | 7.11 ** | 3.44 NS | 4.16 NS | 959 NS | 1.31 NS |
| Y × F | 2 | 0.56 NS | 7.4 * | 1.93 NS | 1386.4 * | 2.58 * |
| F × CS | 6 | 8.99 ** | 5.5 ** | 10.37 NS | 3316 ** | 9.72 ** |
| Y × F × CS | 6 | 8.69 ** | 2.85 NS | 6.48 NS | 1959 ** | 1.12 NS |
| Error Y (Y × R) | 4 | 1.054 | 0.548 | 3.97 | 115.15 | 0.48 |
| Error F × Y (F × Y × R) | 8 | 1.4 | 1.35 | 6.28 | 208 | 0.31 |
| Error | 36 | 1.38 | 1.46 | 5.42 | 428.45 | 0.49 |
| C.V | 3.73 | 3.09 | 0.65 | 4.19 | 7.2 | |
Disclaimer/Publisher’s Note: The statements, opinions and data contained in all publications are solely those of the individual author(s) and contributor(s) and not of MDPI and/or the editor(s). MDPI and/or the editor(s) disclaim responsibility for any injury to people or property resulting from any ideas, methods, instructions or products referred to in the content. |
© 2023 by the authors. Licensee MDPI, Basel, Switzerland. This article is an open access article distributed under the terms and conditions of the Creative Commons Attribution (CC BY) license (https://creativecommons.org/licenses/by/4.0/).
Share and Cite
Gorooei, A.; Gaiser, T.; Aynehband, A.; Rahnama, A.; Kamali, B. The Effect of Farming Management and Crop Rotation Systems on Chlorophyll Content, Dry Matter Translocation, and Grain Quantity and Quality of Wheat (Triticum aestivum L.) Grown in a Semi-Arid Region of Iran. Agronomy 2023, 13, 1007. https://doi.org/10.3390/agronomy13041007
Gorooei A, Gaiser T, Aynehband A, Rahnama A, Kamali B. The Effect of Farming Management and Crop Rotation Systems on Chlorophyll Content, Dry Matter Translocation, and Grain Quantity and Quality of Wheat (Triticum aestivum L.) Grown in a Semi-Arid Region of Iran. Agronomy. 2023; 13(4):1007. https://doi.org/10.3390/agronomy13041007
Chicago/Turabian StyleGorooei, Aram, Thomas Gaiser, Amir Aynehband, Afrasyab Rahnama, and Bahareh Kamali. 2023. "The Effect of Farming Management and Crop Rotation Systems on Chlorophyll Content, Dry Matter Translocation, and Grain Quantity and Quality of Wheat (Triticum aestivum L.) Grown in a Semi-Arid Region of Iran" Agronomy 13, no. 4: 1007. https://doi.org/10.3390/agronomy13041007
APA StyleGorooei, A., Gaiser, T., Aynehband, A., Rahnama, A., & Kamali, B. (2023). The Effect of Farming Management and Crop Rotation Systems on Chlorophyll Content, Dry Matter Translocation, and Grain Quantity and Quality of Wheat (Triticum aestivum L.) Grown in a Semi-Arid Region of Iran. Agronomy, 13(4), 1007. https://doi.org/10.3390/agronomy13041007

