Theoretical Study of Pressure-Induced Phase Transitions in Sb2S3, Bi2S3, and Sb2Se3
Abstract
1. Introduction
2. Theoretical Methodology
3. Results and Discussion
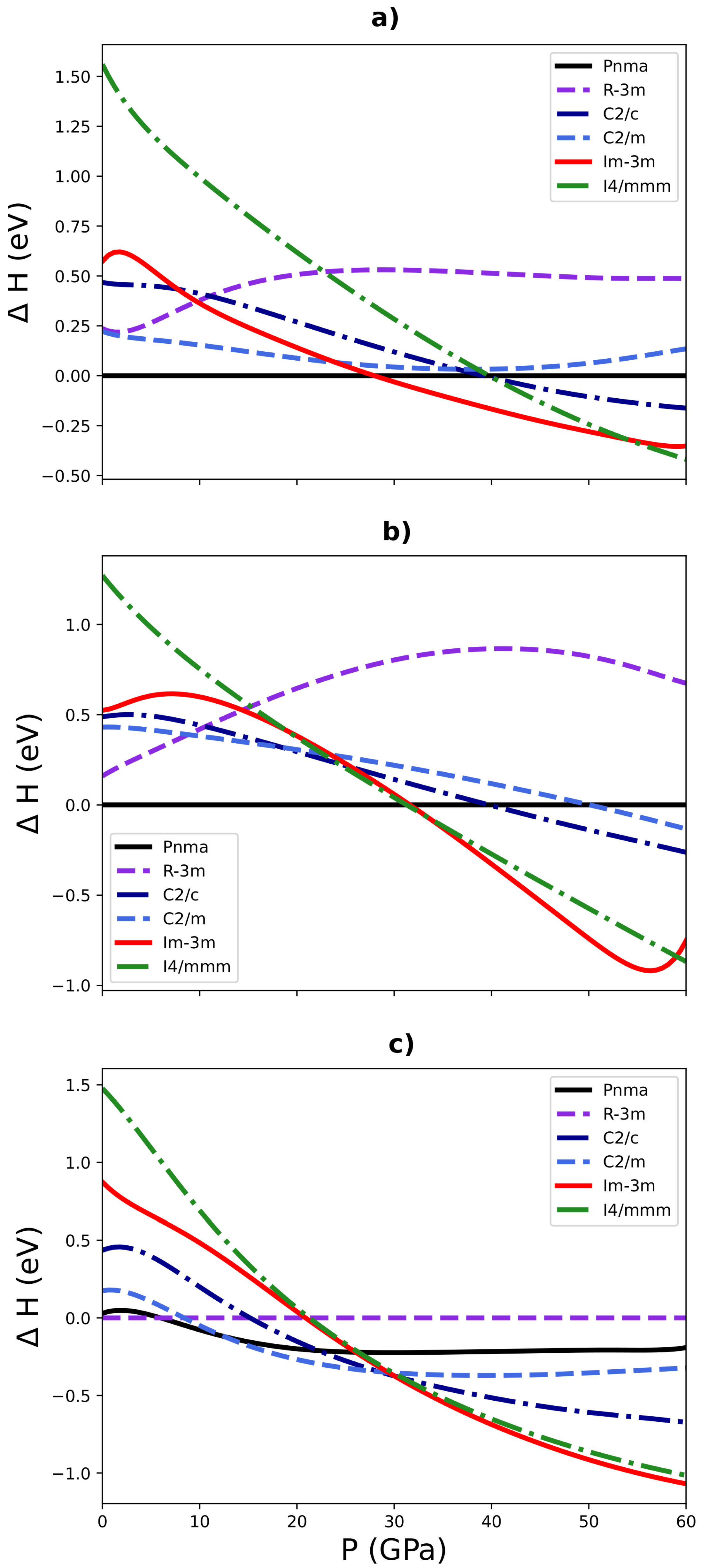
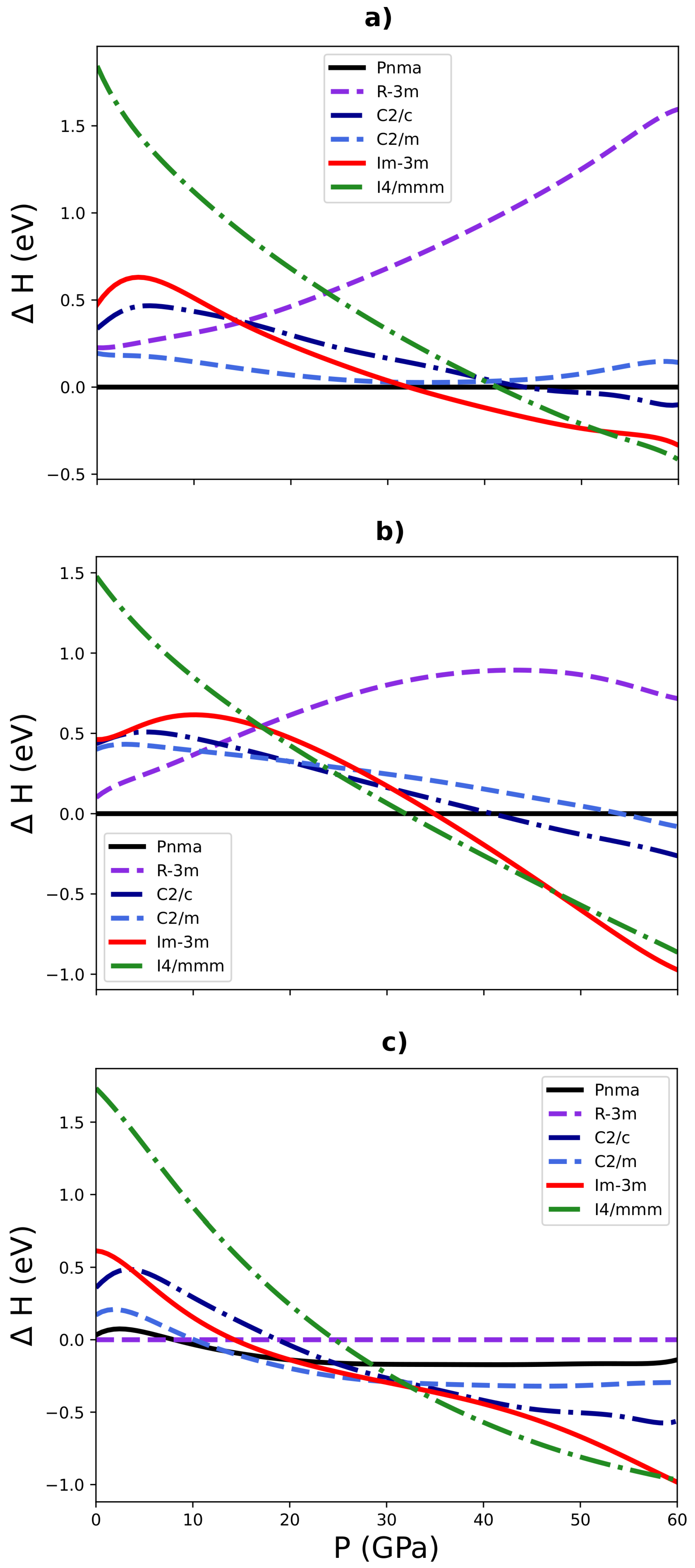
3.1. Energetic Stability
- At 0 GPa, the orthorhombic Pnma structure is energetically stable for BiS and SbS; however, for SbSe, it is the trigonal R-3m phase that is the most energetically favorable phase at 0 GPa [51].
- The two monoclinic C2/c and C2/m phases do not become energetically competitive with the ground-state system over the range of pressures examined. However, an exception occurs for the C2/m phase of the SbSe structure, which competes energetically with the Pnma polymorph at 9.9 GPa.
- The bcc-like disordered Im-3m structure is the most energetically stable phase at pressures above 35.1, 30.1, and 22.1 GPa for SbS, BiS, and SbSe, respectively.
- The body-centered tetragonal I4/mmm phase, although being quite close in energy to the bcc-like Im-3m structure (namely, for BiS close to 30 GPa, and for SbSe3 between 30 and 50 GPa), is never energetically favorable within the studied pressure range, for either of the three studied compounds.
3.2. Dynamical Stability
- The C2/m phase of SbSe at 20 GPa.
- The disordered bcc-type Im-3m phase of the three compounds above 30 GPa.
- The Pnma phase of the three compounds at 50 GPa.
- The I4/mmm phase of the three compounds at HP.
3.2.1. The C2/m Phase of SbSe at 20 GPa
3.2.2. The Disordered bcc-Type Im-3m Phase of the Three Compounds above 30 GPa
3.2.3. The Pnma Phase of the Three Compounds at 50 GPa
3.2.4. The I4/mmm Phase of the Three Compounds at HP
4. Conclusions
Author Contributions
Funding
Data Availability Statement
Acknowledgments
Conflicts of Interest
Appendix A. Comparison of Enthalpy vs. Pressure Behavior for Different Exchange-Correlation Functionals


Appendix B. Evolution of the Lattice Parameters of Sb2S3, Bi2S3, and Sb2Se3 as a Function of Pressure
| SbS | 0 GPa | 10 GPa | 20 GPa | 30 GPa |
|---|---|---|---|---|
| a | 11.24 | 10.30 | 10.02 | 9.82 |
| b | 3.83 | 3.72 | 3.63 | 3.58 |
| c | 10.91 | 10.24 | 9.83 | 9.53 |
| BiS | 0 GPa | 10 GPa | 20 GPa | 30 GPa |
|---|---|---|---|---|
| a | 11.19 | 10.59 | 10.38 | 10.22 |
| b | 3.96 | 3.82 | 3.74 | 3.67 |
| c | 10.94 | 10.32 | 9.94 | 9.64 |
| SbSe | ||
|---|---|---|
| Pnma | 10 GPa | a = 10.77, b = 3.83, c = 10.69 |
| 15 GPa | a = 10.63, b = 3.77, c = 10.48 | |
| 20 GPa | a = 10.50, b = 3.72, c = 10.35 | |
| R-3m | 0 GPa | a = 4.01, c = 28.16 |
| C/2m | 20 GPa | a = 13.15, b = 3.55, c = 8.06 |
| disordered Im-3m | 50 GPa | a = 13.55, b = 4.49, c = 5.50 |
| I4/mmm | 40 GPa | a = 3.26, c = 15.84 |
Appendix C. Mode Mapping of the Disordered Im-3m Phase of Sb2Se3 at 30 GPa

References
- Chen, Y.L.; Analytis, J.G.; Chu, J.H.; Liu, Z.K.; Mo, S.K.; Qi, X.L.; Zhang, H.J.; Lu, D.H.; Dai, X.; Fang, Z.; et al. Experimental Realization of a Three-Dimensional Topological Insulator, Bi2Te3. Science 2009, 325, 178. [Google Scholar] [CrossRef]
- Zhang, H.; Liu, C.X.; Qi, X.L.; Dai, X.; Fang, Z.; Zhang, S.C. Topological insulators in Bi2Se3, Bi2Te3 and Sb2Te3 with a single Dirac cone on the surface. Nat. Phys. 2009, 5, 438. [Google Scholar] [CrossRef]
- Hasan, M.Z.; Kane, C.L. Colloquium: Topological insulators. Rev. Mod. Phys. 2010, 82, 3045. [Google Scholar] [CrossRef]
- Venkatasubramanian, R.; Siivola, E.; Colpitts, T.; O’Quinn, B. Thin-film thermoelectric devices with high room-temperature figures of merit. Nature 2001, 413, 597. [Google Scholar] [CrossRef] [PubMed]
- Martinez, J.C.; Lu, L.; Ning, J.; Dong, W.; Cao, T.; Simpson, R.E. The Origin of Optical Contrast in Sb2Te3-Based Phase-Change Materials. Phys. Status Solidi B 2020, 257, 1900289. [Google Scholar] [CrossRef]
- Sa Moon, S.J.; Itzhaik, Y.; Yum, J.H.; Zakeeruddin, S.M.; Hodes, G.; Gräzel, M. Sb2S3-Based Mesoscopic Solar Cell using an Organic Hole Conductor. J. Phys. Chem. Lett. 2010, 1, 1524. [Google Scholar] [CrossRef]
- Patrick, C.E.; Giustino, F. Structural and Electronic Properties of Semiconductor-Sensitized Solar-Cell Interfaces. Adv. Funct. Mater. 2011, 21, 4663. [Google Scholar] [CrossRef]
- Zhou, Y.; Wang, L.; Chen, S.; Qin, S.; Liu, X.; Chen, J.; Xue, D.; Luo, M.; Cao, Y.; Cheng, Y.; et al. Thin-film Sb2Se3 photovoltaics with oriented one-dimensional ribbons and benign grain boundaries. Nat. Photonics 2015, 9, 409. [Google Scholar] [CrossRef]
- Wang, L.; Li, D.; Li, K.; Chen, C.; Deng, H.X.; Gao, L.; Zhao, Y.; Jiang, F.; Li, L.; Huang, F.; et al. Stable 6%-efficient Sb2Se3 solar cells with a ZnO buffer layer. Nat. Energy 2017, 2, 17046. [Google Scholar] [CrossRef]
- Rabin, O.; Perez, J.; Grimm, J.; Wojtkiewicz, G.; Weissleder, R. An X-ray computed tomography imaging agent based on long-circulating bismuth sulphide nanoparticles. Nat. Mater. 2006, 5, 118. [Google Scholar] [CrossRef]
- Yao, K.; Zhang, Z.; Liang, X.; Chen, Q.; Peng, L.M.; Yu, Y. Effect of H2 on the Electrical Transport Properties of Single Bi2S3 Nanowires. J. Phys. Chem. B 2006, 110, 21408. [Google Scholar] [CrossRef] [PubMed]
- Cademartiri, L.; Scotognella, F.; O’Brien, P.; Lotsch, B.; Thomson, J.; Petrov, S.; Kherani, N.; Ozin, G. Cross-Linking Bi2S3 Ultrathin Nanowires: A Platform for Nanostructure Formation and Biomolecule Detection. Nano Lett. 2009, 9, 1482. [Google Scholar] [CrossRef] [PubMed]
- Mamta; Singh, Y.; Maurya, K.K.; Singh, V.N. A review on properties, applications, and deposition techniques of antimony selenide. Sol. Energy Mater. Sol. Cells 2021, 230, 111223. [Google Scholar] [CrossRef]
- Chen, S.; Liu, T.; Zheng, Z.; Ishaq, M.; Liang, G.; Fan, P.; Chen, T.; Tang, J. Recent progress and perspectives on Sb2Se3-based photocathodes for solar hydrogen production via photoelectrochemical water splitting. J. Energy Chem. 2022, 67, 508. [Google Scholar] [CrossRef]
- Li, Q.; Zhang, W.; Peng, J.; Yu, D.; Liang, Z.; Zhang, W.; Wu, J.; Wang, G.; Li, H.; Huang, S. Nanodot-in-Nanofiber Structured Carbon-Confined Sb2Se3 Crystallites for Fast and Durable Sodium Storage. Adv. Funct. Mater. 2022, 32, 2112776. [Google Scholar] [CrossRef]
- Ma, X.; Chen, W.; Tong, L.; Liu, S.; Dai, W.; Ye, S.; Zheng, Z.; Wang, Y.; Zhou, Y.; Zhang, W.; et al. Experimental demonstration of harmonic mode-locking in Sb2Se3-based thulium-doped fiber laser. Opt. Laser Technol. 2021, 143, 107286. [Google Scholar] [CrossRef]
- Zhu, L.; Wang, H.; Wang, Y.; Lv, J.; Yanmei, M.; Cui, Q.; Ma, Y.; Zou, G. Substitutional Alloy of Bi and Te at High Pressure. Phys. Rev. Lett. 2011, 106, 145501. [Google Scholar] [CrossRef]
- Einaga, M.; Ohmura, A.; Nakayama, A.; Ishikawa, F.; Yamada, Y.; Nakano, S. Pressure-induced phase transition of Bi2Te3 to a bcc structure. Phys. Rev. B 2011, 83, 092102. [Google Scholar] [CrossRef]
- Zhao, J.; Liu, H.; Ehm, L.; Chen, Z.; Sinogeikin, S.; Zhao, Y.; Gu, G. Pressure-Induced Disordered Substitution Alloy in Sb2Te3. Inor. Chem. 2011, 50, 11291. [Google Scholar] [CrossRef]
- Vilaplana, R.; Santamaría-Pérez, D.; Gomis, O.; Manjón, F.J.; González, J.; Segura, A.; Muñoz, A.; Rodríguez-Hernández, P.; Pérez-González, E.; Marín-Borrás, V.; et al. Structural and vibrational study of Bi2Se3 under high pressure. Phys. Rev. B 2011, 84, 184110. [Google Scholar] [CrossRef]
- Ma, Y.; Liu, G.; Zhu, P.; Wang, H.; Wang, X.; Cui, Q.; Liu, J.; Ma, Y. Determinations of the high-pressure crystal structures of Sb2Te3. J. Phys. Condens. Matter 2012, 24, 475403. [Google Scholar] [CrossRef]
- Liu, G.; Zhu, L.; Yanmei, M.; Lin, C.; Liu, J.; Ma, Y. Stabilization of 9/10-Fold Structure in Bismuth Selenide at High Pressures. J. Phys. Chem. C 2013, 117, 10045. [Google Scholar] [CrossRef]
- Zhao, J.; Liu, H.; Ehm, L.; Dong, D.; Chen, Z.; Gu, G. High-pressure phase transitions, amorphization, and crystallization behaviors in Bi2Se3. J. Phys. Condens. Matter 2013, 25, 125602. [Google Scholar] [CrossRef] [PubMed]
- Yu, Z.; Wang, L.; Hu, Q.; Zhao, J.; Yan, S.; Yang, K.; Sinogeikin, S.; Gu, G.; Mao, H.-k. Structural phase transitions in Bi2Se3 under high pressure. Sci. Rep. 2015, 5, 15939. [Google Scholar] [CrossRef]
- Hao, X.; Zhu, H.; Guo, Z.; Li, H.; Gong, Y.; Chen, D. Local insight to the structural phase transition sequence of Bi2Se3 under quasi-hydrostatic and nonhydrostatic pressure. J. Phys. Condens. Matter 2021, 33, 215402. [Google Scholar] [CrossRef]
- Tseng, Y.C.; Lin, C.M.; Jian, S.R.; Le, P.H.; Gospodinov, M.M.; Marinova, V.; Dimitrov, D.Z.; Luo, C.W.; Wu, K.H.; Zhang, D.Z.; et al. Structural and electronic phase transition in Bi2Se2.1Te0.9 under pressure. J. Phys. Chem. Solids 2021, 156, 110123. [Google Scholar] [CrossRef]
- Ovsyannikov, S.V.; Shchennikov, V.V. High-Pressure Routes in the Thermoelectricity or How One Can Improve a Performance of Thermoelectrics. Chem. Mater. 2010, 22, 635. [Google Scholar] [CrossRef]
- Ovsyannikov, S.V.; Shchennikov, V.V.; Vorontsov, G.V.; Manakov, A.Y.; Likhacheva, A.Y.; Kulbachinskii, V.A. Giant improvement of thermoelectric power factor of Bi2Te3 under pressure. J. App. Phys. 2008, 104, 053713. [Google Scholar] [CrossRef]
- Zhang, J.L.; Zhang, S.J.; Weng, H.M.; Zhang, W.; Yang, L.X.; Liu, Q.Q.; Feng, S.M.; Wang, X.C.; Yu, R.C.; Cao, L.Z.; et al. Pressure-induced superconductivity in topological parent compound Bi2Te3. Proc. Natl. Acad. Sci. USA 2011, 108, 24. [Google Scholar] [CrossRef]
- Zhang, C.; Sun, L.; Chen, Z.; Zhou, X.; Wu, Q.; Yi, W.; Guo, J.; Dong, X.; Zhao, Z. Phase diagram of a pressure-induced superconducting state and its relation to the Hall coefficient of Bi2Te3 single crystals. Phys. Rev. B 2011, 83, 140504. [Google Scholar] [CrossRef]
- Zhu, J.; Kong, P.P.; Zhang, S.J.; Yu, X.H.; Zhu, J.L.; Liu, Q.Q.; Li, X.; Yu, R.C.; Ahuja, R.; Yang, W.G.; et al. Superconductivity in Topological Insulator Sb2Te3 Induced by Pressure. Sci. Rep. 2013, 3, 2016. [Google Scholar] [CrossRef] [PubMed]
- Kong, P.P.; Zhang, J.L.; Zhang, S.J.; Zhu, J.; Liu, Q.Q.; Yu, R.C.; Fang, Z.; Jin, C.Q.; Yang, W.G.; Yu, X.H.; et al. Superconductivity of the topological insulator Bi2Se3 at high pressure. J. Phys. Condens. Matter 2013, 25, 362204. [Google Scholar] [CrossRef]
- Taguchi, T.; Ikeda, M.; Li, H.; Suzuki, A.; Yang, X.; Ishii, H.; Liao, Y.F.; Ota, H.; Goto, H.; Eguchi, R.; et al. Superconductivity of topological insulator Sb2Te3–ySey under pressure. J. Phys. Condens. Matter 2021, 33, 485704. [Google Scholar] [CrossRef] [PubMed]
- Crichton, W.A.; Bernal, F.L.M.; Guignard, J.; Hanfland, M.; Margadonna, S. Observation of the Sb2S3-type post-post-GdFeO3-perovskite: A model structure for high density ABX3 and A2X3 phases. arXiv 2014, arXiv:1410.2783. [Google Scholar] [CrossRef]
- Crichton, W.A.; Bernal, F.L.; Guignard, J.; Hanfland, M.; Margadonna, S. Observation of Sb2S3-type post-post-perovskite in NaFeF3. Implications for ABX3 and A2X3 systems at ultrahigh pressure. Mineral. Mag. 2016, 80, 659. [Google Scholar] [CrossRef]
- Efthimiopoulos, I.; Zhang, J.; Kucway, M.; Park, C.; Ewing, R.; Wang, Y. Sb2Se3 under pressure. Sci. Rep. 2013, 3, 2665. [Google Scholar] [CrossRef] [PubMed]
- Efthimiopoulos, I.; Kemichick, J.; Zhou, X.; Khare, S.; Ikuta, D.; Wang, Y. High-pressure Studies of Bi2S3. J. Phys. Chem. A 2014, 118, 1713. [Google Scholar] [CrossRef]
- Sorb, Y.A.; Rajaji, V.; Malavi, P.S.; Subbarao, U.; Halappa, P.; Peter, S.C.; Karmakar, S.; Narayana, C. Pressure-induced electronic topological transition in Sb2S3. J. Phys. Condens. Matter 2015, 28, 015602. [Google Scholar] [CrossRef] [PubMed]
- Ibañez, J.; Sans, J.A.; Popescu, C.; López-Vidrier, J.; Elvira-Betanzos, J.J.; Cuenca-Gotor, V.P.; Gomis, O.; Manjón, F.J.; Rodríguez-Hernández, P.; Muñoz, A. Structural, Vibrational, and Electronic Study of Sb2S3 at High Pressure. J. Phys. Chem. C 2016, 120, 10547. [Google Scholar] [CrossRef]
- Li, C.; Zhao, J.; Hu, Q.; Liu, Z.; Yu, Z.; Yan, H. Crystal structure and transporting properties of Bi2S3 under high pressure: Experimental and theoretical studies. J. Alloys Compd. 2016, 688, 329. [Google Scholar] [CrossRef]
- Cheng, H.; Zhang, J.; Yu, P.; Gu, C.; Ren, X.; Lin, C.; Li, X.; Zhao, Y.; Wang, S.; Li, Y. Enhanced Structural Stability of Sb2Se3 via Pressure-Induced Alloying and Amorphization. J. Phys. Chem. C 2020, 124, 3421. [Google Scholar] [CrossRef]
- Anversa, J.; Chakraborty, S.; Piquini, P.; Ahuja, R. High pressure driven superconducting critical temperature tuning in Sb2Se3 topological insulator. Appl. Phys. Lett. 2016, 108, 212601. [Google Scholar] [CrossRef]
- Kong, P.; Sun, F.; Xing, L.; Zhu, J.; Zhang, S.; Li, W.; Wang, X.; Feng, S.; Yu, X.; Zhu, J.; et al. Superconductivity in Strong Spin Orbital Coupling Compound Sb2Se3. Sci. Rep. 2014, 4, 6679. [Google Scholar] [CrossRef] [PubMed]
- Das, S.; Sirohi, A.; Kumar Gupta, G.; Kamboj, S.; Vasdev, A.; Gayen, S.; Guptasarma, P.; Das, T.; Sheet, G. Discovery of highly spin-polarized conducting surface states in the strong spin-orbit coupling semiconductor Sb2Se3. Phys. Rev. B 2018, 97, 235306. [Google Scholar] [CrossRef]
- Zhang, K.; Xu, M.; Li, N.; Xu, M.; Zhang, Q.; Greenberg, E.; Prakapenka, V.B.; Chen, Y.S.; Wuttig, M.; Mao, H.K.; et al. Superconducting Phase Induced by a Local Structure Transition in Amorphous Sb2Se3 under High Pressure. Phys. Rev. Lett. 2021, 127, 127002. [Google Scholar] [CrossRef]
- Cheng, Y.; Cojocaru-Mirédin, O.; Keutgen, J.; Yu, Y.; Küpers, M.; Schumacher, M.; Golub, P.; Raty, J.Y.; Dronskowski, R.; Wuttig, M. Understanding the Structure and Properties of Sesqui-Chalcogenides (i.e., V2VI3 or Pn2Ch3 (Pn = Pnictogen, Ch = Chalcogen) Compounds) from a Bonding Perspective. Adv. Mater. 2019, 31, 1904316. [Google Scholar] [CrossRef]
- Efthimiopoulos, I.; Buchan, C.; Wang, Y. Structural properties of Sb2S3 under pressure: Evidence of an electronic topological transition. Sci. Rep. 2016, 6, 24246. [Google Scholar] [CrossRef]
- Dai, L.; Liu, K.; Li, H.; Wu, L.; Hu, H.; Zhuang, Y.; Linfei, Y.; Pu, C.; Liu, P. Pressure-induced irreversible metallization accompanying the phase transitions in Sb2S3. Phys. Rev. B 2018, 97, 024103. [Google Scholar] [CrossRef]
- Wang, Y.; Yanmei, M.; Liu, G.; Wang, J.; Li, Y.; Li, Q.; Zhang, J.; Ma, Y.; Zou, G. Experimental Observation of the High Pressure Induced Substitutional Solid Solution and Phase Transformation in Sb2S3. Sci. Rep. 2018, 8, 14795. [Google Scholar] [CrossRef]
- Liu, G.; Yu, Z.; Liu, H.; Redfern, S.A.T.; Feng, X.; Li, X.; Yuan, Y.; Yang, K.; Hirao, N.; Kawaguchi, S.I.; et al. Unexpected Semimetallic BiS2 at High Pressure and High Temperature. J. Phys. Chem. Lett. 2018, 9, 5785. [Google Scholar] [CrossRef]
- da Silva, E.L.; Skelton, J.M.; Rodríguez-Hernández, P.; Muñoz, A.; Santos, M.C.; Martínez-García, D.; Vilaplana, R.; Manjón, F.J. A theoretical study of the Pnma and R-3m phases of Sb2S3, Bi2S3 and Sb2Se3. J. Mater. Chem. C 2022, 10, 15061. [Google Scholar] [CrossRef]
- Hohenberg, P.; Kohn, W. Inhomogeneous electron gas. Phys. Rev. 1964, 136, B864. [Google Scholar] [CrossRef]
- Kresse, G.; Furthmüller, J. Efficiency of ab-initio total energy calculations for metals and semiconductors using a plane-wave basis set. Comput. Mater. Sci. 1996, 6, 15. [Google Scholar] [CrossRef]
- Perdew, J.P.; Ruzsinszky, A.; Csonka, G.I.; Vydrov, O.A.; Scuseria, G.E.; Constantin, L.A.; Zhou, X.; Burke, K. Restoring the density-gradient expansion for exchange in solids and surfaces. Phys. Rev. Lett. 2008, 100, 136406, Erratum in Phys. Rev. Lett. 2009, 102, 039902. [Google Scholar] [CrossRef] [PubMed]
- Monkhorst, H.J.; Pack, J.D. Special Points for Brillouin-Zone Integrations. Phys. Rev. B 1976, 13, 5188. [Google Scholar] [CrossRef]
- Murnaghan, F.D. The Compressibility of Media under Extreme Pressures. Proc. Natl. Acad. Sci. USA 1944, 30, 244. [Google Scholar] [CrossRef]
- Birch, F. Finite Elastic Strain of Cubic Crystals. Phys. Rev. 1947, 71, 809. [Google Scholar] [CrossRef]
- Togo, A.; Oba, F.; Tanaka, I. First-principles calculations of the ferroelastic transition between rutile-type and CaCl2-type SiO2 at high pressures. Phys. Rev. B 2008, 78, 134106. [Google Scholar] [CrossRef]
- Gonzalez, J.M.; Nguyen-Cong, K.; Steele, B.A.; Oleynik, I.I. Novel phases and superconductivity of tin sulfide compounds. J. Chem. Phys 2018, 148, 194701. [Google Scholar] [CrossRef]
- Nguyen, L.T.; Makov, G. GeS Phases from First-Principles: Structure Prediction, Optical Properties, and Phase Transitions upon Compression. Cryst. Growth Des. 2022, 22, 4956. [Google Scholar] [CrossRef]
- Xu, M.; Jakobs, S.; Mazzarello, R.; Cho, J.Y.; Yang, Z.; Hollermann, H.; Shang, D.; Miao, X.; Yu, Z.; Wang, L.; et al. Impact of Pressure on the Resonant Bonding in Chalcogenides. J. Phys. Chem. C 2017, 121, 25447. [Google Scholar] [CrossRef]
- Cuenca-Gotor, V.P.; Sans, J.A.; Gomis, O.; Mujica, A.; Radescu, S.; Muñoz, A.; Rodríguez-Hernández, P.; da Silva, E.L.; Popescu, C.; Ibañez, J.; et al. Orpiment under compression: Metavalent bonding at high pressure. Phys. Chem. Chem. Phys. 2020, 22, 3352. [Google Scholar] [CrossRef] [PubMed]
- Grimme, S. Semiempirical GGA-Type Density Functional Constructed with a Long-Range Dispersion Correction. J. Comp. Chem. 2006, 27, 1787. [Google Scholar] [CrossRef] [PubMed]
- Perdew, J.P.; Zunger, A. Self-interaction correction to density-functional approximations for many-electron systems. Phys. Rev. B 1981, 23, 5048. [Google Scholar] [CrossRef]
- Born, M. On the stability of crystal lattices. I. In Mathematical Proceedings of the Cambridge Philosophical Society; Cambridge University Press: Cambridge, UK, 1940; Volume 36, p. 160. [Google Scholar] [CrossRef]
- Dove, M.T. Introduction to Lattice Dynamics; Cambridge University Press: Cambridge, UK, 1993. [Google Scholar] [CrossRef]
- Dove, M.T. Structure and Dynamics: An Atomic View of Materials; Oxford Master Series in Physics; Oxford University Press: Oxford, UK, 2003. [Google Scholar] [CrossRef]
- Dove, M.T. Review: Theory of displacive phase transitions in minerals. Am. Min. 2015, 82, 213. [Google Scholar] [CrossRef]
- Venkataraman, G. Soft modes and structural phase transitions. Bull. Mater. Sci. 1979, 1, 129. [Google Scholar] [CrossRef]
- Di Gennaro, M.; Saha, S.; Verstraete, M. Role of Dynamical Instability in the Ab Initio Phase Diagram of Calcium. Phys. Rev. Lett. 2013, 111, 025503. [Google Scholar] [CrossRef]
- Quadbeck-Seeger, H.J. World of the Elements: Elements of the World; Wiley-VCH: Weinheim, Germany, 2007. [Google Scholar] [CrossRef]
- Skelton, J.M.; Burton, L.A.; Parker, S.C.; Walsh, A.; Kim, C.E.; Soon, A.; Buckeridge, J.; Sokol, A.A.; Catlow, C.R.A.; Togo, A.; et al. Anharmonicity in the High-Temperature Cmcm Phase of SnSe: Soft Modes and Three-Phonon Interactions. Phys. Rev. Lett. 2016, 117, 075502. [Google Scholar] [CrossRef]
- Skelton, J.M. ModeMap. Available online: https://github.com/JMSkelton/ModeMap (accessed on 10 June 2019).








| SbS | BiS | SbSe | |
|---|---|---|---|
| R-3m →Pnma | – | – | 4.8 * |
| Pnma→C2/m | – | – | 9.9 |
| C2/m→Im-3m | – | – | 22.1 |
| Pnma→Im-3m | 35.1 | 30.1 | – |
Disclaimer/Publisher’s Note: The statements, opinions and data contained in all publications are solely those of the individual author(s) and contributor(s) and not of MDPI and/or the editor(s). MDPI and/or the editor(s) disclaim responsibility for any injury to people or property resulting from any ideas, methods, instructions or products referred to in the content. |
© 2023 by the authors. Licensee MDPI, Basel, Switzerland. This article is an open access article distributed under the terms and conditions of the Creative Commons Attribution (CC BY) license (https://creativecommons.org/licenses/by/4.0/).
Share and Cite
da Silva, E.L.; Santos, M.C.; Rodríguez-Hernández, P.; Muñoz, A.; Manjón, F.J. Theoretical Study of Pressure-Induced Phase Transitions in Sb2S3, Bi2S3, and Sb2Se3. Crystals 2023, 13, 498. https://doi.org/10.3390/cryst13030498
da Silva EL, Santos MC, Rodríguez-Hernández P, Muñoz A, Manjón FJ. Theoretical Study of Pressure-Induced Phase Transitions in Sb2S3, Bi2S3, and Sb2Se3. Crystals. 2023; 13(3):498. https://doi.org/10.3390/cryst13030498
Chicago/Turabian Styleda Silva, Estelina Lora, Mario C. Santos, Plácida Rodríguez-Hernández, Alfonso Muñoz, and Francisco Javier Manjón. 2023. "Theoretical Study of Pressure-Induced Phase Transitions in Sb2S3, Bi2S3, and Sb2Se3" Crystals 13, no. 3: 498. https://doi.org/10.3390/cryst13030498
APA Styleda Silva, E. L., Santos, M. C., Rodríguez-Hernández, P., Muñoz, A., & Manjón, F. J. (2023). Theoretical Study of Pressure-Induced Phase Transitions in Sb2S3, Bi2S3, and Sb2Se3. Crystals, 13(3), 498. https://doi.org/10.3390/cryst13030498

