Next Article in Journal
Threshold Protocol Game on Graphs with Magic Square-Generalization Labelings
Previous Article in Journal
Bayesian Fictitious Play in Oligopoly: The Case of Risk-Averse Agents
 
 
Font Type:
Arial Georgia Verdana
Font Size:
Aa Aa Aa
Line Spacing:
Column Width:
Background:
Article

End Behavior of the Threshold Protocol Game on Complete and Bipartite Graphs

by
Alexandra Fedrigo
Department of Mathematical Sciences, University of Alabama in Huntsville, 301 Sparkman Drive, Huntsville, AL 35899, USA
Games 2024, 15(6), 41; https://doi.org/10.3390/g15060041
Submission received: 26 September 2024 / Revised: 15 November 2024 / Accepted: 24 November 2024 / Published: 2 December 2024

Abstract

The threshold protocol game is a graphical game that models the adoption of an idea or product through a population. There are two states players may take in the game, and the goal of the game is to motivate the state that begins in the minority to spread to every player. Here, the threshold protocol game is defined, and existence results are studied on infinite graphs. Many generalizations are proposed and applied. This work explores the impact of graph topology on the outcome of the threshold protocol game and consequently considers finite graphs. By exploiting the well-known topologies of complete and complete bipartite graphs, the outcome of the threshold protocol game can be fully characterized on these graphs. These characterizations are ideal, as they are given in terms of the game parameters. More generally, initial conditions in terms of game parameters that cause the preferred game outcome to occur are identified. It is shown that the necessary conditions differ between non-bipartite and bipartite graphs because non-bipartite graphs contain odd cycles while bipartite graphs do not. These results motivate the primary result of this work, which is an exhaustive list of achievable game outcomes on bipartite graphs. While possible outcomes are identified, it is noted that a complete characterization of when game outcomes occur is not possible on general bipartite graphs.

1. Introduction

The primary aim of graphical game theory is to model strategic interactions among a network of participants. From describing social networks to the Internet of things (IoT), there are many applications to motivate such a system. By applying both graph and game theoretic techniques to study problems in graphical game theory, a range of applied and theoretic problems can be addressed. A graphical game called the threshold protocol game (TPG) can be used to model a variety of economic scenarios, mainly the adoption of a product in a population over time. The TPG is concerned with the spread of a product that is initially used by a minority of the population. Participants benefit by using the same product. Thus, well-positioned initial adopters should be chosen, and the product should be desirable so that it spreads throughout the population. Particular interest is generally paid to the equilibria, or at least long-term behavior, of graphical games. This paper categorizes the outcome of the TPG when the network of players is given by a bipartite graph. To this end, achievable, desirable outcomes are found for any graph. A more complete characterization can be given in the case of very advantageous graph topologies, specifically complete graphs and complete bipartite graphs. While each of these results categorizes TPG play more specifically than has been done in previous work, they build to the main result of this paper, which is a complete list of possible TPG outcomes on bipartite graphs.
Section 2 provides a review of the related graphical game theory work, while Section 3 describes the TPG specifically and the methods that are applied here. Results are given in Section 4 and discussed in Section 5. Section 6 describes the final conclusions and emphasizes the next steps in this work.

2. Related Work

Consider a game among a set of players with a specified network of interactions. A graph G = ( V , E ) is used to describe such a network. V denotes the set of vertices of G, and each vertex v V represents a player in the game. E denotes the set of edges of G. u v E if players u , v V interact. Then, two players, u , v V , play against each other if u v E , denoted as u v [1]. A bipartite graph G = ( X , Y ) partitions V into two partite sets, X and Y. For all u v E , u X and v Y , meaning that no edges are contained in a partite set. A graph that is not bipartite is non-bipartite.
Defining an n-player graphical game requires a graph G of order n ( | V | = n ) and a set M of n payoff matrices, each associated with a player. v i V plays the stage game of M i M against its neighbors, i = 1 , 2 , , n . A graphical game is then defined as ( G , M ) in [2], where graphical games were originally introduced. Graphical games may be repeated, typically over discrete time steps, with the ith time step, i = 0 , 1 , , denoted here as t i .
Most often, researchers are interested in answering questions about equilibria of graphical games, either Nash equilibria or an appropriate variation. One form this takes is determining consensus in a game. A consensus could merely be a stable equilibrium or involve all players picking the same strategy or value, which gives a population-wide consensus [3,4]. The desirable outcome of the TPG is a population-wide consensus on the product that begins in the minority. In addition to being a consensus game, the TPG is a pure coordination game, meaning players must agree on a strategy to achieve a positive payoff [5]. In consensus games, the payoff of agreement is given as part of the game, but not the way that consensus occurs. Thus, there has been considerable research on the circumstances under which there is consensus for different games. In general, small graphs tend to exhibit selfish behavior, while large graphs tend to exhibit cooperative behavior. However, when subgraphs are considered, cooperation in well-connected subgraphs tends to be stable (impervious to change), while poorly-connected subgraphs are easier to influence. The union of these two results means that occasionally exceptions are observed [3,6,7,8,9,10], and small world properties may still result in a large but sparse graph [11]. While the connectivity and regularity of a graph are important for consensus to occur, this work shows that the outcome of the TPG depends heavily on whether the graph the game is played on is bipartite. Whether a graph is bipartite or not is a key topological feature, but also a general one, which gives no information about the level of connectivity and regularity of G. This also means that the effect of bipartite vs. non-bipartite graphs on game outcome has not been considered in previous work.
The other common question is whether a population can be motivated to reach a consensus on a particular strategy. In general, a state that starts in the majority or is more efficient is more likely to be agreed upon [12]. This known feature of consensus games motivates the optimization questions described in Section 3 for the TPG.
The majority of graphical games are repeated. In order to repeat the game, dynamic update rules on game elements are needed. The update rules themselves may be changing or unchanging during gameplay [13]. Depending on the model, update rules may be deterministic and/or stochastic [3,9,14,15,16,17,18]. Update rules may be applied continuously as in [19] or at discrete time steps as in [20]. When discrete time steps are used, updates may occur synchronously, where all players update their strategies at once, or asynchronously, where proper subsets of players update at each time step [16,21,22]. Only synchronous discrete updates with unchanging rules are applied here.
The TPG is a threshold game, which is a category of graphical game described by Kempe et al. in [23]. A threshold game is a game in which each player has a particular weight (individual or common) that must act on the player to motivate him to change state or receive a payoff [24]. Easly and Kleinberg in [25] and Kleinberg in [26] proposed several generalizations of threshold games, pieces of which have since been applied in other studies. For example, expected payoffs may be aggregated using a polynomial function, or average as in [12], rather than just a summation, or the game may be played on a weighted graph. Another option is to allow heterogeneous valuations of different states. Then, each node has an individual threshold for changing states. This type of variation is also studied in [27]. Kempe et al. [24] consider a game in which players select a new threshold at each time step. While these generalizations are not applied in this work, they do provide a flexible set of tools for modeling with a threshold game. The homogeneous and constant threshold used in the TPG allows the effect of general topological features to be examined without overlapping effects from heterogeneous or changing thresholds.

3. Problem Introduction and Approach

The TPG was introduced by Morris in 2000 [28]. This paper developed the preliminaries of the TPG and examined TPG play on lattices. Morris’s broad treatment of the TPG was helpful for introducing the game, although a primary weakness of the paper is its thorny notation scheme. The TPG was discussed in book chapters [20,26], with Morris’s results restated/reproved and expanded. Kleinberg [26] paid particular attention to generalizations of the game, of which there are many.
The TPG is a graphical game in which all players begin in state A or state B, with B starting in the minority. The game is repeated over infinite discrete time steps, and at each time step, all players simultaneously choose whether to play state A or state B. The choice is based on which state will maximize the player’s expected aggregate payoff from playing the Table 1 stage game against its neighbors. In the case of a tie between the expected payoff of playing A and B, a player will pick B. This is a convention begun by Morris in deference to B as the desirable state, but it makes little functional difference. The payoff matrix is abbreviated since both participants receive the same payoff from each strategy profile.
A parameter q ( 0 , 1 ) is used in the payoff matrix to generalize the game. While the payoff of strategy profile ( A , A ) may be higher or lower than ( B , B ) based on the value of q, players are ultimately motivated to agree with one another. The stage game is a pure coordination game since agreement results in a positive payoff and disagreement in a zero payoff.
Let d ( v ) = | N ( v ) | denote the degree of v V , and let d A i ( v ) and d B i ( v ) denote the number of neighbors of v playing A and B at time t i , respectively. This notation scheme is applied across the work. Hence, the set of vertices playing A at t i or B at t i is denoted as V A i or V B i , respectively. | V A i | = n A i and | V B i | = n B i . Then, v V plays B at t i + 1 when q d A i ( v ) ( 1 q ) d B i ( v ) , which will be applied in the form q d B i ( v ) d ( v ) .
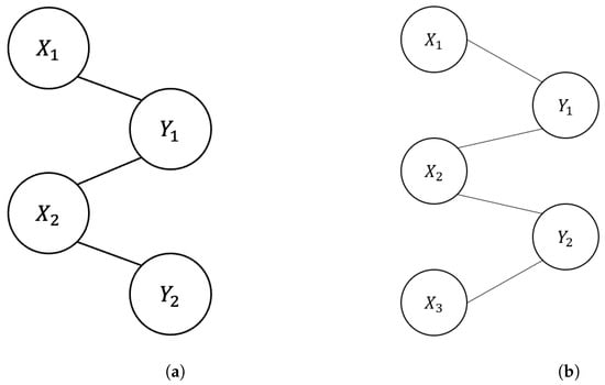
To more clearly understand TPG play, consider the example in Figure 1. Player 1 has one neighbor who is playing B. That means player 1 expects a payoff of 0 from playing A and a payoff of q = 1 3 from playing B. Thus, player 1 will select state B at the next time step. Player 2 has four neighbors. Two are playing A, and two are playing B. That means player 2 expects a payoff of 2 × q = 2 3 from playing A and a payoff of 2 × ( 1 q ) = 4 3 from playing B. Thus, player 2 will also select state B in the next time step. Note that since the initial setup of this example is symmetric, all players starting in state A perform the same evaluation as player 1 and all players starting in state B perform the same evaluation as player 2. All players are better off picking state B in the next time step, so B takes over the graph in one time step.
State B begins in the minority in the TPG. The goal of the TPG is for state B to take over the entire graph (i.e., there exists t i such that V B i = V ). If such a t i exists, B is completely contagious (in G with respect to q). If B is completely contagious from V B 0 , we say that V B 0 is contagious in G. The largest q is such that there exists a contagious minority V B 0 in G called the contagion threshold of the TPG, which is denoted as q * .
The TPG may be played on an infinite or finite graph, so in an infinite graph, n B 0 < , and in a finite graph, n B 0 < n 2 . It is worth noting that historically, the TPG has been studied exclusively on infinite graphs, while here, it will be considered on finite graphs. There are several differences that arise when the TPG is played on finite graphs. For example, a classic result states that q * 1 2 for any TPG on infinite graphs. This does not hold on finite graphs, as shown by a counter-example in Figure 2. Here, a minority V B 0 is completely contagious in G with q = 11 20 > 1 2 , indicating that q * > 1 2 in G. Infinite graphs have historically been used to allow graph topology to be dealt with arbitrarily. This was desirable since V B 0 and q were the game parameters being studied. Here, G, specifically G’s topology, is of primary interest. Finite graphs are then necessary. For example, complete graphs are graphs such that for all v V , u v E for all u V { v } . Vertices of infinite degree should not be used with the TPG update rule q d B i ( v ) d ( v ) . The use of complete graphs only holds for finite graphs.
The game is deterministic, and the outcome is determined by the graph, G, on which it is played, the set of vertices that begin in state B, V B 0 , and the payoff parameter q. Thus, the TPG may be defined as an ordered triple ( G , V B 0 , q ) . This also means that the game outcome for a particular G, V B 0 , and q is rarely of interest. Instead, optimization-style questions are asked about the circumstances under which B is completely contagious. While it is specified that state B begins in the minority and q ( 0 , 1 ) , it is clearly helpful to the spread of B to have n B 0 be large, and q be small. However, when motivating the spread of a product or idea throughout a population, achieving a large n B 0 or a small q is generally resource-intensive. Thus, it is of interest how small an n B 0 and how large a q can still motivate B to be completely contagious.
As mentioned above, previous studies focused primarily on the existence of a contagious V B 0 for a particular q and vice-versa, which means graph topology was not considered except when specific examples were given. Since the focus of this work is on the influence of particular topological features on game outcome, G is a parameter of central importance. Hence, G is finite. In keeping with previous work on the TPG, undirected and simple graphs will be used. These are considered reasonable assumptions since players should not play against themselves, and all relationships between players are two-way and of equal weight. It is also assumed that G is connected since the contagion of B in G is meaningless on a disconnected graph. Finally, note that the TPG is not particularly interesting on too few players, but rare exceptions can arise. For these reasons, assume n 5 .
The main goal of the TPG is to find circumstances under which B is completely contagious in G, although not every ( G , V B 0 , q ) causes B to be completely contagious. Since the game is repeated an infinite number of times, what will be referred to as the end behavior of the TPG is of secondary interest. The end behavior of the game is the long-run behavior of the vertices in the graph. For example, in a ( G , V B 0 , q ) TPG where B is completely contagious in G, the end behavior of all vertices is B since there exists a time t i such that all vertices play B for all t j , j i . The two types of end behavior that will be considered are static and 2-periodic. The end behavior of v V is static if it is one state. In other words, there exists t i such that for all t j , j i , v plays A, or there exists t i such that for all t j , j i , v plays B. These are called static A and static B end behavior, respectively. Note that all vertices having static A or all static B end behavior are equivalent to completely contagious A or B, respectively. The end behavior of v V is 2-periodic if it alternates states. This means there exists t i such that for t i + 2 j , v plays A, and for t i + 2 j + 1 , v plays B, j = 0 , 1 , 2 , . Thus, 2-periodic end behavior means that a vertex plays an alternating sequence of A , B , A , B , .

4. Results

There are two preliminary, obvious results on the contagion of V B 0 . Similar statements are given in Lemma 1 of [28] on infinite graphs, and corresponding versions hold on finite graphs, as shown here.
Lemma 1.
If V B 0 is contagious in G with respect to q, then for all V ˜ B 0 such that V B 0 V ˜ B 0 , V ˜ B 0 is contagious in G with respect to q.
Proof. 
Suppose V B 0 is contagious in G with respect to q. Let V ˜ B 0 V such that V B 0 V ˜ B 0 . Let W B 0 = V ˜ B 0 V B 0 .
Suppose v V ˜ B 1 . Then, q | N ( v ) V ˜ B 0 | d ( v ) and V ˜ B 1 N ( V ˜ B 0 ) = N ( V B 0 W B 0 ) = N ( V B 0 ) N ( W B 0 ) , so v V B 1 W B 1 . Thus, V ˜ B 1 V B 1 W B 1 , where W B i = { v V : q N ( v ) W B i 1 d ( v ) } for i > 0 .
If v V B 1 W B 1 , then q | N ( v ) ( V B 0 W B 0 ) | d ( v ) and v N ( V B 0 ) or v N ( W B 0 ) , so v N ( V B 0 W B 0 ) = N ( V ˜ B 0 ) , so v V ˜ B 1 .
Iterating, it is shown that V B i W B i = V ˜ B i . Since V B 0 is contagious in G with respect to q, there exists k such that V = V B k V B k W B k = V ˜ B k . Thus, V ˜ B k = V , and V ˜ B 0 is contagious in G with respect to q. □
Lemma 1 indicates that additional vertices having state B cannot make B less contagious (they can only help B spread or have no influence one way or another). This is unsurprising based on an intuitive understanding of the TPG. Lemma 2 describes a similar situation for smaller values of q.
Lemma 2.
If V B 0 is contagious in G with respect to q, V B 0 is contagious in G with respect to q for q q .
Proof. 
Let q ( 0 , q ] . Let V B i ( q ) denote V B i with respect to q. Since V B 0 ( q ) is contagious in G, for v V B i ( q ) , d B i 1 ( v ) d ( v ) q q so v V B i ( q ) . Therefore, for all i, V B i ( q ) V B i ( q ) . Since V B 0 ( q ) is contagious in G, there exists k such that V B k ( q ) = V . Then, V B k ( q ) = V , so V B 0 ( q ) is contagious in G. □
While there are finite graphs such that q * > 1 2 , it is obviously more difficult to motivate B to be completely contagious when q > 1 2 . In this case, there is a higher payoff associated with playing A, so a minority V B 0 is rarely motivated to be contagious.
To consider graph features, an introductory result on the TPG on bipartite graphs will support the upcoming discussion of complete and bipartite graphs.
Lemma 3.
Let G = ( X , Y ) be a bipartite graph, where X and Y are the partite sets. If the TPG is played on G and V B 0 is a subset of one of the partite sets, B is not completely contagious in G.
Proof. 
Let G = ( X , Y ) be a bipartite graph on which the TPG is played. Suppose V B 0 is a subset of one of the partite sets. Since G is assumed to be connected with n 5 > 1 , neither partite set is empty. Without loss of generality, let V B 0 X . Note V B i + 1 N ( V B i ) . Since G is bipartite, at each subsequent time step, for i = 0 , 1 , , V B 2 i + 1 Y and V B 2 i X , as shown in Figure 3.
If a time step t j exists such that V B j = , state B dies out completely. If no such j exists, the nonempty subset of vertices of state B continues to shift between the partite sets at each successive time step. Thus, B is not completely contagious in G. □
Lemma 3 suggests that some care must be taken with the TPG if G is bipartite. From the bipartite structure of the graph, there are V B 0 that are not contagious in G for any value of q and regardless of any other features of G. When seeking a contagious V B 0 in a bipartite G, V B 0 must at least contain vertices in both partite sets.
The next result provides a lower bound on q * . Let Δ ( G ) denote the maximum degree of G. q * 1 Δ ( G ) is stated without proof as corollary 3 in [28] on infinite graphs. This result refines that statement to consider V B 0 and finite G.
Theorem 1.
Let q 1 Δ ( G ) .
(a) 
If G is non-bipartite, B is completely contagious for V B 0 = { v } for any v V .
(b) 
If G = ( X , Y ) is bipartite, B is completely contagious for V B 0 = { v 1 , v 2 } for any v 1 X , v 2 Y .
Proof. 
Note that for all v V , q 1 Δ ( G ) 1 d ( v ) k d ( v ) for 1 k d ( v ) . Thus, if v N ( V B i ) , then v V B i + 1 .
(a)
Suppose G is non-bipartite and n B 0 = 1 . Note the common result that states that a graph is non-bipartite if and only if it contains an odd cycle. Let C be an odd cycle in G. Since G is connected and v V B i + 1 if v N ( V B i ) , there exists i 1 such that there exists v C such that v V B i 1 . Clearly, | C V B i 1 | > 1 is more contagious in C than | C V B i 1 | = 1 , so consider the worst-case | C V B i 1 | = 1 . Since C is an odd cycle, there exists i 2 > i 1 such that v 1 , v 2 C , v 1 , v 2 V B i 2 , and v 1 v 2 . For all i i 2 , v 1 , v 2 V B i . An example of the progression of B in C is given in Figure 4 for a 5 cycle. Then, for all k N , N ( k ) ( { v 1 , v 2 } ) V B i 2 + k , where N ( k ) ( { v 1 , v 2 } ) = N ( N ( N ( { v 1 , v 2 } ) ) ) . Since G is connected, there exists k such that N ( k ) ( { v 1 , v 2 } ) = V . Hence, B is completely contagious in G.
(b)
Suppose G is bipartite and V B 0 = { v 1 , v 2 } with v 1 X , v 2 Y . Note that for all k N , N ( k ) ( v 1 ) V B k and N ( k ) ( v 2 ) V B k . Since G is connected, there exists k such that N ( k ) ( v 1 ) = X and N ( k ) ( v 2 ) = Y . Then, V B k = X Y = V , so B is completely contagious in G.
Combined with Lemma 2, Theorem 1 implies q * 1 Δ ( G ) for all G. Notice that Theorem 1 identifies contagious V B 0 depending only on whether a graph is bipartite or non-bipartite. Thus, for all graphs, a contagious V B 0 exists for a sufficiently small q, since n 5 . The small q allows V B 0 = { v } to be contagious with any vertex when G is non-bipartite or V B 0 = { v 1 , v 2 } to be contagious with any vertices in each partite set when G is bipartite. For larger values of q, this is often not the case and V B 0 must be chosen more selectively for B to be completely contagious.
The simplest graph topology to consider is a complete graph. The following theorem characterizes the outcome of the TPG on a complete graph.
Theorem 2
(Complete Graphs). Let K n be the complete graph of order n.
(a) 
If q n B 0 n 1 , then B is completely contagious in K n .
(b) 
If n B 0 n 1 < q , then A is completely contagious in K n .
Proof. 
Notice that v V B 0 has d B 0 ( v ) = n B 0 1 and d A 0 ( v ) = n n B 0 , and v V A 0 has d B 0 ( v ) = n B 0 and d A 0 ( v ) = n n B 0 1 .
(a)
Let q n B 0 n 1 . Consider two cases:
Case I: n B 0 = 1
Then, q n B 0 n 1 = 1 Δ ( v ) . Since K n is non-bipartite, Theorem 1 gives B completely contagious in K n .
Case II: n B 0 > 1
Let q n B 0 1 n 1 . Then, for all v V , d B 0 ( v ) d ( v ) n B 0 1 n 1 q , so v V B 1 . Thus, V B 1 = V , and B is completely contagious after one time step.
Let n B 0 1 n 1 < q n B 0 n 1 . For v V B 0 , d B 0 ( v ) d ( v ) = n B 0 1 n 1 < q so v V A 1 . For v V A 0 , d B 0 ( v ) d ( v ) = n B 0 n 1 q so v V B 1 . Thus, V B 0 = V A 1 and V A 0 = V B 1 , so n B 0 = n A 1 and n A 0 = n B 1 . For all v V , d B 1 ( v ) d ( v ) n B 1 1 n 1 = n n B 0 1 n 1 n B 0 n 1 q , since n B 0 < n 2 implies n B 0 n n B 0 1 . Thus, v V B 2 , so V B 2 = V and B is completely contagious after two time steps. An example of the dynamics when n B 0 1 n 1 < q n B 0 n 1 is given in Figure 5 for n B 0 = 2 on K 6 .
(b)
Let q > n B 0 n 1 . For all v V , d B 0 ( v ) d ( v ) n B 0 n 1 < q . Hence, V A 1 = V , and A is completely contagious after one time step.
To begin the characterization of TPG play on bipartite graphs, consider the next result on complete bipartite graphs. Complete bipartite graphs are bipartite graphs G = ( X , Y ) such that for all u X and v Y , u v E . This means there is an edge between each vertex in X and each vertex in Y. As with complete graphs, the TPG on complete bipartite graphs is not a particularly surprising result, but it will be helpful in proving the primary result of this paper.
Theorem 3
(Complete bipartite graphs). Let K m , p = ( X , Y ) be the complete bipartite graph such that | X | = m , | Y | = p .
(a) 
If q min { | V B 0 X | m , | V B 0 Y | p } , then the end behavior on K m , p is all static B.
(b) 
If q > max { | V B 0 X | m , | V B 0 Y | p } , then the end behavior on K m , p is all static A.
(c) 
If | V B 0 X | m | V B 0 Y | p and min { | V B 0 X | m , | V B 0 Y | p } < q max { | V B 0 X | m , | V B 0 Y | p } , then the end behavior on K m , p is all 2-periodic.
Proof. 
Let K m , p = ( X , Y ) be a complete bipartite graph.
(a)
Let q min { | V B 0 X | m , | V B 0 Y | p } . Then, for all v V , q d B 0 ( v ) d ( v ) , so v V B 1 , and B is completely contagious after one time step. Thus, the end behavior on K m , p is all static B. Note that this section implies that if V B 0 is contained in only one partite set of K m , p , then B is not completely contagious in K m , p , which is consistent with Lemma 3.
(b)
Let q > max { | V B 0 X | m , | V B 0 Y | p } . Then, for all v V , q > d B 0 ( v ) d ( v ) , so v V A 1 , and A is completely contagious after one time step. Thus, the end behavior on K m , p is all static A.
(c)
Let | V B 0 X | m | V B 0 Y | p , and min { | V B 0 X | m , | V B 0 Y | p } < q max { | V B 0 X | m , | V B 0 Y | p } .
Suppose | V B 0 X | m < | V B 0 Y | p , so | V B 0 X | m < q | V B 0 Y | p . Then, for v X , d B 0 ( v ) d ( v ) = | V B 0 Y | p q , so v V B 1 , and for v Y , d B 0 ( v ) d ( v ) = | V B 0 X | m < q , so v V A 1 . Hence, V B 1 = X and V A 1 = Y , so N ( V B 1 ) = V A 1 and N ( V A 1 ) = V B 1 . Then X = V A 2 i and Y = V B 2 i , and X = V B 2 i + 1 and Y = V A 2 i + 1 , i = 1 , 2 , . Thus, the end behavior on K m , p is all 2-periodic. An example of the dynamics when | V B 0 X | m < q | V B 0 Y | p is given in Figure 6 for | V B 0 X | = 1 , | V B 0 Y | = 2 on K 3 , 4 .
Similarly, suppose | V B 0 Y | p < | V B 0 X | m , so | V B 0 Y | p < q | V B 0 X | m . Then, for v X , d B 0 ( v ) d ( v ) = | V B 0 Y | p < q , so v V A 1 , and for v Y , d B 0 ( v ) d ( v ) = | V B 0 X | m q , so v V B 1 . Hence, V B 1 = Y and V A 1 = X , so N ( V B 1 ) = V A 1 and N ( V A 1 ) = V B 1 . Then X = V B 2 i and Y = V A 2 i , and X = V A 2 i + 1 and Y = V B 2 i + 1 , i = 1 , 2 , . Thus, the end behavior on K m , p is all 2-periodic.
Both Theorems 2 and 3 exploit the ideal topologies of complete and complete bipartite graphs to characterize the end behavior of the TPG on these graphs. The bounds on q for which the different behaviors occur are particularly valuable because they are in terms of G and V B 0 , the two other game parameters. From Theorem 3, there exist TPG parameters on bipartite graphs that cause static A, static B, and 2-periodic vertex end behavior. Note that on non-complete bipartite graphs, these end behaviors may be mixed. That is, there are ( G , V B 0 , q ) for which some vertices in V have 2-periodic end behavior and some vertices in V have static end behavior, or ( G , V B 0 , q ) for which there are both vertices with static A end behavior and vertices with static B end behavior. The next result shows that static A, static B, and 2-periodicity exhaust possible vertex end behavior in the TPG on bipartite graphs.
Theorem 4.
The TPG end behavior of every vertex in a bipartite graph is either static or 2-periodic.
Proof. 
Let G = ( X , Y ) be a bipartite graph with diameter d i a m ( G ) = max { d ( u , v ) : u , v V } . d ( u , v ) is the distance between u , v V , i.e., the length of the shortest path between u and v in G. Since n 5 and G is connected and bipartite, d i a m ( G ) 2 .
Suppose d i a m ( G ) = 2 . Then, G is complete bipartite. By Theorem 3, if G is a complete bipartite graph, the end behavior of every node is either static or 2-periodic. If d i a m ( G ) > 2 , G is not complete bipartite.
Suppose d i a m ( G ) 3 . W V is a separating set of a connected graph if removing W causes the graph to become disconnected. If d i a m ( G ) = 3 , then Y can be partitioned into a separating set, Y 1 , and a non-empty set of non-separating vertices, Y 2 . If d i a m ( G ) > 3 , then Y can be partitioned into two separating sets, Y 1 and Y 2 . Partition X as
X 1 = { v X : N ( v ) Y 1 } X 2 = { v X : N ( v ) Y 1 , N ( v ) Y 2 } X 3 = { v X : N ( v ) Y 2 } .
For d i a m ( G ) = 3 , since G is connected and Y 1 is a separating set, X 1 , X 2 are non-empty. For d i a m ( G ) > 3 , since G is connected and Y 1 , Y 2 are separating sets, X 1 , X 2 , X 3 are all non-empty. Then, G is partitioned as in Figure 7. A hypergraph is a graph generalization in which an edge can connect any number of vertices. Here, V ( G ) is partitioned into subsets, which are considered to be the vertices of a hypergraph. There is an edge between two hypergraph vertices, u 1 , u 2 , if there exists v 1 , v 2 V ( G ) such that v 1 u 1 , v 2 u 2 , v 1 v 2 E ( G ) . The path hypergraph, H, as shown in Figure 7, is formed from V ( H ) = { X 1 , X 2 , X 3 , Y 1 , Y 2 } , where X 3 is possibly empty.
If the end behavior of all vertices is static, there is nothing else to prove. Suppose then that not all vertices in G have static end behavior, meaning neither A nor B is completely contagious. Let t i 1 be a time after which the minimum number of vertices change state (i.e., if v V ( G ) has static A or static B end behavior, then for all j i 1 , v V A j ( G ) or v V B j ( G ) , respectively). Let W S V ( G ) be the set of vertices with static end behavior and W C = V ( G ) W S the set of vertices that do not have static end behavior. Then, after t i 1 , all vertices are partitioned into W S and W C , as in Figure 8.
Notice that if v V ( G ) changes to state A or B in t i + 1 , then at least one neighbor of v changed to that same state in t i . Since there exist vertices with non-static end behavior, at each time step there exists a vertex that changes state. For each u 1 V ( H ) , such that u 1 W C , there exists u 2 V ( H ) such that u 1 u 2 and u 2 W C .
Let H C be the subhypergraph induced by { u V ( H ) : u W C } . If H C is disconnected, then H C has two components of order two. Otherwise, H C is connected and of order 2 , 3 , 4 , or 5. Since H is a path, the component(s) of H C is a path, and changes in state are motivated between vertices in the path(s).
For all v W C , v changes state an infinite number of times after t i 1 . Thus, there exists at least one u 1 V ( H C ) such that u 1 V B i 1 motivates vertices v u 2 V ( H C ) and u 1 u 2 to take state B in t i 1 + 1 , which in turn motivates vertices v u 3 H C and u 2 u 3 to take state B in t i 1 + 2 , etc. Since these vertices are in W C , they do take state A again. Call R u V ( H C ) a persistent set if R is a set of all vertices in u that change to the same state at t i , i i 1 .
Note that every vertex in W c is eventually motivated to take state B by a persistent set. Thus, time t i 2 , i 2 i 1 exists, after which all vertices taking state B are motivated to take state B by a persistent set and there is a minimum number of persistent sets. This means any persistent sets existing at t i 1 that will merge have merged. Let m be the number of persistent sets after t i 2 . Then, after t i 2 , for each persistent set there exists a (not necessarily unique) subhypergraph path, P i , i = 1 , , m , whose vertices are subsets of vertices in H C , along which the persistent set motivates changes to state B. This means that all v w 1 , where w 1 V ( P i ) , take state B at the same time, which in turn motivates all vertices in some w 2 V ( P i ) , w 1 w 2 to take B. Call each such P i vertex an influence set. The relationship between the different hypergraph vertices is shown in Figure 9.
Suppose state B is motivated to spread in one direction through P i . Say that w 1 V ( P i ) is the preceding node of w 2 V ( P i ) if w 1 V B i implies w 2 V B i + 1 . Since each v W C changes state an infinite number of times after t i 2 , and a state change of v w 2 is motivated by a state change of w 1 , P i is a cycle.
Note that vertices in P i might not be disjoint subsets of V ( G ) if they are in the same node of H C , but no two can be identical since the spread of B is uni-directional. Then, for each v W C , the number of neighbors the vertex has in the preceding influence set is large enough to motivate it to take the state of the preceding influence set. Thus, the number of edges E ( G ) between an influence set and its predecessor is larger than the number of edges in between an influence set and its successor. This is a contradiction since this cannot hold in a cycle.
Hence, state B does not spread in one direction along P i , and for all i = 1 , , m , there exists at least one influence set that motivates both neighbors in P i to take state B. Since influence sets are subsets of W C , the end behavior of their vertices is not static, so the end behavior of all v W C is 2-periodic.
Therefore, the TPG end behavior of every node in a bipartite graph is either static or 2-periodic. □
While the end behavior of each node in a bipartite graph is either static or 2-periodic, there are some restrictions on when these end behaviors can occur. Figure 10 gives a reference for partitioning the vertices in a bipartite graph by end behavior. X 1 , X 2 , Y 1 , Y 2 are vertices with 2-periodic end behavior. X 1 , Y 2 play A when X 2 , Y 1 play B and vice versa. X 3 , Y 3 are static A end behavior vertices, and X 4 , Y 4 are static B end behavior vertices. Let t k be a time after which all vertices have achieved their end behavior. Then, a few observations can be made:
(1)
X 1 if and only if Y 1 .
As noted in the proof of Theorem 4, a vertex that changes to state A at t i has at least one neighbor that changes to state A at t i 1 . Similarly, a vertex that changes to state B at t i has at least one neighbor that changes to state B at t i 1 . Since vertices in X 1 take A and B at alternating time steps, vertices in X 1 have neighbors that take A and B at opposite alternating time steps. Since vertices in Y 1 take A and B at alternating time steps, vertices in Y 1 have neighbors that take A and B at opposite alternating time steps.
(2)
X 2 if and only if Y 2 .
Like (1), note that a vertex that changes to state A at t i has at least one neighbor that changed to state A at t i 1 . Similarly, a vertex that changes to state B at t i has at least one neighbor that changes to state B at t i 1 . Since vertices in X 2 take A and B at alternating time steps, vertices in X 2 have neighbors that take A and B at opposite alternating time steps. Since vertices in Y 2 take A and B at alternating time steps, vertices in Y 2 have neighbors that take A and B at opposite alternating time steps.
(3)
If q 1 2 , X 3 if and only if Y 3 .
Let q 1 2 , and suppose X 3 , Y 3 = . Then, for all v X 3 ,
| N ( v ) Y 1 | d ( v ) > 1 q 1 2   and | N ( v ) Y 2 | d ( v ) > 1 q 1 2 | N ( v ) Y 1 | d ( v ) + | N ( v ) Y 2 | d ( v ) > 1 ,
which is a contradiction. The other direction is similar.
(4)
If Y 3 = and either Y 1 = or Y 2 = , then X 3 = .
Suppose Y 3 = and either Y 1 = or Y 2 = . Then, there exist time steps after t k when all vertices in Y are of state B, so all vertices in X take state B as the time step after.
(5)
If X 3 = and either X 1 = or X 2 = , then Y 3 = .
Suppose X 3 = and either X 1 = or X 2 = . Then, there exist time steps after t k when all vertices in X are of state B, so all vertices in Y take state B the time step after.
(6)
If q > 1 2 , X 4 if and only if Y 4 .
Let q > 1 2 , and suppose X 4 , Y 4 = . Then, for all v X 4 ,
| N ( v ) Y 1 | d ( v ) q > 1 2   and   | N ( v ) Y 2 | d ( v ) q > 1 2 | N ( v ) Y 1 | d ( v ) + | N ( v ) Y 2 | d ( v ) > 1 ,
which is a contradiction. The other direction is similar.
(7)
If Y 4 = and either Y 1 = or Y 2 = , then X 4 = .
Suppose Y 4 = and either Y 1 = or Y 2 = . Then, there exist time steps after t k when all vertices in Y are of state A, so all vertices in X take state A the time step after.
(8)
If X 4 = and either X 1 = or X 2 = , then Y 4 = .
Suppose X 4 = and either X 1 = or X 2 = . Then, there exist time steps after t k when all vertices in X are of state A, so all vertices in Y take state A the time step after.
As shown in the proof of Lemma 3, if V B 0 X or V B 0 X , then X 4 = Y 4 = by (8).

5. Discussion

The TPG was originally proposed in [28] as an economic model where a product or idea spreads throughout a population. Two members of the population benefit from using the same product, such as the same brand of technology. A company reasonably wishes to spend as little as possible when disseminating and advertising a new product. The company also wants to have the product used as widely as possible to maximize profit. This means that even if initial adopters must be carefully selected, it is ideal to have to start with as few initial adopters as possible, corresponding to a low n B 0 . Additionally, motivating individuals to adopt the product, either through product quality, advertising, or outside incentives, is generally expensive. Thus, it is desirable for the incentive for players to adopt the new product to be as low as possible, corresponding to q being as high as possible. When population members are incentivized to use the same product as those they interact with, the network of relationships in the population is vital to product spread. Different populations are described by different networks of relationships. For example, a small neighborhood may reasonably be described by a complete graph. The outcome of TPG product adoption is fully characterized in such a network. In contrast, a social network involves a much larger and far less regular set of relationships. At its most general, this work describes the possible dynamics of product adoption in an arbitrary bipartite network.
Consider Theorem 1 in light of the optimization questions posed. Clearly, for B to be completely contagious in G, V B 0 . By Lemma 3, if G is bipartite and n B 0 = 1 , B cannot be completely contagious. Thus, the n B 0 = 1 for non-bipartite and n B 0 = 2 for bipartite are the smallest possible V B 0 ’s that are contagious. This V B 0 is advantageous not only because it is of minimum size but also because little to no attention must be paid to which vertices are included in V B 0 . That said, q 1 Δ ( G ) is comparatively small, so this is generally not a good result on q. This is an example of the trade-off between the optimization problems posed. It is easier to motivate a small V B 0 to be contagious in G if q is small and vice versa, but this approach sacrifices one of the optimization problems.
Theorems 2 and 3 describe the TPG on K n and K m , p , respectively. Both characterize the play of the TPG when q has bounds in terms of n B 0 , which is ideal since a TPG is defined by ( G , V B 0 , q ) . With these very particular topologies for G, as with the ideal value of q in Theorem 1, the TPG end behavior can be categorized almost regardless of particular vertices in V B 0 .
The ability to determine the TPG end behavior in these ideal settings is, of course, not universal. Categorizing the outcome of graphical games is often NP-hard, and for the TPG, V B 0 must be carefully selected in light of G and q to ensure a particular end behavior. Thus, while Theorem 4 shows that the possible end behaviors of the TPG on a bipartite graph can be exhaustively listed, completely characterizing when each end behavior will occur on an arbitrary bipartite graph is not feasible. When a particular outcome is desired (such as B being completely contagious), other graph properties can be drawn upon. It is generally simple to identify areas of relatively high and low connectivity, even in a large graph. V B 0 is more likely to be contagious in G if subsets of V B 0 are well-connected in G and are in highly-connected regions of G. One of the advantages of this approach is that it scales well, though it may take longer for V B 0 to spread in a large graph. As mentioned in Section 2, previous studies on coordination games have shown that the connectivity of a graph is one of the most influential features in allowing vertices to maintain a minority state.

6. Conclusions and Future Work

Of main interest in this work is the categorization of TPG outcomes on bipartite graphs. To study the impact of graph topology, particularly complete and complete bipartite graphs building to general bipartite graphs, the TPG is considered on finite graphs. Since a population is finite, this allows for more accurate modeling to be done. To begin examining the TPG on general graph topology, characterizations are given for ideal non-bipartite graphs, specifically non-bipartite graphs that are complete and when q is small. The same is done for bipartite graphs, along with identifying possible end behaviors of the TPG on bipartite graphs. It is shown that a minimum contagious V B 0 always exists for q 1 Δ ( G ) , with almost no specific selection of V B 0 required. When graph topology is ideal, with G being complete or complete bipartite, the TPG outcome can be fully determined from the parameters G, V B 0 , and q without any gameplay. This is not possible on arbitrary graphs, but it is shown that static A, static B, and 2-periodic end behavior are the only possible end behaviors of the TPG on bipartite graphs. This is a complete list since there are ( G , V B 0 , q ) with bipartite G such that vertices achieve each of these end behaviors.
The majority of work in graphical games on graphs with a specified topology has focused on lattices and other regular graphs. Future work should consider more general topological features of graphs, such as bipartite vs. non-bipartite graphs. To further this work, the following conjecture is proposed.
Conjecture 1.
The TPG end behavior of every vertex in a non-bipartite graph is either static or even-periodic.
Theorem 2 indicates that vertices in a non-bipartite graph can attain static A and static B end behavior. As discussed in the proof of Theorem 4, after all vertices with static end behavior assume their end behavior, vertices with non-static end behavior change state an infinite number of times. Play in a finite graph means that the changing vertices interact. Then, it is reasonable to expect all vertices to have a regular end behavior rather than random. Regions of a graph with bipartite structure are expected to develop 2-periodic end-behavior, with the interactions of these regions around odd cycles causing even-periodic end behavior.
There are many other generalizing graph features whose effect on the play of the TPG can be considered beyond bipartite vs. non-bipartite graphs. One such feature is the appearance of cliques or considering a graph’s clique number to examine the impact of well-connected clusters in the graph. Building on the previous work in graphical games with clustering, it can be expected that if state B is motivated to take over or remain in a (large enough) clique, B can be motivated to be completely contagious in the graph. A second feature that can be considered is the chromatic number of a graph, which gives a more general partitioning of the vertices in G than only bipartite/non-bipartite.
Some of the variations described in Section 2 can also be applied. If directed or weighted graphs are used, the game update rule must be adjusted accordingly. In a directed graph, players are only influenced along incoming edges. Let d A , i n i ( v ) , d B , i n i ( v ) denote the number of neighbors of v with incoming edges of state A and B at time t i , respectively. Then v takes state B at time t i + 1 if ( 1 q ) d B , i n i ( v ) q d A , i n i ( v ) . If, instead, G is weighted, let λ u v denote the weight of edge u v E . Then v takes state B at time t i + 1 if ( 1 q ) u N B i ( v ) λ u v q u N A i ( v ) λ u v . In both cases, TPG dynamics will be strongly influenced by these features since the update rules are given in terms of the features. This means that in a directed graph, the distribution of each vertex’s inward and outward edges determines whether consensus can be reached on B. Similarly, if G is weighted, the distribution of weights in G determines whether consensus can be reached on B.
Further generalizations are possible by adjusting some of the TPG rules. Consider a game defined by ( G , V B 0 , Q ) , where Q = { q 1 , q 2 , , q n } , q i ( 0 , 1 ) . Let player i play the stage game in Table 2 against its neighbors for i = 1 , 2 , , n .
While the outcome of the game ( G , V B 0 , Q ) is less predictable than the traditional TPG, it does allow players with different thresholds to be modeled. Some fundamentally different questions must be asked about such a game since the contagion threshold is not a valid consideration. Instead, the highest q i Q , the highest average value in Q, etc., for which there exists a contagious V B 0 is likely a good place to start.
Another rule that can be adjusted is the requirement for synchronous updates. When asynchronous updates are used, the order in which players pick states heavily impacts whether B is completely contagious in G. If asynchronous updates are used, the number of orderings of players such that V B 0 is contagious should be considered as an additional optimization question for the game.

Funding

This research received no external funding.

Data Availability Statement

No new data were created or analyzed in this study. Data sharing is not applicable to this article.

Conflicts of Interest

The author declares no conflict of interest.

References

  1. Mikkelsen, K.B.; Bach, L.A. Threshold Games and Cooperation on Multiplayer Graphs. PLoS ONE 2016, 11, e0147207. [Google Scholar] [CrossRef] [PubMed][Green Version]
  2. Kearns, M.; Littman, M.L.; Singh, S. Graphical models for game theory. In Proceedings of the Seventeenth Conference on Uncertainty in Artificial Intelligence, UAI’01, Seattle, WA, USA, 2–5 August 2001; pp. 253–260. [Google Scholar]
  3. Kuperman, M.N.; Risau-Gusman, S. Relationship between clustering coefficient and the success of cooperation in networks. Phys. Rev. E 2012, 86, 016104. [Google Scholar] [CrossRef] [PubMed]
  4. Smyrnakis, M.; Freris, N.M.; Tembine, H. Consensus over evolutionary graphs. arXiv 2018, arXiv:1803.02564. [Google Scholar]
  5. Kandori, M.; Rob, R. Evolution of Equilibria in the Long Run: A General Theory and Applications. J. Econ. Theory 1995, 65, 383–414. [Google Scholar] [CrossRef]
  6. Nowak, M.A.; May, R.M. Evolutionary games and spatial chaos. Nature 1992, 359, 826–829. [Google Scholar] [CrossRef]
  7. Doebeli, M.; Hauert, C. Models of cooperation based on the Prisoner’s Dilemma and the Snowdrift game: Prisoner’s Dilemma and the Snowdrift game. Ecol. Lett. 2005, 8, 748–766. [Google Scholar] [CrossRef]
  8. Hauert, C.; Szabó, G. Game theory and physics. Am. J. Phys. 2005, 73, 405–414. [Google Scholar] [CrossRef]
  9. Vilone, D.; Sánchez, A.; Gómez-Gardeñes, J. Random topologies and the emergence of cooperation: The role of short-cuts. J. Stat. Mech. Theory Exp. 2011, 2011, P04019. [Google Scholar] [CrossRef]
  10. Dall’Asta, L.; Marsili, M.; Pin, P. Collaboration in social networks. Proc. Natl. Acad. Sci. USA 2012, 109, 4395–4400. [Google Scholar] [CrossRef] [PubMed]
  11. Watts, D.J.; Strogatz, S.H. Collective dynamics of ‘small-world’ networks. Nature 1998, 393, 440–442. [Google Scholar] [CrossRef] [PubMed]
  12. Ely, J. Local Conventions. Adv. Theor. Econ. 2002, 2, 1–30. [Google Scholar] [CrossRef]
  13. Lee, S.; Holme, P.; Wu, Z.X. Emergent Hierarchical Structures in Multiadaptive Games. Phys. Rev. Lett. 2011, 106, 028702. [Google Scholar] [CrossRef] [PubMed]
  14. Jackson, M.O.; Zenou, Y. Games on Networks. In Handbook of Game Theory with Economic Applications; Elsevier: Amsterdam, The Netherlands, 2015; Volume 4, pp. 95–163. [Google Scholar] [CrossRef]
  15. Acemoglu, D.; Jackson, M.O. History, Expectations, and Leadership in the Evolution of Social Norms. Rev. Econ. Stud. 2015, 82, 423–456. [Google Scholar] [CrossRef]
  16. Jones, M.I.; Pauls, S.D.; Fu, F. The dual problems of coordination and anti-coordination on random bipartite graphs. New J. Phys. 2021, 23, 113018. [Google Scholar] [CrossRef] [PubMed]
  17. Ohtsuki, H.; Hauert, C.; Lieberman, E.; Nowak, M.A. A simple rule for the evolution of cooperation on graphs and social networks. Nature 2006, 441, 502–505. [Google Scholar] [CrossRef] [PubMed]
  18. Jones, M.I.; Pauls, S.D.; Fu, F. Random choices facilitate solutions to collective network coloring problems by artificial agents. iScience 2021, 24, 102340. [Google Scholar] [CrossRef]
  19. Rahmani, A.; Mesbahi, M. On the controlled agreement problem. In Proceedings of the 2006 American Control Conference, Minneapolis, MN, USA, 14–16 June 2006; p. 6. [Google Scholar] [CrossRef]
  20. Mesbahi, M.; Egerstedt, M. Graph Theoretic Methods in Multiagent Networks; Princeton Series in Applied Mathematics; Princeton University Press: Princeton, NJ, USA, 2010. [Google Scholar]
  21. Szabó, G.; Fáth, G. Evolutionary games on graphs. Phys. Rep. 2007, 446, 97–216. [Google Scholar] [CrossRef]
  22. Goyal, S.; Kearns, M. Competitive contagion in networks. In Proceedings of the Forty-Fourth Annual ACM Symposium on Theory of Computing, New York, NY, USA, 20–22 May 2012; pp. 759–774. [Google Scholar] [CrossRef]
  23. Jafari, S.; Navidi, H. A Game-Theoretic Approach for Modeling Competitive Diffusion over Social Networks. Games 2018, 9, 8. [Google Scholar] [CrossRef]
  24. Kempe, D.; Kleinberg, J.; Tardos, E. Maximizing the Spread of Influence through a Social Network. Theory Comput. 2015, 11, 105–147. [Google Scholar] [CrossRef]
  25. Easley, D.; Kleinberg, J. Networks, Crowds, and Markets: Reasoning About a Highly Connected World; Cambridge University Press: New York, NY, USA, 2010. [Google Scholar]
  26. Kleinberg, J. (Ed.) Cascading Behavior in Networks: Algorithmic and Economic Issues. In Algorithmic Game Theory; Cambridge University Press: Cambridge, UK, 2011; pp. 613–632. [Google Scholar]
  27. Borodin, A.; Filmus, Y.; Oren, J. Threshold Models for Competitive Influence in Social Networks. In Internet and Network Economics; Saberi, A., Ed.; Lecture Notes in Computer Science; Springer: Berlin/Heidelberg, Germany, 2010; Volume 6484, pp. 539–550. [Google Scholar] [CrossRef]
  28. Morris, S. Contagion. Rev. Econ. Stud. 2000, 67, 57–78. [Google Scholar] [CrossRef]
Figure 1. Example TPG play with q = 1 3 .
Figure 1. Example TPG play with q = 1 3 .
Games 15 00041 g001
Figure 2. Completely contagious B with q > 1 2 .
Figure 2. Completely contagious B with q > 1 2 .
Games 15 00041 g002
Figure 3. If state B does not die out in G, V B i alternates between partite sets at each time step.
Figure 3. If state B does not die out in G, V B i alternates between partite sets at each time step.
Games 15 00041 g003
Figure 4. State B spreads through a 5-cycle and progresses from two adjacent vertices of state B. This occurs when q is small enough that a vertex with at least one neighbor of state B will take state B.
Figure 4. State B spreads through a 5-cycle and progresses from two adjacent vertices of state B. This occurs when q is small enough that a vertex with at least one neighbor of state B will take state B.
Games 15 00041 g004
Figure 5. In K 6 with n B 0 = 2 > 1 , B is completely contagious after two time steps for 1 5 < q 2 5 .
Figure 5. In K 6 with n B 0 = 2 > 1 , B is completely contagious after two time steps for 1 5 < q 2 5 .
Games 15 00041 g005
Figure 6. In K 3 , 4 with | V B 0 X | = 1 , | V B 0 Y | = 2 , all vertices have 2-periodic end behavior when 1 3 < q 1 2 .
Figure 6. In K 3 , 4 with | V B 0 X | = 1 , | V B 0 Y | = 2 , all vertices have 2-periodic end behavior when 1 3 < q 1 2 .
Games 15 00041 g006
Figure 7. Partitioned bipartite graph when d i a m ( G ) 3 . (a) d i a m ( G ) = 3 and (b) d i a m ( G ) 4 .
Figure 7. Partitioned bipartite graph when d i a m ( G ) 3 . (a) d i a m ( G ) = 3 and (b) d i a m ( G ) 4 .
Games 15 00041 g007
Figure 8. Vertices can be partitioned by end behavior that is static, W S , and non-static, W C .
Figure 8. Vertices can be partitioned by end behavior that is static, W S , and non-static, W C .
Games 15 00041 g008
Figure 9. The vertices of each P i are (not necessarily proper) subsets of the vertices of H C , which are (not necessarily proper) subsets of the vertices of H.
Figure 9. The vertices of each P i are (not necessarily proper) subsets of the vertices of H C , which are (not necessarily proper) subsets of the vertices of H.
Games 15 00041 g009
Figure 10. Bipartite graph vertices can be partitioned by end behavior.
Figure 10. Bipartite graph vertices can be partitioned by end behavior.
Games 15 00041 g010
Table 1. TPG stage game payoff matrix.
Table 1. TPG stage game payoff matrix.
AB
A q0
B 0 1 q
Table 2. Payoff matrix for a heterogeneous q stage game.
Table 2. Payoff matrix for a heterogeneous q stage game.
AB
A q i 0
B 0 1 q i
Disclaimer/Publisher’s Note: The statements, opinions and data contained in all publications are solely those of the individual author(s) and contributor(s) and not of MDPI and/or the editor(s). MDPI and/or the editor(s) disclaim responsibility for any injury to people or property resulting from any ideas, methods, instructions or products referred to in the content.

Share and Cite

MDPI and ACS Style

Fedrigo, A. End Behavior of the Threshold Protocol Game on Complete and Bipartite Graphs. Games 2024, 15, 41. https://doi.org/10.3390/g15060041

AMA Style

Fedrigo A. End Behavior of the Threshold Protocol Game on Complete and Bipartite Graphs. Games. 2024; 15(6):41. https://doi.org/10.3390/g15060041

Chicago/Turabian Style

Fedrigo, Alexandra. 2024. "End Behavior of the Threshold Protocol Game on Complete and Bipartite Graphs" Games 15, no. 6: 41. https://doi.org/10.3390/g15060041

APA Style

Fedrigo, A. (2024). End Behavior of the Threshold Protocol Game on Complete and Bipartite Graphs. Games, 15(6), 41. https://doi.org/10.3390/g15060041

Note that from the first issue of 2016, this journal uses article numbers instead of page numbers. See further details here.

Article Metrics

Back to TopTop