In Vivo Effects of Nanotechnologically Synthesized and Characterized Fluoridated Strontium Apatite Nanoparticles in the Surgical Treatment of Endodontic Bone Lesions
Abstract
:1. Introduction
2. Materials and Methods
2.1. Synthesis and Characterization of Nanoparticles
2.2. Animals and Study Design
2.3. Surgical Procedure
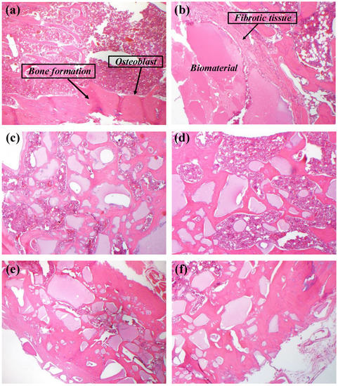
2.4. Histological Procedure
2.5. Statistical Analysis
3. Results
4. Discussion
5. Conclusions
Author Contributions
Funding
Institutional Review Board Statement
Informed Consent Statement
Data Availability Statement
Conflicts of Interest
References
- Jakovljevic, A.; Nikolic, N.; Jacimovic, J.; Pavlovic, O.; Milicic, B.; Beljic-Ivanovic, K.; Miletic, M.; Andric, M.; Milasin, J. Prevalence of apical periodontitis and conventional nonsurgical root canal treatment in general adult population: An updated systematic review and meta-analysis of cross-sectional studies published between 2012 and 2020. J. Endod. 2020, 46, 1371–1386.e8. [Google Scholar] [CrossRef] [PubMed]
- Song, M.; Kim, H.-C.; Lee, W.; Kim, E. Analysis of the cause of failure in nonsurgical endodontic treatment by microscopic inspection during endodontic microsurgery. J. Endod. 2011, 37, 1516–1519. [Google Scholar] [CrossRef] [PubMed]
- Tsesis, I.; Rosen, E.; Taschieri, S.; Strauss, Y.T.; Ceresoli, V.; Del Fabbro, M. Outcomes of surgical endodontic treatment performed by a modern technique: An updated meta-analysis of the literature. J. Endod. 2013, 39, 332–339. [Google Scholar] [CrossRef] [PubMed]
- von Arx, T.; AlSaeed, M. The use of regenerative techniques in apical surgery: A literature review. Saudi Dent. J. 2011, 23, 113–127. [Google Scholar] [CrossRef]
- Christiansen, R.; Kirkevang, L.L.; Hørsted-Bindslev, P.; Wenzel, A. Randomized clinical trial of root-end resection followed by root-end filling with mineral trioxide aggregate or smoothing of the orthograde gutta percha root filling–1-year follow-up. Int. Endod. J. 2009, 42, 105–114. [Google Scholar] [CrossRef]
- Uğur Aydın, Z.; Toptaş, O.; Göller Bulut, D.; Akay, N.; Kara, T.; Akbulut, N. Effects of root-end filling on the fractal dimension of the periapical bone after periapical surgery: Retrospective study. Clin. Oral Investig. 2019, 23, 3645–3651. [Google Scholar] [CrossRef]
- Von Arx, T. Apical surgery: A review of current techniques and outcome. Saudi Dent. J. 2011, 23, 9–15. [Google Scholar] [CrossRef]
- Farzadi, A.; Bakhshi, F.; Solati-Hashjin, M.; Asadi-Eydivand, M.; abu Osman, N.A. Magnesium incorporated hydroxyapatite: Synthesis and structural properties characterization. Ceram. Int. 2014, 40, 6021–6029. [Google Scholar] [CrossRef]
- Burdușel, A.-C.; Gherasim, O.; Andronescu, E.; Grumezescu, A.M.; Ficai, A. Inorganic Nanoparticles in Bone Healing Applications. Pharmaceutics 2022, 14, 770. [Google Scholar] [CrossRef]
- Nathanael, A.J.; Oyane, A.; Nakamura, M.; Mahanti, M.; Koga, K.; Shitomi, K.; Miyaji, H. Rapid and area-specific coating of fluoride-incorporated apatite layers by a laser-assisted biomimetic process for tooth surface functionalization. Acta Biomater. 2018, 79, 148–157. [Google Scholar] [CrossRef]
- Guo, D.; Xu, K.; Zhao, X.; Han, Y. Development of a strontium-containing hydroxyapatite bone cement. Biomaterials 2005, 26, 4073–4083. [Google Scholar] [CrossRef] [PubMed]
- Meunier, P.J.; Roux, C.; Seeman, E.; Ortolani, S.; Badurski, J.E.; Spector, T.D.; Cannata, J.; Balogh, A.; Lemmel, E.-M.; Pors-Nielsen, S. The effects of strontium ranelate on the risk of vertebral fracture in women with postmenopausal osteoporosis. N. Engl. J. Med. 2004, 350, 459–468. [Google Scholar] [CrossRef] [PubMed]
- Blake, G.M.; Fogelman, I. Strontium ranelate: A novel treatment for postmenopausal osteoporosis: A review of safety and efficacy. Clin. Interv. Aging 2006, 1, 367. [Google Scholar] [CrossRef]
- Peng, S.; Zhou, G.; Luk, K.D.; Cheung, K.M.; Li, Z.; Lam, W.M.; Zhou, Z.; Lu, W.W. Strontium promotes osteogenic differentiation of mesenchymal stem cells through the Ras/MAPK signaling pathway. Cell. Physiol. Biochem. 2009, 23, 165–174. [Google Scholar] [CrossRef]
- Zhang, W.; Shen, Y.; Pan, H.; Lin, K.; Liu, X.; Darvell, B.W.; Lu, W.W.; Chang, J.; Deng, L.; Wang, D. Effects of strontium in modified biomaterials. Acta Biomater. 2011, 7, 800–808. [Google Scholar] [CrossRef] [PubMed]
- Landi, E.; Tampieri, A.; Celotti, G.; Sprio, S.; Sandri, M.; Logroscino, G. Sr-substituted hydroxyapatites for osteoporotic bone replacement. Acta Biomater. 2007, 3, 961–969. [Google Scholar] [CrossRef]
- Drouet, C.; Carayon, M.-T.; Combes, C.; Rey, C. Surface enrichment of biomimetic apatites with biologically-active ions Mg2+ and Sr2+: A preamble to the activation of bone repair materials. Mater. Sci. Eng. C 2008, 28, 1544–1550. [Google Scholar] [CrossRef]
- Hao, J.; Acharya, A.; Chen, K.; Chou, J.; Kasugai, S.; Lang, N. Novel bioresorbable strontium hydroxyapatite membrane for guided bone regeneration. Clin. Oral Implant. Res. 2015, 26, 1–7. [Google Scholar] [CrossRef]
- Li, Z.H.; Wu, J.M.; Huang, S.J.; Guan, J.; Zhang, X.Z. Strontium hydroxyapatite synthesis, characterization and cell cytotoxicity. Adv. Mat. Res. 2011, 160–162, 117–122. [Google Scholar] [CrossRef]
- Huang, Y.; Zhang, X.; Qiao, H.; Hao, M.; Zhang, H.; Xu, Z.; Zhang, X.; Pang, X.; Lin, H. Corrosion resistance and cytocompatibility studies of zinc-doped fluorohydroxyapatite nanocomposite coatings on titanium implant. Ceram. Int. 2016, 42, 1903–1915. [Google Scholar] [CrossRef]
- Wang, L.; He, S.; Wu, X.; Liang, S.; Mu, Z.; Wei, J.; Deng, F.; Deng, Y.; Wei, S. Polyetheretherketone/nano-fluorohydroxyapatite composite with antimicrobial activity and osseointegration properties. Biomaterials 2014, 35, 6758–6775. [Google Scholar] [CrossRef] [PubMed]
- Razavi, M.; Fathi, M.; Savabi, O.; Vashaee, D.; Tayebi, L. In vivo assessments of bioabsorbable AZ91 magnesium implants coated with nanostructured fluoridated hydroxyapatite by MAO/EPD technique for biomedical applications. Mater. Sci. Eng. C 2015, 48, 21–27. [Google Scholar] [CrossRef] [PubMed]
- Geng, F.; Tan, L.; Jin, X.; Yang, J.; Yang, K. The preparation, cytocompatibility, and in vitro biodegradation study of pure β-TCP on magnesium. J. Mater. Sci. Mater. Med. 2009, 20, 1149–1157. [Google Scholar] [CrossRef] [PubMed]
- Razavi, M.; Fathi, M.; Meratian, M. Microstructure, mechanical properties and bio-corrosion evaluation of biodegradable AZ91-FA nanocomposites for biomedical applications. Mater. Sci. Eng. A 2010, 527, 6938–6944. [Google Scholar] [CrossRef]
- Ebrahimi-Kahrizsangi, R.; Nasiri-Tabrizi, B.; Chami, A. Characterization of single-crystal fluorapatite nanoparticles synthesized via mechanochemical method. Particuology 2011, 9, 537–544. [Google Scholar] [CrossRef]
- Huang, Y.; Yan, Y.; Pang, X. Electrolytic deposition of fluorine-doped hydroxyapatite/ZrO2 films on titanium for biomedical applications. Ceram. Int. 2013, 39, 245–253. [Google Scholar] [CrossRef]
- Kim, H.-W.; Noh, Y.-J.; Koh, Y.-H.; Kim, H.-E. Enhanced performance of fluorine substituted hydroxyapatite composites for hard tissue engineering. J. Mater. Sci. Mater. Med. 2003, 14, 899–904. [Google Scholar] [CrossRef]
- Ge, X.; Leng, Y.; Bao, C.; Xu, S.L.; Wang, R.; Ren, F. Antibacterial coatings of fluoridated hydroxyapatite for percutaneous implants. J. Biomed. Mater. Res. A 2010, 95, 588–599. [Google Scholar] [CrossRef]
- González-Torres, V.; Méndez-Sánchez, E.R.; Gaitan-Cepeda, L.A.; Torres-Arellano, M.E.; Díaz-Trujillo, G.C. Characterization and Biocompatibility Evaluation of Hydroxyapatite Doped with Silver and/or Fluorine. Adv. Sci. Technol. 2014, 96, 27–32. [Google Scholar]
- Meng, E.; Guan, S.; Wang, H.; Wang, L.; Zhu, S.; Hu, J.; Ren, C.; Gao, J.; Feng, Y. Effect of electrodeposition modes on surface characteristics and corrosion properties of fluorine-doped hydroxyapatite coatings on Mg–Zn–Ca alloy. Appl. Surf. Sci. 2011, 257, 4811–4816. [Google Scholar] [CrossRef]
- Ciosek, Ż.; Kot, K.; Kosik-Bogacka, D.; Łanocha-Arendarczyk, N.; Rotter, I. The effects of calcium, magnesium, phosphorus, fluoride, and lead on bone tissue. Biomolecules 2021, 11, 506. [Google Scholar] [CrossRef] [PubMed]
- Everett, E. Fluoride’s effects on the formation of teeth and bones, and the influence of genetics. J. Dent. Res. 2011, 90, 552–560. [Google Scholar] [CrossRef] [PubMed]
- Weivoda, M.M.; Chew, C.K.; Monroe, D.G.; Farr, J.N.; Atkinson, E.J.; Geske, J.R.; Eckhardt, B.; Thicke, B.; Ruan, M.; Tweed, A.J. Identification of osteoclast-osteoblast coupling factors in humans reveals links between bone and energy metabolism. Nat. Commun. 2020, 11, 87. [Google Scholar] [CrossRef] [PubMed]
- Bayda, S.; Adeel, M.; Tuccinardi, T.; Cordani, M.; Rizzolio, F. The history of nanoscience and nanotechnology: From chemical–physical applications to nanomedicine. Molecules 2019, 25, 112. [Google Scholar] [CrossRef]
- Elbasuney, S. Green synthesis of hydroxyapatite nanoparticles with controlled morphologies and surface properties toward biomedical applications. J. Inorg. Organomet. Polym. Mater. 2020, 30, 899–906. [Google Scholar] [CrossRef]
- Thiet, D.T. Preparation of Nanohydroxyapatite Obtained from Lates Calcarifer Fish Bone by Alkaline Hydrolysis Method. Am. J. Chem. Eng. Biochem. Eng. 2021, 5, 32–40. [Google Scholar]
- Yelten-Yilmaz, A.; Yilmaz, S. Wet chemical precipitation synthesis of hydroxyapatite (HA) powders. Ceram. Int. 2018, 44, 9703–9710. [Google Scholar] [CrossRef]
- Yang, Y.; Wu, Q.; Wang, M.; Long, J.; Mao, Z.; Chen, X. Hydrothermal synthesis of hydroxyapatite with different morphologies: Influence of supersaturation of the reaction system. Cryst. Growth Des. 2014, 14, 4864–4871. [Google Scholar] [CrossRef]
- Phatai, P.; Futalan, C.; Kamonwannasit, S.; Khemthong, P. Structural characterization and antibacterial activity of hydroxyapatite synthesized via sol-gel method using glutinous rice as a template. J. Sol-Gel Sci. Technol. 2019, 89, 764–775. [Google Scholar] [CrossRef]
- Abu Bakar, S.A.S.; Sopyan, I.; Bin Abd Shukor, M.H. Mechanochemical synthesis of hydroxyapatite nanopowder: Effects of rotation speed and milling time on powder properties. Appl. Mech. Mater. 2012, 110–116, 3639–3644. [Google Scholar] [CrossRef]
- Gurgenc, T.; Biryan, F. Production, thermal and dielectrical properties of Ag-doped nano-strontium apatite and nano h-BN filled poly (4-(3-(2,3,4-trimethoxyphenyl) acryloyl) phenyl acrylate) composites. J. Polym. Res. 2020, 27, 194. [Google Scholar] [CrossRef]
- Vacacela Gomez, C.; Tene, T.; Guevara, M.; Tubon Usca, G.; Colcha, D.; Brito, H.; Molina, R.; Bellucci, S.; Tavolaro, A. Preparation of few-layer graphene dispersions from hydrothermally expanded graphite. Appl. Sci. 2019, 9, 2539. [Google Scholar] [CrossRef] [Green Version]
- Gitty, P.; Kailasnath, M.; Nampoori, V.P. Synthesis, structure and luminescence characterization of erbium doped hydroxyapatite nanoparticles by precipitation method. Curr. Phys. Chem. 2019, 9, 218–225. [Google Scholar] [CrossRef]
- Okazaki, M.; Azuma, Y.; Iwasaki, M.; Furuzono, T. Antibacterial coating of titanium-doped hydroxyapatite nanoparticles on a polymer substrate. Funct. Mater. Lett. 2021, 14, 2151014. [Google Scholar] [CrossRef]
- Karunakaran, G.; Cho, E.-B.; Kumar, G.S.; Kolesnikov, E.; Sudha, K.G.; Mariyappan, K.; Han, A.; Choi, S.S. Citric Acid-Mediated Microwave-Hydrothermal Synthesis of Mesoporous F-Doped HAp Nanorods from Bio-Waste for Biocidal Implant Applications. Nanomaterials 2022, 12, 315. [Google Scholar] [CrossRef] [PubMed]
- Gao, J.; Wang, M.; Shi, C.; Wang, L.; Zhu, Y.; Wang, D. A facile green synthesis of trace Si, Sr and F multi-doped hydroxyapatite with enhanced biocompatibility and osteoconduction. Mater. Lett. 2017, 196, 406–409. [Google Scholar] [CrossRef]
- Oztekin, F.; Gurgenc, T.; Dundar, S.; Ozercan, I.H.; Yildirim, T.T.; Eskibaglar, M.; Ozcan, E.C.; Macit, C.K. In Vivo Evaluation of the Effects of B-Doped Strontium Apatite Nanoparticles Produced by Hydrothermal Method on Bone Repair. J. Funct. Biomater. 2022, 13, 110. [Google Scholar] [CrossRef]
- Akbulut, Y.; Gul, M.; Dundar, S.; Ozcan, E.C.; Ozercan, I.H.; Bozoglan, A.; Karasu, N.; Acikan, I.; Bingül, M.B. Evaluation of Effects of Systemic Zoledronic Acid Application on Bone Maturation in the Consolidation Period in Distraction Osteogenesis. J. Craniofac. Surg. 2021, 32, 2901–2905. [Google Scholar] [CrossRef]
- Nathanael, A.J.; Mangalaraj, D.; Hong, S.; Masuda, Y.; Rhee, Y.; Kim, H. Influence of fluorine substitution on the morphology and structure of hydroxyapatite nanocrystals prepared by hydrothermal method. Mater. Chem. Phys. 2013, 137, 967–976. [Google Scholar] [CrossRef]
- Wang, Q.; Li, P.; Tang, P.; Ge, X.; Ren, F.; Zhao, C.; Fang, J.; Wang, K.; Fang, L.; Li, Y. Experimental and simulation studies of strontium/fluoride-codoped hydroxyapatite nanoparticles with osteogenic and antibacterial activities. Colloids Surf. B Biointerfaces 2019, 182, 110359. [Google Scholar] [CrossRef]
- Ratha, I.; Datta, P.; Reger, N.C.; Das, H.; Balla, V.K.; Devi, K.B.; Roy, M.; Nandi, S.K.; Kundu, B. In vivo osteogenesis of plasma sprayed ternary-ion doped hydroxyapatite coatings on Ti6Al4V for orthopaedic applications. Ceram. Int. 2022, 48, 11475–11488. [Google Scholar] [CrossRef]
- Uysal, I.; Severcan, F.; Evis, Z. Characterization by Fourier transform infrared spectroscopy of hydroxyapatite co-doped with zinc and fluoride. Ceram. Int. 2013, 39, 7727–7733. [Google Scholar] [CrossRef]
- Ma, X.; Liu, Y.; Zhu, B. Synthesis and characterization of pure strontium apatite particles and nanoporous scaffold prepared by dextrose-templated method. Mater. Res. Express 2018, 5, 025002. [Google Scholar] [CrossRef]
- Gurgenc, T. Structural characterization and dielectrical properties of Ag-doped nano-strontium apatite particles produced by hydrothermal method. J. Mol. Struct. 2021, 1223, 128990. [Google Scholar] [CrossRef]
- Nimmy, E.; Wilson, P. Investigations on sonofragmentation of hydroxyapatite crystals as a function of strontium incorporation. Ultrason. Sonochem. 2019, 50, 188–199. [Google Scholar]
- Zhu, X.; Eibl, O.; Scheideler, L.; Geis-Gerstorfer, J. Characterization of nano hydroxyapatite/collagen surfaces and cellular behaviors. J. Biomed. Mater. Res. A 2006, 79, 114–127. [Google Scholar] [CrossRef] [PubMed]
- Corno, M.; Busco, C.; Civalleri, B.; Ugliengo, P. Periodic ab initio study of structural and vibrational features of hexagonal hydroxyapatite Ca10(PO4)6(OH)2. Phys. Chem. Chem. Phys. 2006, 8, 2464–2472. [Google Scholar] [CrossRef]
- Stanić, V.; Janaćković, D.; Dimitrijević, S.; Tanasković, S.B.; Mitrić, M.; Pavlović, M.S.; Krstić, A.; Jovanović, D.; Raičević, S. Synthesis of antimicrobial monophase silver-doped hydroxyapatite nanopowders for bone tissue engineering. Appl. Surf. Sci. 2011, 257, 4510–4518. [Google Scholar] [CrossRef]
- Ravi, N.D.; Balu, R.; Sampath Kumar, T. Strontium-substituted calcium deficient hydroxyapatite nanoparticles: Synthesis, characterization, and antibacterial properties. J. Am. Ceram. Soc. 2012, 95, 2700–2708. [Google Scholar] [CrossRef]
- Kavitha, R.; Ravichandran, K.; Narayanan, T.S. Deposition of strontium phosphate coatings on magnesium by hydrothermal treatment: Characteristics, corrosion resistance and bioactivity. J. Alloys Compd. 2018, 745, 725–743. [Google Scholar] [CrossRef]
- Rajabnejadkeleshteri, A.; Kamyar, A.; Khakbiz, M.; Basiri, H. Synthesis and characterization of strontium fluor-hydroxyapatite nanoparticles for dental applications. Microchem. J. 2020, 153, 104485. [Google Scholar] [CrossRef]
- Raizda, P.; Gautam, S.; Priya, B.; Singh, P. Preparation and photocatalytic activity of hydroxyapatite supported BiOCl nanocomposite for oxytetracyline removal. Adv. Mater. Lett. 2016, 7, 312–318. [Google Scholar] [CrossRef]
- Jiang, X.; Zhao, Y.; Wang, C.; Sun, R.; Tang, Y. Effects of physico-chemical properties of ions-doped hydroxyapatite on adsorption and release performance of doxorubicin as a model anticancer drug. Mater. Chem. Phys. 2022, 276, 125440. [Google Scholar] [CrossRef]
- Shafiei, F.; Behroozibakhsh, M.; Moztarzadeh, F.; Haghbin-Nazarpak, M.; Tahriri, M. Nanocrystalline fluorine-substituted hydroxyapatite [Ca5(PO4)3(OH)1−xFx(0 ≤ x ≤ 1)] for biomedical applications: Preparation and characterisation. Micro Nano Lett. 2012, 7, 109–114. [Google Scholar] [CrossRef]
- Al-Hamdan, R.S.; Almutairi, B.; Kattan, H.F.; Alresayes, S.; Abduljabbar, T.; Vohra, F. Assessment of hydroxyapatite nanospheres incorporated dentin adhesive. A SEM/EDX, micro-raman, microtensile and micro-indentation study. Coatings 2020, 10, 1181. [Google Scholar] [CrossRef]
- Cheng, K.; Zhang, S.; Weng, W. The F content in sol–gel derived FHA coatings: An XPS study. Surf. Coat. Technol. 2005, 198, 237–241. [Google Scholar] [CrossRef]
- Korkmaz, M.; Turkmen, R.; Demirel, H.H.; Saritas, Z.K. Effect of boron on the repair of osteochondral defect and oxidative stress in rats: An experimental study. Biol. Trace Elem. Res. 2019, 187, 425–433. [Google Scholar] [CrossRef]
- Cassino, P.C.; Rosseti, L.S.; Ayala, O.I.; Martines, M.A.U.; Portugual, L.C.; Oliveira, C.G.D.; Silva, I.S.; Caldas, R.d.A. Potencial of different hydroxyapatites as biomaterials in the bone remodeling. Acta Cir. Bras. 2018, 33, 816–823. [Google Scholar] [CrossRef]
- Isaac, J.; Nohra, J.; Lao, J.; Jallot, E.; Nedelec, J.-M.; Berdal, A.; Sautier, J.-M. Effects of strontium-doped bioactive glass on the differentiation of cultured osteogenic cells. Eur. Cell Mater. 2011, 21, 130–143. [Google Scholar] [CrossRef]
- Huang, Y.; Shen, X.; Qiao, H.; Yang, H.; Zhang, X.; Liu, Y.; Yang, H. Biofunctional Sr-and Si-loaded titania nanotube coating of Ti surfaces by anodization-hydrothermal process. Int. J. Nanomed. 2018, 13, 633. [Google Scholar] [CrossRef]
- Veernala, I.; Giri, J.; Pradhan, A.; Polley, P.; Singh, R.; Yadava, S.K. Effect of fluoride doping in laponite nanoplatelets on osteogenic differentiation of human dental follicle stem cells (hDFSCs). Sci. Rep. 2019, 9, 915. [Google Scholar] [CrossRef] [PubMed] [Green Version]
- Yang, C.; Wang, Y.; Xu, H. Fluoride Regulate Osteoblastic Transforming Growth Factor-β1 Signaling by Mediating Recycling of the Type I Receptor ALK5. PLoS ONE 2017, 12, e0170674. [Google Scholar]







| Sample | Sr | P | F |
|---|---|---|---|
| Solution A | Solution B | ||
| SAP | 0.4 M | 0.24 M | - |
| SAP-F5 | 0.4 M | 0.24 M | 0.012 M |
| SAP-F10 | 0.4 M | 0.24 M | 0.024 M |
| SAP-F30 | 0.4 M | 0.24 M | 0.072 M |
| SAP-F50 | 0.4 M | 0.24 M | 0.120 M |
| Sample | Other Elements | Sr | P | F | Sr/P | F/Sr |
|---|---|---|---|---|---|---|
| SAP | 60.49 | 25.19 | 14.32 | - | 1.76 | - |
| SAP-F5 | 57.39 | 24.98 | 16.33 | 1.30 | 1.53 | 0.05 |
| SAP-F10 | 58.18 | 23.57 | 15.27 | 2.98 | 1.54 | 0.13 |
| SAP-F30 | 56.17 | 24.93 | 14.83 | 4.07 | 1.68 | 0.16 |
| SAP-F50 | 53.54 | 26.41 | 14.77 | 5.28 | 1.79 | 0.20 |
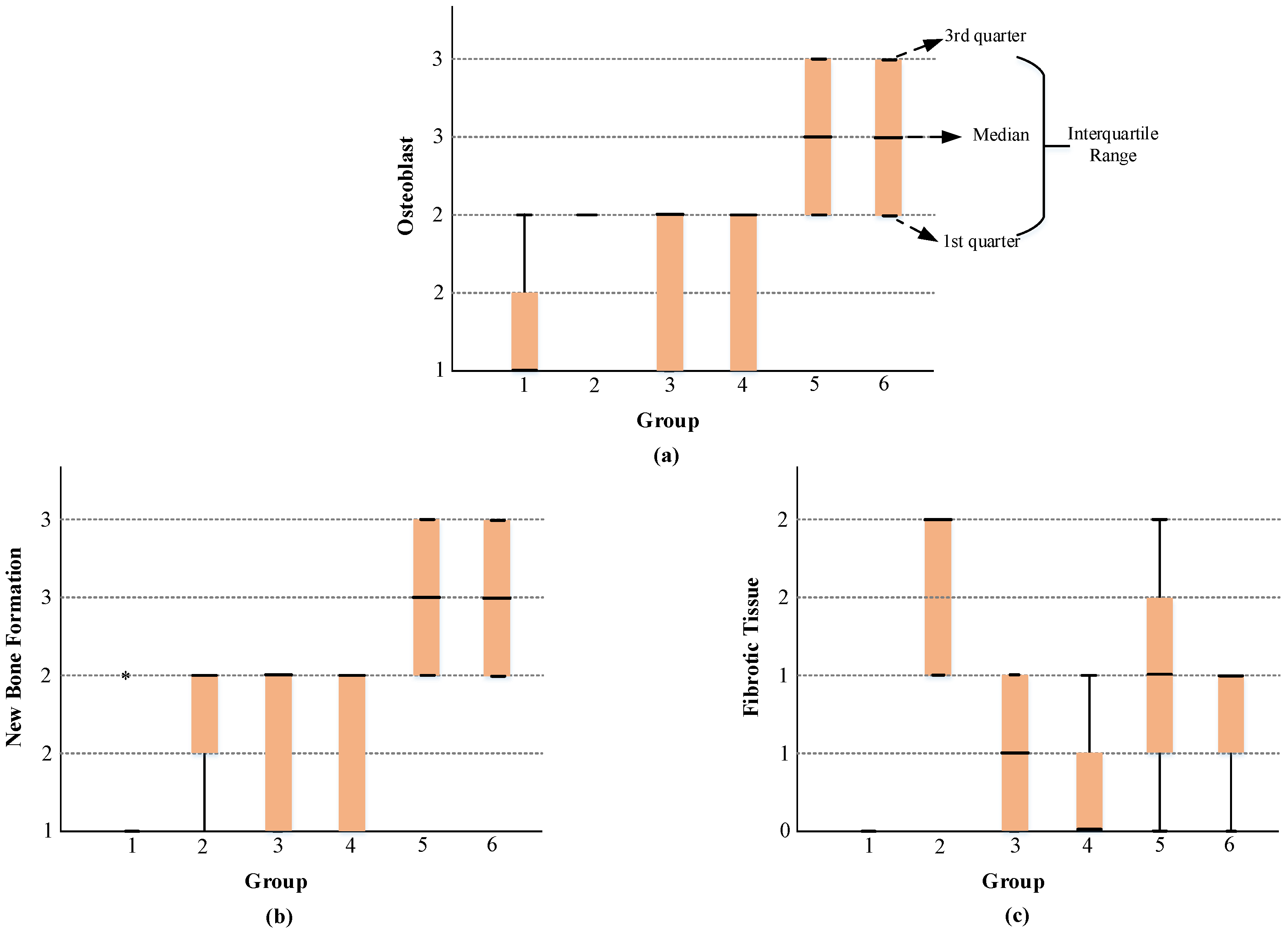
| Osteoblast Median (Min–Max) (n = 8) | New Bone Formation Median (Min–Max) (n = 8) | Fibrotic Tissue Median (Min–Max) (n = 8) | |
|---|---|---|---|
| Control (1) | 1 (1–2) | 1 (1–2) | 0 (0–0) |
| Strontium (2) | 2 (2–2) | 2 (1–2) | 2 (1–2) |
| Strontium with 5% fluorine (3) | 2 (1–2) | 2 (1–2) | 0.5 (0–1) |
| Strontium with 10% fluorine (4) | 2 (1–2) | 2 (1–2) | 0 (0–1) |
| Strontium with 30% fluorine (5) | 2.5 (2–3) | 2.5 (2–3) | 0 (0–2) |
| Strontium with 50% fluorine (6) | 2.5 (2–3) | 2.5 (2–3) | 1 (0–1) |
| p | <0.001 | <0.001 | <0.001 |
| p * | 1–5: p = 0.002 | 1–5: p = 0.001 | 1–2: p < 0.001 |
| 1–6: p = 0.002 | 1–6: p = 0.001 | 2–4: p = 0.004 | |
| Others: p > 0.05 | Others: p > 0.05 | Others: p > 0.05 |
Publisher’s Note: MDPI stays neutral with regard to jurisdictional claims in published maps and institutional affiliations. |
© 2022 by the authors. Licensee MDPI, Basel, Switzerland. This article is an open access article distributed under the terms and conditions of the Creative Commons Attribution (CC BY) license (https://creativecommons.org/licenses/by/4.0/).
Share and Cite
Oztekin, F.; Gurgenc, T.; Dundar, S.; Ozercan, I.H.; Eskibaglar, M.; Ozcan, E.C.; Bingul, M.B.; Habek, O. In Vivo Effects of Nanotechnologically Synthesized and Characterized Fluoridated Strontium Apatite Nanoparticles in the Surgical Treatment of Endodontic Bone Lesions. Crystals 2022, 12, 1192. https://doi.org/10.3390/cryst12091192
Oztekin F, Gurgenc T, Dundar S, Ozercan IH, Eskibaglar M, Ozcan EC, Bingul MB, Habek O. In Vivo Effects of Nanotechnologically Synthesized and Characterized Fluoridated Strontium Apatite Nanoparticles in the Surgical Treatment of Endodontic Bone Lesions. Crystals. 2022; 12(9):1192. https://doi.org/10.3390/cryst12091192
Chicago/Turabian StyleOztekin, Faruk, Turan Gurgenc, Serkan Dundar, Ibrahim Hanifi Ozercan, Mehmet Eskibaglar, Erhan Cahit Ozcan, Muhammet Bahattin Bingul, and Osman Habek. 2022. "In Vivo Effects of Nanotechnologically Synthesized and Characterized Fluoridated Strontium Apatite Nanoparticles in the Surgical Treatment of Endodontic Bone Lesions" Crystals 12, no. 9: 1192. https://doi.org/10.3390/cryst12091192
APA StyleOztekin, F., Gurgenc, T., Dundar, S., Ozercan, I. H., Eskibaglar, M., Ozcan, E. C., Bingul, M. B., & Habek, O. (2022). In Vivo Effects of Nanotechnologically Synthesized and Characterized Fluoridated Strontium Apatite Nanoparticles in the Surgical Treatment of Endodontic Bone Lesions. Crystals, 12(9), 1192. https://doi.org/10.3390/cryst12091192

