Seed Protein Genetics Linked with Nitrogen and Phosphorus Translocation Efficiency in Soybean
Abstract
1. Introduction
2. Materials and Methods
2.1. Plant Materials and Growth Conditions of Field Trials
2.2. Plant Sampling and Trait Evaluation
2.3. Genotyping by High-Throughput Sequencing
2.4. SNP Identification and Bin Map Construction
2.5. QTL Detection and Statistical Analysis
3. Results
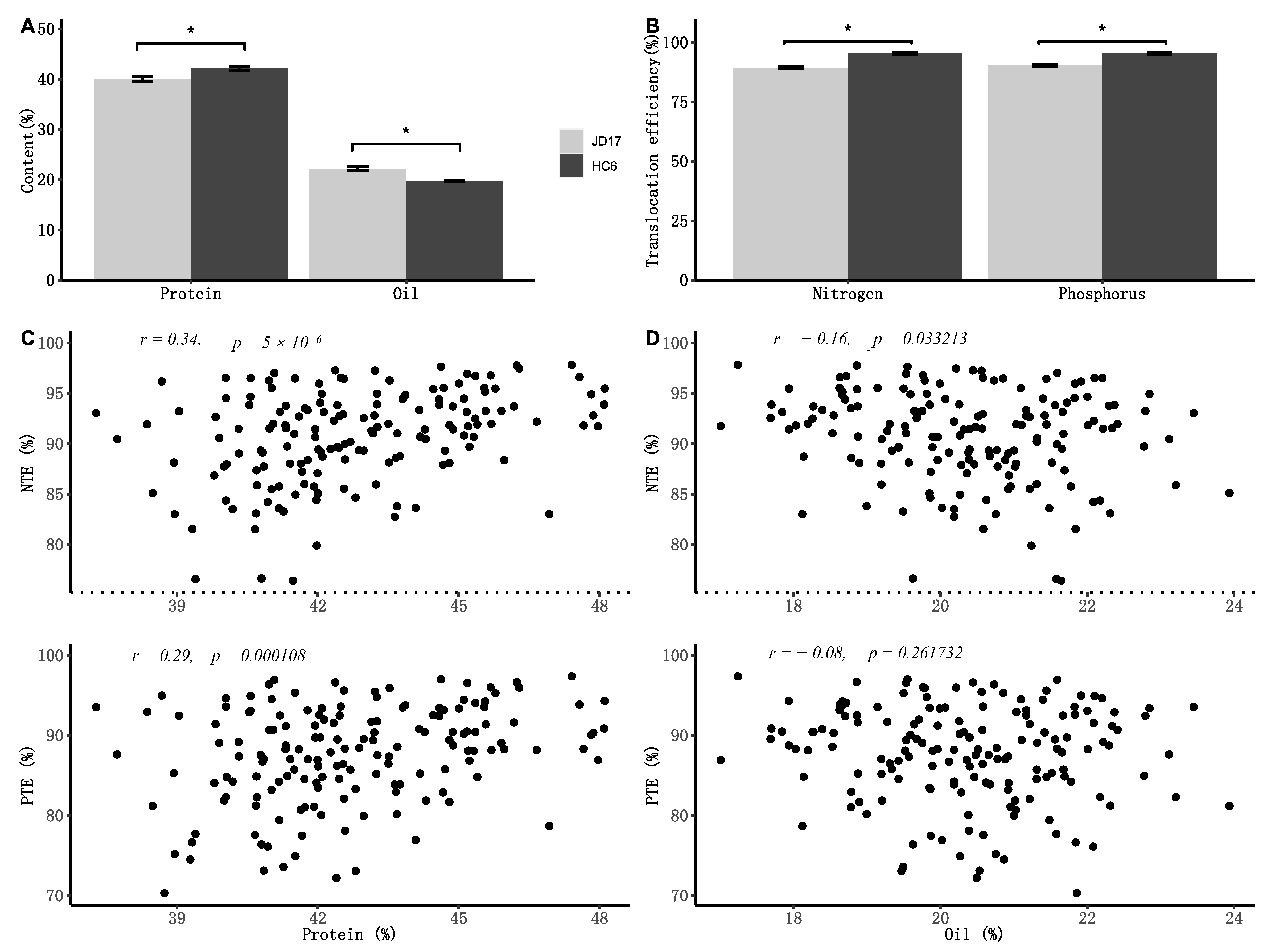
3.1. Comparison of Seed Protein and Oil Contents and Nutrient Translocation Efficiency Traits between the Parental Genotypes
3.2. Phenotypic and Genetic Variation among RILs
3.3. Construction of Genetic Linkage Map
3.4. QTL Identification for N and P Translocation Efficiency and Seed Quality Traits
3.5. Loci of Colocalized Seed Quality and Nutrient Translocation Efficiency Traits in Soybean
3.6. Effects of Glyma.20G085100 on Nutrient Translocation Efficiency
4. Discussion
Supplementary Materials
Author Contributions
Funding
Institutional Review Board Statement
Informed Consent Statement
Data Availability Statement
Acknowledgments
Conflicts of Interest
References
- Li, X.H.; Shao, Z.Q.; Tian, R.; Zhang, H.; Du, H.; Kong, Y.B.; Li, W.L.; Zhang, C.Y. Mining QTLs and candidate genes for seed protein and oil contents across multiple environments and backgrounds in soybean. Mol. Breed. 2019, 39, 139. [Google Scholar] [CrossRef]
- Wilson, R.F. Soybean: Market Driven Research Needs. In Genetics and Genomics of Soybean; Springer: New York, NY, USA, 2008. [Google Scholar]
- Ray, D.K.; Mueller, N.D.; West, P.C.; Foley, J.A. Yield Trends Are Insufficient to Double Global Crop Production by 2050. PLoS ONE 2013, 8, e66428. [Google Scholar] [CrossRef]
- Zhao, Q.; Qin, J.; Li, X.; Liu, B.; Liu, Y.; Yang, Q.; Liu, S.; Zhao, X.; Ma, N.; Yan, L.; et al. Coordinate inheritance of seed isoflavone and protein in soybean. Agriculture 2022, 12, 1178. [Google Scholar] [CrossRef]
- Association, A.S. SoyStats. 2022. Available online: http://soystats.com/ (accessed on 5 December 2022).
- David, G.; Nelson, R.T.; Cannon, S.B.; Shoemaker, R.C. SoyBase, the USDA-ARS soybean genetics and genomics database. Nucleic Acids Res. 2010, 38 (Suppl. 1), D843–D846. [Google Scholar]
- Van, K.; McHale, L.K. Meta-analyses of QTLs associated with protein and oil contents and compositions in soybean [Glycine max (L.) Merr.] seed. Int. J. Mol. Sci. 2017, 18, 1180. [Google Scholar] [CrossRef] [PubMed]
- Zhang, S.; Hao, D.; Zhang, S.; Zhang, D.; Wang, H.; Du, H.; Kan, G.; Yu, D. Genome-wide association mapping for protein, oil and water-soluble protein contents in soybean. Mol. Genet. Genom. 2021, 296, 91–102. [Google Scholar] [CrossRef] [PubMed]
- Hwang, E.-Y.; Song, Q.; Jia, G.; Specht, J.E.; Hyten, D.L.; Costa, J.; Cregan, P.B. A genome-wide association study of seed protein and oil content in soybean. BMC Genom. 2014, 15, 1. [Google Scholar] [CrossRef] [PubMed]
- Sonah, H.; O’Donoughue, L.; Cober, E.; Rajcan, I.; Belzile, F. Identification of loci governing eight agronomic traits using a GBS-GWAS approach and validation by QTL mapping in soya bean. Plant Biotechnol. J. 2015, 13, 211–221. [Google Scholar] [CrossRef]
- Lee, S.; Van, K.; Sung, M.; Nelson, R.; LaMantia, J.; McHale, L.K.; Mian, M.A.R. Genome-wide association study of seed protein, oil and amino acid contents in soybean from maturity groups I to IV. Theor. Appl. Genet. 2019, 132, 1639–1659. [Google Scholar] [CrossRef]
- Zhang, H.; Goettel, W.; Song, Q.; Jiang, H.; Hu, Z.; Wang, M.L.; An, Y.-Q.C. Selection of GmSWEET39 for oil and protein improvement in soybean. PLoS Genet. 2020, 16, e1009114. [Google Scholar] [CrossRef]
- Goettel, W.; Zhang, H.; Li, Y.; Qiao, Z.; Jiang, H.; Hou, D.; Song, Q.; Pantalone, V.R.; Song, B.-H.; Yu, D.; et al. POWR1 is a domestication gene pleiotropically regulating seed quality and yield in soybean. Nat. Commun. 2022, 13, 3051. [Google Scholar] [CrossRef]
- Marschner, H. Mineral Nutrition of Higher Plants; Academic Press: San Diego, CA, USA, 2012. [Google Scholar]
- Elser, J.J.; Bracken, M.E.; Cleland, E.E.; Gruner, D.S.; Harpole, W.S.; Hillebrand, H.; Ngai, J.T.; Seabloom, E.W.; Shurin, J.B.; Smith, J.E. Global analysis of nitrogen and phosphorus limitation of primary producers in freshwater, marine and terrestrial ecosystems. Ecol. Lett. 2007, 10, 1135–1142. [Google Scholar] [CrossRef] [PubMed]
- Maathuis, F.J. Physiological functions of mineral macronutrients. Curr. Opin. Plant Biol. 2009, 12, 250–258. [Google Scholar] [CrossRef]
- Hirel, B.; Le Gouis, J.; Ney, B.; Gallais, A. The challenge of improving nitrogen use efficiency in crop plants: Towards a more central role for genetic variability and quantitative genetics within integrated approaches. J. Exp. Bot. 2007, 58, 2369–2387. [Google Scholar] [CrossRef] [PubMed]
- Gaude, N.; Nakamura, Y.; Scheible, W.R.; Ohta, H.; Dormann, P. Phospholipase C5 (NPC5) is involved in galactolipid accumulation during phosphate limitation in leaves of Arabidopsis. Plant J. 2008, 56, 28–39. [Google Scholar] [CrossRef]
- Stigter, K.A.; Plaxton, W.C. Molecular Mechanisms of Phosphorus Metabolism and Transport during Leaf Senescence. Plants 2015, 4, 773–798. [Google Scholar] [CrossRef] [PubMed]
- Mitsuhashi, N.; Ohnishi, M.; Sekiguchi, Y.; Kwon, Y.U.; Chang, Y.T.; Chung, S.K.; Inoue, Y.; Reid, R.J.; Yagisawa, H.; Mimura, T. Phytic acid synthesis and vacuolar accumulation in suspension-cultured cells of Catharanthus roseus induced by high concentration of inorganic phosphate and cations. Plant Physiol. 2005, 138, 1607–1614. [Google Scholar] [CrossRef]
- Rochester, I.J. Using seed nitrogen concentration to estimate crop N use-efficiency in high-yielding irrigated cotton. Field Crops Res. 2012, 127, 140–145. [Google Scholar] [CrossRef]
- Rose, T.J.; Pariasca-Tanaka, J.; Rose, M.T.; Fukuta, Y.; Wissuwa, M. Genotypic variation in grain phosphorus concentration, and opportunities to improve P-use efficiency in rice. Field Crops Res. 2010, 119, 154–160. [Google Scholar] [CrossRef]
- Egli, D.B.; Bruening, W.P. Accumulation of Nitrogen and Dry Matter by Soybean Seeds with Genetic Differences in Protein Concentration. Crop Sci. 2007, 47, 359–366. [Google Scholar] [CrossRef]
- King, K.E.; Lauter, N.; Lin, S.F.; Scott, M.P.; Shoemaker, R.C. Evaluation and QTL mapping of phosphorus concentration in soybean seed. Euphytica 2012, 189, 261–269. [Google Scholar] [CrossRef]
- Zhao, X.; Zheng, S.H.; Suzuki, A.; Arima, S. Varietal Difference in Nitrogen Redistribution from Leaves and Its Contribution to Seed Yield in Soybean. Plant Prod. Sci. 2014, 17, 103–108. [Google Scholar] [CrossRef]
- Chen, L.; Liao, H. Engineering crop nutrient efficiency for sustainable agriculture. J. Integr. Plant Biol. 2017, 59, 710–735. [Google Scholar] [CrossRef] [PubMed]
- Yang, Y.; Tong, Y.; Li, X.; He, Y.; Xu, R.; Liu, D.; Yang, Q.; Lv, H.; Liao, H. Genetic analysis and fine mapping of phosphorus efficiency locus 1 (PE1) in soybean. Theor. Appl. Genet. 2019, 132, 2847–2858. [Google Scholar] [CrossRef] [PubMed]
- Kichey, T.; Hirel, B.; Heumez, E.; Dubois, F.; Le Gouis, J. In winter wheat (Triticum aestivum L.), post-anthesis nitrogen uptake and remobilisation to the grain correlates with agronomic traits and nitrogen physiological markers. Field Crops Res. 2007, 102, 22–32. [Google Scholar] [CrossRef]
- He, M.; Yan, Z.; Cui, X.; Gong, Y.; Li, K.; Han, W. Scaling the leaf nutrient resorption efficiency: Nitrogen vs. phosphorus in global plants. Sci. Total Environ. 2020, 729, 138920. [Google Scholar] [CrossRef] [PubMed]
- Feller, S.H.U. Nitrogen metabolism and remobilization during senescence. J. Exp. Bot. 2002, 53, 927–937. [Google Scholar]
- Masclaux-Daubresse, C.; Daniel-Vedele, F.; Dechorgnat, J.; Chardon, F.; Gaufichon, L.; Suzuki, A. Nitrogen uptake, assimilation and remobilization in plants: Challenges for sustainable and productive agriculture. Ann. Bot. 2010, 105, 1141–1157. [Google Scholar] [CrossRef]
- Hammond, J.P.; Bennett, M.J.; Bowen, H.C.; Broadley, M.R.; Eastwood, D.C.; May, S.T.; Rahn, C.; Swarup, R.; Woolaway, K.E.; White, P.J. Changes in gene expression in Arabidopsis shoots during phosphate starvation and the potential for developing smart plants. Plant Physiol. 2003, 132, 578–596. [Google Scholar] [CrossRef]
- Veneklaas, E.J.; Lambers, H.; Bragg, J.; Finnegan, P.M.; Lovelock, C.E.; Plaxton, W.C.; Price, C.A.; Scheible, W.R.; Shane, M.W.; White, P.J.; et al. Opportunities for improving phosphorus-use efficiency in crop plants. New Phytol. 2012, 195, 306–320. [Google Scholar] [CrossRef]
- Zhang, B.; Chen, P.; Shi, A.; Hou, A.; Ishibashi, T.; Wang, D. Putative quantitative trait loci associated with calcium content in soybean seed. J. Hered. 2009, 100, 263–269. [Google Scholar] [CrossRef]
- Ramamurthy, R.K.; Jedlicka, J.; Graef, G.L.; Waters, B.M. Identification of new QTLs for seed mineral, cysteine, and methionine concentrations in soybean [Glycine max (L.) Merr.]. Mol. Breed. 2014, 34, 431–445. [Google Scholar] [CrossRef]
- Watson, A.; Ghosh, S.; Williams, M.J.; Cuddy, W.S.; Simmonds, J.; Rey, M.D.; Md Hatta, M.A.; Hinchliffe, A.; Steed, A.; Reynolds, D.; et al. Speed breeding is a powerful tool to accelerate crop research and breeding. Nat. Plants 2018, 4, 23–29. [Google Scholar] [CrossRef] [PubMed]
- Cui, B.; Chen, L.; Yang, Y.; Liao, H.; Bohra, A. Genetic analysis and map-based delimitation of a major locus qSS3 for seed size in soybean. Plant Breed. 2020, 139, 1145–1157. [Google Scholar] [CrossRef]
- Bao, S. Soil and Agricultural Chemistry Analysis; Chinese Agriculture Publishing House: Beijing, China, 2000. [Google Scholar]
- Yan, L.; Jiang, C.; Yu, X.; Yang, C.; Zhang, M. Development and reliability of near infrared spectroscopy (NIS) models of protein and oil content in soybean. Soybean Sci. 2008, 27, 5. [Google Scholar]
- Elshire, R.J.; Glaubitz, J.C.; Sun, Q.; Poland, J.A.; Kawamoto, K.; Buckler, E.S.; Mitchell, S.E. A robust, simple genotyping-by-sequencing (GBS) approach for high diversity species. PLoS ONE 2011, 6, e19379. [Google Scholar] [CrossRef] [PubMed]
- Li, H.; Durbin, R. Fast and accurate short read alignment with Burrows-Wheeler transform. Bioinformatics 2009, 25, 1754–1760. [Google Scholar] [CrossRef] [PubMed]
- Wang, K.; Li, M.; Hakonarson, H. ANNOVAR: Functional annotation of genetic variants from high-throughput sequencing data. Nucleic Acids Res. 2010, 38, e164. [Google Scholar] [CrossRef]
- Voorrips, R. MapChart: Software for the graphical presentation of linkage maps and QTLs. J. Hered. 2002, 93, 77–78. [Google Scholar] [CrossRef] [PubMed]
- VanOoijen, J.W. MapQTL 6, Software for the Mapping of Quantitative Trait Loci in experimental Populations of Diploid Species; Kyazma B.V.: Wageningen, The Netherlands, 2004. [Google Scholar]
- Ihaka, R.; Gentleman, R. R: A language for data analysis and graphics. J. Comput. Graph. Stat. 1996, 5, 299–314. [Google Scholar]
- Takahashi, R.; Dubouzet, J.G.; Matsumura, H.; Asuda, K.Y.; Iwashina, T. A new allele of flower color gene W1 encoding flavonoid 3’5’-hydroxylase is responsible for light purple flowers in wild soybean Glycine soja. BMC Plant Biol. 2010, 10, 155. [Google Scholar] [CrossRef]
- Fliege, C.E.; Ward, R.A.; Vogel, P.; Nguyen, H.; Quach, T.; Guo, M.; Viana, J.P.G.; Santos, L.B.; Specht, J.E.; Clemente, T.E.; et al. Fine mapping and cloning of the major seed protein quantitative trait loci on soybean chromosome 20. Plant J. 2022, 110, 114–128. [Google Scholar] [CrossRef]
- Miao, L.; Yang, S.N.; Zhang, K.; He, J.B.; Wu, C.H.; Ren, Y.H.; Gai, J.Y.; Li, Y. Natural variation and selection in GmSWEET39 affect soybean seed oil content. New Phytol. 2020, 225, 1651–1666. [Google Scholar] [CrossRef] [PubMed]
- Zhang, T.F.; Wu, T.T.; Wang, L.W.; Jiang, B.J.; Zhen, C.X.; Yuan, S.; Hou, W.S.; Wu, C.X.; Han, T.F.; Sun, S. A combined linkage and GWAS analysis identifies QTLs linked to soybean seed protein and oil content. Int. J. Mol. Sci. 2019, 20, 5915. [Google Scholar] [CrossRef] [PubMed]
- Qin, J.; Wang, F.; Zhao, Q.; Shi, A.; Zhao, T.; Song, Q.; Ravelombola, W.; An, H.; Yan, L.; Yang, C.; et al. Identification of candidate genes and genomic selection for seed protein in soybean breeding pipeline. Front. Plant Sci. 2022, 13, 882732. [Google Scholar] [CrossRef] [PubMed]
- Chen, Z.; Li, L.; Halford, N.G.; Xu, H.; Huang, L.; Gao, R.; Lu, R.; Liu, C. Advances in barley breeding for improving nitrogen use efficiency. Agronomy 2022, 12, 1682. [Google Scholar] [CrossRef]
- Rosolem, C.A.; Batista, T.B.; Dias, P.P.; Neto, L.V.D.M.; Calonego, J.C. The joint application of phosphorus and ammonium enhances soybean root growth and P uptake. Agriculture 2022, 12, 880. [Google Scholar] [CrossRef]
- Yamaji, N.; Takemoto, Y.; Miyaji, T.; Mitani-Ueno, N.; Yoshida, K.T.; Ma, J.F. Reducing phosphorus accumulation in rice grains with an impaired transporter in the node. Nature 2017, 541, 92–95. [Google Scholar] [CrossRef]
- Zhang, Z.; Gao, S.; Chu, C. Improvement of nutrient use efficiency in rice: Current toolbox and future perspectives. Theor. Appl. Genet. 2020, 133, 1365–1384. [Google Scholar] [CrossRef]
- Yang, X.; Nian, J.; Xie, Q.; Feng, J.; Zhang, F.; Jing, H.; Zhang, J.; Dong, G.; Liang, Y.; Peng, J. Rice ferredoxin-dependent glutamate synthase regulates nitrogen–carbon metabolomes and is genetically differentiated between japonica and indica subspecies. Mol. Plant 2016, 9, 1520–1534. [Google Scholar] [CrossRef]
- Panthee, D.; Pantalone, V.; Sams, C.; Saxton, A.; West, D.; Rayford, W. Genomic regions governing soybean seed nitrogen accumulation. J. Am. Oil Chem. Soc. 2004, 81, 77–81. [Google Scholar] [CrossRef]
- Gu, R.; Chen, F.; Long, L.; Cai, H.; Liu, Z.; Yang, J.; Wang, L.; Li, H.; Li, J.; Liu, W.; et al. Enhancing phosphorus uptake efficiency through QTL-based selection for root system architecture in maize. J. Genet. Genom. 2016, 43, 663–672. [Google Scholar] [CrossRef] [PubMed]
- Shen, C.; Chen, K.; Cui, Y.; Chen, J.; Mi, X.; Zhu, S.; Zhu, Y.; Ali, J.; Ye, G.; Li, Z.; et al. QTL mapping and favorable allele mining of nitrogen deficiency tolerance using an interconnected breeding population in rice. Front. Genet. 2021, 12, 616428. [Google Scholar] [CrossRef]
- Mao, T.T.; Jiang, Z.F.; Han, Y.P.; Teng, W.L.; Zhao, X.; Li, W.B. Identification of quantitative trait loci underlying seed protein and oil contents of soybean across multi-genetic backgrounds and environments. Plant Breed. 2013, 132, 630–641. [Google Scholar] [CrossRef]
- Duan, Z.; Zhang, M.; Zhang, Z.; Liang, S.; Fan, L.; Yang, X.; Yuan, Y.; Pan, Y.; Zhou, G.; Liu, S.; et al. Natural allelic variation of GmST05 controlling seed size and quality in soybean. Plant Biotechnol. J. 2022, 20, 1807–1818. [Google Scholar] [CrossRef]
- Han, Y.P.; Teng, W.L.; Wang, Y.; Zhao, X.; Wu, L.; Li, D.M.; Li, W.B. Unconditional and conditional QTL underlying the genetic interrelationships between soybean seed isoflavone, and protein or oil contents. Plant Breed. 2015, 134, 300–309. [Google Scholar] [CrossRef]
- Fabre, F.; Planchon, C. Nitrogen nutrition, yield and protein content in soybean. Plant Sci. 2000, 152, 51–58. [Google Scholar] [CrossRef]
- Yang, Y. Fine Mapping and Candidate Gene Identification of a Soybean Seed Protein and Oil QTL from a Wild Soybean Accession and Linkage Analysis for Whole Plant Biomass, Carbon, Nitrogen, and Seed Composition Using a RIL Mapping Population. Ph.D. Thesis, University of Missouri Columbia, Columbia, MO, USA, 2021. [Google Scholar]
- Yin, X.; Bellaloui, N.; Mcclure, A.M.; Tyler, D.D.; Mengistu, A. Phosphorus Fertilization Differentially Influences Fatty Acids, Protein, and Oil in Soybean. Am. J. Plant Sci. 2016, 7, 1975–1992. [Google Scholar] [CrossRef]
- Manassero, N.G.; Viola, I.L.; Welchen, E.; Gonzalez, D.H. TCP transcription factors: Architectures of plant form. Biomol. Concepts 2013, 4, 111–127. [Google Scholar] [CrossRef]
- Ursache, R.; De Jesus Vieira Teixeira, C.; Tendon, V.D.; Gully, K.; De Bellis, D.; Schmid-Siegert, E.; Andersen, T.G.; Shekhar, V.; Calderon, S.; Pradervand, S.; et al. GDSL-domain proteins have key roles in suberin polymerization and degradation. Nat. Plants 2021, 7, 353–364. [Google Scholar] [CrossRef]
- Clauss, K.; von Roepenack-Lahaye, E.; Bottcher, C.; Roth, M.R.; Welti, R.; Erban, A.; Kopka, J.; Scheel, D.; Milkowski, C.; Strack, D. Overexpression of sinapine esterase BnSCE3 in oilseed rape seeds triggers global changes in seed metabolism. Plant Physiol. 2011, 155, 1127–1145. [Google Scholar] [CrossRef] [PubMed]
- Ma, R.; Yuan, H.; An, J.; Hao, X.; Li, H. A Gossypium hirsutum GDSL lipase/hydrolase gene (GhGLIP) appears to be involved in promoting seed growth in Arabidopsis. PLoS ONE 2018, 13, e0195556. [Google Scholar] [CrossRef] [PubMed]
- Kondou, Y.; Nakazawa, M.; Kawashima, M.; Ichikawa, T.; Yoshizumi, T.; Suzuki, K.; Ishikawa, A.; Koshi, T.; Matsui, R.; Muto, S.; et al. RETARDED GROWTH OF EMBRYO1, a new basic helix-loop-helix protein, expresses in endosperm to control embryo growth. Plant Physiol. 2008, 147, 1924–1935. [Google Scholar] [CrossRef] [PubMed]
- Guo, W.J.; Nagy, R.; Chen, H.Y.; Pfrunder, S.; Yu, Y.C.; Santelia, D.; Frommer, W.B.; Martinoia, E. SWEET17, a facilitative transporter, mediates fructose transport across the tonoplast of Arabidopsis roots and leaves. Plant Physiol. 2014, 164, 777–789. [Google Scholar] [CrossRef] [PubMed]






| Traits | Parents | RILs | ||||||||
|---|---|---|---|---|---|---|---|---|---|---|
| JD17 | HC6 | Min. | Max. | Mean | SD | CV (%) | Kurt. | Skew. | h2b | |
| Pro | 40.04 | 42.13 | 37.28 | 50.84 | 42.76 | 2.45 | 5.72 | 0.36 | 0.49 | 0.90 |
| Oil | 22.18 | 19.71 | 16.28 | 24.28 | 20.39 | 1.38 | 6.76 | −0.07 | −0.18 | 0.88 |
| NcS | 66.73 | 70.28 | 52.47 | 79.86 | 65.81 | 4.79 | 7.28 | −0.09 | 0.12 | 0.89 |
| PcS | 6.89 | 7.99 | 5.63 | 8.78 | 7.36 | 0.55 | 7.47 | 0.07 | −0.03 | 0.91 |
| NcL | 21.81 | 16.25 | 10.15 | 24.55 | 16.03 | 2.90 | 18.08 | 0.11 | 0.49 | 0.75 |
| PcL | 2.65 | 2.25 | 1.39 | 4.41 | 2.40 | 0.53 | 22.26 | 1.15 | 0.76 | 0.75 |
| TNL | 189.98 | 154.96 | 18.23 | 449.58 | 116.82 | 82.19 | 70.36 | 3.74 | 1.80 | 0.84 |
| TPL | 23.12 | 21.51 | 2.46 | 52.19 | 16.57 | 9.78 | 59.01 | 1.35 | 1.20 | 0.82 |
| NcD | 44.92 | 54.02 | 28.77 | 63.31 | 49.84 | 5.70 | 36.18 | 0.36 | −0.11 | 0.87 |
| PcD | 4.24 | 5.74 | 2.50 | 6.87 | 4.98 | 0.74 | 55.48 | 0.55 | −0.20 | 0.85 |
| NTE | 0.84 | 0.93 | 0.64 | 0.98 | 0.90 | 0.06 | 6.83 | 2.75 | −1.49 | 0.74 |
| PTE | 0.82 | 0.92 | 0.58 | 0.97 | 0.87 | 0.07 | 8.05 | 1.92 | −1.19 | 0.73 |
| Number of Markers | Start (bp) | Stop (bp) | Genetic Distance (cM) | Physical Size (bp) | Average Coverage Distance (cM) | Recombination Rate (cM/Mb) | |
|---|---|---|---|---|---|---|---|
| Chr.01 | 256 | 289,316 | 54,169,376 | 139.683 | 53,880,060 | 0.546 | 2.592 |
| Chr.02 | 302 | 331,980 | 46,721,845 | 223.733 | 46,389,865 | 0.741 | 4.823 |
| Chr.03 | 187 | 162,171 | 42,036,871 | 135.455 | 41,874,700 | 0.724 | 3.235 |
| Chr.04 | 262 | 560,706 | 51,913,854 | 144.989 | 51,353,148 | 0.553 | 2.823 |
| Chr.05 | 132 | 74,227 | 42,218,304 | 150.356 | 42,144,077 | 1.139 | 3.568 |
| Chr.06 | 264 | 105,140 | 51,169,402 | 157.940 | 51,064,262 | 0.598 | 3.093 |
| Chr.07 | 205 | 176,838 | 44,351,629 | 174.225 | 44,174,791 | 0.850 | 3.944 |
| Chr.08 | 229 | 133,699 | 47,621,113 | 187.701 | 47,487,414 | 0.820 | 3.953 |
| Chr.09 | 369 | 24,932 | 47,374,864 | 157.685 | 47,349,932 | 0.427 | 3.330 |
| Chr.10 | 294 | 166,537 | 51,028,020 | 165.823 | 50,861,483 | 0.564 | 3.260 |
| Chr.11 | 278 | 28,686 | 34,363,362 | 168.111 | 34,334,676 | 0.605 | 4.896 |
| Chr.12 | 152 | 105,680 | 39,977,366 | 128.184 | 39,871,686 | 0.843 | 3.215 |
| Chr.13 | 294 | 935,103 | 43,521,095 | 179.917 | 42,585,992 | 0.612 | 4.225 |
| Chr.14 | 281 | 291,967 | 47,851,291 | 169.878 | 47,559,324 | 0.605 | 3.572 |
| Chr.15 | 234 | 1,974,828 | 50,562,456 | 114.326 | 48,587,628 | 0.489 | 2.353 |
| Chr.16 | 280 | 12,481 | 37,757,414 | 150.733 | 37,744,933 | 0.538 | 3.993 |
| Chr.17 | 248 | 1,847,759 | 41,500,612 | 161.743 | 39,652,853 | 0.652 | 4.079 |
| Chr.18 | 500 | 5391 | 57,905,267 | 144.744 | 57,899,876 | 0.289 | 2.500 |
| Chr.19 | 226 | 81,698 | 49,599,441 | 156.191 | 49,517,743 | 0.691 | 3.154 |
| Chr.20 | 257 | 2,789,679 | 47,717,330 | 143.416 | 44,927,651 | 0.558 | 3.192 |
| Min | 132 | 5391 | 34,363,362 | 114.326 | 3,433,4676 | 0.289 | 2.353 |
| Max | 500 | 2,789,679 | 57,905,267 | 223.733 | 5,789,9876 | 1.139 | 4.896 |
| Mean | 262.5 | 157.741 | 45,963,104 | 0.642 | 3.490 | ||
| Total | 5250 | 3154.833 | 919,262,094 |
| Trait | QTL | Chr | Position (cM) | Locus/Interval | LOD | Add | PVE (%) |
|---|---|---|---|---|---|---|---|
| NcL | qNcL10 | 10 | 137.076 | 10_45243194 | 2.8 | 0.75 | 7.1 |
| qNcL13 | 13 | 88.639 | 13_27737833 | 2.51 | 0.72 | 6.4 | |
| qNcL16 | 16 | 120.329 | 16_32651304 | 2.68 | 0.74 | 6.8 | |
| qNcL18 | 18 | 102.611 | 18_55034166 | 2.84 | 0.77 | 7.2 | |
| PcL | qPcL6 | 6 | 116.324–127.161 | 06_18481680–06_45055022 | 5.29 | 0.18 | 13.2 |
| qPcL18 | 18 | 28.701 | 18_3930525 | 2.98 | 0.14 | 7.6 | |
| TNL | qTNL6 | 6 | 118.453 | 06_19585884 | 9.9 | −27.94 | 23.6 |
| qTNL10 | 10 | 137.076 | 10_45243194 | 7.64 | 24.55 | 18.8 | |
| qTNL13 | 13 | 25.37 | 13_10785045 | 2.71 | −15.08 | 7.1 | |
| TPL | qTPL6 | 6 | 118.453 | 06_19585884 | 6.85 | −3.42 | 16.8 |
| qTPL10.1 | 10 | 7.45 | 10_4289419 | 3.23 | −2.40 | 8.3 | |
| qTPL10.2 | 10 | 78.479 | 10_18967468 | 2.98 | −2.32 | 7.7 | |
| qTPL10.3 | 10 | 137.076 | 10_45243194 | 5.69 | 3.09 | 14.2 | |
| qTPL11 | 11 | 125.659 | 11_31189747–11_32037532 | 2.67 | −2.32 | 6.9 | |
| qTPL13 | 13 | 71.913 | 13_22901190–13_26865258 | 2.58 | −2.41 | 6.7 | |
| qTPL19 | 19 | 40.956 | 19_5501220 | 2.59 | −2.20 | 6.7 | |
| NcS | qNcS6 | 6 | 111.393–124.78 | 06_16674718–06_44270622 | 4.96 | 1.64 | 12.2 |
| qNcS10 | 10 | 138.232 | 10_45550230 | 4.25 | −1.50 | 10.6 | |
| qNcS18 | 18 | 9.891 | 18_472964 | 2.98 | −1.30 | 7.5 | |
| qNcS20 | 20 | 8.311 | 20_31160346 | 5.1 | −1.67 | 12.6 | |
| PcS | qPcS6 | 6 | 111.393 | 06_16674718 | 6.48 | 0.22 | 15.9 |
| qPcS20 | 20 | 10.02 | 20_31536419 | 9.46 | −0.26 | 22.4 | |
| NTE | qNTE6 | 6 | 117.276 | 06_18864382 | 2.99 | 1.34 | 8.4 |
| qNTE10 | 10 | 142.797 | 10_45640909–10_46681050 | 5.92 | −1.99 | 15.8 | |
| PTE | qPTE6 | 6 | 116.83 | 06_18854552 | 2.98 | 1.77 | 8.2 |
| qPTE10 | 10 | 149.904 | 10_47584960 | 4.48 | −2.15 | 12.0 | |
| qPTE20 | 20 | 8.311 | 20_31160346 | 3.01 | −1.84 | 8.3 | |
| NcD | qNcD6 | 6 | 111.393 | 06_16674718 | 3.72 | 1.71 | 9.5 |
| qNcD10.1 | 10 | 97.544 | 10_39222550 | 2.94 | −1.52 | 7.6 | |
| qNcD10.2 | 10 | 138.232 | 10_45550230 | 8.03 | −2.42 | 19.4 | |
| qNcD18 | 18 | 12.043 | 18_883579 | 2.68 | −1.47 | 7.0 | |
| qNcD20 | 20 | 9.646 | 20_31274128–20_31536419 | 6.65 | −2.27 | 16.4 | |
| PcD | qPcD2 | 2 | 220.034 | 02_45085208 | 2.64 | −0.18 | 7.0 |
| qPcD12 | 12 | 0.504 | 12_286008 | 2.5 | −0.18 | 6.7 | |
| qPcD20 | 20 | 10.02 | 20_31536419 | 11.91 | −0.37 | 28.0 | |
| Pro | qPro6 | 6 | 112.474–118.676 | 06_17296433–06_20707785 | 5.61 | 0.89 | 13.9 |
| qPro20 | 20 | 10.02 | 20_31536419 | 8.87 | −1.08 | 21.0 | |
| Oil | qOil5 | 5 | 150.356 | 05_42079283 | 4.55 | 0.47 | 11.3 |
| qOil6 | 6 | 118.229–124.498 | 06_19369334–06_43439776 | 4.23 | −0.45 | 10.6 | |
| qOil9 | 9 | 31.217 | 09_1558594–09_2811050 | 4.03 | 0.52 | 10.1 | |
| qOil20 | 20 | 10.243 | 20_31540803 | 5.49 | 0.51 | 13.5 |
Disclaimer/Publisher’s Note: The statements, opinions and data contained in all publications are solely those of the individual author(s) and contributor(s) and not of MDPI and/or the editor(s). MDPI and/or the editor(s) disclaim responsibility for any injury to people or property resulting from any ideas, methods, instructions or products referred to in the content. |
© 2023 by the authors. Licensee MDPI, Basel, Switzerland. This article is an open access article distributed under the terms and conditions of the Creative Commons Attribution (CC BY) license (https://creativecommons.org/licenses/by/4.0/).
Share and Cite
Zhao, Q.; Ma, N.; Li, R.; Zhong, Y.; Li, X.; Liao, H. Seed Protein Genetics Linked with Nitrogen and Phosphorus Translocation Efficiency in Soybean. Agronomy 2023, 13, 598. https://doi.org/10.3390/agronomy13020598
Zhao Q, Ma N, Li R, Zhong Y, Li X, Liao H. Seed Protein Genetics Linked with Nitrogen and Phosphorus Translocation Efficiency in Soybean. Agronomy. 2023; 13(2):598. https://doi.org/10.3390/agronomy13020598
Chicago/Turabian StyleZhao, Qingsong, Niannian Ma, Ruirui Li, Yongjia Zhong, Xinxin Li, and Hong Liao. 2023. "Seed Protein Genetics Linked with Nitrogen and Phosphorus Translocation Efficiency in Soybean" Agronomy 13, no. 2: 598. https://doi.org/10.3390/agronomy13020598
APA StyleZhao, Q., Ma, N., Li, R., Zhong, Y., Li, X., & Liao, H. (2023). Seed Protein Genetics Linked with Nitrogen and Phosphorus Translocation Efficiency in Soybean. Agronomy, 13(2), 598. https://doi.org/10.3390/agronomy13020598

