Next Article in Journal
Crystal Structure Analysis, Stability, Phase Transformation and Selective Nucleation Mechanism of Fluralaner Polymorphs
Previous Article in Journal
Uncommon Magnetism in Rare-Earth Intermetallic Compounds with Strong Electronic Correlations
Previous Article in Special Issue
Mechanical Properties of 6061 Aluminum Alloy under Cyclic Tensile Loading
 
 
Font Type:
Arial Georgia Verdana
Font Size:
Aa Aa Aa
Line Spacing:
Column Width:
Background:
Article

Effects of Different Surface Treatment Processes on Bonding Properties of Aluminum Alloys under Full Temperature Field Environment

1
School of Mechanical and Power Engineering, Zhengzhou University, Zhengzhou 450001, China
2
School of Mechanical Engineering, North China University of Water Resources and Electric Power, Zhengzhou 450000, China
*
Author to whom correspondence should be addressed.
Crystals 2023, 13(8), 1240; https://doi.org/10.3390/cryst13081240
Submission received: 21 June 2023 / Revised: 30 July 2023 / Accepted: 9 August 2023 / Published: 11 August 2023
(This article belongs to the Special Issue Recent Advances in Light Alloys and Their Applications)

Abstract

:
Our aim was to study the influence of the surface treatment process on the mechanical properties of an adhesive. This study takes aluminum alloy 6061 as the substrate; carries out grinding, sandblasting, plasma, grinding + plasma, and sandblasting + plasma surface treatment processes; and chooses the ISR 7008 adhesive to make aluminum alloy butt joints, and the joints Connectors are in −40 °C, −20 °C, 0 °C, 40 °C, 60 °C, and 80 °C environments, respectively (1–3 days of a constant-temperature test). The results show that the plasma surface treatment process helps to improve the activity and hydrophilicity of the bonding surface; the plasma surface treatment process helps to improve the adhesive strength of the joints under the environment of −40 °C and 80 °C; and under the environment of −20–60 °C, the sandblasting + plasma surface treatment process helps to improve the adhesive strength of the joints. By analyzing the infrared spectra of the ISR 7008 adhesive, it was found that the contents of γ N H , ν C C , ν C N , and ν C O were higher in the interval from 25 °C to 80 °C than those in the interval from −40 °C to 0 °C, which resulted in the decrease in adhesive properties.

1. Introduction

With the demand for green development, energy conservation, and emission reduction, a lightweight structure has become a significant trend in the development of the vehicle industry. Currently, an aluminum alloy is widely used in vehicle lights due to its high specific strength and corrosion resistance. An aluminum alloy is commonly used in the marine industry and chemical industry, as well as aerospace, packaging, transportation, and other fields, due to its low density, good mechanical properties, and good processing properties [1]. Traditional mechanical connections (riveting, interference connections, and bolting) cause significant damage to material, severe surface abrasion, and can even permanently damage fabric and make recycling impossible. The bonding process is a new type of connection method that effectively protects fabric from damage and avoids the stress concentration problems caused by mechanical connections. In contrast, bonding has the advantages of a higher stiffness, better appearance, large load-bearing area, and uniform stress distribution [2,3].
But the bonding structure is often also affected by temperature, humidity, and other factors; different environmental factors have a more significant impact on the properties of the bonding structure. An adhesive is a polymer material; its mechanical properties are more temperature-sensitive. With an increase in the using age, the bond is prone to aging; aging will cause a decline in the mechanical properties of material, resulting in the dynamic and static mechanical properties of the bonding structure being reduced and the bonding structure facing premature failure [4,5].
For a specific substrate and adhesive, improving the interface properties is essential to improve the bond strength of the joint. The interface between the substrate and adhesive is related to surface properties such as surface topography, surface roughness, and water-contact angle [6].
As far as aluminum alloy bonding is concerned, many scholars have studied it. For different working environments of joints, Spaggiari et al. [7] found that, by comparing untreated aluminum alloys with aluminum-alloy-bonded joints that had undergone three mechanical treatments (sandpaper grinding, sandblasting, and roller pressing), the best performance of the aluminum alloy joints arose after sandpaper grinding and sandblasting, with the final form of damage being the desired cohesive damage. Urkmez Taskin et al. [8] studied the shear strength behavior of bonded joints made from aluminum foam and solid aluminum after high-temperature aging to investigate the effect of aging time on joint strength and failure type—all joints had lower muscles in the high-temperature environment compared to unaged joints—but the forces in the short-time aging environment were higher than the strength values for aluminum foam. Haichao Liu et al. [9] investigated the effect of temperature on the bond strength of aluminum alloy joints in a whole temperature field environment. The breaking strength of aluminum joints varies with temperature, with the breaking strength of adhesives at lower temperatures being higher than that at room or high temperatures. Jingxin Na et al. [10] investigated the effect of temperature on the mechanical properties of BFRP-aluminum-alloy-bonded joints and found that Young’s modulus and tensile strength of the adhesive decreased as the temperature increased. In addition, when the glass transition temperature (Tg) was approached or exceeded, the tensile strain increased, and the mechanical properties changed. The properties of the adhesive and the BFRP influence the breaking strength of BFRP-Al joints at different temperatures. The power decreases in high-temperature environments, the BFRP-Al joints have the highest shear resistance, and the joints are more likely to fail in favorable and combined shear and positive-stress conditions. BFRP can be damaged when the joint is subjected to chronic stress or low temperatures. Yisa Fan et al. [11] investigated the effect of cyclic hygrothermal aging on the mechanical properties of joints. Hygrothermal aging significantly reduced bonded joints’ ultimate breaking strength and stiffness, and the failure strength decreased with increasing failure cycles. The joint damage was significantly increased after hygrothermal aging compared to the un-aged condition. Park et al. [12] studied the influence of process factors on the corrosion resistance of aluminum-alloy-bonded joints. They determined the process parameters that affect the corrosion resistance of aluminum-alloy-bonded joints. The primer exhibits adequate corrosion protection when used with a sol-gel coating. The addition of zirconium oxide (ZrO2) to the sol-gel layer increases the densification of the surface, resulting in a corrosion-resistant surface.
There are a large number of scholars who have studied the surface treatment of bonded substrates. Jigao et al. [13] reviewed the essential characteristics, durability, and adhesive peeling effect of composites after surface treatment and the combination of different surface treatments with each other significantly improved the quality of CFRP surface preparation. Marques et al. [14] reviewed the surface treatment of metal matrix materials and composites. They analyzed the advantages of adhesives in joining heterogeneous materials and introduced some surface treatment methods. Rezayat et al. [15] reviewed the importance of the surface treatment of stainless steel materials; analyzed the effect of surface treatment on mechanical properties such as the hardness, tensile strength, and fatigue life of the material; and pointed out the limitations of the use of surface treatment, and the need to choose the appropriate surface treatment for different use scenarios. Zhaohua et al. [16] studied the effect of surface treatment and four kinds of adhesive bonding on the mechanical properties of CLT, and the study showed that using a suitable primer after surface treatment helps improve the bond strength of the material. Ashkani et al. [17] used the addition of alloying elements to study titanium alloy materials; the addition of a copper alloy in Ti-Mo will reduce the elastic modulus of the material, and the addition of aluminum alloy elements will increase the material’s elasticity. An aluminum alloy element increases the elastic modulus of the material. Thus, the mechanical properties of the material are improved. Rezayat et al. [18] studied the morphology and properties of nanocomposites by using the grinding method. The results showed that the grinding time has a significant effect on the particle size of nanocomposites; the optimum grinding plan was determined, and the related characterization results provide meaningful reference values for the microstructure of nanocomposites.
Several scholars have also studied the treatment of bonded surfaces of aluminum alloys. Moroni et al. [19] studied the relationship between laser processing parameters, aluminum alloy surface morphology, and the strength of bonding joints. Mustafa et al. [20] studied the effect of silane and laser treatment on the shear strength and damage-type characteristics of AL/CFRP-bonded joints. The silane concentration on the aluminum sheet significantly affects the shear strength of AL/CFRP-bonded joints compared to untreated joints. In addition, laser treatment parameters of a 100 mm/s scanning speed, an 80 Hz frequency, and 50 W laser powers were determined to achieve the optimum surface for a strong bond between Ti and CFRP. Prysiazhnyi et al. [21] studied the aging behavior of aluminum alloys with atmospheric pressure plasma treatment in a humid environment. A reduction in surface free energy after plasma treatment was observed, with plasma treatment leading to the creation of face groups. Zain et al. [22] investigated the effect of different ratios of polyurethane adhesives with surface treatment techniques on joint strength and interfacial properties through alkaline etching and warm-water treatment, revealing that the durability of polyurethane adhesives is related to the surface treatment method. Leena et al. [23] studied aluminum alloys treated with solvent degreasing, etching, and the use of primers to assess the surface energy, contact angle, surface topography, surface roughness, and bond strength properties of the surfaces, with the substrate surface energy and surface roughness as well as good wetting of the adhesive contributing to the bond strength of the aluminum alloy. Guo et al. [24] investigated the effect of bond thickness and surface treatment on bond strength, which depends not only upon roughness and wettability but also relates to surface properties such as peak density, nanopores, and texture orientation. Kahraman [25] investigated the change in properties of aluminum alloy surface layers for different sonication times and found that there were three different layers on the sonicated surface; the thickness of the layer increased with treatment time or deformation; and the highest hardness values for all treated aluminum alloys were determined in the monocrystalline layer.
There needs to be more studies on the mechanical properties of automotive adhesives for surface treatment processes at different temperatures and constant-temperature times. In this paper, we use polyurethane adhesive ISR 7008 to make aluminum alloy butt joints in five ways—grinding sanding, sandblasting, plasma surface treatment, grinding + plasma surface treatment, and sandblasting + plasma surface treatment—and carry out experimental research on the mechanical properties of the adhesive under different constant-temperature conditions. A water contact angle test was carried out on the treated surfaces with a video optical contact angle measuring instrument. The joints were subjected to constant-temperature experiments at 20 °C intervals and at −40–80 °C environments for 1–3 days, respectively, to test the mechanical properties of the adhesive under different surface treatments and to obtain the average failure load and load–displacement curves under the constant-temperature time. The adhesive sections were analyzed with a scanning electron microscope (SEM) for failure modes. The failure mode was analyzed with a scanning electron microscope (SEM), and the adhesive’s chemical properties and failure mechanism analysis were investigated with temperature using infrared spectroscopy (FTIR).

2. Material Selection and Joint Production

2.1. Experimental Materials

In this study, aluminum alloy 6061 was used as the bonding base material, which mainly contains Cu, Mn, Mg, and other alloy elements with a high strength, a good plasticity, and other characteristics; it is a common lightweight material for a body structure; it can meet structural strength and weight reduction needs. The primary technical parameters of aluminum alloy 6061 (data provided by the supplier) are shown in Table 1; the chemical composition is shown in Table 2.
This study used polyurethane elastomeric adhesive-type ISR 7008 from the French company Bostik, which cures by absorbing moisture from the air when exposed to atmospheric humidity and forms a permanent elastomer after curing. The adhesive is used in many applications, such as window bonding in high-speed trains, buses, cars, etc. It has excellent flexibility, fatigue durability, impact resistance, etc. It can achieve the elastic connection of the bonded parts and avoid stress concentration in the joint structure and also has the advantages of vibration damping and noise reduction. The primary technical parameters of the ISR 7008 adhesive (data provided by the supplier) are shown in Table 3.

2.2. Design and Production of Bonding Joints

To study the mechanical properties of surface treatment processes on bonded joints under positive stress, this study adopted five treatment processes: grinding (P), sandblasting (S), plasma surface treatment (APPT), polishing + plasma surface treatment (P + APPT), and sandblasting + plasma surface treatment (S + APPT) for the surface treatment of bonded surfaces. Sandpaper sanding and sandblasting are commonly used as mechanical surface treatments to enhance the contact area as well as the occlusal structure of an adhesive after curing, mainly by changing the surface roughness, strengthening the surface polar bond content, and ultimately enhancing the tensile and shear strength of the bonded joint [26]. Plasma surface treatment is a unique surface treatment process, using the arc effect and plasma action on the bonding surface caused by the collision, rearrangement, isomerization, and crystallization, so that the treated surface contains a plasma layer; the character has a clean, improved wettability and activity and the formation of new functional groups; and mechanical treatment methods can contribute a complementary advantage [27]. The specific process of surface treatment is shown in Table 4.
When the surface treatment described above is completed and the butt joint is made, the geometry and dimensions of the butt joint are shown in Figure 1. The overall dimensions of the joint are 201 × 25 × 25 mm3, with a bonding area of 25 × 25 mm2 and an adhesive layer thickness of 1 mm. Although the stress state in the butt joint near the free edge is a combination of shear and positive stresses, and there are stress concentrations, the principal pressures within the adhesive layer of the joint are positive, with a uniform distribution of positive stresses except at the end of the bonding layer. It is assumed that butt joints represent positive stresses, which are acceptable in engineering practice [28,29].
The joints were made in a dust-free, stable environment (temperature, 25 ± 5 °C; humidity, 50 ± 5%). To better investigate the bonding properties of adhesives to aluminum alloy substrates, the consistency of the bonding surface treatment should be ensured as far as possible. When all the above surface treatment process is completed, the aluminum alloy substrate surface is coated with glue and bonded using a special bonding jig for butt joint specimens (as shown in Figure 1). The relative dimensions of the adhesive layer are measured using a digital Vernier caliper during the bonding process to control the thickness of the adhesive layer well so that the thickness of the adhesive layer is guaranteed to be 1 ± 0.01 mm. After the bonding is completed, the bonded specimens are cured for 4 weeks at 25 ± 5 °C and 50 ± 5% humidity, and then the next step of the experiment is carried out.

2.3. Experimental Setup and Characterization Tools

After curing the bonded specimens, the specimens are subjected to a constant temperature throughout 1 to 3 days using a high- and low-temperature wet and hot alternating test chamber (WSHW-1000CF, WEISSTECH Experiment Equipment Company Limited, Shenzhen, China). After a certain period, the test pieces are removed and mounted on a microcomputer-controlled electronic universal testing machine. The bonded test pieces are connected to the testing machine using pins, and the related components are only subjected to an axial load during the stretching process. The tester stretches the specimen at a constant speed of 1 mm/min until the adhesive is wholly torn; the sample is tested, as shown in Figure 2.

2.3.1. Video Optical Contact Angle Measuring Instrument

A video optical contact angle measuring instrument (XG-CAMC1, Xuanzhun instruments, China) was used to measure the water-contact angle of the treated bonded surfaces to assess the effect of different treatments on the hydrophilic properties of the aluminum alloy substrate surface.

2.3.2. Precision Roughness Tester

Roughness measurements were performed on the treated surfaces using a precision roughness tester (JB-4C, Shanghai Taiming Optical Instruments Co., Ltd., Shanghai, China), and three measurements of Ra (the arithmetic mean deviation of the contour) were taken on the surface to evaluate the surface roughness of the aluminum alloys.

2.3.3. Scanning Electron Microscopy

The effect of temperature on the static loading effect of the adhesive was investigated, and the fracture morphology of different surface treatments at different temperatures was analyzed using scanning electron microscopy. The bond was plated with gold using an ion stutterer before scanning, and then the surface microform was analyzed using a scanning electron microscope (EM-30, COXEM, Daejeon, Republic of Korea).

2.3.4. Fourier Transform Infrared Microscope System

The adhesives were characterized using a Fourier transform infrared microscope system (Spotlight 200i, PerkinElmer, USA) to indicate the infrared absorption spectra of the bonds at high and low temperatures and to identify the functional groups in the aluminum alloy surface based on characteristics such as the location and absorption intensity of the absorption peaks in the infrared spectra. The infrared spectrum had a wavelength range of 8300–350 cm−1, a spectral resolution of 0.5 cm−1, and a wave number accuracy of 0.01 cm−1.

2.3.5. Reliability Analysis

Bonded joints must be subjected to reliability studies to determine their capability throughout their life cycle. This study used a simplified Weibull model to compare test results at different exposure times to assess the adhesive’s ability throughout its life cycle [30].

3. Results and Analysis

3.1. Surface Roughness and Micromorphology Analysis

To investigate the effect of different surface treatments on surface roughness, a precision roughness tester was used to measure the roughness of the treated surface. Three measurements of Ra (the arithmetic mean deviation of the profile) were made on the surface to assess the surface roughness of the aluminum alloy. As shown in Figure 3, the surface roughness of the plasma-treated surfaces is all less than that of the untreated surfaces, and the plasma surface treatment effectively reduces the roughness of the characters. The S treatment resulted in the most significant surface roughness values, and the S + APPT treatment significantly reduced the surface roughness values, consistent with the change in water-contact angle (see Table 5).
The microscopic morphology of the different treatments of the aluminum-bonded substrate is shown in Figure 4. The APPT-treated surface is homogeneous with no noticeable damage, and a comparison of the P and P + APPT treatments shows that the microscopic surface grooves are more uniform and flatter after the composite treatment. Comparing the S and S + APPT treatments reveals that the combined treatment resulted in a homogeneous surface microform, many cavities, and a uniform size, as seen in the red box. This is consistent with the pattern of variation in surface roughness.

3.2. Surface Wettability Analysis

As shown in Table 4, the water-contact angle was most significant for the P treatment. The water-contact angle of the P-, S-, APPT-, P + APPT-, and S + APPT-treated bonding surfaces decreased slightly with increasing drip time. The contact angle is hydrophobic when θ > 90° and hydrophilic when θ < 90° [31], and it is spreading. After several surface treatments, the contact angles θ are <90°, indicating that the treated surfaces exhibit hydrophilic properties.
The water-contact angle after the APPT treatment is significantly lower than the P and S treatments. Comparing the P and P + APPT treatments, it was found that after the APPT treatment, the water-contact angle was significantly reduced by 52.0% at a low drop time of 5 s, echoing the SEM analysis in a quiet temperature environment. This is mainly because APPT treatment produces a large number of polar groups on the aluminum alloy surface, which in turn improves its hydrophilicity. The same conclusion can be drawn when comparing S with S + APPT, where the contact angle is reduced by 60.5% after the APPT treatment. The plasma surface treatment can significantly reduce the water-contact angle [32] on the aluminum alloy surface, improving the surface wettability and, consequently, the bond strength of the joint.

3.3. Quasi-Static Tensile Test

Through quasi-static tensile tests, the mechanical properties of bonded joints with five surface treatments at a constant temperature were tested, and the automated property data obtained were statistically processed to obtain the variation of the average failure strength of the joints with a continual temperature time, as shown in Figure 5.
Comparing Figure 5a–c, it is found that the average failure load of the APPT treatment at a constant temperature of −40 °C is 2.3 kN after a continual temperature throughout 24 h, 2.37 kN after a continuous temperature throughout 48 h, and 2.36 kN after a constant temperature throughout 72 h, i.e., there is little difference in the average failure load at different regular temperature times. The same pattern was found for the same surface treatments for the other constant temperatures. This paper speculates that the effect on the average failure load is insignificant for the 24 h, 48 h, and 72 h stable-temperature cases, probably due to the short duration of the constant temperature. Therefore, the subsequent analysis is based on the example of a joint at a constant temperature throughout 72 h.
Figure 5c shows that the highest average failure load of 1.36 kN and an average failure strength of 2.18 MPa was achieved for the blasted + plasma-treated specimens for ambient bonded parts. The bond strength of the plasma (APPT) surface treatment was most significant when the exposure environment was −40 °C, with an average failure load of 2.36 kN and an average failure strength of 3.78 MPa. Compared to the ambient-temperature case, the increase is about 73%. The difference in joint force after sandblasting (S), sanding (P), sandblasting + plasma (S + APPT), and sanding + plasma (P + APPT) treatments is not significant, but all are less than the plasma (APPT) treatment. Compared with room-temperature joints, the increases were 73.1%, 72.4%, 50.1%, and 88.4%, respectively. The bond strength of the S + APPT surface treatment was maximum when the exposure environment was −20 °C. The bond strength of the different surface treatments was higher than at room temperature, which indicates that the low-temperature setting can improve the joint failure strength. This is due to the relatively good low-temperature resistance of the adhesive at −20 °C and −40 °C. The chemical bonds are not destroyed and gradually approach the glass transition temperature (Tg) of the cement, which is almost glassy [27], showing brittleness.
As shown in Figure 5c, APPT-surface-treated-bonded specimens have the highest average failure load of 1.29 kN and an average failure strength of 2.07 MPa when the exposure environment is 80 °C; this is a 0.49% reduction in power compared to the ambient-temperature bonded specimens. The forces of the S-, P-, S + APPT-, and P + APPT-treated joints were not significantly different, but all were less than the plasma (APPT) treatment; compared to the ambient temperature joints, the strengths were reduced by 6.37%, 15.05%, 19.27%, and 8.72%, respectively.
When the exposure environment is 40 °C, the strength of the bonded joints with S + APPT surface treatment is the highest, and the strength of the bonded joints with different surface treatments is lower than that of the bonded joints at room temperature. This indicates that the average failure strength of the bonded joints under a high-temperature environment gradually decreases with the increase in temperature, regardless of the surface treatment. This is due to the degradation and crosslinking of the polymer molecules in the adhesive at high temperatures. Degradation causes the polymer molecular chains to break and the molecular weight to drop, reducing the strength of the polymer. Crosslinking makes the formation of new chemical bonds between molecules, and molecular weight increases and polymer strength rises. However, the continuous crosslinking of the polymer on the bonded joint makes the polymer brittle, resulting in a decrease in joint strength. Plasma (APPT) treatment not only removes contaminants from the surface of aluminum alloys but it also generates polar chemical functional groups on the surface, such as –NH2 and –OH groups [33]; APPT surface treatment is extremely important for improving the strength of joints at high temperatures up to 80 °C.
In summary, compared with the bonded parts at room temperature, the joint strength of the same surface treatment gradually increases with the decrease in temperature in a low-temperature environment, among which the joint strength of plasma (APPT) surface treatment is the highest; in a high-temperature environment, the joint strength of the same surface treatment gradually decreases with the increase in temperature, among which the joint strength of sandblasting + plasma (S + APPT) surface treatment is the highest. The strength of the joint is the highest. When the temperature reaches 80 °C, the joint strength is the lowest, and the joint strength of plasma (APPT) surface treatment is the highest.

3.4. Load–Displacement Curve Analysis

The bonded joints were subjected to quasi-static tensile tests after different cycles of constant-temperature experiments. The load–displacement curves were obtained for the five treatments of grinding (P), sandblasting (S), plasma (APPT), grinding + plasma (P + APPT), and sandblasting + plasma (S + APPT), as shown in Figure 6, Figure 7, Figure 8, Figure 9 and Figure 10. It was found that the load–displacement curves for the same surface treatment at different constant temperatures showed almost the same trend. With the increase in continual temperature time, the failure load of the joint slightly decreases, and the failure displacement hardly changes. The change depends on the surface treatment method and has no apparent relationship with the constant-temperature time, so a 72 h regular temperature time is used as an example for the analysis.
For grinding (P) and sandblasting (s) treatments, as in Figure 6c and Figure 7c, the curves follow approximately the same trend as in Figure 8c. The plastic deformation continues after a longer elastic phase, reaching the failure load and eventually slowing destruction. It is interesting to note that the rate of load drop at the final failure is significantly higher for the curves than for the other three surface treatments. This indicates that the APPT treatment substantially enhances the bond strength of the adhesive to the aluminum alloy.
For the plasma (APPT) treatment, as in Figure 8c, the load–displacement curve trends towards continued plastic deformation after a longer elastic phase, reaching the failure load and eventually slower destruction [34]. As the temperature increases, the failure load of the bonded joint decreases significantly, and the failure displacement reduces significantly. The failure loads and failure displacements are much higher for the low temperature of −40 °C than for the high-temperature environment, which corresponds to the tensile test results analyzed above.
For grinding + plasma (P + APPT) and sandblasting + plasma (S + APPT) surface treatments, as shown in Figure 9c and Figure 10c, the trend of the curve is consistent with Figure 8c. The failure load for the S + APPT treatment is 1.1 kN at 80 °C and 1.29 kN below 60 °C. As shown in Figure 8c, there is almost no difference between the failure load at 80 °C and 60 °C for the plasma surface treatment. This indicates that the mechanical properties of the plasma-treated joints are relatively good at the extremely high temperature of 80 °C, which corresponds to the tensile test results analyzed above.
In summary, a constant-temperature time has a limited influence on the mechanical properties of bonded joints. In contrast, a constant temperature has a more significant impact on the mechanical properties of bonded joints. The best mechanical properties of plasma-treated bonded joints were obtained at the ultimate temperatures of −40 °C and 80 °C.

3.5. Macro-Morphology Analysis of Adhesive Failure Section

As shown in Figure 11, it was found that the fracture modes of the adhesives under a constant-temperature environment are all cohesive failures with little difference in fracture morphology. The surface treatment method did not significantly affect the macroscopic morphology of the failed sections, which may be caused by the slight difference in the microscopic morphological characteristics of the five surface treatments [35].
As shown in Figure 11, the number of ridges and grooves in the section decreases with increasing time at a constant temperature, corresponding to their tensile failure strength, probably due to the increase in time at a constant temperature and the consequent decrease in the plastic tensile properties of the adhesive. At −40 °C and −20 °C, the cross-sectional shape is flatter, with only a trace of ridges and grooves, echoing the optimum tensile properties of the joint at low temperatures. At a constant ambient temperature of −20 °C for 24 h, tiny air bubbles appear, as shown in the red box in Figure 11. This may be due to improper human bonding operations during the preparation of the butt joint, where air entered the bonding interface and was not expelled in time.
Between 25 °C and 80 °C, the number of ridges and grooves in the section gradually decreases as the temperature increases. The folds are not prominent, which is consistent with the pattern of change in joint strength with temperature as the temperature rises to increase the adhesive’s brittleness, destroying the adhesive’s internal chemical groups, and decreasing its bonding properties.

3.6. Micro-Morphological Analysis of Adhesives

To further investigate the failure behavior of aluminum alloy joints at different temperatures, the joints’ microscopic morphology was analyzed at the ultimate temperatures of −40 °C and 80 °C and at a constant temperature throughout 72 h. The surface morphology of the sandpaper polished at room temperature had some irregular shallow scratches with no special features. The surface of the sandblasted samples was rougher, with dense ridges and grooves due to the strong impact of the abrasive [36]. The failure modes of the bonded joints at −40 °C and 80 °C were all cohesive failures, and no interfacial shortcomings were observed, indicating that the bonding processes in this experimental study were all effective.
The surface finish hardly affects the surface morphology in the same constant-temperature environment. As shown in Figure 12b, the green area of Figure 13b increases the number of voids and is evenly distributed at the low temperature of −40 °C. The number of cracks and holes on the surface of the joints is less, the gaps are not obvious, and the surface morphology is not uniform at 80 °C compared to the constant-temperature environment of −40 °C. High temperatures lead to the polymer molecular chains’ breakage and the colloid’s failure.
As shown in the red area of Figure 12a,c, under a −40 °C environment, compared with P + APPT and S + APPT, the surface morphology of P and S treatments has clear adhesive tearing residues. In contrast, the composite treatment adhesive tearing is smoother, with more cavities and no apparent residues, indicating that the combined treatment can change the joint’s microscopic morphology and treat the joint’s surface with a better performance. As a result of the composite treatment, the particles in the plasma during the action of the plasma treatment have a modifying effect on the surface, introducing new functional groups and improving the hydrophilicity of the surface of the aluminum alloy, improving the joint’s failure strength.
The surface morphology of P + APPT and S + APPT is not uniform in an 80 °C environment. As shown in the red area of Figure 13b,d, the adhesive residue is much larger than in the other regions. In this paper, we speculate that this may be due to the uneven surface cleaning and intense collision between abrasives caused by sanding and blasting treatment during the compound treatment.

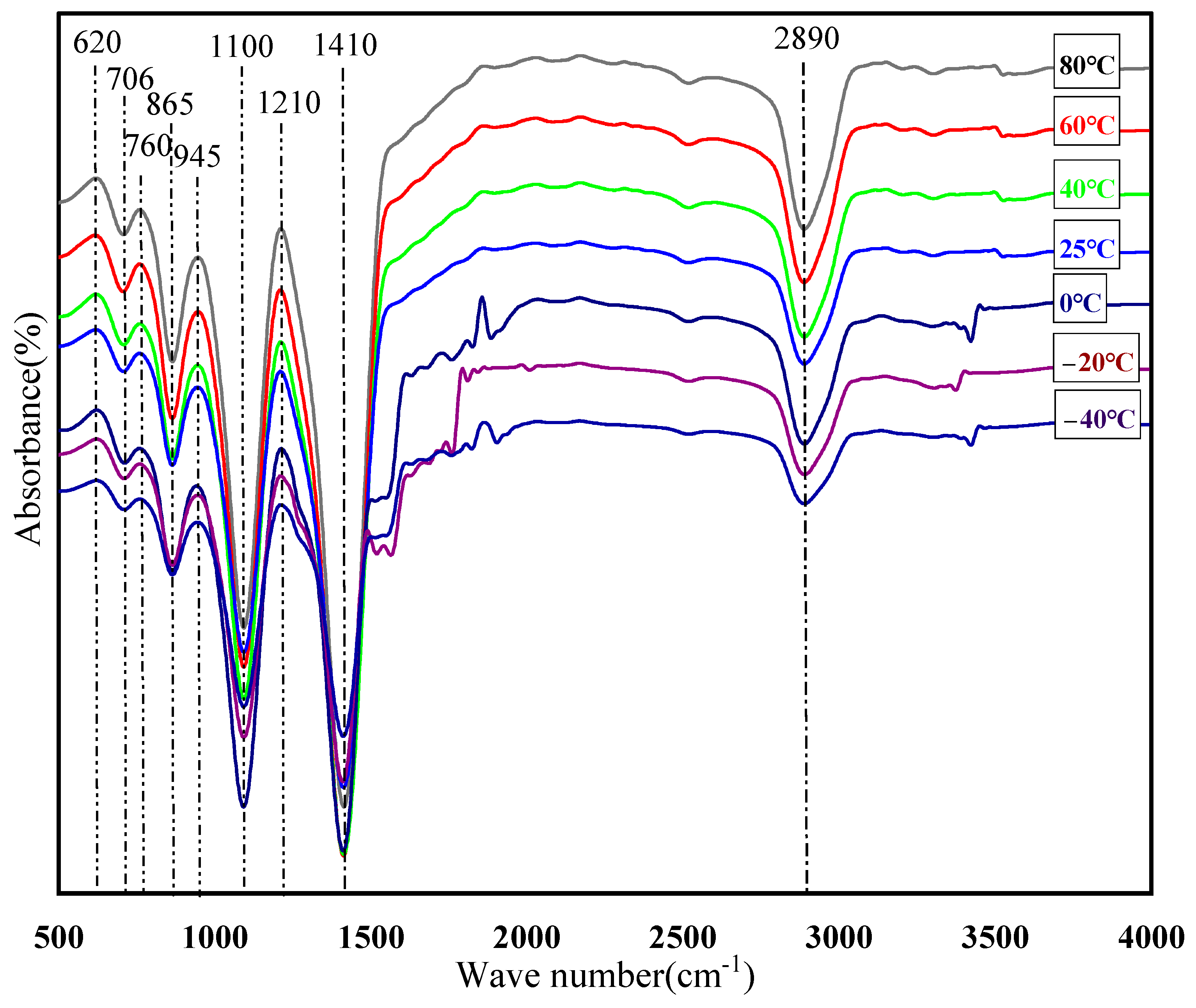
3.7. Infrared Spectral Analysis of Adhesives

The infrared absorption spectra of the ISR 7008 adhesive at different temperatures were further analyzed using a Fourier transform infrared microscope system to identify the functional groups in the adhesive based on the location and absorption intensity of the absorption peaks of the infrared spectra. The wavelength range of the infrared spectrum was 8300–3500 cm−1 with a spectral resolution of 0.5 cm−1 and a wave number accuracy of 0.01 cm−1.
Figure 14 shows that the five fundamental peaks are at the wave numbers 706 cm−1, 865 cm−1, 1100 cm−1, 1410 cm−1, and 2890 cm−1, and the four broad peaks are at the wave numbers 620 cm−1, 760 cm−1, 945 cm−1, and 1210 cm−1, respectively.
First of all, analyze the type of functional groups contained in the adhesive, which can be obtained from the infrared spectrum of the adhesive at 25 °C. When the fundamental frequency peak is 706 cm−1, the adhesive component contains γ N H , and the vibration type is out-of-plane vibration; when the fundamental frequency peak is 865 cm−1, the adhesive component contains ν C C , and the vibration type is telescopic vibration; when the fundamental frequency peak is 1100 cm−1 and the adhesive component contains ν C N , the vibration type is telescopic vibration; when the fundamental frequency peak is 1100 cm−1 and the adhesive component contains ν C O carboxylic acid, the vibration type is telescopic vibration; and when the fundamental frequency peak is 2890 cm−1, also containing ν C N , the type of vibration is telescopic. An analysis of the pan-frequency peak, which is 620 cm−1, involves the component γ C H —the type of vibration of the chemical bond being out-of-plane (bending vibration); when the pan-frequency peak is 760 cm−1, with the component γ N H , it is an out-of-plane vibration type; when the pan-frequency peak is 945 cm−1, with a component containing ν C N , it is a stretching vibration; and when the pan-frequency peak is 1210 cm−1, with ν C C , it is a stretching vibration.
Next, the functional group changes were analyzed, and the spectrograms for seven different temperatures were divided into high-temperature (25 °C, 40 °C, 60 °C, and 80 °C) and low-temperature (0 °C, −20 °C, and −40 °C) regions. Thus, it is easily observed that the absorption peaks in the high- and low-temperature regions have approximate or even partially overlapping absorption at wave numbers less than 1410 cm−1, which indicates that γ N H , ν C C , ν C N , and ν C O do not change much under a high- or low-temperature condition. This indicates that the γ N H , ν C C , ν C N , and ν C O are higher under high-temperature conditions than at a low temperature. The difference is that the absorbance of the absorption peak of 2890 cm−1 tends to increase linearly with temperature, and the absorbance of a 2890 cm−1 wave number increases by 8% from 0 °C to 25 °C, which is the largest change, as can be obtained from the change in the absorption peak curve.
The chemical bonds of adhesives are prone to break under high-temperature conditions, generating free radicals that contribute to the degradation of the polymer. However, some free radicals are recombined into molecular chains with collisions, which leads to an n inland ( γ N H , ν C C , ν C N , and ν C O ) and a decrease in the mechanical properties of the joint.

3.8. Reliability Analysis

When using aluminum-alloy-bonded joints, it is essential to understand the reliability of the joint to ensure that it can withstand a certain level of strength. In a constant-temperature environment, a reliability analysis will be necessary because of the different failure modes that can occur in the bonding layer [37]. This study used a simplified Weibull model to compare test results at other exposure times.
R ( t ) = e x p ( t m t 0 )
where m—shape parameter and t0—scale parameter.
(1) Regarding the shape parameter m, the shape of the Weibull distribution curve changes with different values of m.
When m < 1, the failure rate decreases with time, which reflects the characteristics of the early failure process of the product, called the DFR type.
When m > 1, the failure rate increases with time, reflecting the characteristics of the wear and tear failure process, i.e., the IFR type.
When m = 1, the failure rate is equal to a constant (A = 1/t), reflecting the characteristics of a random failure process, i.e., the CFR type.
(2) Regarding the scale parameter t0, the scale parameter does not affect the shape and position of the curve change but only changes the scale of the vertical and horizontal coordinates of the curve.
As shown in Table 6 and Table 7, the shape parameter m is greater than 1, which belongs to the IFR-type Weibull distribution. The failure rate increases with time, reflecting the characteristics of the depletion failure process, which is consistent with the experimental research results, and the failure intensity gradually decreases with the increase in the constant-temperature time.
As the S + APPT-treated joints showed good mechanical properties from −40 °C to 80 °C, the constant-temperature joints at −20 °C and 40 °C were selected for the reliability analysis, and the reliability curves were plotted using 2D function diagrams, as shown in Figure 15.
In Figure 15 (depicting the reliability analysis of S + APPT at 40 °C and −20 °C), for joints with a constant temperature throughout 0 h, reliability decreases from 1.9 MPa. Reliability decreases slowly at 24 h compared to 0 h, but reliability decreases from 1.77 MPa. There is a linear decline between 20% and 60% in reliability, with a much more significant reduction to zero reliability at greater than 2.25 MPa. With increasing time at a constant temperature, the reliability decreases from 1.88 MPa at a constant temperature of 48 h, with a higher rate of decline than the reliability curve at a constant temperature of 24 h. Exposure to 48 h and 72 h corresponds to similar curves, indicating that the reliability of the joints decreases from around 1.88 MPa; at stress values greater than 2.16 MPa, the reliability is almost 0.
There is a linear downward trend between 20% and 60% reliability with an even more significant decline, with zero reliability at strength values greater than 2.63 MPa. Exposure to 48 h and 24 h corresponds to similar curves, but the reliability of the joint decreases from around 1.89 MPa, but at a slower rate; between 20% and 60% of the reliability, there is a linear decline, with a much more significant reduction, and at strength values greater than 2.82 MPa, the reliability is almost zero. As the constant temperature increases, the reliability decreases from 2.5 MPa at a 72 h regular temperature time, with a much higher rate of decline than the reliability curves at 24 h and 48 h constant temperatures—almost similar to 0 h.

4. Conclusions

In this study, the effect of surface treatment methods on the mechanical properties of adhesives was investigated experimentally. Seven different temperatures (−40 °C, −20 °C, 0 °C, 25 °C, 40 °C, 60 °C, and 80 °C), five surface treatment methods (sanding, sandblasting, plasma treatment, sandblasting + plasma treatment, and grinding + plasma treatment), and three constant-temperature times (24 h, 48 h, and 72 h) were selected. Continuous temperature experiments tested the strength of the joints under different treatments, and the average failure load and load–displacement curves were obtained for other constant-temperature times. Based on the experimental data, the effects of plasma treatment on the mechanical properties of the joints at high and low temperatures were discussed, and the following conclusions were drawn:
Plasma surface treatment reduces the surface roughness of the treated material, generates a large number of polar groups on the aluminum alloy surface, improves its hydrophilicity, significantly reduces the contact angle of the aluminum alloy surface, improves surface wettability, and thus increases the bond strength of the joint.
Constant-temperature time has a limited effect on the mechanical properties of bonded joints, while a constant temperature significantly impacts the mechanical properties of bonded joints. At the shallow temperature of −40 °C and high temperature of 80 °C, the plasma treatment (APPT) improves the strength properties of the joint more significantly. The surface treatment of sandblasting + plasma (S + APPT) improves the strength of the joint more significantly at working temperatures between 20 °C and 60 °C.
The number of cracks and cavities on the joint’s surface at a high temperature of 80 °C is low; the cavities are not obvious, and the surface morphology ages unevenly. This may be because the high temperature leads to the polymer molecular chain’s breakage and the colloid’s failure. The low-temperature-environment composite-treatment surface adhesive tear is smoother, with no noticeable residue; the high-temperature-environment plasma-treatment surface cavity number is greater; and the surface morphology of the aging is more uniform.
With analyzing the infrared spectra of the ISR7008 adhesive in high- and low-temperature environments, the chemical bonds of the adhesive tend to break under high-temperature environments, generating free radicals and contributing to the degradation of the polymer. However, some free radicals are recombined into molecular chains with collisions. This leads to an increase in γ N H , ν C C , ν C N , and ν C O , and a decrease in the mechanical properties of the joint.

Author Contributions

Conceptualization, X.D., J.L. and H.H.; Data curation, X.D.; Formal analysis, J.L.; Funding acquisition, X.D.; Investigation, X.D. and J.L.; Methodology, H.H. and Y.X.; Project administration, L.X.; Resources, X.D. and J.L.; Software, H.H.; Supervision, X.D. and J.L.; Validation, X.D.; Visualization, X.D.; Writing—original draft, X.D.; Writing—review&editing, J.L. All authors have read and agreed to the published version of the manuscript.

Funding

This work was supported by the Science and Technology Project of Henan Province (202102210044).

Institutional Review Board Statement

Not applicable.

Informed Consent Statement

Not applicable.

Data Availability Statement

Not applicable.

Acknowledgments

I’d like to thank all my friends, for their encouragement and support.

Conflicts of Interest

The authors declare no conflict of interest.

References

  1. Chi, Y.; Gu, G.; Yu, H.; Chen, C. Laser surface alloying on aluminum and its alloys: A review. Opt. Lasers Eng. 2018, 100, 23–37. [Google Scholar]
  2. Fiore, V.; Alagna, F.; Di Bella, G.; Valenza, A. On the mechanical behavior of BFRP to aluminum AA6086 mixed joints. Compos. Part B Eng. 2013, 48, 79–87. [Google Scholar]
  3. Pohlit, D.J.; Dillard, D.A.; Jacob, G.C.; Starbuck, J.M. Evaluating the Rate-Dependent Fracture Toughness of an Automotive Adhesive. J. Adhes. 2008, 84, 143–163. [Google Scholar]
  4. Abdo, Z.; Aglan, H. Analysis of aircraft adhesive joints under combined thermal and mechanical cyclic loadings. J. Adhes. Sci. Technol. 1997, 11, 941–956. [Google Scholar]
  5. Zhang, Y.; Vassilopoulos, A.P.; Keller, T. Environmental effects on fatigue behavior of adhesively-bonded pultruded structural joints. Compos. Sci. Technol. 2009, 69, 1022–1028. [Google Scholar]
  6. Yang, G.; Yang, T.; Yuan, W.; Du, Y. The influence of surface treatment on the tensile properties of carbon fiber-reinforced epoxy composites-bonded joints. Compos. Part B Eng. 2019, 160, 446–456. [Google Scholar]
  7. Spaggiari, A.; Dragoni, E. Effect of Mechanical Surface Treatment on the Static Strength of Adhesive Lap Joints. J. Adhes. 2013, 89, 677–696. [Google Scholar]
  8. Urkmez Taskin, N.; Sahin, A. Effect of Aging Time at High Temperature on the Shear Strength of Adhesively Bonded Aluminum Composite Foam Joints. J. Adhes. 2019, 95, 308–324. [Google Scholar]
  9. Liu, H.; Fan, Y.; Peng, H. Effect of Full Temperature Field Environment on Bonding Strength of Aluminum Alloy. Crystals 2021, 11, 657. [Google Scholar]
  10. Na, J.; Mu, W.; Qin, G.; Tan, W.; Pu, L. Effect of temperature on the mechanical properties of adhesively bonded basalt FRP-aluminum alloy joints in the automotive industry. Int. J. Adhes. Adhes. 2018, 85, 138–148. [Google Scholar]
  11. Fan, Y.; Shangguan, L.; Zhang, M.; Peng, H.; Na, J. Effect of cyclic hygrothermal aging on mechanical behaviors of adhesive bonded aluminum joints. J. Adhes. Sci. Technol. 2021, 35, 199–219. [Google Scholar] [CrossRef]
  12. Park, S.Y.; Choi, W.J.; Yoon, B.C. Analysis of effects of process factors on corrosion resistance of adhesive bonded joints for aluminum alloys. J. Mater. Process. Technol. 2019, 276, 116412. [Google Scholar] [CrossRef]
  13. Liu, J.; Xue, Y.; Dong, X.; Fan, Y.; Hao, H.; Wang, X. Review of the surface treatment process for the adhesive matrix of composite materials. Int. J. Adhes. Adhes. 2023, 126, 103446. [Google Scholar] [CrossRef]
  14. Marques, A.C.; Mocanu, A.; Tomić, N.Z.; Balos, S.; Stammen, E.; Lundevall, A.; Abrahami, S.T.; Günther, R.; de Kok, J.M.M.; de Freitas, S.T. Review on Adhesives and Surface Treatments for Structural Applications: Recent Developments on Sustainability and Implementation for Metal and Composite Substrates. Materials 2020, 13, 5590. [Google Scholar] [CrossRef] [PubMed]
  15. Rezayat, M.; Karamimoghadam, M.; Moradi, M.; Casalino, G.; Rovira, J.J.R.; Mateo, A. Overview of Surface Modification Strategies for Improving the Properties of Metastable Austenitic Stainless Steels. Metals 2023, 13, 1268. [Google Scholar]
  16. Lu, Z.; Zhou, H.; Liao, Y.; Hu, C. Effects of surface treatment and adhesives on bond performance and mechanical properties of cross-laminated timber (CLT) made from small diameter Eucalyptus timber. Constr. Build. Mater. 2018, 161, 9–15. [Google Scholar]
  17. Ashkani, O.; Tavighi, M.R.; Karamimoghadam, M.; Moradi, M.; Bodaghi, M.; Rezayat, M. Influence of Aluminum and Copper on Mechanical Properties of Biocompatible Ti-Mo Alloys: A Simulation-Based Investigation. Micromachines 2023, 14, 1081. [Google Scholar]
  18. Rezayat, M.; Karamimoghadam, M.; Ashkani, O.; Bodaghi, M. Characterization and Optimization of Cu-Al2O3 Nanocomposites Synthesized via High Energy Planetary Milling: A Morphological and Structural Study. J. Compos. Sci. 2023, 7, 300. [Google Scholar]
  19. Moroni, F.; Romoli, L.; Khan, M. Design of laser-textured surfaces to enhance the strength of adhesively bonded joints. Int. J. Adhes. Adhes. 2018, 85, 208–218. [Google Scholar] [CrossRef]
  20. Bora, M.Ö.; Çoban, O.; Akman, E.; Oztoprak, B.G.; Kutluk, T. Comparison of novel surface treatments of Al 2024 alloy for al/cfrp adhesive bonded joints. Int. J. Adhes. Adhes. 2020, 103, 102721. [Google Scholar]
  21. Prysiazhnyi, V.; Zaporojchenko, V.; Kersten, H.; Černák, M. Influence of humidity on atmospheric pressure air plasma treatment of aluminum surfaces. Appl. Surf. Sci. 2012, 258, 5467–5471. [Google Scholar] [CrossRef]
  22. Zain, N.M.; Ahmad, S.H.; Ali, E.S. Effect of surface treatments on the durability of green polyurethane adhesive bonded aluminum alloy. Int. J. Adhes. Adhes. 2014, 55, 43–55. [Google Scholar] [CrossRef]
  23. Leena, K.; Athira, K.K.; Bhuvaneswari, S.; Suraj, S.; Rao, V.L. Effect of surface pre-treatment on aluminum alloy’s surface characteristics and adhesive bond strength. Int. J. Adhes. Adhes. 2016, 70, 265–270. [Google Scholar] [CrossRef]
  24. Guo, L.; Liu, J.; Xia, H.; Li, X.; Zhang, X.; Yang, H. Effects of surface treatment and adhesive thickness on the shear strength of precision bonded joints. Polym. Test. 2021, 94, 107063. [Google Scholar] [CrossRef]
  25. Kahraman, F. Surface layer properties of ultrasonic impact–treated AA7075 aluminum alloy. Proc. Inst. Mech. Eng. Part B J. Eng. Manuf. 2017, 232, 2218–2225. [Google Scholar] [CrossRef]
  26. Ramaswamy, K.; O’Higgins, R.M.; Kadiyala, A.K.; McCarthy, M.A.; McCarthy, C.T. Evaluation of grit-blasting as a pre-treatment for carbon-fibre thermoplastic composite to aluminium bonded joints tested at static and dynamic loading rates. Compos. Part B Eng. 2020, 185, 107765. [Google Scholar] [CrossRef]
  27. Ba, D.; Qiao, Q.; Li, C.; Cui, H.; Zhang, H. Low-Temperature Plasma Treatment of Aluminum for Improved Surface Bonding. J. Mater. Eng. Perform. 2023, 32, 2867–2880. [Google Scholar] [CrossRef]
  28. Lee, M.; Wang, C.H.; Yeo, E. Effects of adherend thickness and taper on adhesive bond strength measured by portable pull-off tests. Int. J. Adhes. Adhes. 2013, 44, 259–268. [Google Scholar] [CrossRef]
  29. Qin, G.; Fan, Y.; Na, J.; Mu, W.; Tan, W. Durability of aluminum alloy adhesive joints in cyclic hydrothermal condition for high-speed EMU applications. Int. J. Adhes. Adhes. 2018, 84, 153–165. [Google Scholar] [CrossRef]
  30. Galvez, P.; Abenojar, J.; Martinez, M.A. Effect of moisture and temperature on a ductile epoxy adhesive’s thermal and mechanical properties for use in steel structures reinforced with CFRP. Compos. Part B Eng. 2019, 176, 107194. [Google Scholar] [CrossRef]
  31. Bahrami, M.; Lavayen-Farfan, D.; Martínez, M.A.; Abenojar, J. Experimental and numerical studies of polyamide 11 and 12 surfaces modified by atmospheric pressure plasma treatment. Surf. Interfaces 2022, 32, 102154. [Google Scholar]
  32. Díaz-Benito, B.; Velasco, F. Atmospheric plasma torch treatment of aluminum: Improving silane wettability. Appl. Surf. Sci. 2013, 287, 263–269. [Google Scholar] [CrossRef]
  33. Mu, W.; Na, J.; Tan, W.; Wang, G.; Shen, H.; Li, X. Durability of adhesively bonded CFRP-aluminum alloy joints subjected to coupled temperature and alternating load. Int. J. Adhes. Adhes. 2020, 99, 102583. [Google Scholar] [CrossRef]
  34. Wei, T.; Jingxin, N.; Wenlong, M.; Guangbin, W.; Yao, F. Effects of hygrothermal aging on the mechanical properties of aluminum alloy adhesive joints for high-speed train applications. J. Adhes. 2020, 98, 227–256. [Google Scholar] [CrossRef]
  35. Sun, S.; Wu, G.; Sun, L.; Shan, X.; Li, M.; Ji, S. Effects of different surface treatments of aluminum alloy 5083 on interlaminar strength and anticorrosion properties of FMLs. Mater. Res. Express 2018, 5, 116506. [Google Scholar]
  36. Li, Y.; Li, J.; Huang, M.; Xiang, Y.; Yang, Y. Effect of combined surface treatment on the adhesion performance of alumi-num-lithium alloy. J. Adhes. Sci. Technol. 2019, 33, 1821–1835. [Google Scholar] [CrossRef]
  37. Galvez, P.; Abenojar, J.; Martinez, M.A. The durability of steel-CFRP structural adhesive joints with polyurethane adhesives. Compos. Part B Eng. 2019, 165, 1–9. [Google Scholar]
Figure 1. (a) Dimensions of the butt joint. (b) Schematic diagram of the bonding fixture.
Figure 1. (a) Dimensions of the butt joint. (b) Schematic diagram of the bonding fixture.
Crystals 13 01240 g001
Figure 2. Tensile process of bonded specimens.
Figure 2. Tensile process of bonded specimens.
Crystals 13 01240 g002
Figure 3. Roughness values (Ra) corresponding to different surface treatments.
Figure 3. Roughness values (Ra) corresponding to different surface treatments.
Crystals 13 01240 g003
Figure 4. Microscopic morphology of aluminum-alloy-bonded substrates with different treatments (500×). (a) APPT, (b) grinding, (c) sandblasting, (d) grinding + plasma, and (e) sandblasting + plasma.
Figure 4. Microscopic morphology of aluminum-alloy-bonded substrates with different treatments (500×). (a) APPT, (b) grinding, (c) sandblasting, (d) grinding + plasma, and (e) sandblasting + plasma.
Crystals 13 01240 g004
Figure 5. Average failure load for different treatments; (a) constant temperature, 24 h; (b) constant temperature, 48 h; (c) constant temperature, 72 h.
Figure 5. Average failure load for different treatments; (a) constant temperature, 24 h; (b) constant temperature, 48 h; (c) constant temperature, 72 h.
Crystals 13 01240 g005
Figure 6. Load–displacement curves after grinding treatment. (a) Grinding treatment (24 h), (b) Grinding treatment (48 h), (c) Grinding treatment (72 h).
Figure 6. Load–displacement curves after grinding treatment. (a) Grinding treatment (24 h), (b) Grinding treatment (48 h), (c) Grinding treatment (72 h).
Crystals 13 01240 g006
Figure 7. Load–displacement curves after sandblasting. (a) Sandblasting treatment (24 h), (b) Sandblasting treatment (48 h), (c) Sandblasting treatment (72 h).
Figure 7. Load–displacement curves after sandblasting. (a) Sandblasting treatment (24 h), (b) Sandblasting treatment (48 h), (c) Sandblasting treatment (72 h).
Crystals 13 01240 g007
Figure 8. Load–displacement curves after plasma treatment. (a) Plasma treatment (24 h), (b) Plasma treatment (48 h), (c) Plasma treatment (72 h).
Figure 8. Load–displacement curves after plasma treatment. (a) Plasma treatment (24 h), (b) Plasma treatment (48 h), (c) Plasma treatment (72 h).
Crystals 13 01240 g008
Figure 9. Load–displacement curves after grinding + plasma treatment. (a) Grinding + Plasma treatment (24 h), (b) Grinding + Plasma treatment (48 h), (c) Grinding + Plasma treatment (72 h).
Figure 9. Load–displacement curves after grinding + plasma treatment. (a) Grinding + Plasma treatment (24 h), (b) Grinding + Plasma treatment (48 h), (c) Grinding + Plasma treatment (72 h).
Crystals 13 01240 g009
Figure 10. Load–displacement curves after sandblasting + plasma treatment. (a) Sandblasting + Plasma treatment (24 h), (b) Sandblasting + Plasma treatment (48 h), (c) Sandblasting + Plasma treatment (72 h).
Figure 10. Load–displacement curves after sandblasting + plasma treatment. (a) Sandblasting + Plasma treatment (24 h), (b) Sandblasting + Plasma treatment (48 h), (c) Sandblasting + Plasma treatment (72 h).
Crystals 13 01240 g010
Figure 11. Cross-sectional view of adhesive failure at different constant temperatures in high- and low-temperature environments.
Figure 11. Cross-sectional view of adhesive failure at different constant temperatures in high- and low-temperature environments.
Crystals 13 01240 g011
Figure 12. Microstructure of a butt joint at −40 °C for 72 h. (a) P, (b) P + APPT, (c) S, (d) S + APPT.
Figure 12. Microstructure of a butt joint at −40 °C for 72 h. (a) P, (b) P + APPT, (c) S, (d) S + APPT.
Crystals 13 01240 g012
Figure 13. Microscopic morphology of butt joint at 80 °C and 72 h (constant temperature). (a) P, (b) P + APPT, (c) S, (d) S + APPT.
Figure 13. Microscopic morphology of butt joint at 80 °C and 72 h (constant temperature). (a) P, (b) P + APPT, (c) S, (d) S + APPT.
Crystals 13 01240 g013
Figure 14. Infrared spectra of ISR7008 adhesive in high- and low-temperature environments.
Figure 14. Infrared spectra of ISR7008 adhesive in high- and low-temperature environments.
Crystals 13 01240 g014
Figure 15. Reliability analysis of S + APPT at 40 °C and −20 °C.
Figure 15. Reliability analysis of S + APPT at 40 °C and −20 °C.
Crystals 13 01240 g015
Table 1. Properties of Aluminum Alloy 6061.
Table 1. Properties of Aluminum Alloy 6061.
Poisson’s RatioDensity (Kg/ m 3 ) Strength of Extension (MPa)Yield Strength (MPa)
0.332750205110
Table 2. Main Chemical Constituents of Aluminum Alloy 6061 (%).
Table 2. Main Chemical Constituents of Aluminum Alloy 6061 (%).
Cu (%)Mn (%)Mg (%)Zn (%)Cr (%)Ti (%)Si (%)Fe (%)Al (%)
0.15–0.40.150.8–1.20.250.04–0.350.150.4–0.80.7Others
Table 3. Properties of ISR 7008.
Table 3. Properties of ISR 7008.
Properties of MaterialISR 7008
Poisson’s Ratio0.44
Density (Kg/ m 3 )1400
Strength of Extension (MPa)2.9
Shear Strength (MPa)2.5
Initial Strength (MPa)1.8
Table 4. Treatment process of the adhesive surface.
Table 4. Treatment process of the adhesive surface.
TreatmentDescription
P
(Grinding treatment)
Sand the bonded surface evenly using 80-grit sandpaper, wipe with acetone, wait 15 min after brushing, and apply surface pre-treatment (PRE-M) to clean the bonded surface.
S
(Sandblasting)
Using a sandblasting machine with a blasting pressure of 0.55 MPa, an impact angle of 90°, and a blasting distance of 150 mm, the bonding surface is treated evenly with 80-mesh grit emery, the surface is wiped with acetone, and after the wiping is complete, the surface is left alone for 15 min and coated with PRE-M.
APPT
(Plasma treatment)
The untreated bonding surface is wiped directly with acetone. After brushing, wait 15 min and use a plasma surface treatment machine with a power setting of 550 W and a treatment speed of 1.5 mm/s to treat the bonding surface evenly and apply PRE-M.
P + APPTSand the bonding surface with 80-grit sandpaper and wipe with acetone; wait 15 min after wiping, treat the bonding surface with plasma (same parameters as APPT), and apply PRE-M.
S + APPTUse a sandblaster (same parameters as S) to treat the bonding surface evenly, wipe the surface with acetone, wait 10–15 min after wiping, treat the bonding surface with plasma (same parameters as APPT), and coat it with PRE-M.
Table 5. Contact angles for different drip times for the five surface treatments.
Table 5. Contact angles for different drip times for the five surface treatments.
TreatmentPSAPPTP + APPTS + APPT
Time
5 sCrystals 13 01240 i001Crystals 13 01240 i002Crystals 13 01240 i003Crystals 13 01240 i004Crystals 13 01240 i005
30 sCrystals 13 01240 i006Crystals 13 01240 i007Crystals 13 01240 i008Crystals 13 01240 i009Crystals 13 01240 i010
60 sCrystals 13 01240 i011Crystals 13 01240 i012Crystals 13 01240 i013Crystals 13 01240 i014Crystals 13 01240 i015
Table 6. The values of m.
Table 6. The values of m.
40 °C−20 °C
0 h100.4100.4
24 h28.724.45
48 h53.8115.24
72 h 62.49211.6
Table 7. The values of t 0 .
Table 7. The values of t 0 .
40 °C−20 °C
0 h 5.5282 × 10 31 5.5282 × 10 31
24 h 1.9093 × 10 9 6.2760 × 10 9
48 h 3.54683 × 10 17 1.2517 × 10 6
72 h 1.6792 × 10 20 4.8437 × 10 86
Disclaimer/Publisher’s Note: The statements, opinions and data contained in all publications are solely those of the individual author(s) and contributor(s) and not of MDPI and/or the editor(s). MDPI and/or the editor(s) disclaim responsibility for any injury to people or property resulting from any ideas, methods, instructions or products referred to in the content.

Share and Cite

MDPI and ACS Style

Dong, X.; Liu, J.; Hao, H.; Xue, Y.; Xu, L. Effects of Different Surface Treatment Processes on Bonding Properties of Aluminum Alloys under Full Temperature Field Environment. Crystals 2023, 13, 1240. https://doi.org/10.3390/cryst13081240

AMA Style

Dong X, Liu J, Hao H, Xue Y, Xu L. Effects of Different Surface Treatment Processes on Bonding Properties of Aluminum Alloys under Full Temperature Field Environment. Crystals. 2023; 13(8):1240. https://doi.org/10.3390/cryst13081240

Chicago/Turabian Style

Dong, Xinmin, Jigao Liu, Hanqing Hao, Yinglei Xue, and Linfeng Xu. 2023. "Effects of Different Surface Treatment Processes on Bonding Properties of Aluminum Alloys under Full Temperature Field Environment" Crystals 13, no. 8: 1240. https://doi.org/10.3390/cryst13081240

APA Style

Dong, X., Liu, J., Hao, H., Xue, Y., & Xu, L. (2023). Effects of Different Surface Treatment Processes on Bonding Properties of Aluminum Alloys under Full Temperature Field Environment. Crystals, 13(8), 1240. https://doi.org/10.3390/cryst13081240

Note that from the first issue of 2016, this journal uses article numbers instead of page numbers. See further details here.

Article Metrics

Back to TopTop