One-Pot Synthesis of TiO2/Hectorite Composite and Its Photocatalytic Degradation of Methylene Blue
Abstract
1. Introduction
2. Results and Discussion
2.1. Characterization
2.1.1. X-ray Diffraction (XRD)
2.1.2. Fourier Transform Infrared (FTIR) Spectroscopy
2.1.3. Scanning Electron Microscopy (SEM)
2.1.4. Transmission Electron Microscopy (TEM)
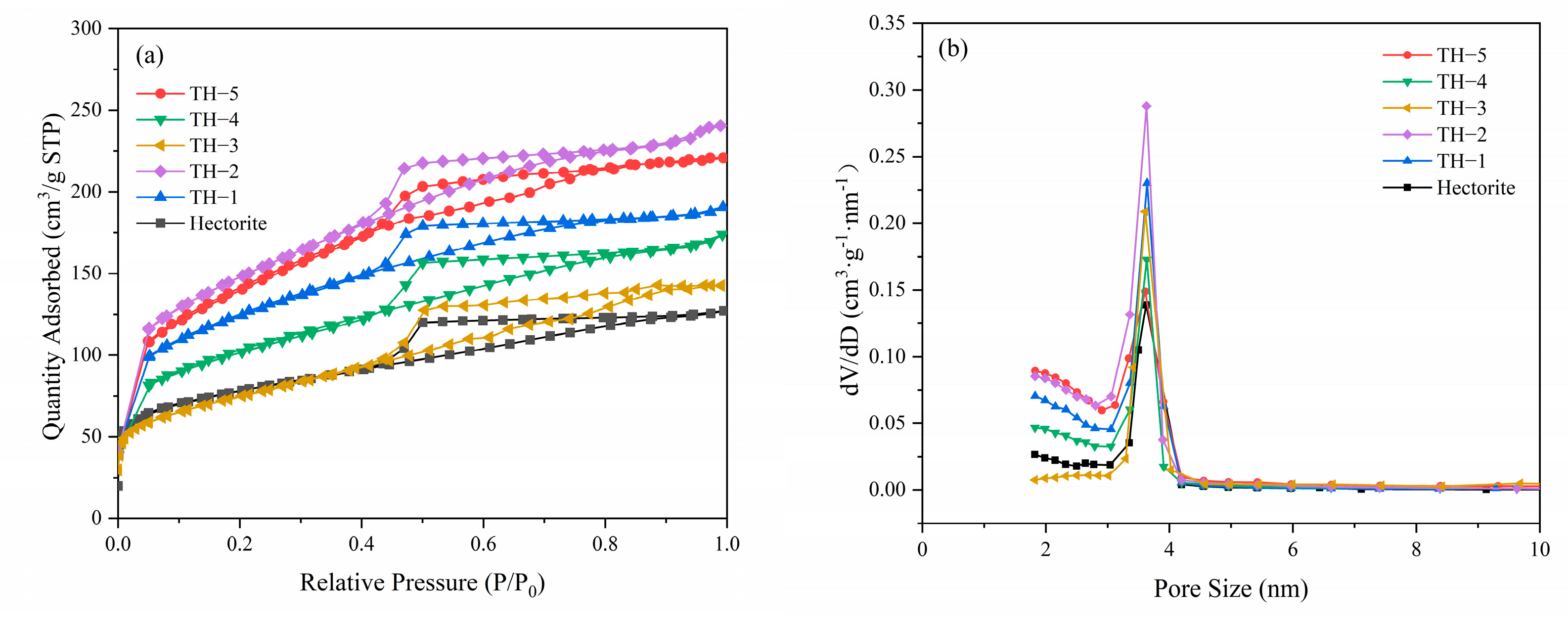
2.1.5. N2 Adsorption-Desorption Isotherms
2.1.6. Ultraviolet-Visible Diffuse Reflectance Spectra (UV-Vis DRS)
2.1.7. X-ray Photoelectron Spectroscopy (XPS)
2.2. Photocatalytic Study
2.3. Reusability
3. Materials and Methods
3.1. Materials
3.2. Synthesis of Photocatalysts
3.3. Characterizations
3.4. Photocatalytic Degradation
4. Conclusions
Author Contributions
Funding
Data Availability Statement
Acknowledgments
Conflicts of Interest
References
- Wang, Q.H.; Lai, Z.Y.; Luo, C.M.; Zhang, J.; Cao, X.D.; Liu, J.A.; Mu, J. Honeycomb-like activated carbon with microporous nanosheets structure prepared from waste biomass cork for highly efficient dye wastewater treatment. J. Hazard. Mater. 2021, 416, 125896. [Google Scholar] [CrossRef] [PubMed]
- Yu, Y.; Qiao, N.; Wang, D.J.; Zhu, Q.Z.; Fu, F.; Cao, R.Q.; Wang, R.; Liu, W.; Xu, B. Fluffy honeycomb-like activated carbon from popcorn with high surface area and well-developed porosity for ultra-high efficiency adsorption of organic dyes. Bioresour. Technol. 2019, 285, 121340. [Google Scholar] [CrossRef] [PubMed]
- Xu, J.; Wang, W.Z.; Shang, M.; Gao, E.P.; Zhang, Z.J.; Ren, J. Electrospun nanofibers of Bi-doped TiO2 with high photocatalytic activity under visible light irradiation. J. Hazard. Mater. 2011, 196, 426–430. [Google Scholar] [CrossRef] [PubMed]
- Chen, D.J.; Cheng, Y.L.; Zhou, N.; Chen, P.; Wang, Y.P.; Li, K.; Huo, S.H.; Cheng, P.F.; Peng, P.; Zhang, R.C.; et al. Photocatalytic degradation of organic pollutants using TiO2-based photocatalysts: A review. J. Clean. Prod. 2020, 268, 121725. [Google Scholar] [CrossRef]
- Ge, Y.H.; Luo, H.; Huang, J.R.; Zhang, Z.M. Visible-light-active TiO2 photocatalyst for efficient photodegradation of organic dyes. Opt. Mater. 2021, 115, 111058. [Google Scholar] [CrossRef]
- Ijaz, M.; Zafar, M. Titanium dioxide nanostructures as efficient photocatalyst: Progress, challenges and perspective. Int. J. Energ. Res. 2020, 45, 3569–3589. [Google Scholar] [CrossRef]
- Zhang, X.K.; Li, L.; Zeng, Y.Q.; Liu, F.; Yuan, J.J.; Yu, Y.; Zhu, X.R.; Xiong, Z.Z.; Yu, H.J.; Xie, Y.M. TiO2/graphitic carbon nitride nanosheets for the photocatalytic degradation of Rhodamine B under simulated sunlight. ACS Appl. Nano. Mater. 2019, 2, 7255–7265. [Google Scholar] [CrossRef]
- Yuan, L.L.; Huang, D.D.; Guo, W.N.; Yang, Q.X.; Yu, J. TiO2/montmorillonite nanocomposite for removal of organic pollutant. Appl. Clay Sci. 2011, 53, 272–278. [Google Scholar] [CrossRef]
- Auta, M.; Hameed, B.H. Acid modified local clay beads as effective low-cost adsorbent for dynamic adsorption of methylene blue. J. Ind. Eng. Chem. 2013, 19, 1153–1161. [Google Scholar] [CrossRef]
- You, R.; Chen, J.Y.; Hong, M.H.; Li, J.R.; Hong, X.M. Facile Synthesis of g-C3N4/TiO2/Hectorite Z-Scheme Composite and Its Visible Photocatalytic Degradation of Rhodamine B. Materials 2020, 13, 5304. [Google Scholar] [CrossRef]
- Vinci, D.; Dazas, B.; Ferrage, E.; Lanson, M.; Magnin, V.; Findling, N.; Lanson, B. Influence of layer charge on hydration properties of synthetic octahedrally-charged Na-saturated trioctahedral swelling phyllosilicates. Appl. Clay Sci. 2020, 184, 105404. [Google Scholar] [CrossRef]
- Mishra, A.; Mehta, A.; Basu, S. Clay supported TiO2 nanoparticles for photocatalytic degradation of environmental pollutants: A review. J. Environ. Chem. Eng. 2018, 6, 6088–6107. [Google Scholar] [CrossRef]
- Belessi, V.; Lambropoulou, D.; Konstantinou, I.; Katsoulidis, A.; Pomonis, P.; Petridis, D.; Albanis, T. Structure and photocatalytic performance of TiO2/clay nanocomposites for the degradation of dimethachlor. Appl. Catal. B Environ. 2007, 73, 292–299. [Google Scholar] [CrossRef]
- Daniel, L.M.; Frost, R.L.; Zhu, H.Y. Synthesis and characterisation of clay-supported titania photocatalysts. J. Colloid Interface Sci. 2007, 316, 72–79. [Google Scholar] [CrossRef]
- Huo, M.Y.; Guo, H.G.; Jiang, Y.S.; Ju, H.; Xue, B.; Li, F.F. A Facile Method of Preparing Sandwich layered TiO2 in between Montmorillonite Sheets and Its Enhanced UV-light Photocatalytic Activity. J. Photochem. Photobiol. A Chem. 2018, 358, 121–129. [Google Scholar] [CrossRef]
- Jin, J.; Chen, B.Z.; Liu, L.; Liu, R.H.; Qian, G.P.; Wei, H.; Zheng, J.L. A study on modified bitumen with metal doped nano-TiO2 pillared montmorillonite. Materials 2019, 12, 1910. [Google Scholar] [CrossRef]
- Djellabi, R.; Ghorab, M.F.; Cerrato, G.; Morandi, S.; Gatto, S.; Oldani, V.; Di Michele, A.; Bianchi, C.L. Photoactive TiO2-montmorillonite composite for degradation of organic dyes in water. J. Photochem. Photobiol. A Chem. 2015, 295, 57–63. [Google Scholar] [CrossRef]
- Chen, D.M.; Zhu, H.L.; Wang, X. A facile method to synthesize the photocatalytic TiO2/montmorillonite nanocomposites with enhanced photoactivity. Appl. Surf. Sci. 2014, 391, 158–166. [Google Scholar] [CrossRef]
- Ma, J.; Jia, Y.Z.; Jing, Y.; Sun, J.H.; Yao, Y. Synthesis and photocatalytic activity of TiO2-hectorite composites. Appl. Clay Sci. 2009, 46, 114–116. [Google Scholar] [CrossRef]
- Qi, Y.; AlMukhtar, M.; Alcover, J.F.; Bergaya, F. Coupling analysis of macroscopic and microscopic behaviour in highly consolidated Na-laponite clays. Appl. Clay Sci. 1996, 11, 185–197. [Google Scholar] [CrossRef]
- Gombos, E.D.; Krakko, D.; Zaray, G.; Illes, A.; Dobe, S.; Szegedi, A. Laponite immobilized TiO2 catalysts for photocatalytic degradation of phenols. J. Photochem. Photobiol. A Chem. 2020, 387, 112045. [Google Scholar] [CrossRef]
- An, T.C.; Chen, J.X.; Li, G.Y.; Ding, X.J.; Sheng, G.Y.; Fu, J.M.; Mai, B.X.; O'Shea, K.E. Characterization and the photocatalytic activity of TiO2 immobilized hydrophobic montmorillonite photocatalysts. Catal. Today. 2008, 139, 69–76. [Google Scholar] [CrossRef]
- Zhu, H.Y.; Li, J.Y.; Zhao, J.C.; Churchman, G.J. Photocatalysts prepared from layered clays and titanium hydrate for degradation of organic pollutants in water. Appl. Clay Sci. 2005, 28, 79–88. [Google Scholar] [CrossRef]
- Ogawa, M.; Matsutomo, T.; Okada, T. Preparation of hectorite-like swelling silicate with controlled layer charge density. J. Ceram. Soc. Jpn. 2008, 116, 1309–1313. [Google Scholar] [CrossRef]
- Yuan, P.; Annabi-Bergaya, F.; Tao, Q.; Fan, M.D.; Liu, Z.W.; Zhu, J.X.; He, H.P.; Chen, T.H. A combined study by XRD, FTIR, TG and HRTEM on the structure of delaminated Fe-intercalated/pillared clay. J. Colloid Interface Sci. 2008, 324, 142–149. [Google Scholar] [CrossRef]
- Li, S.Z.; Wu, P.X.; Li, H.L.; Zhu, N.W.; Li, P.; Wu, J.H.; Wang, X.D.; Dang, Z. Synthesis and characterization of organo-montmorillonite supported iron nanoparticles. Appl. Clay Sci. 2010, 50, 330–336. [Google Scholar] [CrossRef]
- Manjanna, J. Preparation of Fe(II)-montmorillonite by reduction of Fe(III)-montmorillonite with ascorbic acid. Appl. Clay Sci. 2008, 42, 32–38. [Google Scholar] [CrossRef]
- López, R.; Gómez, R.; Oros-Ruiz, S. Photophysical and photocatalytic properties of TiO2-Cr sol-gel prepared semiconductors. Catal. Today. 2011, 166, 159–165. [Google Scholar] [CrossRef]
- Dai, S.X.; Wu, Y.Q.; Sakai, T.; Du, Z.L.; Sakai, H.; Abe, M. Preparation of Highly Crystalline TiO2 Nanostructures by Acid-assisted Hydrothermal Treatment of Hexagonal-structured Nanocrystalline Titania/Cetyltrimethyammonium Bromide Nanoskeleton. Nanoscale Res. Lett. 2010, 5, 1829–1835. [Google Scholar] [CrossRef]
- Pérez-Verdejo, A.; Sampieri, A.; Pfeiffer, H.; Ruiz-Reyes, M.; Santamaría, D.J.; Fetter, G. Nanoporous composites prepared by acombination of SBA-15 with Mg-Al mixed oxides. Water vapor sorption properties. Beilstein J. Nanotechnol. 2014, 5, 1226–1234. [Google Scholar] [CrossRef]
- Chen, D.M.; Du, G.X.; Zhu, Q.; Zhou, F.S. Synthesis and characterization of TiO2 pillared montmorillonites: Application for methylene blue degradation. J. Colloid Interface Sci. 2013, 409, 151–157. [Google Scholar] [CrossRef] [PubMed]
- Ruiz-Santoyo, V.; Maranon-Ruiz, V.F.; Romero-Toledo, R.; Vargas, O.A.G.; Perez-Larios, A. Photocatalytic Degradation of Rhodamine B and Methylene Orange Using TiO2-ZrO2 as Nanocomposite. Catalysts 2021, 11, 1035. [Google Scholar] [CrossRef]
- Mishra, A.; Mehta, A.; Kainth, S.; Basu, S. Effect of g-C3N4 loading on TiO2/Bentonite nanocomposites for efficient heterogeneous photocatalytic degradation of industrial dye under visible light. J. Alloys Compd. 2018, 764, 406–415. [Google Scholar] [CrossRef]
- Park, H.; Choi, W. Effects of TiO2 surface fluorination on photocatalytic reactions and photoelectrochemical behaviors. J. Phys. Chem. B 2004, 108, 4086–4093. [Google Scholar] [CrossRef]
- Wang, Q.; Rhimi, B.; Wang, H.; Wang, C. Efficient photocatalytic degradation of gaseous toluene over F-doped TiO2/exfoliated bentonite. Appl. Surf. Sci. 2020, 530, 147286. [Google Scholar] [CrossRef]
- Li, D.; Haneda, H.; Labhsetwar, N.K.; Hishita, S.; Ohashi, N. Visible-light-driven photocatalysis on fluorine-doped TiO2 powders by the creation of surface oxygen vacancies. Chem. Phys. Lett. 2005, 401, 579–584. [Google Scholar] [CrossRef]
- Kuźniarska-Biernacka, I.; Silva, A.R.; Carvalho, A.P.; Pires, J.; Freire, C. Organo-Laponites as novel mesoporous supports for manganese (III) salen catalysts. Langmuir 2005, 21, 10825–10834. [Google Scholar] [CrossRef]
- Zhang, Y.; Xing, Z.P.; Liu, X.F.; Li, Z.Z.; Wu, X.Y.; Jiang, J.J.; Li, M.; Zhu, Q.; Zhou, W. Ti3+ Self-Doped Blue TiO2(B) Single-Crystalline Nanorods for Efficient Solar-Driven Photocatalytic Performance. Appl. Mater. Inter. 2016, 8, 26851–26859. [Google Scholar] [CrossRef]
- Ren, R.; Wen, Z.H.; Cui, S.M.; Hou, Y.; Guo, X.R.; Chen, J.H. Controllable Synthesis and Tunable Photocatalytic Properties of Ti3+-doped TiO2. Sci. Rep. 2015, 5, 10714. [Google Scholar] [CrossRef]
- Fajrina, N.; Tahir, M. 2D-montmorillonite-dispersed g-C3N4/TiO2 2D/0D nanocomposite for enhanced photo-induced H2 evolution from glycerol-water mixture. Appl. Surf. Sci. 2019, 471, 1053–1064. [Google Scholar] [CrossRef]
- Tang, Q.; Meng, X.F.; Wang, Z.F.; Zhou, J.W.; Tang, H. One-step electrospinning synthesis of TiO2/g-C3N4 nanofibers with enhanced photocatalytic properties. Appl. Surf. Sci. 2018, 430, 253–262. [Google Scholar] [CrossRef]
- Li, M.; Li, Y.J.; Chen, F.T.; Lin, X.; Feng, Q.J. Electrically enhanced photocatalysis for gas-phase benzaldehyde degradation by ordered mesoporous titania/conductive carbon felts. Electrochim. Acta. 2016, 216, 517–527. [Google Scholar] [CrossRef]
- Li, C.; Sun, Z.; Zhang, W.; Yu, C.; Zheng, S. Highly efficient g-C3N4/TiO2/kaolinite composite with novel three-dimensional structure and enhanced visible light responding ability towards ciprofloxacin and S. aureus. Appl. Catal. B Environ. 2018, 220, 272–282. [Google Scholar] [CrossRef]
- Tang, S.P.; Fu, Z.H.; Li, Y.; Li, Y.J. Study on boron and fluorine-doped C3N4 as a solid activator for cyclohexane oxidation with H2O2 catalyzed by 8-quinolinolato iron(III) complexes under visible light irradiation. Appl. Catal. A Gen. 2020, 590, 117342. [Google Scholar] [CrossRef]
- Xiang, H.C.; Tuo, B.Y.; Tian, J.W.; Hu, K.M.; Wang, J.L.; Cheng, J.G.; Tang, Y. Preparation and photocatalytic properties of Bi-doped TiO2/montmorillonite composite. Opt. Mater. 2021, 117, 111137. [Google Scholar] [CrossRef]
- Yuan, L.; Jiang, S.M.; Li, Z.Z.; Zhu, Y.; Yu, J.; Li, L.; Li, M.Z.; Tang, S.; Sheng, R.R. Photocatalyzed cascade Meerwein addition/cyclization of N-benzylacrylamides toward azaspirocycles. Org. Biomol. Chem. 2018, 16, 2406–2410. [Google Scholar] [CrossRef] [PubMed]
- Cao, W.X.; Lin, L.; Qi, H.F.; He, Q.; Wu, Z.J.; Wang, A.Q.; Luo, W.H.; Zhang, T. In-situ synthesis of single-atom Ir by utilizing metal-organic frameworks: An acid-resistant catalyst for hydrogenation of levulinic acid to gamma-valerolactone. J. Catal. 2019, 373, 161–172. [Google Scholar] [CrossRef]
- Xiong, S.F.; Yin, Z.L.; Zhou, Y.J.; Peng, X.Z.; Yan, W.B.; Liu, Z.X.; Zhang, X.Y. The Dual-frequency (20/40 kHz) Ultrasound Assisted Photocatalysis with the Active Carbon Fiber-loaded Fe3+-TiO2 as Photocatalyst for Degradation of Organic Dye. Bull. Korean Chem. Soc. 2013, 34, 3039–3045. [Google Scholar] [CrossRef][Green Version]
- Yaacob, N.; Pei, G.; Aina, N.; Nazri, M.; Fauzi, A.; Nidzhom, M.; Abidin, Z.; Naidu, M. Simultaneous oily wastewater adsorption and photodegradation by ZrO2-TiO2 heterojunction photocatalysts. J. Water Process Eng. 2021, 39, 101644. [Google Scholar] [CrossRef]
- Cheng, T.T.; Gao, H.J.; Liu, G.R.; Pu, Z.S.; Wang, S.F.; Yi, Z.; Wu, X.W.; Yang, H. Preparation of core-shell heterojunction photocatalysts by coating CdS nanoparticles onto Bi4Ti3O12 hierarchical microspheres and their photocatalytic removal of organic pollutants and Cr(VI) ions. Colloids Surf. A Physicochem. Eng. Asp. 2022, 233, 127918. [Google Scholar] [CrossRef]










| Sample | SBET (m2/g) | Pore Size (nm) | Pore Volume (cm3/g) | Crystal Size of TiO2 (nm) |
|---|---|---|---|---|
| TH-5 | 457.83 | 3.21 | 0.32 | 11.9 |
| TH-4 | 412.34 | 3.48 | 0.29 | 11.4 |
| TH-3 | 353.69 | 3.52 | 0.20 | 11.2 |
| TH-2 | 491.97 | 4.65 | 0.39 | 10.8 |
| TH-1 | 429.55 | 3.69 | 0.19 | 11.3 |
| Hectorite | 260.27 | 3.16 | 0.13 | - |
| P25 | 50 | - | - | 21 |
| Catalysts | Li:Mg:Si Molar Ratio of the Starting Mixture | Mass (g) | ||
|---|---|---|---|---|
| LiF | MgSO4 | Sodium Silicate | ||
| TH-1 | 0.72:5.64:8 | 0.1872 | 6.768 | 18.46 |
| TH-2 | 1.32:5.34:8 | 0.3432 | 6.408 | 18.46 |
| TH-3 | 1.92:5.04:8 | 0.4992 | 6.048 | 18.46 |
| TH-4 | 2.52:4.74:8 | 0.6552 | 5.688 | 18.46 |
| TH-5 | 3.12:4.44:8 | 0.8112 | 5.328 | 18.46 |
Publisher’s Note: MDPI stays neutral with regard to jurisdictional claims in published maps and institutional affiliations. |
© 2022 by the authors. Licensee MDPI, Basel, Switzerland. This article is an open access article distributed under the terms and conditions of the Creative Commons Attribution (CC BY) license (https://creativecommons.org/licenses/by/4.0/).
Share and Cite
Yang, D.; Chen, J.; Hong, X.; Cui, J.; Li, L. One-Pot Synthesis of TiO2/Hectorite Composite and Its Photocatalytic Degradation of Methylene Blue. Catalysts 2022, 12, 297. https://doi.org/10.3390/catal12030297
Yang D, Chen J, Hong X, Cui J, Li L. One-Pot Synthesis of TiO2/Hectorite Composite and Its Photocatalytic Degradation of Methylene Blue. Catalysts. 2022; 12(3):297. https://doi.org/10.3390/catal12030297
Chicago/Turabian StyleYang, Dingqing, Jinyang Chen, Xiaomin Hong, Jingying Cui, and Lingzhen Li. 2022. "One-Pot Synthesis of TiO2/Hectorite Composite and Its Photocatalytic Degradation of Methylene Blue" Catalysts 12, no. 3: 297. https://doi.org/10.3390/catal12030297
APA StyleYang, D., Chen, J., Hong, X., Cui, J., & Li, L. (2022). One-Pot Synthesis of TiO2/Hectorite Composite and Its Photocatalytic Degradation of Methylene Blue. Catalysts, 12(3), 297. https://doi.org/10.3390/catal12030297
