Exploration of Dual Ionic Cross-Linked Alginate Hydrogels Via Cations of Varying Valences towards Wound Healing
Abstract
1. Introduction
2. Materials and Methods
2.1. Materials
2.2. Methods
2.2.1. Alginate Hydrogel Fabrication
2.2.2. Cation Alginate Fabrication
2.2.3. Gel Characterisation
Scanning Electron Microscopy (SEM)
Thermogravimetric Analysis (TGA) and Differential Scanning Calorimetry (DSC)
Rheology
Fourier Transform Infrared Spectroscopy
2.2.4. Bacterial Strain Preparation
Zone of Inhibition
2.2.5. Swelling Capacity, Evaporative Water Loss and Matrix Curvature
2.2.6. Inductively Coupled Plasma Spectroscopy (ICP)
3. Results and Discussion
3.1. Characterisation of Alginate Wafers
3.1.1. Morphology Study Using SEM
3.1.2. Rheology Analysis of Samples
3.1.3. Thermal Properties of Alginate Wafers
3.1.4. Fourier Transform Infrared Spectroscopy
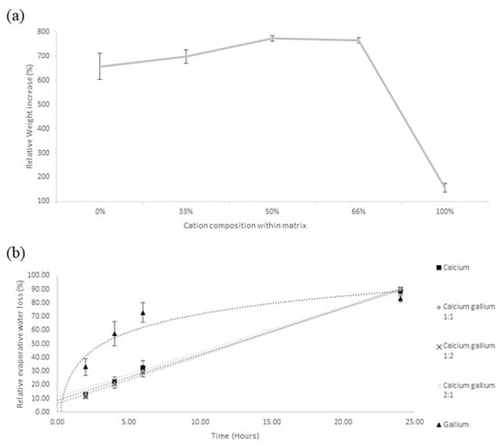
3.1.5. Swelling Capacity
3.1.6. Evaporative Water Loss and Matrix Curvature
3.2. Inductively Coupled Plasma Spectroscopy (ICP)
3.3. Zone of Inhibition
4. Conclusions
Supplementary Materials
Author Contributions
Funding
Data Availability Statement
Conflicts of Interest
References
- Moura, L.I.; Dias, A.M.; Carvalho, E.; de Sousa, H.C. Recent advances on the development of wound dressings for diabetic foot ulcer treatment-a review. Acta Biomater. 2013, 9, 7093–7114. [Google Scholar] [CrossRef]
- Parani, M.; Lokhande, G.; Singh, A.; Gaharwar, A.K. Engineered nanomaterials for infection control and healing acute and chronic wounds. ACS Appl. Mater Interfaces 2016, 8, 10049–10069. [Google Scholar] [CrossRef] [PubMed]
- Wawrzyńska, E.; Kubies., D. Alginate matrices for protein delivery-a short review. Physiol. Res. 2018, 67, 319–334. [Google Scholar] [CrossRef]
- Seedat, N.; Kalhapure, R.S.; Mocktar, C.; Vepuri, S.; Jadhav, M.; Soliman, M.; Govender, T. Co-encapsulation of multi-lipids and polymers enhances the performance of vancomycin in lipid-polymer hybrid nanoparticles: In vitro and in silico studies. Mater. Sci. Eng. C 2016, 61, 616–630. [Google Scholar] [CrossRef]
- Moebus, K.; Siepmann, J.; Bodmeier, R. Novel preparation techniques for alginate-poloxamer microparticles controlling protein release on mucosal surfaces. Eur. J. Pharm. Sci 2012, 45, 358–366. [Google Scholar] [CrossRef] [PubMed]
- Lipour, S.; Montaseri, H.; Tafaghodi, M. Preparation and characterization of biodegradable paclitaxel loaded alginate microparticles for pulmonary delivery. Colloid Surface B Biointerfaces 2010, 81, 521–529. [Google Scholar] [CrossRef] [PubMed]
- Hill, M.; Twigg, M.; Sheridan, E.A.; Hardy, J.G.; Elborn, J.S.; Taggart, C.C.; Scott, C.J.; Migaud, M.E. Alginate/Chitosan Particle-Based Drug Delivery Systems for Pulmonary Applications. Pharmaceutics 2019, 11, 379. [Google Scholar] [CrossRef]
- Ahmed, A.; Getti, G.; Boateng, J. Ciprofloxacin-loaded calcium alginate wafers prepared by freeze-drying technique for potential healing of chronic diabetic foot ulcers. Drug Deliver. Trans. Res. 2018, 8, 1751–1768. [Google Scholar] [CrossRef] [PubMed]
- Sarheed, O.; Rasool, B.K.A.; Abu-Gharbieh, E.; Aziz, U.S.S. An investigation and characterization on alginate hydogel dressing loaded with metronidazole prepared by combined inotropic gelation and freeze-thawing cycles for controlled release. AAPS PharmSciTech 2014, 16, 601–609. [Google Scholar] [CrossRef] [PubMed]
- Lee, B.H.; Li, B.; Guelcher, S.A. Gel microstructure regulates proliferation and differentiation of MC3T3-E1 cells encapsulated in alginate beads. Acta Biomater 2012, 8, 1693–1702. [Google Scholar] [CrossRef] [PubMed]
- Mhanna, R.; Kashyap, A.; Palazzolo, G.; Vallmajo-Martin, Q.; Becher, J.; Moller, S.; Schnabelrauch, M. Chondrocyte culture in three dimensional alginate sulfate hydrogels promotes proliferation while maintaining expression of chondrogenic markers. Tissue Eng. Part A 2014, 20, 1454–1464. [Google Scholar] [CrossRef] [PubMed]
- Jeon, H.; Kang, K.; Park, S.A.; Kim, W.D.; Paik, S.S.; Lee, S.H.; Jeong, J.; Choi, D. Generation of multilayered 3D structures of HepG2 cells using a bio-printing technique. Gut Liver 2017, 11, 121–128. [Google Scholar] [CrossRef]
- Cao, L.; Lu, W.; Mata, A.; Nishinari, K.; Fang, Y. Egg-box model-based gelation of alginate and pectin: A review. Carbohydr. Polym. 2020, 242, 116389. [Google Scholar] [CrossRef] [PubMed]
- Kuo, C.K.; Ma, P.X. Ionically crosslinked alginate hydrogels as scaffolds for tissue engineering: Part 1. Structure, gelation rate and mechanical properties. Biomaterials 2001, 22, 511–521. [Google Scholar] [CrossRef] [PubMed]
- Szekalska, M.; Puciłowska, A.; Szymańska, E.; Ciosek, P.; Winnicka, K. Alginate: Current use and future perspectives in pharmaceutical and biomedical applications. Int. J. Polym. Sci. 2016, 2016, 1–17. [Google Scholar] [CrossRef]
- Brus, J.; Urbanova, M.; Czernek, J.; Pavelkova, M.; Kubova, K.; Vyslouzil, J.; Abbrent, S.; Konefal, R.; Horsky, J.; Vetchy, D.; et al. Structure and Dynamics of Alginate Gels Cross-Linked by Polyvalent Ions Probed via Solid State NMR Spectroscopy. Biomacromolecules 2017, 18, 2478–2488. [Google Scholar] [CrossRef]
- Hu, C.; Lu, W.; Mata, A.; Nishinari, K.; Fang, Y. Ions-induced gelation of alginate: Mechanisms and applications. Int. J. Biol. Macromol. 2021, 177, 578–588. [Google Scholar] [CrossRef]
- Grant, G.T.; Morris, E.R.; Rees, D.A.; Smith, P.J.C.; Thom, D. Biological interactions between polysaccharides and divalent cations: The egg-box model. FEBS Lett. 1973, 32, 195–198. [Google Scholar] [CrossRef]
- Wang, H.; Wan, Y.; Wang, W.; Li, W.; Zhu, J. Effect of calcium ions on the III steps of self-assembly of SA investigated with atomic force microscopy. Int. J. Food Prop. 2018, 21, 1995–2006. [Google Scholar] [CrossRef]
- Zhang, X.; Wang, L.; Weng, L.; Deng, B. Strontium ion substituted alginate-based hydrogel fibers and its coordination binding model. J. Appl. Polym. Sci. 2019, 137, 48571. [Google Scholar] [CrossRef]
- Hassan, R.M. Prospective and comparative Novel technique for evaluation the affinity of alginate for binding the alkaline-earth metal ions during formation the coordination biopolymer hydrogel complexes. Int. J. Biol. Macromol. 2020, 165, 1022–1028. [Google Scholar] [CrossRef]
- Caccavo, D.; Ström, A.; Larsson, A.; Lamberti, G. Modeling capillary formation in calcium and copper alginate gels. Mater. Sci. Eng. C 2016, 58, 442–449. [Google Scholar] [CrossRef]
- Alkhayer, G.; Khudr, H.; Koudsi, Y. Spectroscopic and chromatographic investigation of chiral interactions between tiaprofenic acid and alginate–metal-complexes. RSC Adv. 2020, 10, 35121–35130. [Google Scholar] [CrossRef]
- Liu, Y.; Chen, J.; Liu, Z.; Xu, H.; Shi, Z.; Yang, Q.; Hu, G.H.; Xiong, C. Necklace-like ferroferric oxide (Fe3O4) nanoparticle/carbon nanofibril aerogels with enhanced lithium storage by carbonization of ferric alginate. J. Colloid. Interface Sci. 2020, 576, 119–126. [Google Scholar] [CrossRef]
- Chen, Y.; Teng, J.; Liao, B.Q.; Li, R.; Lin, H. Molecular insights into the impacts of iron(III) ions on membrane fouling by alginate. Chemosphere 2020, 242, 125232. [Google Scholar] [CrossRef]
- Menakbi, C.; Quignard, F.; Mineva, T. Complexation of Trivalent Metal Cations to Mannuronate Type Alginate Models from a Density Functional Study. J. Phys. Chem. B 2016, 120, 3615–3623. [Google Scholar] [CrossRef] [PubMed]
- Agulhon, P.; Markova, V.; Robitzer, M.; Quignard, F.; Mineva, T. Structure of Alginate Gels: Interaction of Diuronate Units with Divalent Cations from Density Functional Calculations. Biomacromolecules 2012, 13, 1899–1907. [Google Scholar] [CrossRef] [PubMed]
- Singh, S.; Dodt, J.; Volkers, P.; Hethershaw, E.; Philippou, H.; Ivaskevicius, V.; Imhof, D.; Oldenburg, J.; Biswas, A. Structure functional insights into calcium binding during the activation of coagulation factor XIII A. Sci. Rep. 2019, 9, 11324. [Google Scholar] [CrossRef]
- Thomas, S. Alginate dressings in surgery and wound management—Part 1. J. Wound Care 2000, 9, 56–60. [Google Scholar] [CrossRef]
- Best, M.G.; Cunha-Reis, C.; Ganin, A.Y.; Sousa, A.; Johnston, J.; Oliveira, A.L.; Smith, D.G.E.; Yiu, H.H.P.; Cooper, I.R. Antimicrobial Properties of Gallium(III)- and Iron(III)-Loaded Polysaccharides Affecting the Growth of Escherichia coli, Staphylococcus aureus, and Pseudomonas aeruginosa In Vitro. ACS Appl. Bio Mater. 2020, 3, 7589–7597. [Google Scholar] [CrossRef]
- Hijazi, S.; Visaggio, D.; Pirolo, M.; Frangipani, E.; Bernstein, L.; Visca, P. Antimicrobial Activity of Gallium Compounds on ESKAPE Pathogens. Front. Cell. Infect. Microbiol. 2018, 8, 316. [Google Scholar] [CrossRef]
- Stuart, B.W.; Stan, G.E.; Popa, A.C.; Carrington, M.J.; Zgura, I.; Necsulescu, M.; Granta, D.M. New solutions for combatting implant bacterial infection based on silver nano-dispersed and gallium incorporated phosphate bioactive glass sputtered films: A preliminary study. Bioact. Mater. 2022, 8, 325–340. [Google Scholar] [CrossRef]
- Zheng, H.; Huang, Z.; Chen, T.; Sun, Y.; Chen, S.; Bu, G.; Guan, H. Gallium ions incorporated silk fibroin hydrogel with antibacterial efficacy for promoting healing of Pseudomonas aeruginosa-infected wound. Front. Chem. 2022, 10, 1017548. [Google Scholar] [CrossRef]
- Chitambar, C.J. Medical applications and toxicities of gallium compounds. Int. J. Environ. Res. Public Health 2010, 7, 2337–2361. [Google Scholar] [CrossRef]
- Pourshahrestani, S.; Zeimaran, E.; Kadri, N.A.; Gargiulo, N.; Samuel, S.; Naveen, S.V.; Kamarul, T.; Towler, M.R. Gallium-containing mesoporous bioactive glass with potent hemostatic activity and antibacterial efficacy. J. Mater. Chem. B 2016, 4, 71–86. [Google Scholar] [CrossRef]
- Ohbayashi, T.; Irie, A.; Murakami, Y.; Nowak, A.M.; Potempa, J.; Nishimura, Y.; Shinohara, M.; Imamura, T. Degradation of fibrinogen and collagen by staphopains, cysteine proteases released from Staphylococcus aureus. Microbiology 2010, 157, 786–792. [Google Scholar] [CrossRef]
- Man, E.; Oluwasanmi, A.; Lamprou, D.A.; Goudie, K.J.; Liggat, J.; Hoskins, C. Effect of preparation method on alginate wafer properties. J. Appl. Polym. Sci. 2022, 139, e52941. [Google Scholar] [CrossRef]
- Miethke, M.; Marahiel, M.A. Siderophore-based iron acquisition and pathogen control. Microbiol. Mol. Biol. Rev. 2007, 71, 413–451. [Google Scholar] [CrossRef]
- Onoda, T.; Enokizono, J.; Kaya, H.; Oshima, A.; Freestone, P.; Norris, V. Effects of Calcium and Calcium Chelators on Growth and Morphology of Escherichia coli L-Form NC-7. J. Bacteriol. 2000, 182, 5. [Google Scholar] [CrossRef]
- Almoudi, M.M.; Hussein, A.S.; Hassan, M.I.A.; Zain, N.M. A systematic review on antibacterial activity of zinc against Streptococcus mutans. Saudi Dent. J. 2018, 30, 283–291. [Google Scholar] [CrossRef]
- Prasad, A.S. Zinc in Human Health: Effect of Zinc on Immune Cells. Mol. Med. 2008, 14, 353–357. [Google Scholar] [CrossRef]
- Romani, A.M.P. Beneficial Role of Mg2+ in Prevention and Treatment of Hypertension. Int. J. Hypertens. 2018, 2018, 9013721. [Google Scholar] [CrossRef]
- Aycicek, A.; Koc, A.; Oymak, Y.; Selek, S.; Kaya, C.; Guzel, B. Ferrous sulfate (Fe2+) had a faster effect than did ferric polymaltose (Fe3+) on increased oxidant status in children with iron-deficiency anemia. Randomized Controlled Trial. J. Pediatr. Hematol. Oncol. 2014, 36, 57–61. [Google Scholar] [CrossRef]








| Alginate | Average Pore Size, μm (±SD) |
|---|---|
| Calcium | 79.1 (28.9) |
| Calcium gallium 1:2 | 83.9 (60.5) |
| Calcium gallium 1:1 | 61.0 (18.2) |
| Calcium gallium 2:1 | 64.7 (21.1) |
| Gallium | 35.6 (14.5) |
| Evaporative Water Loss (%) | ||||
|---|---|---|---|---|
| Cross-linker combination | 2 h | 4 h | 6 h | 24 h |
| Gallium | 33.11 | 57.50 | 72.92 | 82.88 |
| Calcium | 12.82 | 22.49 | 32.32 | 88.51 |
| Calcium gallium 1:1 | 11.26 | 20.83 | 28.81 | 90.52 |
| Calcium gallium 1:2 | 11.32 | 20.18 | 28.88 | 90.05 |
| Calcium gallium 2:1 | 13.93 | 24.76 | 35.91 | 89.50 |
| (A) | Solution Concentration | Calcium (g/mL) | Gallium (g/mL) | Ratio (Ca:Ga) | ||
| 100% Calcium | 0.088 | 0 | N/A | |||
| 66% Calcium 33% Gallium | 0.053 | 0.006 | 66:7 (9.4:1) | |||
| 50% Calcium 50% Gallium | 0.057 | 0.014 | 71:18 (3.9:1) | |||
| 33% Calcium 66% Gallium | 0.074 | 0.001 | 93:12 (7.8/1) | |||
| 100% Gallium | 0 | 0.018 | N/A | |||
| (B) | Solution concentration | Calcium (%) | Gallium (%) | |||
| 100% Calcium | 79.3 | 0 | ||||
| 66% Calcium 33% Gallium | 47.6 | 2.2 | ||||
| 50% Calcium 50% Gallium | 51.2 | 5.8 | ||||
| 33% Calcium 66% Gallium | 67. | 3.8 | ||||
| 100% Gallium | 0 | 7.4 | ||||
Publisher’s Note: MDPI stays neutral with regard to jurisdictional claims in published maps and institutional affiliations. |
© 2022 by the authors. Licensee MDPI, Basel, Switzerland. This article is an open access article distributed under the terms and conditions of the Creative Commons Attribution (CC BY) license (https://creativecommons.org/licenses/by/4.0/).
Share and Cite
Man, E.; Lamprou, D.; Easdon, C.; McLellan, I.; Yiu, H.H.P.; Hoskins, C. Exploration of Dual Ionic Cross-Linked Alginate Hydrogels Via Cations of Varying Valences towards Wound Healing. Polymers 2022, 14, 5192. https://doi.org/10.3390/polym14235192
Man E, Lamprou D, Easdon C, McLellan I, Yiu HHP, Hoskins C. Exploration of Dual Ionic Cross-Linked Alginate Hydrogels Via Cations of Varying Valences towards Wound Healing. Polymers. 2022; 14(23):5192. https://doi.org/10.3390/polym14235192
Chicago/Turabian StyleMan, Ernest, Dimitrios Lamprou, Claire Easdon, Iain McLellan, Humphrey H. P. Yiu, and Clare Hoskins. 2022. "Exploration of Dual Ionic Cross-Linked Alginate Hydrogels Via Cations of Varying Valences towards Wound Healing" Polymers 14, no. 23: 5192. https://doi.org/10.3390/polym14235192
APA StyleMan, E., Lamprou, D., Easdon, C., McLellan, I., Yiu, H. H. P., & Hoskins, C. (2022). Exploration of Dual Ionic Cross-Linked Alginate Hydrogels Via Cations of Varying Valences towards Wound Healing. Polymers, 14(23), 5192. https://doi.org/10.3390/polym14235192

