On the Quality of Protein Crystals Grown under Diffusion Mass-transport Controlled Regime (I)
Abstract
1. Introduction
2. Materials and Methods
2.1. Crystallization Experiments
2.2. X-ray Data Collection and Analysis
2.3. Principal Component Analysis
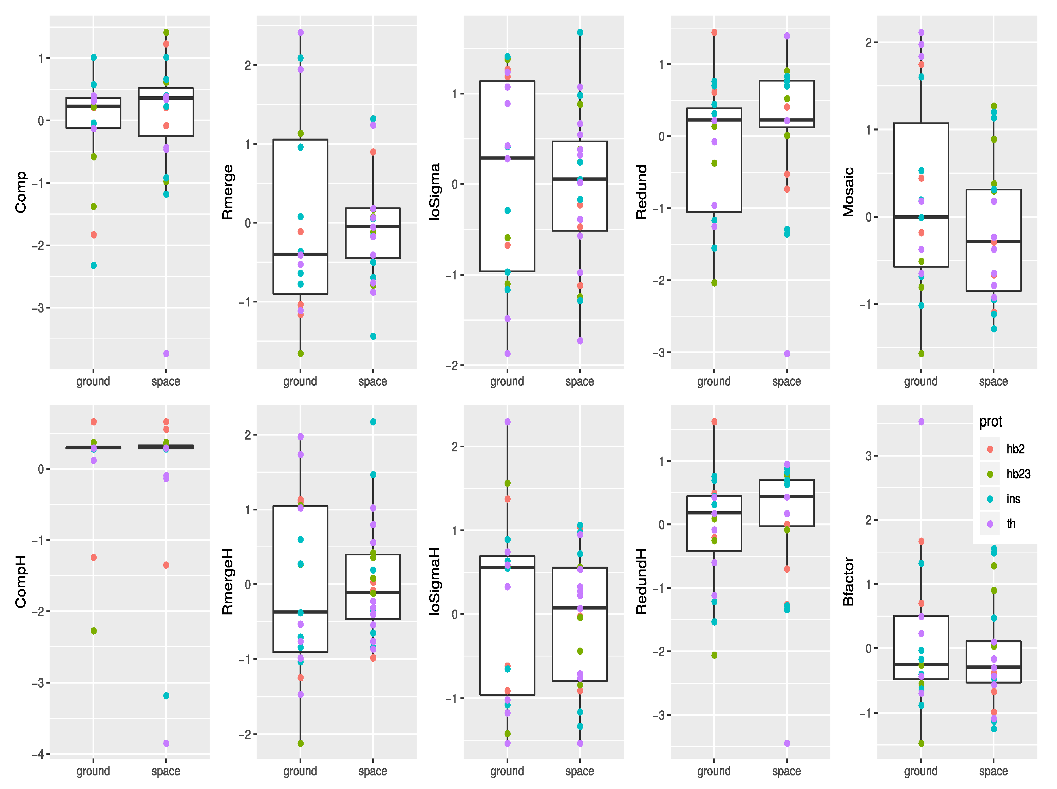
3. Results
4. Conclusions
Supplementary Materials
Author Contributions
Funding
Acknowledgments
Conflicts of Interest
References
- Scott, T.J.; Vonortas, N.S. Microgravity protein crystallization for drug development: a bold example of public sector entrepreneurship. J. Tech. Trans. 2019, 1–20. [Google Scholar] [CrossRef]
- DeLucas, L.J.; Moore, K.M.; Long, M.M.; Rouleau, R.; Bray, T.; Crysel, W.; Weise, L. Protein crystal growth in space, past and future. J. Crys. Growth 2002, 237–239, 1646–1650. [Google Scholar] [CrossRef]
- Gonzalez-Ramirez, L.A.; Carrera, J.; Gavira, J.A.; Melero-Garcia, E.; Garcia-Ruiz, J.M. Granada Crystallization Facility-2: A Versatile Platform for Crystallization in Space†. Cryst. Growth Des. 2008, 8, 4324–4329. [Google Scholar] [CrossRef]
- Judge, R.A.; Snell, E.H.; van der Woerd, M.J. Extracting trends from two decades of microgravity macromolecular crystallization history. Acta Cryst. Sec. D 2005, 61, 763–771. [Google Scholar] [CrossRef] [PubMed]
- Martirosyan, A.; DeLucas, L.J.; Schmidt, C.; Perbandt, M.; McCombs, D.; Cox, M.; Radka, C.; Betzel, C. Effect of macromolecular mass transport in microgravity protein crystallization. Grav. Space Res. 2019, 7, 33–44. [Google Scholar] [CrossRef]
- McPherson, A.; DeLucas, L.J. Microgravity protein crystallization. npj Microgravity 2015, 1. [Google Scholar] [CrossRef]
- Ruyters, G.; Betzel, C. Protein Crystallization in Space: Early Successes and Drawbacks in the German Space Life Sciences Program. Biotech. Space 2017, 11–26. [Google Scholar] [CrossRef]
- Carter, D.C.; Lim, K.; Ho, J.X.; Wright, B.S.; Twigg, P.D.; Miller, T.Y.; Chapman, J.; Keeling, K.; Ruble, J.; Vekilov, P.G.; et al. Lower dimer impurity incorporation may result in higher perfection of HEWL crystals grown in microgravity. J. Cryst. Growth 1999, 196, 623–637. [Google Scholar] [CrossRef]
- Ng, J.D.; Lorber, B.; Giegé, R.; Koszelak, S.; Day, J.; Greenwood, A.; McPherson, A. Comparative Analysis of Thaumatin Crystals Grown on Earth and in Microgravity. Acta Cryst. Section D Bio. Cryst. 1997, 53, 724–733. [Google Scholar] [CrossRef]
- Snell, E.H.; Weisgerber, S.; Helliwell, J.R.; Weckert, E.; Hölzer, K.; Schroer, K. Improvements in lysozyme protein crystal perfection through microgravity growth. Acta Cryst. Section D Bio. Cryst. 1995, 51, 1099–1102. [Google Scholar] [CrossRef]
- McPherson, A.; Greenwood, A.; Day, J. The effect of microgravity on protein crystal growth. Adv. Space Res. 1991, 11, 343–356. [Google Scholar] [CrossRef]
- McPherson, A.; Malkin, A.J.; Kuznetsov, Y.G.; Koszelak, S.; Wells, M.; Jenkins, G.; Howard, J.; Lawson, G. The effects of microgravity on protein crystallization: evidence for concentration gradients around growing crystals. J. Cryst. Growth 1999, 196, 572–586. [Google Scholar] [CrossRef]
- Otalora, F.; Luisa Novella, M.; Rondon, D.; Garca-Ruiz, J.M. Growth of lysozyme crystals under microgravity conditions in the LMS [STS-78] mission. J. Cryst. Growth 1999, 196, 649–664. [Google Scholar] [CrossRef]
- Thomas, B.R.; Chernov, A.A.; Vekilov, P.G.; Carter, D.C. Distribution coefficients of protein impurities in ferritin and lysozyme crystals Self-purification in microgravity. J. Cryst. Growth 2000, 211, 149–156. [Google Scholar] [CrossRef]
- Lee, C.P.; Chernov, A.A. Solutal convection around growing protein crystals and diffusional purification in Space. J. Cryst. Growth 2002, 240, 531–544. [Google Scholar] [CrossRef]
- Snell, E.H.; Judge, R.A.; Crawford, L.; Forsythe, E.L.; Pusey, M.L.; Sportiello, M.; Todd, P.; Bellamy, H.; Lovelace, J.; Cassanto, J.M.; et al. Investigating the Effect of Impurities on Macromolecule Crystal Growth in Microgravity. Cryst. Growth Des. 2001, 1, 151–158. [Google Scholar] [CrossRef]
- García-Ruiz, J.M.; Otálora, F. Macromolecular Crystals—Growth and Characterization. Cryst. Growth Fund. Tech. 2004, 369–390. [Google Scholar] [CrossRef]
- García-Ruiz, J.M.; Otálora, F.; García-Caballero, A. The role of mass transport in protein crystallization. Acta Cryst. Sec. F Struc. Bio. Commun. 2016, 72, 96–104. [Google Scholar] [CrossRef]
- Lin, H.; Rosenberger, F.; Alexander, J.I.D.; Nadarajah, A. Convective-diffusive transport in protein crystal growth. J. Cryst. Growth 1995, 151, 153–162. [Google Scholar] [CrossRef]
- Otálora, F.; García-Ruiz, J.M.; Carotenuto, L.; Castagnolo, D.; Novella, M.L.; Chernov, A.A. Lysozyme crystal growth kinetics in microgravity. Acta Cryst. Section D Bio. Cryst. 2002, 58, 1681–1689. [Google Scholar] [CrossRef]
- Lorber, B. The crystallization of biological macromolecules under microgravity: a way to more accurate three-dimensional structures? Biochim. Biophy. Acta [BBA] Proteins Proteomics 2002, 1599, 1–8. [Google Scholar] [CrossRef]
- Vergara, A.; Lorber, B.; Sauter, C.; Giege, R.; Zagari, A. Lessons from crystals grown in the Advanced Protein Crystallisation Facility for conventional crystallisation applied to structural biology. Biophys Chem 2005, 118, 102–112. [Google Scholar] [CrossRef] [PubMed]
- Poodt, P.W.G.; Heijna, M.C.R.; Christianen, P.C.M.; van Enckevort, W.J.P.; de Grip, W.J.; Tsukamoto, K.; Maan, J.C.; Vlieg, E. Using Gradient Magnetic Fields to Suppress Convection during Crystal Growth. Cryst. Growth Des. 2006, 6, 2275–2280. [Google Scholar] [CrossRef]
- Carter, D.C.; Rhodes, P.; McRee, D.E.; Tari, L.W.; Dougan, D.R.; Snell, G.; Abola, E.; Stevens, R.C. Reduction in diffuso-convective disturbances in nanovolume protein crystallization experiments. J. Appl. Cryst. 2005, 38, 87–90. [Google Scholar] [CrossRef]
- Lavalette, D.; Tétreau, C.; Tourbez, M.; Blouquit, Y. Microscopic Viscosity and Rotational Diffusion of Proteins in a Macromolecular Environment. Biophy. J. 1999, 76, 2744–2751. [Google Scholar] [CrossRef]
- Ng, J.D.; Gavira, J.A.; García-Ruíz, J.M. Protein crystallization by capillary counterdiffusion for applied crystallographic structure determination. J. Struc. Bio. 2003, 142, 218–231. [Google Scholar] [CrossRef]
- Otálora, F.; Gavira, J.A.; Ng, J.D.; García-Ruiz, J.M. Counterdiffusion methods applied to protein crystallization. Progress Biophy. Mol. Bio. 2009, 101, 26–37. [Google Scholar] [CrossRef]
- Poodt, P.W.G.; Heijna, M.C.R.; Schouten, A.; Gros, P.; van Enckevort, W.J.P.; Vlieg, E. Simple Geometry for Diffusion Limited Protein Crystal Growth: Harnessing Gravity to Suppress Convection. Cryst. Growth Des. 2009, 9, 885–888. [Google Scholar] [CrossRef]
- Ramachandran, N.; Leslie, F.W. Using magnetic fields to control convection during protein crystallization—analysis and validation studies. J. Cryst. Growth 2005, 274, 297–306. [Google Scholar] [CrossRef]
- Tagami, M.; Hamai, M.; Mogi, I.; Watanabe, K.; Motokawa, M. Solidification of levitating water in a gradient strong magnetic field. J. Cryst. Growth 1999, 203, 594–598. [Google Scholar] [CrossRef]
- Lorber, B.; Sauter, C.; Theobald-Dietrich, A.; Moreno, A.; Schellenberger, P.; Robert, M.-C.; Capelle, B.; Sanglier, S.; Potier, N.; Giege, R. Crystal growth of proteins, nucleic acids, and viruses in gels. Prog Biophys Mol Biol 2009, 101, 13–25. [Google Scholar] [CrossRef]
- Moreno, A.; Mendoza, M.E. Crystallization in Gels. In Handbook of Crystal Growth, 2nd ed.; Elsevier: Amsterdam, The Netherlands, 2015; pp. 1277–1315. [Google Scholar]
- Rizzato, S.; Moret, M.; Merlini, M.; Albinati, A.; Beghi, F. Crystal growth in gelled solution: applications to coordination polymers. CrystEngComm 2016, 18, 2455–2462. [Google Scholar] [CrossRef]
- Garcia-Ruiz, J.M.; Novella, M.L.; Moreno, R.; Gavira, J.A. Agarose as crystallization media for proteins : I: Transport processes. J. Cryst. Growth 2001, 232, 165–172. [Google Scholar] [CrossRef]
- Vidal, O.; Robert, M.C.; Boué, F. Gel growth of lysozyme crystals studied by small angle neutron scattering: case of agarose gel, a nucleation promotor. J. Cryst. Growth 1998, 192, 257–270. [Google Scholar] [CrossRef]
- Chernov, A.A.; Garcia-Ruiz, J.M.; Thomas, B.R. Visualization of the impurity depletion zone surrounding apoferritin crystals growing in gel with holoferritin dimer impurity. J. Cryst. Growth 2001, 232, 184–187. [Google Scholar] [CrossRef]
- Van Driessche, A.E.S.; Otalora, F.; Gavira, J.A.; Sazaki, G. Is Agarose an Impurity or an Impurity Filter? In Situ Observation of the Joint Gel/Impurity Effect on Protein Crystal Growth Kinetics. Cryst. Growth Des. 2008, 8, 3623–3629. [Google Scholar] [CrossRef]
- Lorber, B.; Sauter, C.; Ng, J.D.; Zhu, D.W.; Giegé, R.; Vidal, O.; Robert, M.C.; Capelle, B. Characterization of protein and virus crystals by quasi-planar wave X-ray topography: a comparison between crystals grown in solution and in agarose gel. J. Cryst. Growth 1999, 204, 357–368. [Google Scholar] [CrossRef]
- GarcIa-Ruiz, J.M.; Gavira, J.A.; Otálora, F.; Guasch, A.; Coll, M. Reinforced protein crystals. Mater. Res. Bulletin 1998, 33, 1593–1598. [Google Scholar] [CrossRef]
- Gavira, J.A.; Conejero-Muriel, M.; Delgado-López, J.M. Seeding from silica-reinforced lysozyme crystals for neutron crystallography. Acta Cryst. Section D Struc. Bio. 2018, D74, 1200–1207. [Google Scholar] [CrossRef]
- Gavira, J.A.; Garcia-Ruiz, J.M. Agarose as crystallisation media for proteins II: trapping of gel fibres into the crystals. Acta Cryst. Section D Bio. Cryst. 2002, 58, 1653–1656. [Google Scholar] [CrossRef]
- Gavira, J.A.; Van Driessche, A.E.S.; Garcia-Ruiz, J.-M. Growth of Ultrastable Protein–Silica Composite Crystals. Cryst. Growth Des. 2013, 13, 2522–2529. [Google Scholar] [CrossRef]
- Dong, J.; Boggon, T.J.; Chayen, N.E.; Raftery, J.; Bi, R.-C.; Helliwell, J.R. Bound-solvent structures for microgravity-, ground control-, gel- and microbatch-grown hen egg-white lysozyme crystals at 1.8 Å resolution. Acta Cryst. Section D Bio. Cryst. 1999, 55, 745–752. [Google Scholar] [CrossRef] [PubMed]
- Evrard, C.; Maes, D.; Zegers, I.; Declercq, J.-P.; Vanhee, C.; Martial, J.; Wyns, L.; Weerdt, C.V.D. TIM Crystals Grown by Capillary Counterdiffusion: Statistical Evidence of Quality Improvement in Microgravity. Cryst. Growth Des. 2007, 7, 2161–2166. [Google Scholar] [CrossRef]
- Miller, T.Y.; He, X.-m.; Carter, D.C. A comparison between protein crystals grown with vapor diffusion methods in microgravity and protein crystals using a gel liquid-liquid diffusion ground-based method. J. Cryst. Growth 1992, 122, 306–309. [Google Scholar] [CrossRef]
- Kundrot, C.E.; Judge, R.A.; Pusey, M.L.; Snell, E.H. Microgravity and Macromolecular Crystallography. Cryst. Growth Des. 2001, 1, 87–99. [Google Scholar] [CrossRef]
- Snell, E.H.; Helliwell, J.R. Macromolecular crystallization in microgravity. Rep. Prog. Phys 2005, 68, 799–853. [Google Scholar] [CrossRef]
- Otwinowski, Z.; Minor, W. Processing of X-ray diffraction data collected in oscillation mode. Methods Enzymol. 1997, 276, 307–326. [Google Scholar]
- Carotenuto, L.; Cartwright, J.H.E.; Castagnolo, D.; García Ruiz, J.M.; Otálora, F. Theory and simulation of buoyancy-driven convection around growing protein crystals in microgravity. Micrograv. Sci. Tech. 2002, 13, 14–21. [Google Scholar] [CrossRef]
- Caylor, C.L.; Dobrianov, I.; Lemay, S.G.; Kimmer, C.; Kriminski, S.; Finkelstein, K.D.; Zipfel, W.; Webb, W.W.; Thomas, B.R.; Chernov, A.A.; et al. Macromolecular impurities and disorder in protein crystals. Proteins: Struc. Funct. Gene. 1999, 36, 270–281. [Google Scholar] [CrossRef]
- Yoshizaki, I.; Sato, T.; Igarashi, N.; Natsuisaka, M.; Tanaka, N.; Komatsu, H.; Yoda, S. Systematic analysis of supersaturation and lysozyme crystal quality. Acta Cryst. Sec. D Bio. Cryst. 2001, 57, 1621–1629. [Google Scholar] [CrossRef]
- Jones, L.V. The Collected Works of John W. Tukey: Philosophy and Principles of Data Analysis 1965-1986; Taylor & Francis: London, UK, 1987. [Google Scholar]
- Maes, D.; Evrard, C.; Gavira, J.A.; Sleutel, M.; Van De Weerdt, C.; Otalora, F.; Garcia-Ruiz, J.M.; Nicolis, G.; Martial, J.; Decanniere, K. Toward a definition of x-ray crystal quality. Cryst. Growth Des. 2008, 8, 4284–4290. [Google Scholar] [CrossRef]
- Mardia, K.V.; Kent, J.T.; Bibby, J.M. Multivariate Analysis; Academic Press: London, UK, 1979. [Google Scholar]
- Venables, W.N.; Ripley, D.R. Modern Applied Statistics with S; Springer-Verlag: New York, NY, USA, 2002. [Google Scholar]






| Protein | Concentration (mg/mL) | Precipitating Agent | Buffer | Type |
|---|---|---|---|---|
| Thaumatin | 50 | 2.4 M NaK-tartrate | 0.1 M Hepes pH 7.0 | GCB |
| Insulin | 30 | 25% PEG 4000, 0.2 M NaK-tartrate | 0.02 M Na Phosphate pH 10.5, 0.02 M EDTA | 3L |
| HBII-O2 | 30 | 5 M Na Formate pH 5.0 | Water | 3L |
| HBII-III-CN | 30 | 5 M Na Formate pH 5.0 | Water | 3L |
| Protein | Dose Mode | Rotation | Detector-Crystal | N° Frames | Temperature |
|---|---|---|---|---|---|
| HBII-O2 | Fixed | 0.5° | 183 mm | 300 | 100 K |
| HBII-III-CN | Fixed | 0.5° | 196 mm | 275 | 100 K |
| Insulin | Fixed | 0.5° | 124 mm | 150 | 100 K |
| Thaumatin | Fixed | 0.5° | 120 mm | 180 | 100 K |
© 2020 by the authors. Licensee MDPI, Basel, Switzerland. This article is an open access article distributed under the terms and conditions of the Creative Commons Attribution (CC BY) license (http://creativecommons.org/licenses/by/4.0/).
Share and Cite
Gavira, J.A.; Otálora, F.; González-Ramírez, L.A.; Melero, E.; Driessche, A.E.S.v.; García-Ruíz, J.M. On the Quality of Protein Crystals Grown under Diffusion Mass-transport Controlled Regime (I). Crystals 2020, 10, 68. https://doi.org/10.3390/cryst10020068
Gavira JA, Otálora F, González-Ramírez LA, Melero E, Driessche AESv, García-Ruíz JM. On the Quality of Protein Crystals Grown under Diffusion Mass-transport Controlled Regime (I). Crystals. 2020; 10(2):68. https://doi.org/10.3390/cryst10020068
Chicago/Turabian StyleGavira, José A., Fermín Otálora, Luis A. González-Ramírez, Emilio Melero, Alexander E.S. van Driessche, and Juan Manuel García-Ruíz. 2020. "On the Quality of Protein Crystals Grown under Diffusion Mass-transport Controlled Regime (I)" Crystals 10, no. 2: 68. https://doi.org/10.3390/cryst10020068
APA StyleGavira, J. A., Otálora, F., González-Ramírez, L. A., Melero, E., Driessche, A. E. S. v., & García-Ruíz, J. M. (2020). On the Quality of Protein Crystals Grown under Diffusion Mass-transport Controlled Regime (I). Crystals, 10(2), 68. https://doi.org/10.3390/cryst10020068

