Interactive Effects between Zinc and Selenium on Mineral Element Accumulation and Fruit Quality of Strawberry
Abstract
:1. Introduction
2. Materials and Methods
2.1. Experimental Design
2.2. Sample Collection and Analysis
2.3. Data Analysis
3. Results
3.1. Effects of Zn and Se Foliar Spraying on Zn and Se Accumulation in Strawberries
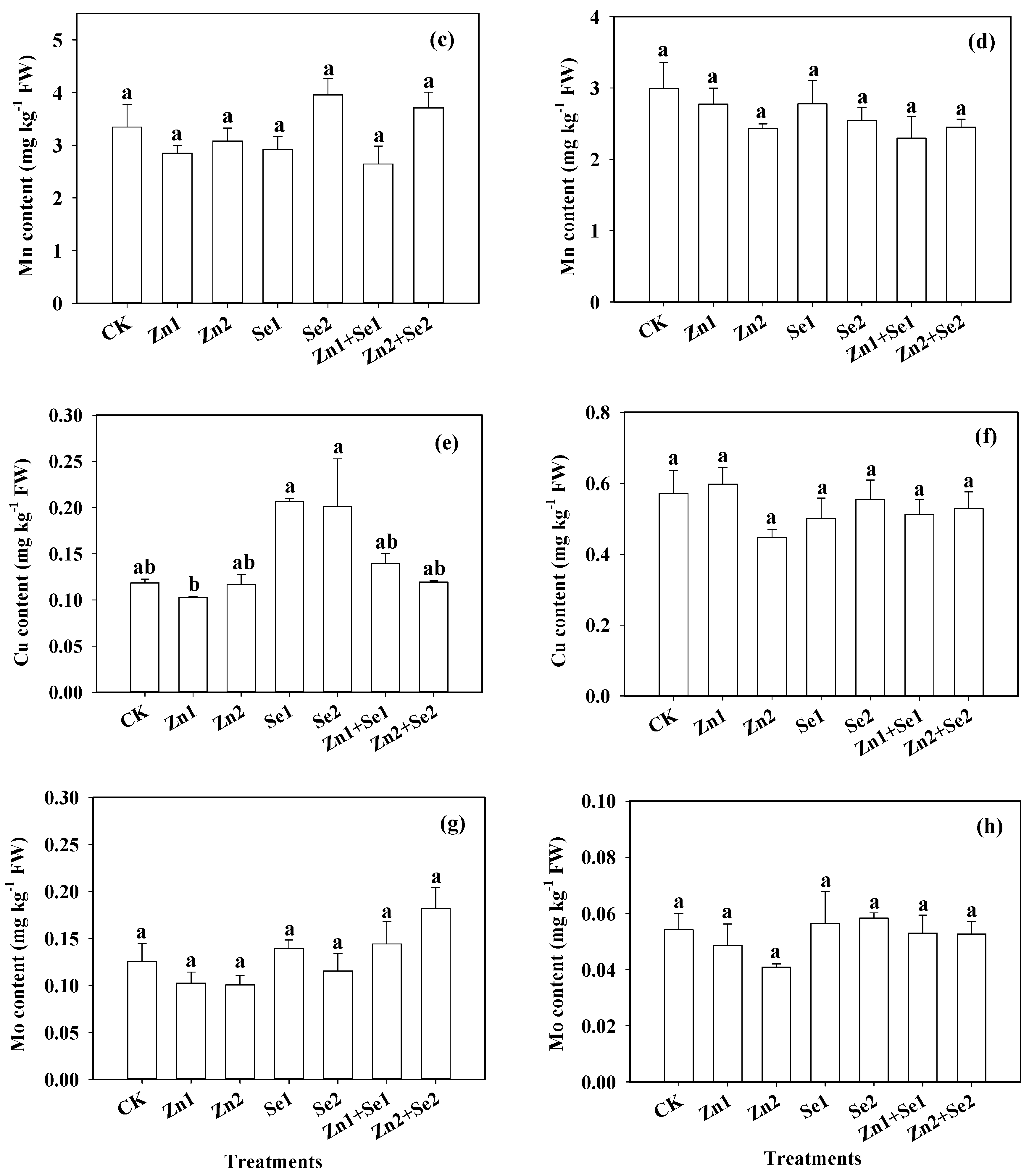
3.2. Effects of Zn and Se Interaction on Mineral Element Accumulation in Strawberries
3.3. Effects of Zn and Se Interaction on Strawberry Fruit Flavor Quality
4. Discussion
5. Conclusions
Author Contributions
Funding
Data Availability Statement
Conflicts of Interest
References
- Quddus, M.A.; Siddiky, M.A.; Ali, M.R.; Ahmed, R.; Sarker, K.K.; Arfin, M.S. Influence of boron and zinc on yield, nutrient uptake and quality of strawberry. J. Plant Nutr. 2022, 45, 866–882. [Google Scholar] [CrossRef]
- Chasapis, C.T.; Loutsidou, A.C.; Spiliopoulou, C.A.; Stefanidou, M.E. Zinc and human health: An update. Arch. Toxicol. 2012, 86, 521–534. [Google Scholar] [CrossRef] [PubMed]
- Li, X.; Zhou, Y.; Zhang, J. Status and associated human health risk of zinc accumulation in agricultural soils across China. Process Saf. Environ. Prot. 2021, 146, 867–876. [Google Scholar] [CrossRef]
- Yang, X.E.; Chen, W.R.; Feng, Y. Improving human micronutrient nutrition through biofortification in the soil-plant system: China as a case study. Environ. Geochem. Health 2007, 29, 413–428. [Google Scholar] [CrossRef] [PubMed]
- Huang, C.; Qin, N.; Sun, L.; Yu, M.; Hu, W.; Qi, Z. Selenium Improves Physiological Parameters and Alleviates Oxidative Stress in Strawberry Seedlings under Low-Temperature Stress. Int. J. Mol. Sci. 2018, 19, 1913. [Google Scholar] [CrossRef] [PubMed]
- Sharifan, H.; Ma, X.M. Foliar Application of Zn Agrichemicals Affects the Bioavailability of Arsenic, Cadmium and Micronutrients to Rice (Oryza sativa L.) in Flooded Paddy Soil. Agriculture 2021, 11, 505. [Google Scholar] [CrossRef]
- Ding, Y.Z.; Wang, R.G.; Guo, J.K.; Wu, F.C.; Xu, Y.M.; Feng, R.W. The effect of selenium on the subcellular distribution of antimony to regulate the toxicity of antimony in paddy rice. Environ. Sci. Pollut. Res. 2015, 22, 5111–5123. [Google Scholar] [CrossRef] [PubMed]
- Deng, H.; Liu, H.; Yang, Z.; Bao, M.; Lin, X.; Han, J.; Qu, C. Progress of Selenium Deficiency in the Pathogenesis of Arthropathies and Selenium Supplement for Their Treatment. Biol. Trace Elem. Res. 2021, 200, 4238–4249. [Google Scholar] [CrossRef]
- Jablonska, E.; Vinceti, M. Selenium and Human Health: Witnessing a Copernican Revolution? J. Environ. Sci. Health Part C 2015, 33, 328–368. [Google Scholar] [CrossRef]
- Liu, H.; Wang, X.; Zhang, B.; Han, Z.; Wang, W.; Chi, Q.; Zhou, J.; Nie, L.; Xu, S.; Liu, D.; et al. Concentration and distribution of selenium in soils of mainland China, and implications for human health. J. Geochem. Explor. 2021, 220, 106654. [Google Scholar] [CrossRef]
- Mimmo, T.; Tiziani, R.; Valentinuzzi, F.; Lucini, L.; Nicoletto, C.; Sambo, P.; Scampicchio, M.; Pii, Y.; Cesco, S. Selenium Biofortification in Fragaria × ananassa: Implications on Strawberry Fruits Quality, Content of Bioactive Health Beneficial Compounds and Metabolomic Profile. Front. Plant Sci. 2017, 8, 1887. [Google Scholar] [CrossRef] [PubMed]
- Haug, A.; Graham, R.D.; Christophersen, O.A.; Lyons, G.H. How to use the world’s scarce selenium resources efficiently to increase the selenium concentration in food. Microb. Ecol. Health Dis. 2007, 19, 209–228. [Google Scholar] [PubMed]
- Wang, J.; Li, H.R.; Yang, L.S.; Li, Y.H.; Wei, B.G.; Yu, J.P.; Feng, F.J. Distribution and translocation of selenium from soil to highland barley in the Tibetan Plateau Kashin-Beck disease area. Environ. Geochem. Health 2017, 39, 221–229. [Google Scholar] [CrossRef] [PubMed]
- Ma, G.; Li, Y.; Jin, Y.; Du, S.; Kok, F.J.; Yang, X. Assessment of intake inadequacy and food sources of zinc of people in China. Public Health Nutr. 2007, 10, 848–854. [Google Scholar] [CrossRef] [PubMed]
- Rouached, H. Recent developments in plant zinc homeostasis and the path toward improved biofortification and phytoremediation programs. Plant Signal. Behav. 2013, 8, e22681. [Google Scholar] [CrossRef] [PubMed]
- Wu, Z.L.; Banuelos, G.S.; Lin, Z.Q.; Liu, Y.; Yuan, L.X.; Yin, X.B.; Li, M. Biofortification and phytoremediation of selenium in China. Front. Plant Sci. 2015, 6, 136. [Google Scholar] [CrossRef] [PubMed]
- Hotz, C.; McClafferty, B. From harvest to health: Challenges for developing biofortified staple foods and determining their impact on micronutrient status. Food Nutr. Bull. 2007, 28, S271–S279. [Google Scholar] [CrossRef]
- Ren, G.; Ran, X.; Zeng, R.; Chen, J.; Wang, Y.; Mao, C.; Wang, X.; Feng, Y.; Yang, G. Effects of sodium selenite spray on apple production, quality, and sucrose metabolism-related enzyme activity. Food Chem. 2021, 339, 127883. [Google Scholar] [CrossRef]
- Milovanovic, I.; Brceski, I.; Stajic, M.; Korac, A.; Vukojevic, J.; Knezevic, A. Potential of Pleurotus ostreatus Mycelium for Selenium Absorption. Sci. World J. 2014, 2014, 681834. [Google Scholar] [CrossRef]
- Liu, X.W.; Zhao, Z.Q.; Duan, B.H.; Hu, C.X.; Zhao, X.H.; Guo, Z.H. Effect of applied sulphur on the uptake by wheat of selenium applied as selenite. Plant Soil 2015, 386, 35–45. [Google Scholar] [CrossRef]
- Wang, J.W.; Wang, Z.H.; Mao, H.; Zhao, H.B.; Huang, D.L. Increasing Se concentration in maize grain with soil- or foliar-applied selenite on the Loess Plateau in China. Field Crop Res. 2013, 150, 83–90. [Google Scholar] [CrossRef]
- Zhu, S.M.; Liang, Y.L.; Gao, D.K.; An, X.J.; Kong, F.C. Spraying foliar selenium fertilizer on quality of table grape (Vitis vinifera L.) from different source varieties. Sci. Hortic. 2017, 218, 87–94. [Google Scholar] [CrossRef]
- Zahedi, S.M.; Abdelrahman, M.; Hosseini, M.S.; Hoveizeh, N.F.; Tran, L.P. Alleviation of the effect of salinity on growth and yield of strawberry by foliar spray of selenium-nanoparticles. Environ. Pollut. 2019, 253, 246–258. [Google Scholar] [CrossRef] [PubMed]
- Wang, Z.Y.; Wang, H.; Xu, C.; Lv, G.H.; Luo, Z.C.; Zhu, H.H.; Wang, S.; Zhu, Q.H.; Huang, D.Y.; Li, B.Z. Foliar Application of Zn-EDTA at Early Filling Stage to Increase Grain Zn and Fe, and Reduce Grain Cd, Pb and Grain Yield in Rice (Oryza sativa L.). Bull. Environ. Contam. Toxicol. 2020, 105, 428–432. [Google Scholar] [CrossRef]
- Xia, H.; Kong, W.; Wang, L.; Xue, Y.; Liu, W.; Zhang, C.; Yang, S.; Li, C. Foliar Zn Spraying Simultaneously Improved Concentrations and Bioavailability of Zn and Fe in Maize Grains Irrespective of Foliar Sucrose Supply. Agronomy 2019, 9, 386. [Google Scholar] [CrossRef]
- Souza, G.A.; Hart, J.J.; Carvalho, J.G.; Rutzke, M.A.; Albrecht, J.C.; Guilherme, L.; Kochian, L.V.; Li, L. Genotypic variation of zinc and selenium concentration in grains of Brazilian wheat lines. Plant Sci. 2014, 224, 27–35. [Google Scholar] [CrossRef]
- Nawaz, F.; Ahmad, R.; Ashraf, M.Y.; Waraich, E.A.; Khan, S.Z. Effect of selenium foliar spray on physiological and biochemical processes and chemical constituents of wheat under drought stress. Ecotoxicol. Environ. Saf. 2015, 113, 191–200. [Google Scholar] [CrossRef]
- Boldrin, P.F.; Faquin, V.; Ramos, S.J.; Boldrin, K.; Avila, F.W.; Guilherme, L. Soil and foliar application of selenium in rice biofortification. J. Food Compos. Anal. 2013, 31, 238–244. [Google Scholar] [CrossRef]
- Rayman, M.P. Selenium intake, status, and health: A complex relationship. Hormones 2020, 19, 9–14. [Google Scholar] [CrossRef]
- Maret, W. The Function of Zinc Metallothionein: A Link between Cellular Zinc and Redox State. J. Nutr. 2000, 130, 1455S–1458S. [Google Scholar] [CrossRef]
- Narváez-Ortiz, W.A.; Martínez-Hernández, M.; Fuentes-Lara, L.O.; Benavides-Mendoza, A.; Valenzuela-García, J.R.; Gonzalez-Fuentes, J.A. Effect of selenium application on mineral macro- and micronutrients and antioxidant status in strawberries. J. Appl. Bot. Food Qual. 2018, 91, 321–331. [Google Scholar]
- Longchamp, M.; Angeli, N.; Castrec-Rouelle, M. Effects on the accumulation of calcium, magnesium, iron, manganese, copper and zinc of adding the two inorganic forms of selenium to solution cultures of Zea mays. Plant Physiol. Biochem. 2016, 98, 128–137. [Google Scholar] [CrossRef] [PubMed]
- Liu, L.; Xiao, W.; Ji, M.; Yang, C.; Li, L.; Gao, D.; Fu, X. Effects of molybdenum on nutrition, quality, and flavour compounds of strawberry (Fragaria × ananassa Duch. cv. Akihime) fruit. J. Integr. Agric. 2017, 16, 1502–1512. [Google Scholar] [CrossRef]
- Zhu, Z.; Zhang, Y.B.; Liu, J.; Chen, Y.L.; Zhang, X.J. Exploring the effects of selenium treatment on the nutritional quality of tomato fruit. Food Chem. 2018, 252, 9–15. [Google Scholar] [CrossRef] [PubMed]
- Giampieri, F.; Tulipani, S.; Alvarez-Suarez, J.M.; Quiles, J.L.; Mezzetti, B.; Battino, M. The strawberry: Composition, nutritional quality, and impact on human health. Nutrition 2012, 28, 9–19. [Google Scholar] [CrossRef] [PubMed]
- Arya, S.P.; Mahajan, M.; Jain, P. Photometric methods for the determination of vitamin C. Anal. Sci. 1998, 14, 889–895. [Google Scholar] [CrossRef]
- DuBois, M.; Gilles, K.A.; Hamilton, J.K.; Rebers, P.A.; Smith, F. Colorimetric Method for Determination of Sugars and Related Substances. Anal. Chem. 1956, 28, 350–356. [Google Scholar] [CrossRef]
- DB61/T 556-2018; Standard for Selenium Content in Selenium-Enriched/Selenium Containing Foods and Related Products. Shaanxi Provincial Bureau of Quality and Technical Supervision: Xi’an, China, 2018. (In Chinese)
- Saini, S.; Kumar, P.; Sharma, N.C.; Sharma, N.; Balachandar, D. Nano-enabled Zn fertilization against conventional Zn analogues in strawberry (Fragaria × ananassa Duch.). Sci. Hortic. 2021, 282, 110016. [Google Scholar] [CrossRef]
- Jia, H.F.; Song, Z.P.; Wu, F.Y.; Ma, M.; Li, Y.T.; Han, D.; Yang, Y.X.; Zhang, S.T.; Cui, H. Low selenium increases the auxin concentration and enhances tolerance to low phosphorous stress in tobacco. Environ. Exp. Bot. 2018, 153, 127–134. [Google Scholar] [CrossRef]
- Jiang, C.Q.; Zu, C.L.; Lu, D.J.; Zheng, Q.S.; Shen, J.; Wang, H.Y.; Li, D.C. Effect of exogenous selenium supply on photosynthesis, Na+ accumulation and antioxidative capacity of maize (Zea mays L.) under salinity stress. Sci. Rep. 2017, 7, 42039. [Google Scholar] [CrossRef]
- Deng, X.F.; Zhao, Z.Q.; Han, Z.Y.; Huang, L.Q.; Lv, C.H.; Zhang, Z.H.; Zhang, H.Q.; Liu, X.W. Selenium uptake and fruit quality of pear (Pyrus communis L.) treated with foliar Se application. J. Plant Nutr. Soil Sci. 2019, 182, 637–646. [Google Scholar] [CrossRef]
- Ning, P.; Fei, P.W.; Wu, T.Q.; Li, Y.F.; Qu, C.Y.; Li, Y.N.; Shi, J.L.; Tian, X.H. Combined foliar application of zinc sulphate and selenite affects the magnitude of selenium biofortification in wheat (Triticum aestivum L.). Food Energy Secur. 2022, 11, e342. [Google Scholar] [CrossRef]
- Germ, M.; Pongrac, P.; Regvar, M.; Vogel-Mikus, K.; Stibilj, V.; Jacimovic, R.; Kreft, I. Impact of double Zn and Se biofortification of wheat plants on the element concentrations in the grain. Plant Soil Environ. 2013, 59, 316–321. [Google Scholar] [CrossRef]
- White, P.J. The Genetics of Selenium Accumulation by Plants. In Selenium in Plants; Pilon-Smits, E., Winkel, L., Lin, Z.Q., Eds.; Springer: Cham, Switzerland, 2017; Volume 11, pp. 143–163. [Google Scholar]
- Zhu, Z.; Chen, Y.L.; Shi, G.Q.; Zhang, X.J. Selenium delays tomato fruit ripening by inhibiting ethylene biosynthesis and enhancing the antioxidant defense system. Food Chem. 2017, 219, 179–184. [Google Scholar] [CrossRef]
- Martinez-Cuenca, M.R.; Forner-Giner, M.A.; Iglesias, D.J.; Primo-Millo, E.; Legaz, F. Strategy I responses to Fe-deficiency of two Citrus rootstocks differing in their tolerance to iron chlorosis. Sci. Hortic. 2013, 153, 56–63. [Google Scholar] [CrossRef]
- Hille, R.; Nishino, T.; Bittner, F. Molybdenum enzymes in higher organisms. Coord. Chem. Rev. 2011, 255, 1179–1205. [Google Scholar] [CrossRef]
- Martins, V.; Teixeira, A.; Bassil, E.; Hanana, M.; Blumwald, E.; Geros, H. Copper-based fungicide Bordeaux mixture regulates the expression of Vitis vinifera copper transporters. Aust. J. Grape Wine Res. 2014, 20, 451–458. [Google Scholar] [CrossRef]
- Zhao, A.Q.; Bao, Q.L.; Tian, X.H.; Lu, X.C.; Gale, W.J. Combined effect of iron and zinc on micronutrient levels in wheat (Triticum aestivum L.). J. Environ. Biol. 2011, 32, 235–239. [Google Scholar]
- Niyigaba, E.; Twizerimana, A.; Mugenzi, I.; Ngnadong, W.A.; Ye, Y.P.; Wu, B.M.; Hai, J.B. Winter Wheat Grain Quality, Zinc and Iron Concentration Affected by a Combined Foliar Spray of Zinc and Iron Fertilizers. Agronomy 2019, 9, 250. [Google Scholar] [CrossRef]
- Zhang, Y.Q.; Deng, Y.; Chen, R.Y.; Cui, Z.L.; Chen, X.P.; Yost, R.; Zhang, F.S.; Zou, C.Q. The reduction in zinc concentration of wheat grain upon increased phosphorus-fertilization and its mitigation by foliar zinc application. Plant Soil 2012, 361, 143–152. [Google Scholar] [CrossRef]
- Feng, R.W.; Wei, C.Y.; Tu, S.X. The roles of selenium in protecting plants against abiotic stresses. Environ. Exp. Bot. 2013, 87, 58–68. [Google Scholar] [CrossRef]
- Drahonovsky, J.; Szakova, J.; Mestek, O.; Tremlova, J.; Kana, A.; Najmanova, J.; Tlustos, P. Selenium uptake, transformation and inter-element interactions by selected wildlife plant species after foliar selenate application. Environ. Exp. Bot. 2016, 125, 12–19. [Google Scholar] [CrossRef]
- Dai, Z.W.; Vivin, P.; Barrieu, F.; Ollat, N.; Delrot, S. Physiological and modelling approaches to understand water and carbon fluxes during grape berry growth and quality development: A review. Aust. J. Grape Wine Res. 2010, 16, 70–85. [Google Scholar] [CrossRef]
- Nunes, M.; Brecht, J.K.; Morais, A.; Sargent, S.A. Physicochemical changes during strawberry development in the field compared to those that occur in harvested fruit during storage. J. Sci. Food Agric. 2006, 86, 180–190. [Google Scholar] [CrossRef]
- Hu, X.Q.; Fang, C.Y.; Lu, L.; Hu, Z.Q.; Shao, Y.F.; Zhu, Z.W. Determination of soluble sugar profile in rice. J. Chromatogr. B 2017, 1058, 19–23. [Google Scholar] [CrossRef] [PubMed]
- Al-Obeed, R.S.; Ahmed, M.; Kassem, H.A.; Al-Saif, A.M. Improvement of “Kinnow” mandarin fruit productivity and quality by urea, boron and zinc foliar spray. J. Plant Nutr. 2018, 41, 609–618. [Google Scholar] [CrossRef]







| Type | pH | EC (μs) | OM (g kg−1) | Total N (g kg−1) | Available P (mg kg−1) | Available Zn (mg kg−1) | Available Se (mg kg−1) |
|---|---|---|---|---|---|---|---|
| Substrate | 7.34 | 807 | 170 | 6.90 | 1370 | 5.13 | 0.003 |
| Soil | 7.47 | 234 | 12.90 | 0.53 | 18.27 | 1.454 | 0.108 |
| Treatment | CK | Zn1 | Zn2 | Se1 | Se2 | Zn1 + Se1 | Zn2 + Se2 |
|---|---|---|---|---|---|---|---|
| ZnSO4·H2O | 0 | 0.1 | 0.2 | 0 | 0 | 0.1 | 0.2 |
| Na2SeO3 | 0 | 0 | 0 | 0.003 | 0.006 | 0.003 | 0.006 |
| Treatment | Fruit Zn Recovery | |||||
|---|---|---|---|---|---|---|
| Substrate Cultivation | Soil Cultivation | |||||
| 1st | 2nd | 3rd | 1st | 2nd | 3rd | |
| Zn1 | 24.2 ± 0.12 a (A) | 13.1 ± 0.07 a (A) | 8.32 ± 0.04 a (A) | 8.85 ± 0.03 a (A) | 1.72 ± 0.01 a (B) | - |
| Zn2 | 34.2 ± 0.06 a (A) | 27.5 ± 0.11 a (A) | 13.1 ± 0.05 a (A) | 16.8 ± 0.03 a (A) | 0.130 ± 0.00 a (B) | 1.72 ± 0.01 a (B) |
| Zn1 + Se1 | 23.0 ± 0.06 a (A) | 13.3 ± 0.02 a (A) | 21.6 ± 0.05 a (A) | 9.26 ± 0.04 a (A) | 2.63 ± 0.03 a (A) | 0.210 ± 0.00 a (A) |
| Zn2 + Se2 | 25.5 ± 0.10 a (A) | 10.9 ± 0.07 a (A) | 8.33 ± 0.02 a (A) | 11.9 ± 0.07 a (A) | 1.15 ± 0.01 a (A) | 3.14 ± 0.02 a (A) |
| Treatment | Fruit Se Recovery | |||||
|---|---|---|---|---|---|---|
| Substrate Cultivation | Soil Cultivation | |||||
| 1st | 2nd | 3rd | 1st | 2nd | 3rd | |
| Se1 | 12.6 ± 0.00 a (A) | 32.1 ± 0.06 a (A) | 15.9 ± 0.05 a (A) | 18.1 ± 0.18 a (A) | 43.8 ± 0.19 a (A) | 19.2 ± 0.10 a (A) |
| Se2 | 8.32 ± 0.00 b (A) | 17.1 ± 0.03 ab (A) | 7.68 ± 0.03 a (A) | 10.9 ± 0.04 a (A) | 21.7 ± 0.01 a (A) | 17.4 ± 0.05 a (A) |
| Zn1 + Se1 | 2.58 ± 0.01 c (A) | 5.40 ± 0.02 b (A) | 2.55 ± 0.02 a (A) | 1.70 ± 0.02 a (A) | 6.62 ± 0.07 a (A) | - |
| Zn2 + Se2 | 4.55 ± 0.00 c (A) | 4.27 ± 0.00 b (A) | 2.66 ± 0.00 a (B) | 5.14 ± 0.05 a (A) | 3.81 ± 0.02 a (A) | 3.53 ± 0.01 a (A) |
Disclaimer/Publisher’s Note: The statements, opinions and data contained in all publications are solely those of the individual author(s) and contributor(s) and not of MDPI and/or the editor(s). MDPI and/or the editor(s) disclaim responsibility for any injury to people or property resulting from any ideas, methods, instructions or products referred to in the content. |
© 2023 by the authors. Licensee MDPI, Basel, Switzerland. This article is an open access article distributed under the terms and conditions of the Creative Commons Attribution (CC BY) license (https://creativecommons.org/licenses/by/4.0/).
Share and Cite
Huang, S.; Gao, L.; Fu, G.; Du, S.; Wang, Q.; Li, H.; Wan, Y. Interactive Effects between Zinc and Selenium on Mineral Element Accumulation and Fruit Quality of Strawberry. Agronomy 2023, 13, 2453. https://doi.org/10.3390/agronomy13102453
Huang S, Gao L, Fu G, Du S, Wang Q, Li H, Wan Y. Interactive Effects between Zinc and Selenium on Mineral Element Accumulation and Fruit Quality of Strawberry. Agronomy. 2023; 13(10):2453. https://doi.org/10.3390/agronomy13102453
Chicago/Turabian StyleHuang, Siyu, Linyan Gao, Guohai Fu, Sen Du, Qi Wang, Huafen Li, and Yanan Wan. 2023. "Interactive Effects between Zinc and Selenium on Mineral Element Accumulation and Fruit Quality of Strawberry" Agronomy 13, no. 10: 2453. https://doi.org/10.3390/agronomy13102453
APA StyleHuang, S., Gao, L., Fu, G., Du, S., Wang, Q., Li, H., & Wan, Y. (2023). Interactive Effects between Zinc and Selenium on Mineral Element Accumulation and Fruit Quality of Strawberry. Agronomy, 13(10), 2453. https://doi.org/10.3390/agronomy13102453
