Perfluoroaryl Zinc Catalysts Active in Cyclohexene Oxide Homopolymerization and Alternating Copolymerization with Carbon Dioxide
Abstract
:1. Introduction
2. Results and Discussion
2.1. Ring-Opening Polymerization of Cyclohexene Oxide Promoted by the Complex 1
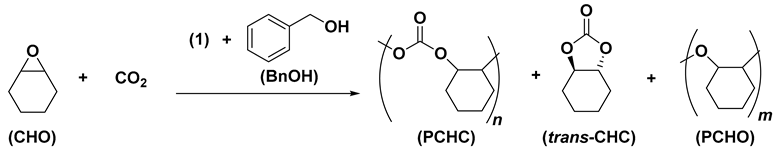
2.2. ROCOP of CHO with CO2 Promoted by 1 and BnOH as Initiator
2.3. ROCOP of Cyclohexene Oxide and Carbon Dioxide Catalysed by Complexes 2
3. Materials and Methods
3.1. General Procedures and Materials
3.2. Instrumentation and Analytical Methods
3.3. Synthesis of (C6F5)2Zn2(OBn)2 (Complex 2)
3.4. Procedure for the Ring-Opening Polymerization of Cyclohexene Oxide Promoted by Complex 1 (Table 1)
3.5. Typical Procedure for Ring-Opening Copolymerization (ROCOP) between Cyclohexene Oxide and CO2 Promoted by Complex 1 in Combination with Benzyl Alcohol (Table 2, Entry 4)
3.6. Typical Procedure for Ring-Opening Copolymerization (ROCOP) between Cyclohexene Oxide and CO2 Promoted by Complex 2 (Table 2, Entry 1)
4. Conclusions
Supplementary Materials
Author Contributions
Funding
Data Availability Statement
Conflicts of Interest
References
- Aresta, M.; Dibenedetto, A.; Angelini, A. Catalysis for the Valorization of Exhaust Carbon: From CO2 to Chemicals, Materials, and Fuels. Technological Use of CO2. Chem. Rev. 2014, 114, 1709–1742. [Google Scholar] [CrossRef] [PubMed]
- Hepburn, C.; Adlen, E.; Beddington, J.; Carter, E.A.; Fuss, S.; Mac Dowell, N.; Minx, J.C.; Smith, P.; Williams, C.K. The Technological and Economic Prospects for CO2 Utilization and Removal. Nature 2019, 575, 87–97. [Google Scholar] [CrossRef]
- Pescarmona, P.P. Cyclic Carbonates Synthesised from CO2: Applications, Challenges and Recent Research Trends. Curr. Opin. Green Sustain. Chem. 2021, 29, 100457. [Google Scholar] [CrossRef]
- Alves, M.; Grignard, B.; Mereau, R.; Jerome, C.; Tassaing, T.; Detrembleur, C. Organocatalyzed Coupling of Carbon Dioxide with Epoxides for the Synthesis of Cyclic Carbonates: Catalyst Design and Mechanistic Studies. Catal. Sci. Technol. 2017, 7, 2651–2684. [Google Scholar] [CrossRef]
- Grignard, B.; Gennen, S.; Jérôme, C.; Kleij, A.W.; Detrembleur, C. Advances in the Use of CO2 as a Renewable Feedstock for the Synthesis of Polymers. Chem. Soc. Rev. 2019, 48, 4466–4514. [Google Scholar] [CrossRef] [PubMed]
- Enthaler, S. Rise of the Zinc Age in Homogeneous Catalysis? ACS Catal. 2013, 3, 150–158. [Google Scholar] [CrossRef]
- Huang, J.; Worch, J.C.; Dove, A.P.; Coulembier, O. Update and Challenges in Carbon Dioxide-Based Polycarbonate Synthesis. ChemSusChem 2020, 13, 469–487. [Google Scholar] [CrossRef]
- Cheng, M.; Moore, D.R.; Reczek, J.J.; Chamberlain, B.M.; Lobkovsky, E.B.; Coates, G.W. Single-Site β-Diiminate Zinc Catalysts for the Alternating Copolymerization of CO2 and Epoxides: Catalyst Synthesis and Unprecedented Polymerization Activity. J. Am. Chem. Soc. 2001, 123, 8738–8749. [Google Scholar] [CrossRef]
- Ellis, W.C.; Jung, Y.; Mulzer, M.; Di Girolamo, R.; Lobkovsky, E.B.; Coates, G.W. Copolymerization of CO2 and Meso Epoxides Using Enantioselective β-Diiminate Catalysts: A Route to Highly Isotactic Polycarbonates. Chem. Sci. 2014, 5, 4004–4011. [Google Scholar] [CrossRef]
- Kissling, S.; Lehenmeier, M.W.; Altenbuchner, P.T.; Kronast, A.; Reiter, M.; Deglmann, P.; Seemann, U.B.; Rieger, B. Dinuclear Zinc Catalysts with Unprecedented Activities for the Copolymerization of Cyclohexene Oxide and CO2. Chem. Commun. 2015, 51, 4579–4582. [Google Scholar] [CrossRef] [Green Version]
- Saini, P.K.; Romain, C.; Williams, C.K. Dinuclear Metal Catalysts: Improved Performance of Heterodinuclear Mixed Catalysts for CO2—Epoxide Copolymerization. Chem. Commun. 2014, 50, 4164–4167. [Google Scholar] [CrossRef] [PubMed]
- Kember, M.R.; Knight, P.D.; Reung, P.T.R.; Williams, C.K. Highly Active Dizinc Catalyst for the Copolymerization of Carbon Dioxide and Cyclohexene Oxide at One Atmosphere Pressure. Angew. Chem. 2009, 121, 949–951. [Google Scholar] [CrossRef]
- Martínez, J.; Castro-Osma, J.A.; Lara-Sánchez, A.; Otero, A.; Fernández-Baeza, J.; Tejeda, J.; Sánchez-Barba, L.F.; Rodríguez-Diéguez, A. Ring-Opening Copolymerisation of Cyclohexene Oxide and Carbon Dioxide Catalysed by Scorpionate Zinc Complexes. Polym. Chem. 2016, 7, 6475–6484. [Google Scholar] [CrossRef]
- Shao, H.; Reddi, Y.; Cramer, C.J. Modeling the Mechanism of CO2/Cyclohexene Oxide Copolymerization Catalyzed by Chiral Zinc β-Diiminates: Factors Affecting Reactivity and Isotacticity. ACS Catal. 2020, 10, 8870–8879. [Google Scholar] [CrossRef]
- Deacy, A.C.; Durr, C.B.; Williams, C.K. Heterodinuclear Complexes Featuring Zn(Ii) and M = Al(Iii), Ga(Iii) or In(Iii) for Cyclohexene Oxide and CO2 Copolymerisation. Dalton Trans. 2020, 49, 223–231. [Google Scholar] [CrossRef]
- Anderson, T.S.; Kozak, C.M. Ring-Opening Polymerization of Epoxides and Ring-Opening Copolymerization of CO2 with Epoxides by a Zinc Amino-Bis(Phenolate) Catalyst. Eur. Polym. J. 2019, 120, 109237. [Google Scholar] [CrossRef]
- Xu, Y.; Lin, L.; He, C.-T.; Qin, J.; Li, Z.; Wang, S.; Xiao, M.; Meng, Y. Kinetic and Mechanistic Investigation for the Copolymerization of CO2 and Cyclohexene Oxide Catalyzed by Trizinc Complexes. Polym. Chem. 2017, 8, 3632–3640. [Google Scholar] [CrossRef]
- Nagae, H.; Aoki, R.; Akutagawa, S.; Kleemann, J.; Tagawa, R.; Schindler, T.; Choi, G.; Spaniol, T.P.; Tsurugi, H.; Okuda, J.; et al. Lanthanide Complexes Supported by a Trizinc Crown Ether as Catalysts for Alternating Copolymerization of Epoxide and CO2: Telomerization Controlled by Carboxylate Anions. Angew. Chem. Int. Ed. 2018, 57, 2492–2496. [Google Scholar] [CrossRef]
- Reiter, M.; Vagin, S.; Kronast, A.; Jandl, C.; Rieger, B. A Lewis Acid β-Diiminato-Zinc-Complex as All-Rounder for Co- and Terpolymerisation of Various Epoxides with Carbon Dioxide. Chem. Sci. 2017, 8, 1876–1882. [Google Scholar] [CrossRef]
- Romain, C.; Garden, J.A.; Trott, G.; Buchard, A.; White, A.J.P.; Williams, C.K. Di-Zinc–Aryl Complexes: CO2 Insertions and Applications in Polymerisation Catalysis. Chem. Eur. J. 2017, 23, 7367–7376. [Google Scholar] [CrossRef] [Green Version]
- Vandenberg, E.J. Organometallic Catalysts for Polymerizing Monosubstituted Epoxides. J. Polym. Sci. 1960, 47, 486–489. [Google Scholar] [CrossRef]
- Childers, M.I.; Longo, J.M.; Van Zee, N.J.; LaPointe, A.M.; Coates, G.W. Stereoselective Epoxide Polymerization and Copolymerization. Chem. Rev. 2014, 114, 8129–8152. [Google Scholar] [CrossRef] [PubMed]
- Moore, D.R.; Cheng, M.; Lobkovsky, E.B.; Coates, G.W. Electronic and Steric Effects on Catalysts for CO2/Epoxide Polymerization: Subtle Modifications Resulting in Superior Activities. Angew. Chem. Int. Ed. 2002, 41, 2599–2602. [Google Scholar] [CrossRef]
- Pankhurst, J.R.; Paul, S.; Zhu, Y.; Williams, C.K.; Love, J.B. Polynuclear Alkoxy–Zinc Complexes of Bowl-Shaped Macrocycles and Their Use in the Copolymerisation of Cyclohexene Oxide and CO2. Dalton Trans. 2019, 48, 4887–4893. [Google Scholar] [CrossRef]
- Sobrino, S.; Navarro, M.; Fernández-Baeza, J.; Sánchez-Barba, L.F.; Lara-Sánchez, A.; Garcés, A.; Castro-Osma, J.A.; Rodríguez, A.M. Efficient Production of Poly(Cyclohexene Carbonate) via ROCOP of Cyclohexene Oxide and CO2 Mediated by NNO-Scorpionate Zinc Complexes. Polymers 2020, 12, 2148. [Google Scholar] [CrossRef]
- Walker, D.A.; Woodman, T.J.; Hughes, D.L.; Bochmann, M. Reactions of Zinc Dialkyls with (Perfluorophenyl)Boron Compounds: Alkylzinc Cation Formation vs C6F5 Transfer. Organometallics 2001, 20, 3772–3776. [Google Scholar] [CrossRef]
- Spassky, N.; Dumas, P.; Sepulchre, M.; Sigwalt, P. Properties and Methods of Synthesis of Several Optically Active Polyoxiranes and Polythiiranes. J. Polym. Sci. Polym. Symp. 1975, 52, 327–349. [Google Scholar] [CrossRef]
- Cheng, M.; Darling, N.A.; Lobkovsky, E.B.; Coates, G.W. Enantiomerically-Enriched Organic Reagents Polymer Synthesis: Enantioselective Copolymerization of Cycloalkene Oxides and CO Using Homogeneous, Zinc-Based Catalysts. Chem. Commun. 2000, 20, 2007–2008. [Google Scholar] [CrossRef]
- Yahiaoui, A.; Belbachir, M.; Soutif, J.C.; Fontaine, L. Synthesis and Structural Analyses of Poly(1,2-Cyclohexene Oxide) over Solid Acid Catalyst. Mater. Lett. 2005, 59, 759–767. [Google Scholar] [CrossRef]
- Allen, G.; Booth, C.; Hurst, S.J. The Preparation and Characterization of Poly(t-Butyl Ethylene Oxide) and Poly(Styrene Oxide). Polymer 1967, 8, 385–391. [Google Scholar] [CrossRef]
- Rabagliati, F.M.; López, F. Epoxide Polymerization, 6. Structure of Poly(Propylene Oxide) Prepared with Diphenylzinc/Water as Initiating System. Makromol. Chem. Rapid Commun. 1985, 6, 141–144. [Google Scholar] [CrossRef]
- Rabagliati, F.M.; Lopez-Carrasquero, F. Epoxide Polymerization—VII. Propylene Oxide Polymerization Using the Diphenylzinc-Water System in Benzene at 60°. Eur. Polym. J. 1985, 21, 1061–1065. [Google Scholar] [CrossRef]
- Thiam, M.; Spassky, N. Polymerization of Cyclohexene Oxide Using Yttrium Isopropoxide and a Bimetallic Yttrium-Aluminium Isopropoxide as Initiators. Macromol. Chem. Phys. 1999, 200, 2107–2110. [Google Scholar] [CrossRef]
- Plommer, H.; Reim, I.; Kerton, F.M. Ring-Opening Polymerization of Cyclohexene Oxide Using Aluminum Amine–Phenolate Complexes. Dalton Trans. 2015, 44, 12098–12102. [Google Scholar] [CrossRef] [PubMed]
- Della Monica, F.; Maity, B.; Pehl, T.; Buonerba, A.; De Nisi, A.; Monari, M.; Grassi, A.; Rieger, B.; Cavallo, L.; Capacchione, C. [OSSO]-Type Iron(III) Complexes for the Low-Pressure Reaction of Carbon Dioxide with Epoxides: Catalytic Activity, Reaction Kinetics, and Computational Study. ACS Catal. 2018, 8, 6882–6893. [Google Scholar] [CrossRef]
- Della Monica, F.; Buonerba, A.; Capacchione, C. Homogeneous Iron Catalysts in the Reaction of Epoxides with Carbon Dioxide. Adv. Synth. Catal. 2019, 361, 265–282. [Google Scholar] [CrossRef]
- Buonerba, A.; De Nisi, A.; Grassi, A.; Milione, S.; Capacchione, C.; Vagin, S.; Rieger, B. Novel Iron(Iii) Catalyst for the Efficient and Selective Coupling of Carbon Dioxide and Epoxides to Form Cyclic Carbonates. Catal. Sci. Technol. 2015, 5, 118–123. [Google Scholar] [CrossRef]
- Buonerba, A.; Della Monica, F.; De Nisi, A.; Luciano, E.; Milione, S.; Grassi, A.; Capacchione, C.; Rieger, B. Thioether-Triphenolate Bimetallic Iron(III) Complexes as Robust and Highly Efficient Catalysts for Cycloaddition of Carbon Dioxide to Epoxides. Faraday Discuss. 2015, 183, 83–95. [Google Scholar] [CrossRef]
- Della Monica, F.; Vummaleti, S.V.C.C.; Buonerba, A.; Nisi, A.D.; Monari, M.; Milione, S.; Grassi, A.; Cavallo, L.; Capacchione, C. Coupling of Carbon Dioxide with Epoxides Efficiently Catalyzed by Thioether-Triphenolate Bimetallic Iron(III) Complexes: Catalyst Structure–Reactivity Relationship and Mechanistic DFT Study. Adv. Synth. Catal. 2016, 358, 3231–3243. [Google Scholar] [CrossRef]
- Della Monica, F.; Leone, M.; Buonerba, A.; Grassi, A.; Milione, S.; Capacchione, C. CO2 Cycloaddition to Epoxides Promoted by Bis-Thioether-Phenolate Fe(II) and Fe(III) Complexes. Mol. Catal. 2018, 460, 46–52. [Google Scholar] [CrossRef]
- Chisholm, M.H.; Gallucci, J.C.; Yin, H.; Zhen, H. Arylzinc Alkoxides: [ArZnOCHP]2 and Ar2Zn3(OCHP)4 When Ar = C6H5, p-CF3C6H4, 2,4,6-Me3C6H2, and C6F5. Inorg. Chem. 2005, 44, 4777–4785. [Google Scholar] [CrossRef] [PubMed]
- Nakano, K.; Hiyama, T.; Nozaki, K. Asymmetric Amplification in Asymmetric Alternating Copolymerization of Cyclohexene Oxide and Carbon Dioxide. Chem. Commun. 2005, 14, 1871–1873. [Google Scholar] [CrossRef] [PubMed]
- Mąkolski, Ł.; Szejko, V.; Zelga, K.; Tulewicz, A.; Bernatowicz, P.; Justyniak, I.; Lewiński, J. Unravelling Structural Mysteries of Simple Organozinc Alkoxides. Chem. Eur. J. 2021, 27, 5666–5674. [Google Scholar] [CrossRef] [PubMed]








| Entry a | CHO:1 | Catalyst Loading | Time | CHO Conversion b | Mnc | (Đ) c,d | TOF e |
|---|---|---|---|---|---|---|---|
| (mol Ratio) | (%) | (min) | (%) | (kDa) | (molCHO/mol(1) min) | ||
| 1 | 1000 | 0.1 | 1 | 86 | 14.6 | 2.0 | 860 |
| 2 | 1500 | 0.067 | 1 | 90 | 15.4 | 2.0 | 1350 |
| 3 | 2500 | 0.04 | 1 | 85 | 20.2 | 1.9 | 2125 |
| 4 | 5000 | 0.02 | 1 | 84 | 25.9 | 1.9 | 4200 |
| 5 f | 1000 | 0.1 | 1200 | 43 | 28.6 | 1.7 | 0.36 |
| 6 g | 1000 | 0.1 | 1200 | 35 | 39.1 | 1.9 | 0.29 |

| Entry a | 1/BnOH | T | PCO2 | t | CHO Conversion b | Selectivity b | Mnc | (Đ) c,d | TOF e | ||
|---|---|---|---|---|---|---|---|---|---|---|---|
| PCHC | CHC | PCHO | |||||||||
| (mol Ratio) | (°C) | (MPa) | (h) | (%) | (%) | (%) | (%) | (kDa) | (molCHO/mol(Zn) h) | ||
| 1 | 1:1 | 120 | 2 | 48 | 74 | 86 | 5 | 9 | 9.3 | 7.7 | 7.7 |
| 2 | 1:2 | 120 | 2 | 48 | 67 | 83 | 9 | 8 | 8.0 | 6.5 | 7.0 |
| 3 | 1:5 | 120 | 2 | 48 | 77 | 85 | 8 | 7 | 8.0 | 8.6 | 8.0 |
| 4 | 1:10 | 120 | 2 | 48 | 48 | 89 | 4 | 7 | 17.2 | 3.7 | 5.0 |
| 5 | 1:2 | 100 | 2 | 48 | 58 | 91 | 1 | 8 | 7.8 | 16 | 6.0 |
| 6 | 1:2 | 80 | 2 | 48 | 12 | 88 | 3 | 9 | 6.4 | 4.7 | 1.3 |
| 7 | 1:2 | 60 | 2 | 48 | 14 | 62 | 4 | 34 | 7.2 | 5.2 | 1.5 |
| 8 | 1:5 | 120 | 1.5 | 48 | 71 | 85 | 9 | 6 | 6.5 | 9.3 | 7.4 |
| 9 | 1:5 | 120 | 0.5 | 48 | 26 | 64 | 16 | 20 | 2.6 | 7.0 | 2.7 |
| 10 | 1:5 | 100 | 2 | 5 | 4 | 63 | 10 | 27 | n.d. f | n.d. f | 4.0 |
| 11 | 1:5 | 100 | 2 | 20 | 12 | 78 | 9 | 13 | n.d. f | n.d. f | 3.0 |
| 12 | 1:5 | 100 | 2 | 27 | 20 | 81 | 12 | 7 | n.d. f | n.d. f | 3.7 |
| 13 | 1:5 | 100 | 2 | 48 | 74 | 77 | 6 | 17 | n.d. f | n.d. f | 7.7 |

| Entry a | PCO2 | Temp. | CHO Conversion b | Selectivity b | Mn c | Đ c,d | TOF e | ||
|---|---|---|---|---|---|---|---|---|---|
| PCHC | CHC | PCHO | |||||||
| (MPa) | (°C) | (%) | (%) | (%) | (%) | (kDa) | (molCHO/mol(Zn) h) | ||
| 1 | 2 | 120 | 54 | 93 | 3 | 4 | 25.4 | 4.5 | 6.7 |
| 2 | 2 | 100 | 42 | 53 | 1 | 46 | 32.5 | 4.1 | 5.2 |
| 3 f | 2 | 120 | 19 | 94 | 3 | 3 | 25.7 | 2.1 | 2.4 |
| 4 | 1 | 120 | 50 | 63 | 5 | 32 | 22.1 | 4.9 | 6.2 |
| 5 | 0.5 | 120 | 39 | 25 | 3 | 72 | 17.4 | 3.3 | 5 |
Publisher’s Note: MDPI stays neutral with regard to jurisdictional claims in published maps and institutional affiliations. |
© 2022 by the authors. Licensee MDPI, Basel, Switzerland. This article is an open access article distributed under the terms and conditions of the Creative Commons Attribution (CC BY) license (https://creativecommons.org/licenses/by/4.0/).
Share and Cite
Sokolovicz, Y.C.A.; Buonerba, A.; Capacchione, C.; Dagorne, S.; Grassi, A. Perfluoroaryl Zinc Catalysts Active in Cyclohexene Oxide Homopolymerization and Alternating Copolymerization with Carbon Dioxide. Catalysts 2022, 12, 970. https://doi.org/10.3390/catal12090970
Sokolovicz YCA, Buonerba A, Capacchione C, Dagorne S, Grassi A. Perfluoroaryl Zinc Catalysts Active in Cyclohexene Oxide Homopolymerization and Alternating Copolymerization with Carbon Dioxide. Catalysts. 2022; 12(9):970. https://doi.org/10.3390/catal12090970
Chicago/Turabian StyleSokolovicz, Yuri C. A., Antonio Buonerba, Carmine Capacchione, Samuel Dagorne, and Alfonso Grassi. 2022. "Perfluoroaryl Zinc Catalysts Active in Cyclohexene Oxide Homopolymerization and Alternating Copolymerization with Carbon Dioxide" Catalysts 12, no. 9: 970. https://doi.org/10.3390/catal12090970
APA StyleSokolovicz, Y. C. A., Buonerba, A., Capacchione, C., Dagorne, S., & Grassi, A. (2022). Perfluoroaryl Zinc Catalysts Active in Cyclohexene Oxide Homopolymerization and Alternating Copolymerization with Carbon Dioxide. Catalysts, 12(9), 970. https://doi.org/10.3390/catal12090970

