An Enhanced Virtual Cord Protocol Based Multi-Casting Strategy for the Effective and Efficient Management of Mobile Ad Hoc Networks
Abstract
1. Introduction
- In this study, an enhanced VCP protocol for multi-casting in a DHT-based network has been implemented to save network bandwidth and battery power by exploiting virtual coordinates (VC) and low aspect ratio of VCP protocol.
- We modified traditional VCP protocol and transmission of data from the sender to multiple receivers is improved in a way that intermediate nodes can also forward or re-transmit the data to interested nodes.
- Flooding leads to wastage of network resources. In this study, flooding is avoided by using VCP for multi-casting purpose.
- Reduced number of MAC transmissions, minimized end-to-end delay, and maximized packet delivery ratio are the significant contributions of our proposed enhanced virtual cord protocol-based multi-casting strategy.
2. Background and Literature Review
2.1. Route Discovery
| Algorithm 1: Pseudo-code for route discovery |
| Set S as source Set |
| D1 to DN as destinations |
| Broadcast sourceID, destinationIDs in RREQ |
| For (Destinations 1 to N) |
| While (node != Destination) |
| If any familiar route exists |
| Do not broadcast RREQ Fetch route |
| else |
| Broadcast RREQ |
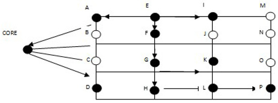
2.2. Virtual Cord Protocol (VCP)
- It is easier and simpler to be implement the protocol at the MAC layer.
- Since VCP requires only knowledge of direct neighbours for routing, it is scalable.
- A node’s immediate environment includes both its predecessors and successors, reducing the communication load when nodes join or leave the network.
- Greedy routing along the cable always leads to a path to the destination. It cannot be affected by packets stuck in dead ends.
- There is no need to know the exact position, which could be expensive in terms of communications or system requirements. Instead, we use a simple relative position.
- To enable effective and fault resistant routing and data management, the virtual cord protocol uses virtual coordinates.
- Energy, bandwidth, storage, and communication constraints can all be addressed with VCP based on virtual relative position/coordinates and its low aspect ratio.
2.3. Literature Review
3. Problem Statement and Proposed System Model
3.1. Problem Statement
3.2. Proposed System Model
4. Experiments and Evaluation
4.1. Simulation Setup and Methodology
4.2. Results and Discussion
5. Conclusions
Author Contributions
Funding
Data Availability Statement
Conflicts of Interest
Abbreviations
| ADMR | Adaptive demand-driven multi-cast routing |
| CAMP | Core-assisted mesh protocol |
| DART | Dynamic access routing |
| DHT | Distributed hash table |
| DVMRP | Distance vector multi-cast routing protocol |
| EMP | Enhanced multi-cast protocol |
| FGMP | Forward group multi-cast protocol |
| FRMM | Familiar route retrieval multi-casting |
| JQ | Join query |
| MADOV | Mmulti-cast ad hoc on-demand distance vector |
| MMN | Multi-cast mesh network |
| MANETs | Mobile ad hoc networks |
| NS-2 | Network imulator-2 |
| ODMRP | On-demand multicast routing protocol |
| RDG | Route driven gossip |
| VC | Virtual coordinates |
| VCP | Virtual cord protocol |
References
- Aghdam, S.M.; Khansari, M. On the better performance of ADMR versus ODMRP. In Proceedings of the 6th International Symposium on Telecommunications (IST), Tehran, Iran, 6–8 November 2012; pp. 621–625. [Google Scholar]
- Sivaram, M.; Porkodi, V.; Mohammed, A.S.; Manikandan, V.; Yuvaraj, N. Retransmission DBTMA protocol with fast retransmission strategy to improve the performance of MANETs. IEEE Access 2019, 7, 85098–85109. [Google Scholar] [CrossRef]
- Liu, G.; Dong, H.; Yan, Z.; Zhou, X.; Shimizu, S. B4SDC: A blockchain system for security data collection in MANETs. IEEE Trans. Big Data 2022, 8, 739–752. [Google Scholar] [CrossRef]
- Thomas, Y.; Fotiou, N.; Toumpis, S.; Polyzos, G.C. Improving mobile ad hoc networks using hybrid IP-information centric networking. Comput. Commun. 2020, 156, 25–34. [Google Scholar] [CrossRef]
- Bianchi, A.; Pizzutilo, S.; Vessio, G. Preliminary description of NACK-based ad-hoc On-demand Distance Vector routing protocol for MANETs. In Proceedings of the 2014 9th International Conference on Software Engineering and Applications (ICSOFT-EA), Vienna, Austria, 29–31 August 2014; pp. 500–505. [Google Scholar]
- Sa, P.K.; Sahoo, M.N.; Murugappan, M.; Wu, Y.; Majhi, B. (Eds.) Progress in Intelligent Computing Techniques: Theory, Practice, and Applications: Proceedings of ICACNI 2016; Springer: Berlin/Heidelberg, Germany, 2017; Volume 2. [Google Scholar]
- Molia, H.K.; Kothari, A.D. TCP variants for mobile adhoc networks: Challenges and solutions. Wirel. Pers. Commun. 2018, 100, 1791–1836. [Google Scholar] [CrossRef]
- Goyal, P.; Parmar, V.; Rishi, R. Manet: Vulnerabilities, challenges, attacks, application. IJCEM Int. J. Comput. Eng. Manag. 2011, 11, 32–37. [Google Scholar]
- Elamparithi, P.; Soundar, K.R. Trusted sensing model for mobile ad HoC network using differential evolution algorithm. Inf. Technol. Control 2020, 49, 556–563. [Google Scholar] [CrossRef]
- Khan, D.M.; Aslam, T.; Akhtar, N.; Qadri, S.; Rabbani, I.M.; Aslam, M. Black hole attack prevention in mobile ad-hoc network (manet) using ant colony optimization technique. Inf. Technol. Control 2020, 49, 308–319. [Google Scholar] [CrossRef]
- Perumal, T. Statistical Markov model based natural inspired glowworm swarm multi-objective optimization for energy efficient data delivery in MANET. Inf. Technol. Control 2020, 49, 333–347. [Google Scholar] [CrossRef]
- Rathish, C.R.; Karpagavadivu, K.; Sindhuja, P.; Kousalya, A. A Hybrid Efficient Distributed Clustering Algorithm Based Intrusion Detection System to Enhance Security in MANET. Inf. Technol. Control 2021, 50, 45–54. [Google Scholar] [CrossRef]
- Saifan, R.; Abu-Zant, S.; Alnabelsi, S.H.; Hawa, M.; Jubair, F. LDAB-GPSR: Location PreDiction with Adaptive Beaconing–Greedy Perimeter Stateless Routing Protocol for Mobile Ad Hoc Networks. Inf. Technol. Control 2022, 51. [Google Scholar] [CrossRef]
- Sirajuddin, M.D.; Rupa, C.; Prasad, A. Advanced congestion control techniques for MANET. In Information Systems Design and Intelligent Applications; Springer: New Delhi, India, 2016; pp. 271–279. [Google Scholar]
- Perkins, C.; Belding-Royer, E.; Das, S. RFC3561: Ad Hoc On-Demand Distance Vector (AODV) Routing. 2003. Available online: https://dl.acm.org/doi/10.17487/RFC3561 (accessed on 1 July 2022).
- Pusateri, T. Distance Vector Routing Protocol. Draft-IETF-IDMR-DVMRP-v3-07. 2003. Available online: https://datatracker.ietf.org/doc/draft-ietf-idmr-dvmrp-v3/ (accessed on 1 July 2022).
- Sampath, D.; Garcia-Luna-Aceves, J.J. PROSE: Scalable routing in MANETs using prefix labels and distributed hashing. In Proceedings of the 2009 6th Annual IEEE Communications Society Conference on Sensor, Mesh and Ad Hoc Communications and Networks, Rome, Italy, 22–26 June 2009; pp. 1–9. [Google Scholar]
- Abid, S.A.; Othman, M.; Shah, N.; Ali, M.; Khan, A.R. 3D-RP: A DHT-based routing protocol for MANETs. Comput. J. 2015, 58, 258–279. [Google Scholar] [CrossRef]
- Hassanzadeh-Nazarabadi, Y.; Taheri-Boshrooyeh, S.; Otoum, S.; Ucar, S.; Özkasap, Ö. DHT-based Communications Survey: Architectures and Use Cases. arXiv 2021, arXiv:2109.10787. [Google Scholar]
- Jahir, Y.; Atiquzzaman, M.; Refai, H.; Paranjothi, A.; LoPresti, P.G. Routing protocols and architecture for disaster area network: A survey. Ad Hoc Netw. 2019, 82, 1–4. [Google Scholar] [CrossRef]
- Morais, C.C.; Gossain, H.; Agrawal, D.P. Multicast over wireless mobile ad hoc networks: Present and future directions. IEEE Netw. 2003, 17, 52–59. [Google Scholar]
- Lee, S.J.; Su, W.; Hsu, J.; Gerla, M.; Bagrodia, R. A performance comparison study of ad hoc wireless multicast protocols. In Proceedings of the IEEE INFOCOM 2000. Conference on Computer Communications. Nineteenth Annual Joint Conference of the IEEE Computer and Communications Societies (Cat. No. 00CH37064), Tel Aviv, Israel, 26–30 March 2000; Volume 2, pp. 565–574. [Google Scholar]
- Geetha, A.; Sreenath, N. Byzantine attacks and its security measures in mobile adhoc networks. Int. J. Comput. Commun. Instrum. Eng. IJCCIE 2016, 3, 42–47. [Google Scholar]
- Khan, R.A. Routing Protocols Evaluation Review in Simple and Cloud Environment. Lahore Garrison Univ. Res. J. Comput. Sci. Inf. Technol. 2019, 3, 1–8. [Google Scholar]
- Awad, A.; Sommer, C.; German, R.; Dressler, F. Virtual cord protocol (VCP): A flexible DHT-like routing service for sensor networks. In Proceedings of the 2008 5th IEEE International Conference on Mobile Ad Hoc and Sensor Systems, Atlanta, GA, USA, 29 September–2 October 2008; pp. 133–142. [Google Scholar]
- Tan, S.; Kim, K. Secure Route Discovery for preventing black hole attacks on AODV-based MANETs. In Proceedings of the 2013 IEEE 10th International Conference on High Performance Computing and Communications & 2013 IEEE International Conference on Embedded and Ubiquitous Computing, Zhangjiajie, China, 13–15 November 2013; pp. 1159–1164. [Google Scholar]
- Bianchi, A.; Pizzutilo, S.; Vessio, G. Comparing AODV and N-AODV Routing Protocols for Mobile Ad-hoc Networks. In Proceedings of the 13th International Conference on Advances in Mobile Computing and Multimedia, Brussels, Belgium, 11–13 December 2015; pp. 159–168. [Google Scholar]
- Narra, H.; Cheng, Y.; Cetinkaya, E.K.; Rohrer, J.P.; Sterbenz, J.P. Destination-sequenced distance vector (DSDV) routing protocol implementation in ns-3. In Proceedings of the 4th International ICST Conference on Simulation Tools and Techniques, Barcelona, Spain, 22–24 March 2011; pp. 439–446. [Google Scholar]
- Clausen, T.; Jacquet, P. (Eds.) RFC3626: Optimized Link State Routing Protocol (OLSR). Scientific Research. 2017. Available online: https://datatracker.ietf.org/doc/rfc3626/ (accessed on 1 July 2022).
- Afzal, S. Implementation of Flooding Free Routing in Smart Grid: VCP Routing in Smart Gird. In Smart Grid as a Solution for Renewable and Efficient Energy; IGI Global: Hershey, PA, USA, 2016; pp. 298–322. [Google Scholar]
- Haas, Z. The Zone Routing Protocol (ZRP) for Ad Hoc Networks. IETF Internet Draft, Draft-IETF-Manet-Zone-ZRP-01. 2002. Available online: https://datatracker.ietf.org/doc/draft-ietf-manet-zone-zrp/ (accessed on 1 July 2022).
- Tantawy, M.M. A proposed IP multicast hardware-routing algorithm using partitioned lookup table. In Proceedings of the 7th WSEAS International Conference on Telecommunications and Informatics, Corfu Island, Greece, 27 May 2008; pp. 31–36. [Google Scholar]
- Biradar, R.; Manvi, S.; Reddy, M. Mesh based multicast routing in MANET: Stable link based approach. Int. J. Comput. Electr. Eng. 2010, 2, 371. [Google Scholar] [CrossRef]
- Gossain, H.; An, K.; Cordeiro, C.; Agrawal, D.P. A scalable explicit multicast protocol for MANETs. J. Commun. Netw. 2005, 7, 294–306. [Google Scholar] [CrossRef]
- Kumar, S.S.; Parthasarathy, V.; Malini, P. Familiar route retrieval for multicasting in MANETs. In Proceedings of the 2014 International Conference on Science Engineering and Management Research (ICSEMR), Chennai, India, 27–29 November 2014; pp. 1–5. [Google Scholar]
- Sreenath, N.; Amuthan, A.; Selvigirija, P. Countermeasures against multicast attacks on enhanced-on demand multicast routing protocol in MANETs. In Proceedings of the 2012 International Conference on Computer Communication and Informatics, Coimbatore, India, 10–12 January 2012; pp. 1–7. [Google Scholar]
- Toh, C.K.; Guichal, G.; Bunchua, S. Abam: On-demand associativity-based multicast routing for ad hoc mobile networks. In Proceedings of the Vehicular Technology Conference Fall 2000. IEEE VTS Fall VTC2000. 52nd Vehicular Technology Conference (Cat. No. 00CH37152), Boston, MA, USA, 24–28 September 2000; Volume 3, pp. 987–993. [Google Scholar]
- Vadivel, R.; Bhaskaran, V.M. Adaptive reliable and congestion control routing protocol for MANET. Wirel. Netw. 2017, 23, 819–829. [Google Scholar] [CrossRef]
- Sharma, V.K.; Kumar, M. Adaptive congestion control scheme in mobile ad-hoc networks. Peer-to-Peer Netw. Appl. 2017, 10, 633–657. [Google Scholar] [CrossRef]
- Biagi, M.; Greco, S.; Lampe, L. Neighborhood-knowledge based geo-routing in PLC. In Proceedings of the 2012 IEEE International Symposium on Power Line Communications and Its Applications, Beijing, China, 27–30 March 2012; pp. 7–12. [Google Scholar]
- Bumiller, G.; Lampe, L.; Hrasnica, H. Power line communication networks for large-scale control and automation systems. IEEE Commun. Mag. 2010, 48, 106–113. [Google Scholar] [CrossRef]
- Garrity, T.F. Getting smart. IEEE Power Energy Mag. 2008, 6, 38–45. [Google Scholar] [CrossRef]
- Chelius, G.; Fleury, E.; Valois, F. Adaptive and robust adhoc multicast structure. In Proceedings of the 14th IEEE Proceedings on Personal, Indoor and Mobile Radio Communications (PIMRC 2003), Beijing, China, 7–10 September 2003; Volume 1, pp. 760–764. [Google Scholar]











| Protocol | Parameters | # of Nodes | Results Range |
|---|---|---|---|
| VCP | Number of MAC transmissions | 50–150 | 2000–16,500 |
| Routing transmission/Packet delivery ratio | 50–150 | 2000–16,500 | |
| End-to-end delay | 50–150 | 0.04–0.047 | |
| Enhanced VCP | Number of MAC transmissions | 50-150 | 3500–8500 |
| Routing transmission/Packet delivery ratio | 50–150 | 2100–2700 | |
| End-to-end delay | 50–150 | 0.017–0.022 |
Disclaimer/Publisher’s Note: The statements, opinions and data contained in all publications are solely those of the individual author(s) and contributor(s) and not of MDPI and/or the editor(s). MDPI and/or the editor(s) disclaim responsibility for any injury to people or property resulting from any ideas, methods, instructions or products referred to in the content. |
© 2023 by the authors. Licensee MDPI, Basel, Switzerland. This article is an open access article distributed under the terms and conditions of the Creative Commons Attribution (CC BY) license (https://creativecommons.org/licenses/by/4.0/).
Share and Cite
Latif, S.; Fang, X.; Mohsin, S.M.; Akber, S.M.A.; Aslam, S.; Mujlid, H.; Ullah, K. An Enhanced Virtual Cord Protocol Based Multi-Casting Strategy for the Effective and Efficient Management of Mobile Ad Hoc Networks. Computers 2023, 12, 21. https://doi.org/10.3390/computers12010021
Latif S, Fang X, Mohsin SM, Akber SMA, Aslam S, Mujlid H, Ullah K. An Enhanced Virtual Cord Protocol Based Multi-Casting Strategy for the Effective and Efficient Management of Mobile Ad Hoc Networks. Computers. 2023; 12(1):21. https://doi.org/10.3390/computers12010021
Chicago/Turabian StyleLatif, Sohaib, Xianwen Fang, Syed Muhammad Mohsin, Syed Muhammad Abrar Akber, Sheraz Aslam, Hana Mujlid, and Kaleem Ullah. 2023. "An Enhanced Virtual Cord Protocol Based Multi-Casting Strategy for the Effective and Efficient Management of Mobile Ad Hoc Networks" Computers 12, no. 1: 21. https://doi.org/10.3390/computers12010021
APA StyleLatif, S., Fang, X., Mohsin, S. M., Akber, S. M. A., Aslam, S., Mujlid, H., & Ullah, K. (2023). An Enhanced Virtual Cord Protocol Based Multi-Casting Strategy for the Effective and Efficient Management of Mobile Ad Hoc Networks. Computers, 12(1), 21. https://doi.org/10.3390/computers12010021

