Effect of Source Field Plate Cracks on the Electrical Performance of AlGaN/GaN HEMT Devices
Abstract
:1. Introduction
2. Failure Analysis Experiments
3. Materials and Methods
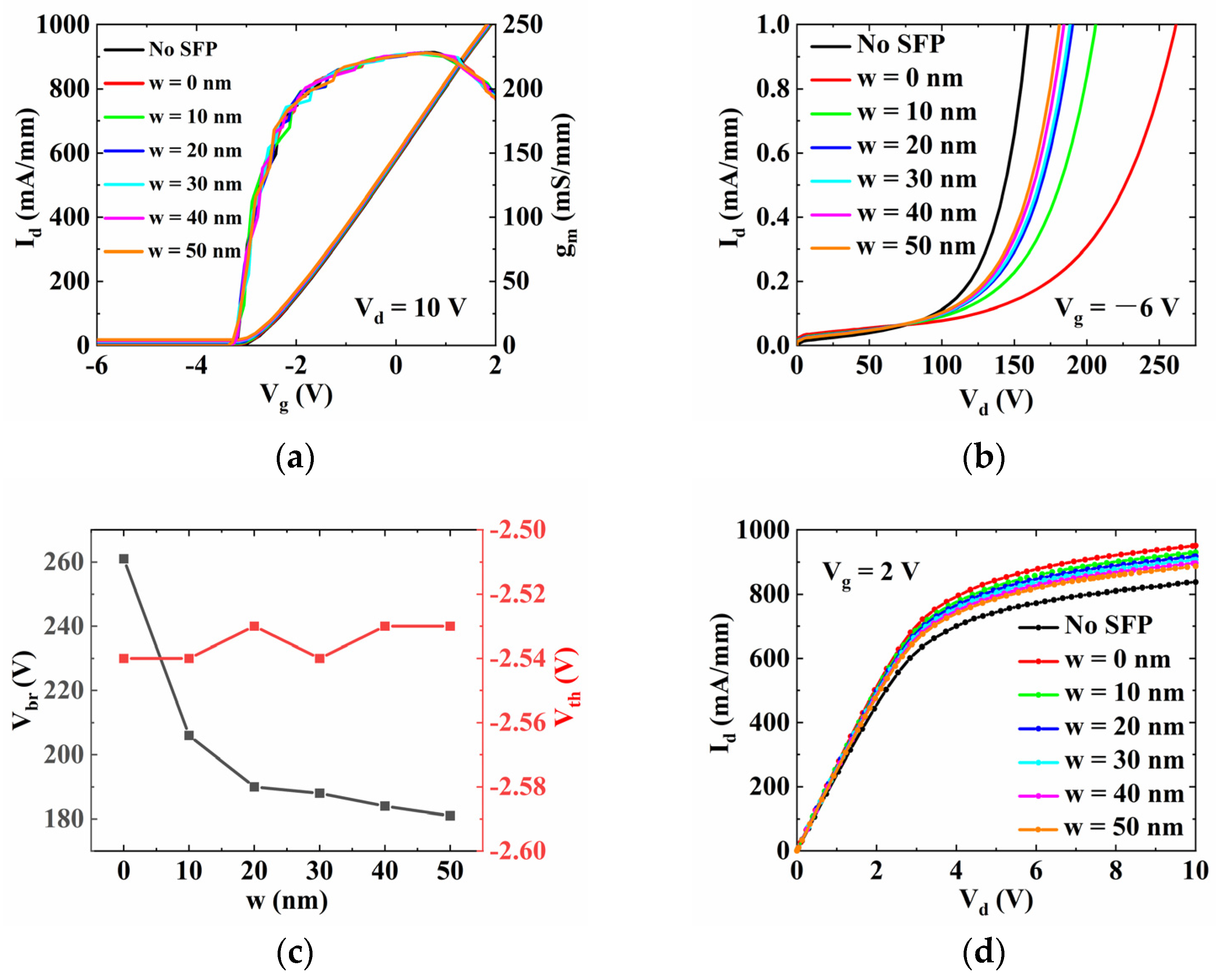
4. Results and Discussion
5. Conclusions
Author Contributions
Funding
Institutional Review Board Statement
Informed Consent Statement
Data Availability Statement
Conflicts of Interest
References
- Fletcher, A.S.; Nirmal, D. A survey of gallium nitride HEMT for RF and high power application. J. Superlattice Microst. 2017, 109, 519–537. [Google Scholar] [CrossRef]
- Amano, H.; Baines, Y.; Beam, E.; Matteo, B. The 2018 GaN power electronics roadmap. J. Appl. Phys. 2018, 51, 163001. [Google Scholar] [CrossRef]
- Nakajima, S. GaN HEMTs for 5G Base Station Applications. In Proceedings of the 2018 IEEE International Electron Devices Meeting (IEDM), San Francisco, CA, USA, 1–5 December 2018; pp. 14.2.1–14.2.4. [Google Scholar]
- Huang, L.H.; Chiou, H.K. An Ultra-compact 14.9-W X-Band GaN MMIC Power Amplifier. In Proceedings of the 2020 IEEE Asia-Pacific Microwave Conference (APMC), Hong Kong, China, 8–11 December 2020; pp. 257–259. [Google Scholar]
- Jardel, O.; Groote, F.D.; Reveyrand, T.; Jacquet, J.-C.; Charbonniaud, C.; Teyssier, J.-P.; Floriot, D.; Quere, R. An Electrothermal Model for AlGaN/GaN Power HEMTs Including Trapping Effects to Improve Large-Signal Simulation Results on High VSWR. IEEE Trans. Microw. Theory Tech. 2007, 55, 2660–2669. [Google Scholar] [CrossRef]
- Raffo, A.; Vadala, V.; Schreurs, D.M.M.-P.; Crupi, G.; Avolio, G.; Caddemi, A.; Vannini, G. Nonlinear Dispersive Modeling of Electron Devices Oriented to GaN Power Amplifier Design. IEEE Trans. Microw. Theory Tech. 2010, 58, 710–718. [Google Scholar] [CrossRef]
- Potier, C.; Martin, A.; Campovecchio, M.; Laurent, S.; Quere, R.; Jacquet, J.C.; Jardel, O.; Piotrowicz, S.; Delage, S. Trap characterization of microwave GaN HEMTs based on frequency dispersion of the output-admittance. In Proceedings of the 2014 9th European Microwave Integrated Circuit Conference, Rome, Italy, 6–7 October 2014; pp. 464–467. [Google Scholar]
- Gaudenzio, M.; Matteo, M.; Enrico, Z. Breakdown mechanisms in AlGaN/GaN HEMTs: An overview. Jpn. J. Appl. Phys. 2014, 53, 100211. [Google Scholar]
- Saito, W.; Suwa, T.; Uchihara, T.; Naka, T.; Kobayashi, T. Breakdown behaviour of high-voltage GaN-HEMTs. Microelectron. Reliab. 2015, 55, 1682–1686. [Google Scholar] [CrossRef]
- Kwak, H.T.; Chang, S.B.; Jung, H.G.; Kim, H.S. Thermal Analysis of AlGaN/GaN High-Electron-Mobility Transistor and Its RF Power Efficiency Optimization with Source-Bridged Field-Plate Structure. J. Nanosci. Nanotechnol. 2018, 18, 5860–5867. [Google Scholar] [CrossRef]
- Godfrey, D.; Nirmal, D.; Arivazhagan, L.; Roy, B.; Chen, Y.L.; Yu, T.H.; Roy, B.; Yeh, W.K.; Godwinraj, D. Investigation of AlGaN/GaN HEMT Breakdown analysis with Source field plate length for High power applications. In Proceedings of the 2020 5th International Conference on Devices, Circuits and Systems (ICDCS), Coimbatore, India, 5–6 March 2020; pp. 244–246. [Google Scholar]
- Liao, B.Y.; Zhou, Q.B.; Qin, J.; Wang, H. Simulation of AlGaN/GaN HEMTs’ Breakdown Voltage Enhancement Using Gate Field-Plate, Source Field-Plate and Drain Field Plate. Electronics 2019, 8, 406. [Google Scholar] [CrossRef]
- Soni, A.; Singh, A.; Shrivastava, M. Novel Drain-Connected Field Plate GaN HEMT Designs for Improved VBD–RON Tradeoff and RF PA Performance. IEEE Trans. Electron Devices 2020, 67, 1718–1725. [Google Scholar] [CrossRef]
- Augustine Fletcher, A.S.; Nirmal, D.; Ajayan, J.; Arivazhagan, L. Analysis of AlGaN/GaN HEMT using discrete field plate technique for high power and high frequency applications. AEU Int. J. Electron. Commun. 2019, 99, 325–330. [Google Scholar] [CrossRef]
- Kwak, H.K.; Jang, K.W.; Kim, H.J.; Lee, S.H.; Lim, J.W.; Kim, H.S. DC Characteristics of AlGaN/GaN High-Electron Mobility Transistor with a Bottom Plate Connected to Source-Bridged Field Plate Structure. J. Nanosci. Nanotechnol. 2019, 19, 2319–2322. [Google Scholar] [CrossRef] [PubMed]
- Zhou, L.; San, Z.W.; Hua, Y.J.; Lin, L.; Zhang, S.; Zhao, Z.G.; Zhou, H.J.; Yin, W.Y. Investigation on Failure Mechanisms of GaN HEMT Caused by High-Power Microwave (HPM) Pulses. IEEE Trans. Electromagn. Compat. 2017, 59, 902–909. [Google Scholar] [CrossRef]
- Zhang, S.; Wei, K.; Ma, X.H.; Zhang, Y.C.; Asif, M.; Liu, G.G.; Huang, S.; Zheng, Y.K.; Wang, X.H.; Niu, J.B.; et al. Millimeter-wave AlGaN/GaN HEMTs breakdown voltage enhancement by an air-bridge recessed source field plate (RSFP). Solid State Electron. 2019, 160, 107629. [Google Scholar] [CrossRef]
- Bothe, K.M.; Ganguly, S.; Guo, J.; Liu, Y.Y.; Niyonzima, A.; Tornblad, O.; Fisher, J.; Gajewski, D.A.; Sheppard, S.T.; Noori, B. Improved X-Band Performance and Reliability of a GaN HEMT with Sunken Source Connected Field Plate Design. IEEE Electron Device Lett. 2022, 43, 354–357. [Google Scholar] [CrossRef]
- User’s Manual. 2019. Available online: www.crosslight.com (accessed on 25 June 2022).
- Sharma, K.; Dupouy, E.; Bouslama, M.; Sommet, R.; Nallatamby, J.-C. Impact of the Location of Iron Buffer Doping on Trap Signatures in GaN HEMTs. In Proceedings of the 2020 International Workshop on Integrated Nonlinear Microwave and Millimetre-Wave Circuits (INMMiC), Cardiff, UK, 16–17 July 2020; pp. 1–3. [Google Scholar]
- Raja, P.V.; Subramani, N.K.; Gaillard, F.; Bouslama, M.; Sommet, R.; Nallatamby, J.-C. Identification of Buffer and Surface Traps in Fe-Doped AlGaN/GaN HEMTs Using Y21 Frequency Dispersion Properties. Electronics 2021, 10, 3096. [Google Scholar] [CrossRef]
- Chynoweth, A.G. Ionization rates for electrons and holes in silicon. Phys. Rev. 1958, 109, 1537–1540. [Google Scholar] [CrossRef]
- Zhang, J.L.; He, L.; Li, L.A.; Yang, F.; Shen, Z.; Zhou, D.Q.; Chen, Z.J.; Zhang, X.R.; He, L.; Wu, Z.S.; et al. The breakdown behavior of GaN epitaxial material on silicon. In Proceedings of the 2016 13th China International Forum on Solid State Lighting: International Forum on Wide Bandgap Semiconductors China (SSLChina: IFWS), Beijing, China, 15–17 November 2016; pp. 81–84. [Google Scholar]
- Saito, Y.; Tsurumaki, R.; Noda, N.; Horio, K. Analysis of reduction in lag phenomena and current collapse in field-plate AlGaN/GaN HEMTs with high acceptor density in a buffer layer. IEEE Trans. Device Mater. Rel. 2018, 18, 46–53. [Google Scholar] [CrossRef]
- Meneghini, M.; Rossetto, I.; Bisi, D.; Stocco, A.; Chini, A.; Pantellini, A.; Lanzieri, C.; Nanni, A.; Meneghesso, G.; Zanoni, E. Buffer traps in Fe-doped AlGaN/GaN HEMTs: Investigation of the physical properties based on pulsed and transient measurements. IEEE Trans. Electron Devices 2014, 61, 4070–4077. [Google Scholar] [CrossRef]
- Mao, W.; Fan, J.S.; Du, M.; Zhang, J.F.; Zheng, X.F.; Wang, C.; Ma, X.H.; Zhang, J.C.; Hao, Y. Analysis of the modulation mechanisms of the electric field and breakdown performance in AlGaN/GaN HEMT with a T-shaped field-plate. Chin. Phys. B 2016, 25, 127305. [Google Scholar] [CrossRef]
- Wu, H.; Fu, X.J.; Hu, S.D. A 650V Enhancement Mode GaN HEMT Device with Field Plate for Power Electronic Applications. In Proceedings of the 2021 International Conference on Electrical, Communication, and Computer Engineering (ICECCE), Kuala Lumpur, Malaysia, 12–13 June 2021; pp. 1–5. [Google Scholar]
- Lashway, C.R.; Berzoy, A.; Mohammed, O. Field-plate length variation on GaN devices for BV and on-resistance characterization. In Proceedings of the 2018 International Applied Computational Electromagnetics Society Symposium (ACES), Denver, CO, USA, 25–29 March 2018; pp. 1–2. [Google Scholar]
- Berzoy, A.; Lashway, C.R.; Moradisizkoohi, H.; Mohammed, O.A. Breakdown voltage improvement and analysis of GaN HEMTs through field plate inclusion and substrate removal. In Proceedings of the 2017 IEEE 5th Workshop on Wide Bandgap Power Devices and Applications (WiPDA), Albuquerque, NM, USA, 30 October–1 November 2017; pp. 138–142. [Google Scholar]
- Soni, A.; Shrivastava, M. Implications of Various Charge Sources in AlGaN/GaN Epi-Stack on the Drain & Gate Connected Field Plate Design in HEMTs. IEEE Access 2022, 10, 74533–74541. [Google Scholar]
- Ackaert, J.; Vanderstraeten, D.; Vandevelde, B. On the impact of the edge profile of interconnects on the occurrence of passivation cracks of plastic-encapsulated electronic power devices. In Proceedings of the 2011 IEEE International Conference on IC Design & Technology, Kaohsiung, Taiwan, 2–4 May 2011; pp. 1–4. [Google Scholar]
- Huang, X.K.; Zhu, L.P.; Nguyen, B.; Tran, V.; Isom, H.S. Passivation Stress versus Top Metal Profiles by 3 D Finite Element Modeling. In Proceedings of the 2013 International Conference on Compound Semiconductor Manufacturing Technology, New Orleans, LA, USA, 13–16 May 2013; pp. 323–326. [Google Scholar]
- Chen, T.; Zhou, Q.; Wei, D.; Dong, C.; Chen, W.; Zhang, B. Physics-Based 2-D Analytical Model for Field-Plate Engineering of AlGaN/GaN Power HFET. IEEE Trans. Electron Devices 2019, 66, 116–125. [Google Scholar] [CrossRef]
- Chugh, N.; Kumar, M.; Haldar, S.; Bhattacharya, M.; Gupta, R.S. Applicability of Field Plate in Double Channel GaN HEMT for Radio-Frequency and Power-Electronic Applications. Silicon 2022, 14, 1029–1038. [Google Scholar] [CrossRef]







| Name | Value | Name | Value |
|---|---|---|---|
| Source-to-gate distance | 1.7 μm | Gate foot thickness | 0.05 μm |
| Gate-to-drain distance | 4.5 μm | Gate head thickness | 0.55 μm |
| Source/drain length | 1 μm | Source/drain thickness | 0.2 μm |
| Gate foot length | 0.45 μm | SFP length | 1.7 μm |
| Gate head length | 1.25 μm | SFP thickness | 0.55 μm |
Publisher’s Note: MDPI stays neutral with regard to jurisdictional claims in published maps and institutional affiliations. |
© 2022 by the authors. Licensee MDPI, Basel, Switzerland. This article is an open access article distributed under the terms and conditions of the Creative Commons Attribution (CC BY) license (https://creativecommons.org/licenses/by/4.0/).
Share and Cite
Bie, Y.-N.; Du, C.-L.; Cai, X.-L.; Ye, R.; Liu, H.-J.; Zhang, Y.; Duan, X.-Y.; Zhu, J.-J. Effect of Source Field Plate Cracks on the Electrical Performance of AlGaN/GaN HEMT Devices. Crystals 2022, 12, 1195. https://doi.org/10.3390/cryst12091195
Bie Y-N, Du C-L, Cai X-L, Ye R, Liu H-J, Zhang Y, Duan X-Y, Zhu J-J. Effect of Source Field Plate Cracks on the Electrical Performance of AlGaN/GaN HEMT Devices. Crystals. 2022; 12(9):1195. https://doi.org/10.3390/cryst12091195
Chicago/Turabian StyleBie, Ye-Nan, Cheng-Lin Du, Xiao-Long Cai, Ran Ye, Hai-Jun Liu, Yu Zhang, Xiang-Yang Duan, and Jie-Jie Zhu. 2022. "Effect of Source Field Plate Cracks on the Electrical Performance of AlGaN/GaN HEMT Devices" Crystals 12, no. 9: 1195. https://doi.org/10.3390/cryst12091195
APA StyleBie, Y.-N., Du, C.-L., Cai, X.-L., Ye, R., Liu, H.-J., Zhang, Y., Duan, X.-Y., & Zhu, J.-J. (2022). Effect of Source Field Plate Cracks on the Electrical Performance of AlGaN/GaN HEMT Devices. Crystals, 12(9), 1195. https://doi.org/10.3390/cryst12091195

