The Impact of Load-Dump Stress on p-GaN HEMTs Under Floating Gate Condition
Abstract
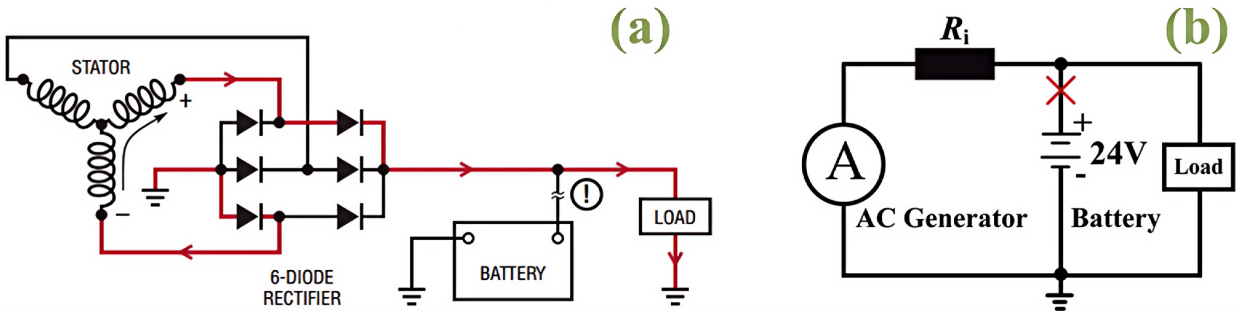
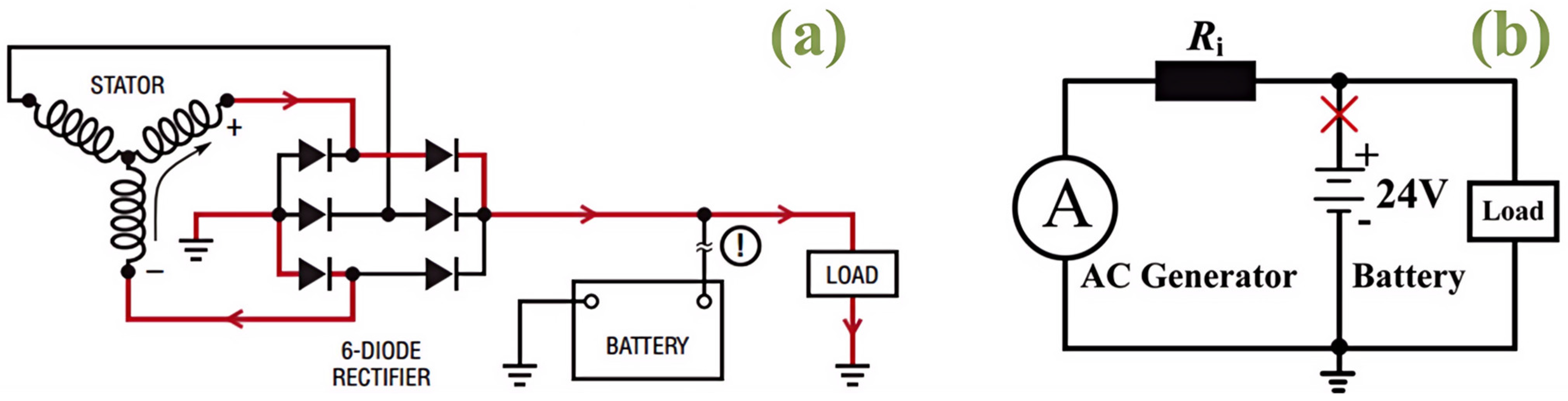
1. Introduction
2. Experimental Setup
3. Results and Discussion
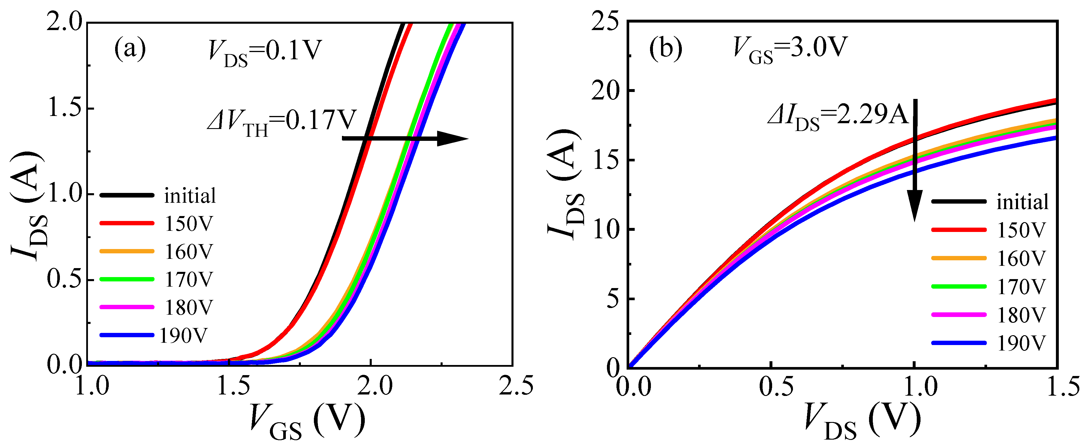
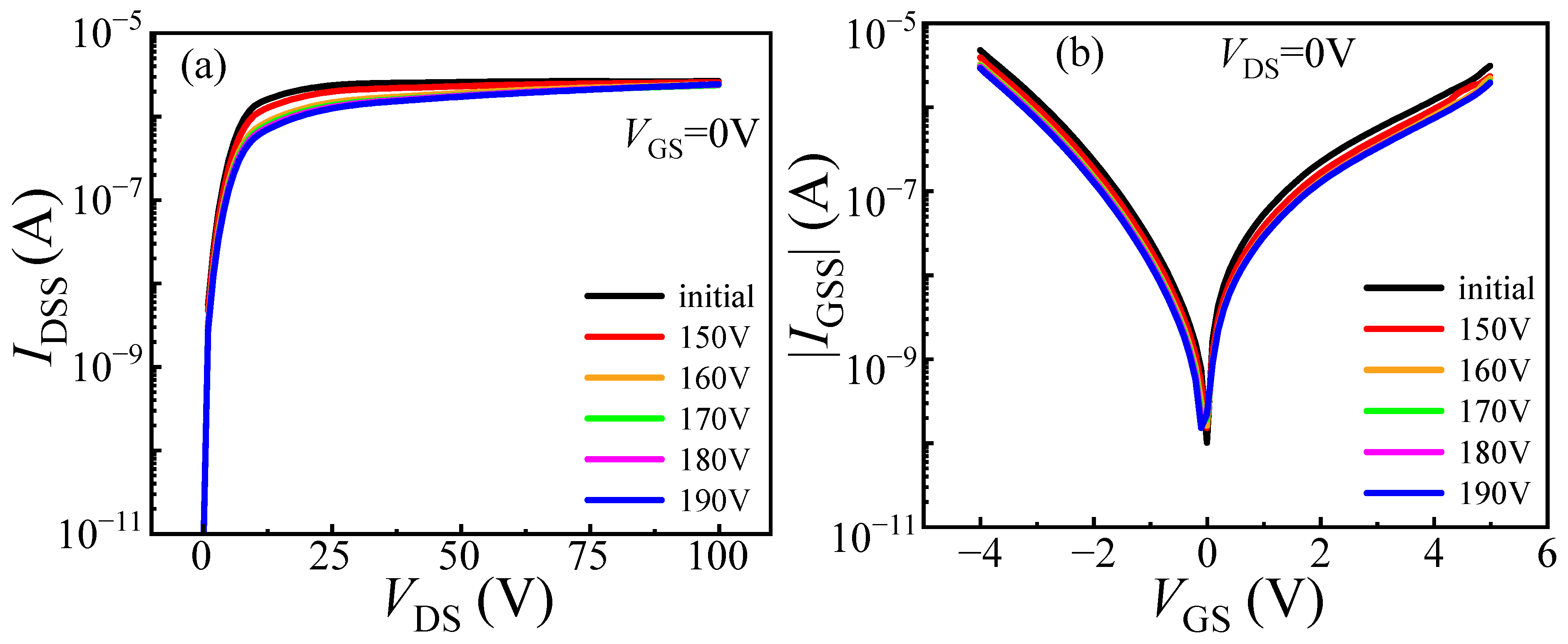
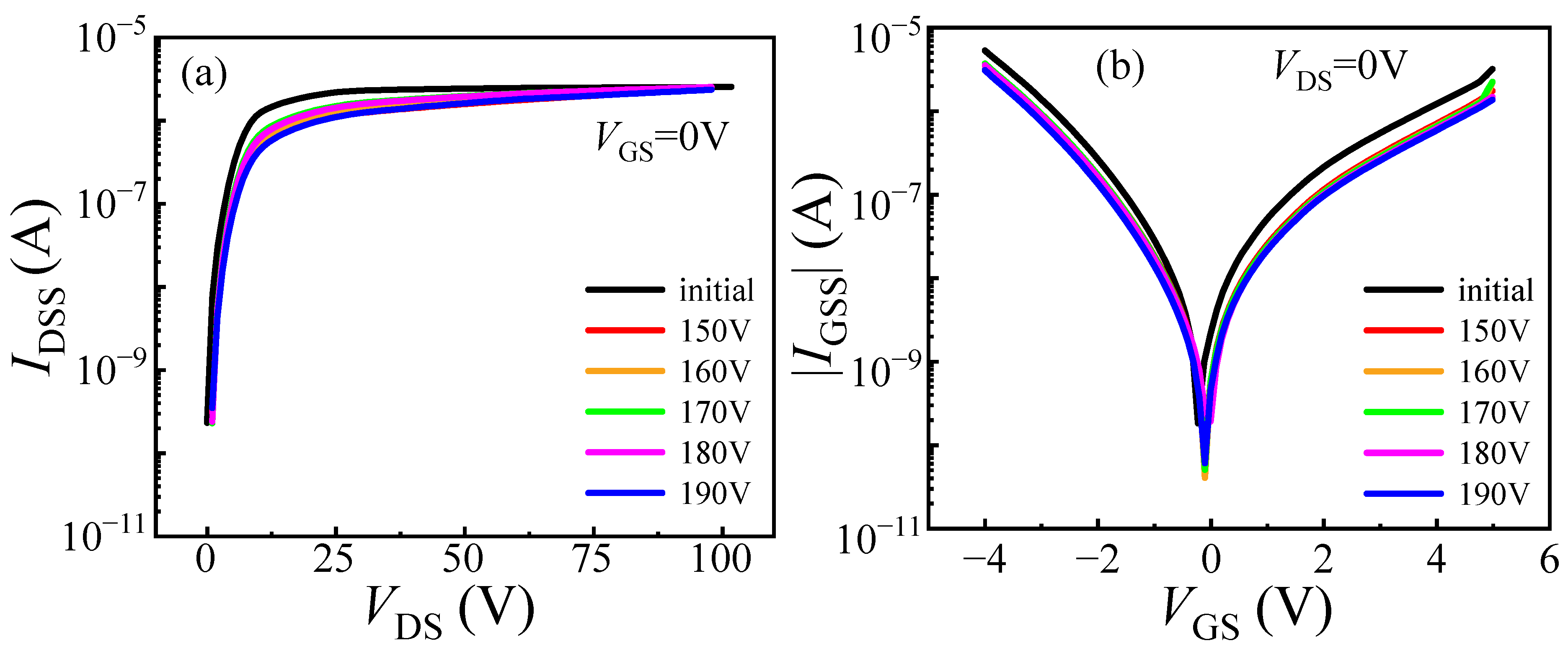
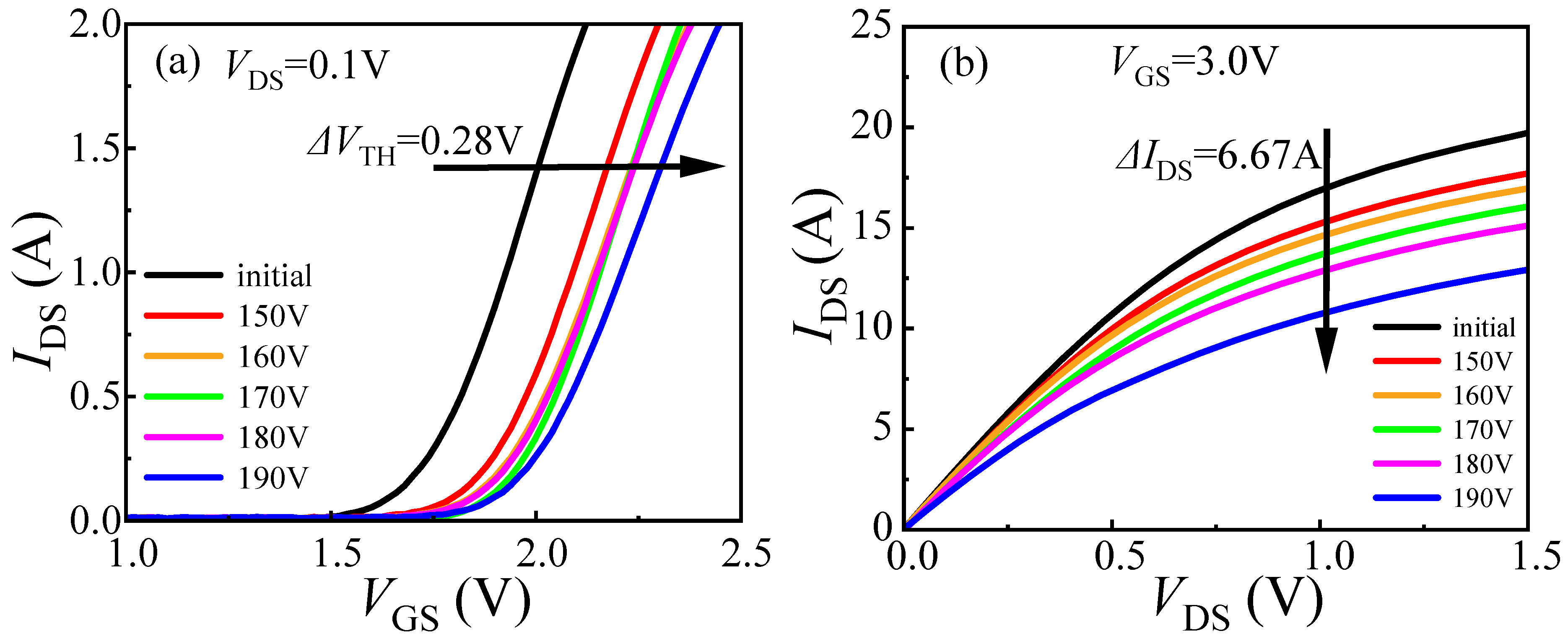
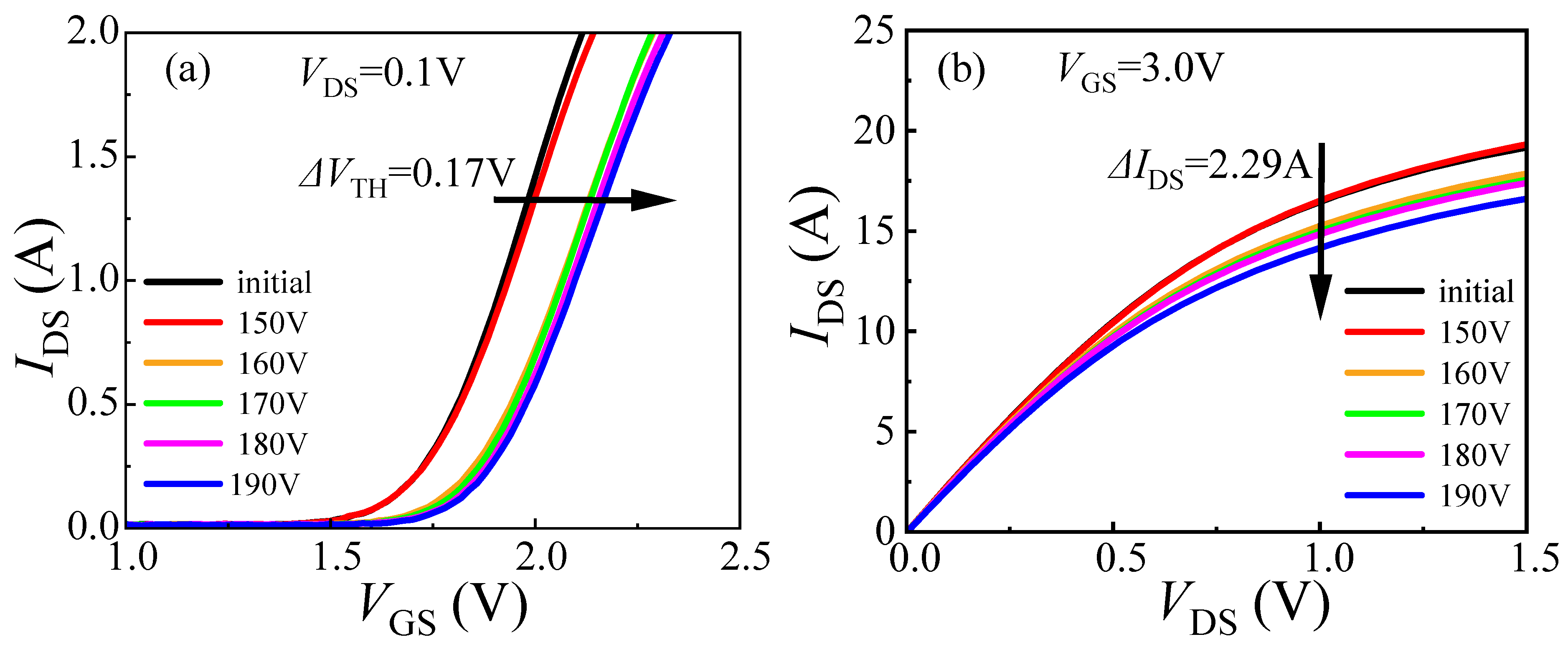
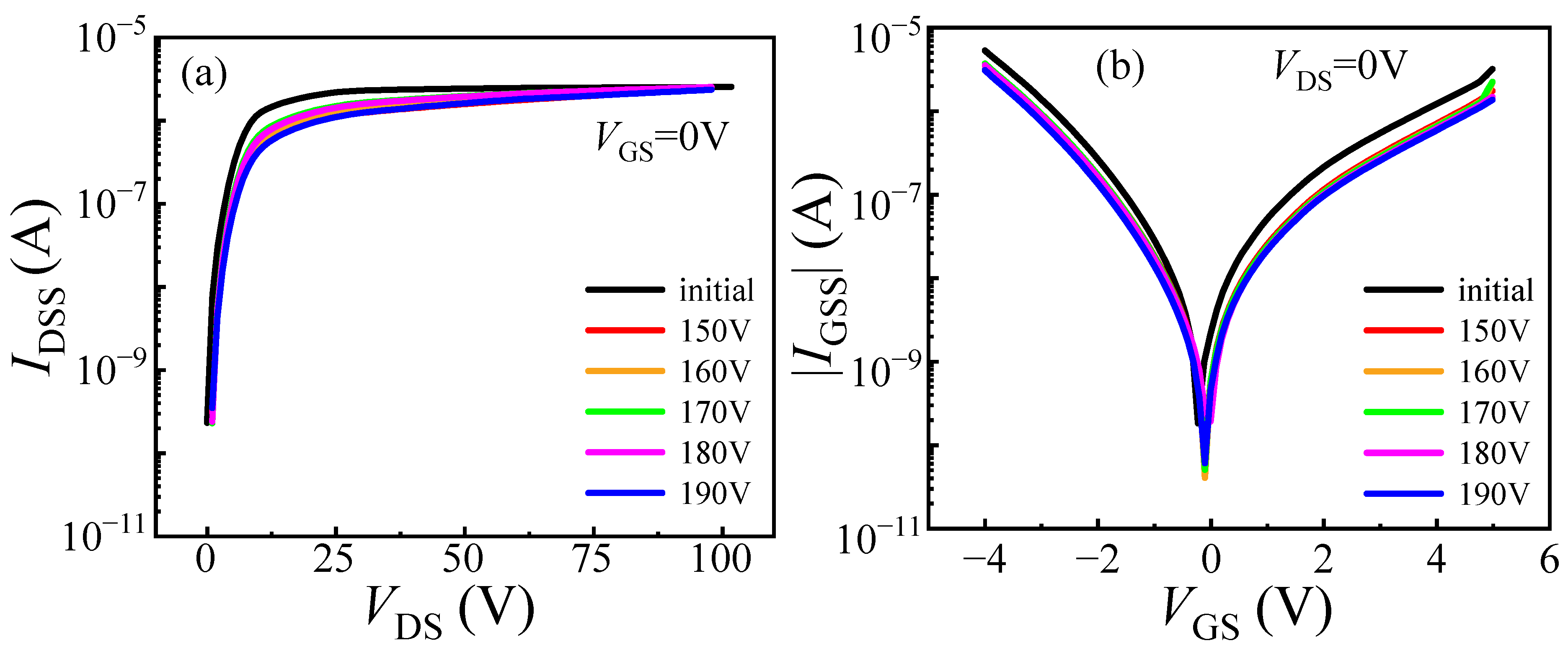
3.1. Impact of Load-Dump Stress on p-GaN HEMT Under Floating Gate Conditions at Ua = 0 V
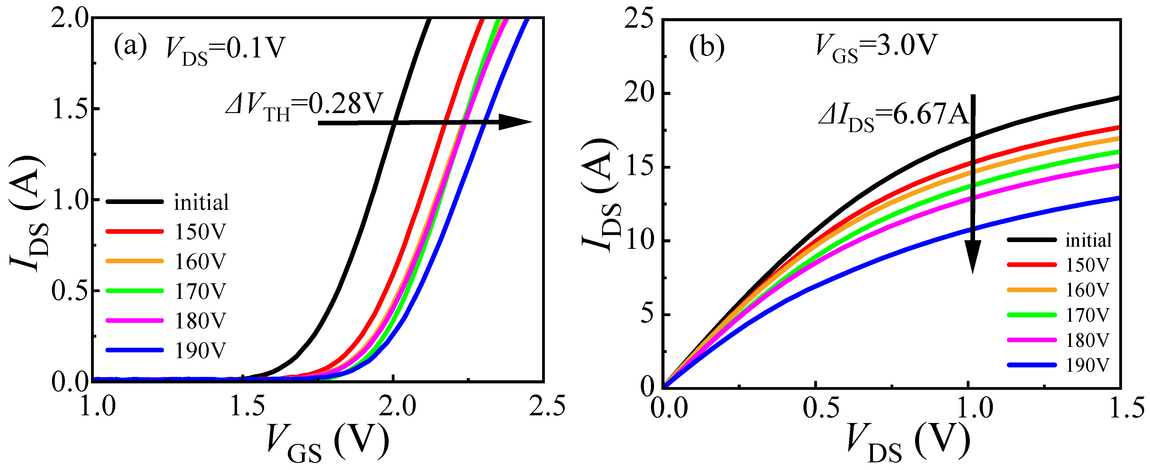
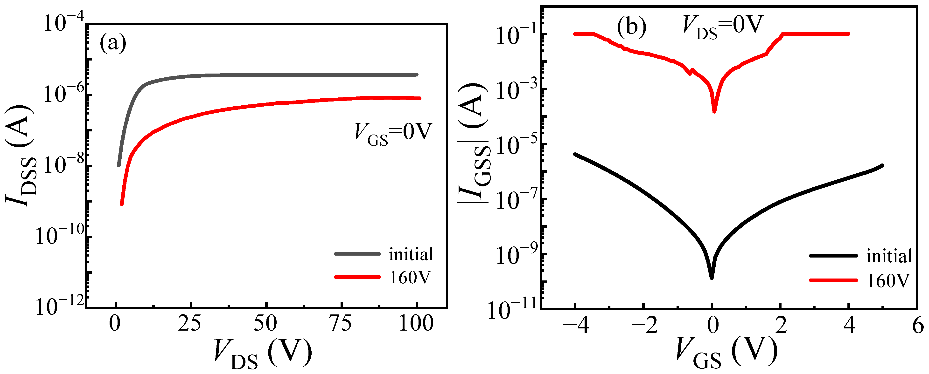
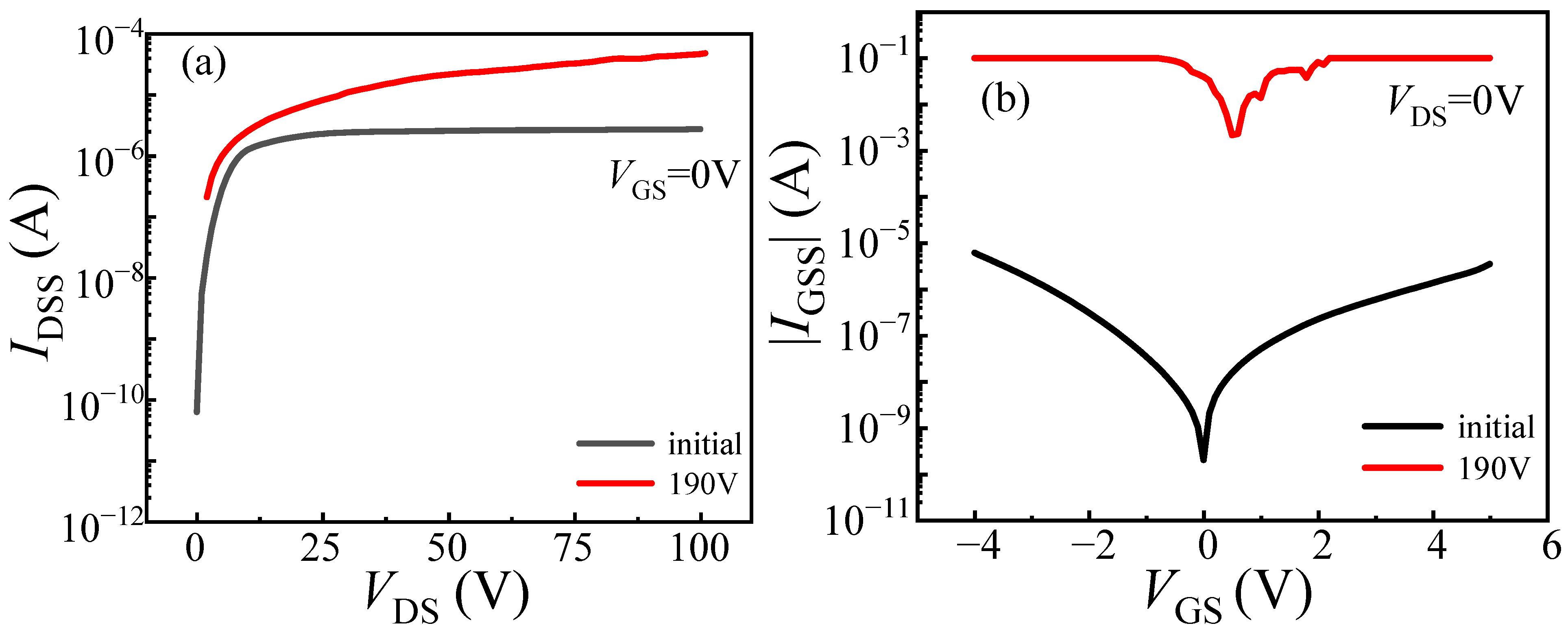
3.2. Impact of Load-Dump Stress on the p-GaN HEMT Under Floating Gate Conditions at Ua = 24 V
4. Conclusions
Author Contributions
Funding
Data Availability Statement
Conflicts of Interest
References
- Miyamoto, H.; Okamoto, Y.; Kawaguchi, H.; Miura, Y.; Nakamura, M.; Nakayama, T.; Masumoto, I.; Miyake, S.; Hirai, T.; Fujita, M.; et al. Atsushi Enhancement-mode GaN-on-Si MOS-FET using Au-free Si process and its operation in PFC system with high-efficiency. In Proceedings of the 2015 IEEE 27th International Symposium on Power Semiconductor Devices & IC’s (ISPSD), Hong Kong, China, 10–14 May 2015; pp. 209–212. [Google Scholar] [CrossRef]
- Amirahmadi, A.; Domb, M.; Persson, E. High power density high efficiency wide input voltage range LLC resonant converter utilizing E-mode GaN switches. In Proceedings of the 2017 IEEE Applied Power Electronics Conference and Exposition (APEC), Tampa, FL, USA, 26–30 March 2017; pp. 350–354. [Google Scholar] [CrossRef]
- Chen, T.; Yu, R.; Huang, Q.; Huang, A.Q. A single-stage bidirectional dual-active-bridge AC-DC converter based on enhancement mode GaN power transistor. In Proceedings of the 2018 IEEE Applied Power Electronics Conference and Exposition (APEC), San Antonio, TX, USA, 4–8 March 2018; pp. 723–728. [Google Scholar] [CrossRef]
- Qian, W.; Lu, J.; Bai, H.; Averitt, S. Hard-Switching 650-V GaN HEMTs in an 800-V DC-Grid System with No-Diode-Clamping Active-Balancing Three-Level Topology. IEEE J. Emerg. Sel. Top. Power Electron. 2019, 7, 1060–1070. [Google Scholar] [CrossRef]
- Yang, S.; Han, S.; Sheng, K.; Chen, K.J. Dynamic On-Resistance in GaN Power Devices: Mechanisms, Characterizations, and Modeling. IEEE J. Emerg. Sel. Top. Power Electron. 2019, 7, 1425–1439. [Google Scholar] [CrossRef]
- Moradisizkoohi, H.; Elsayad, N.; Shojaie, M.; Mohammed, O.A. PWM Plus Phase-Shift-Modulated Three-Port Three-Level Soft-Switching Converter Using GaN Switches for Photovoltaic Applications. IEEE J. Emerg. Sel. Top. Power Electron. 2019, 7, 636–652. [Google Scholar] [CrossRef]
- Martínez, P.J.; Miaja, P.F.; Maset, E.; Rodríguez, J. A Test Circuit for GaN HEMTs Dynamic RON Characterization in Power Electronics Applications. IEEE J. Emerg. Sel. Top. Power Electron. 2019, 7, 1456–1464. [Google Scholar] [CrossRef]
- Huang, Q.; Huang, A.Q. Variable Frequency Average Current Mode Control for ZVS Symmetrical Dual-Buck H-Bridge All-GaN Inverter. IEEE J. Emerg. Sel. Top. Power Electron. 2020, 8, 4416–4427. [Google Scholar] [CrossRef]
- Favero, D.; Marcuzzi, A.; De Santi, C.; Meneghesso, G.; Zanoni, E.; Meneghini, M. GaN-on-Si Power HEMTs for Automotive: Current Status and Perspectives. In Proceedings of the 2023 AEIT International Conference on Electrical and Electronic Technologies for Automotive (AEIT AUTOMOTIVE), Modena, Italy, 17–19 July 2023; pp. 1–6. [Google Scholar] [CrossRef]
- Shi, Y.; He, Z.; Huang, Y.; Cai, Z.; Chen, Y.; Cheng, L.; Chen, W.; Sun, R.; Liu, C.; Lu, G.; et al. A Comparative Study on G-to-S ESD Robustness of the Ohmic-Gate and Schottky-Gate p-GaN HEMTs. IEEE Trans. Electron Devices 2023, 70, 2229–2234. [Google Scholar] [CrossRef]
- Li, S.; Liu, S.; Zhang, C.; Li, N.; Tao, X.; Wei, J.; Zhang, L.; Sun, W. Investigations on Electrical Parameters Degradations of p-GaN HEMTs Under Repetitive UIS Stresses. IEEE J. Emerg. Sel. Top. Power Electron. 2021, 9, 2227–2234. [Google Scholar] [CrossRef]
- Liu, Y.; Yang, S.; Han, S.; Sheng, K. Investigation of Surge Current Capability of GaN E-HEMTs in The Third Quadrant: The Impact of P-GaN Contact. IEEE J. Emerg. Sel. Top. Power Electron. 2019, 7, 1465–1474. [Google Scholar] [CrossRef]
- Yang, N.; Pan, C.; Wu, Z.; Bai, P.; Chen, K.; Zhu, L.; Zhou, C.; Zhang, B.; Zhou, Q. Study of the Short-Circuit Capability and Device Instability of p-GaN Gate HEMTs by Repetitive Short-Circuit Stress. IEEE Trans. Power Electron. 2024, 39, 2247–2257. [Google Scholar] [CrossRef]
- Texas Instruments. Load Dump and Cranking Protection for Automotive Backlight LED Power Supply; Application Report SNVA681; Texas Instruments: Dallas, TX, USA, 2013. [Google Scholar]
- Efland, T.; Manternach, M.; Marshall, A.; Mings, J. The load dump (automobiles). In Proceedings of the IEEE Workshop on Electronic Applications in Transportation, Dearborn, MI, USA, 18–19 October 1990; pp. 73–78. [Google Scholar] [CrossRef]
- Raja, P.V.; Dupouy, E.; Bouslama, M.; Sommet, R.; Nallatamby, J.-C. Estimation of Trapping Induced Dynamic Reduction in 2DEG Density of GaN-Based HEMTs by Gate-Lag DCT Technique. IEEE Trans. Electron Devices 2022, 69, 4864–4869. [Google Scholar] [CrossRef]
- Nuo, M.; Wei, J.; Wang, M.; Yang, J.; Wu, Y.; Hao, Y.; Shen, B. Gate/Drain Coupled Barrier Lowering Effect and Negative Threshold Voltage Shift in Schottky-Type p-GaN Gate HEMT. IEEE Trans. Electron Devices 2022, 69, 3630–3635. [Google Scholar] [CrossRef]
- Nuo, M.; Wu, Y.; Yang, J.; Hao, Y.; Wang, M.; Wei, J. Time-Resolved Extraction of Negatively Shifted Threshold Voltage in Schottky-Type p-GaN Gate HEMT Biased at High VDS. IEEE Trans. Electron Devices 2023, 70, 3462–3467. [Google Scholar] [CrossRef]
- Shi, Y.; Chen, Y.; Huang, Y.; He, Z.; Chen, W.; Sun, R.; Yao, B.; Wang, H.; Xiao, Q.; Lu, G.; et al. A Novel Gate-to-Source ESD Protection Clamp for GaN HEMT. IEEE Trans. Electron Devices 2022, 69, 3648–3653. [Google Scholar] [CrossRef]
- Wen, Q.; Zhou, L.; Meng, X.; Feng, S.; Zhang, Y. Trap Location and Stress Degradation Analysis of GaN High Electron Mobility Transistors Based on the Transient Current Method. IEEE Trans. Device Mater. Reliab. 2024, 24, 624–630. [Google Scholar] [CrossRef]















| Type | Degradation Experiment | Failure Experiment |
|---|---|---|
| Application method | Step by step pressurization | Single pressurization |
| US | 150/160/170/180/190 V | 160 V or 190 V |
Disclaimer/Publisher’s Note: The statements, opinions and data contained in all publications are solely those of the individual author(s) and contributor(s) and not of MDPI and/or the editor(s). MDPI and/or the editor(s) disclaim responsibility for any injury to people or property resulting from any ideas, methods, instructions or products referred to in the content. |
© 2025 by the authors. Licensee MDPI, Basel, Switzerland. This article is an open access article distributed under the terms and conditions of the Creative Commons Attribution (CC BY) license (https://creativecommons.org/licenses/by/4.0/).
Share and Cite
Shen, Z.; Shi, Y.; Wu, L.; He, L.; Chen, X.; Chen, Y.; Zhao, D.; He, J.; Zhu, G.; Zeng, H.; et al. The Impact of Load-Dump Stress on p-GaN HEMTs Under Floating Gate Condition. Micromachines 2025, 16, 1369. https://doi.org/10.3390/mi16121369
Shen Z, Shi Y, Wu L, He L, Chen X, Chen Y, Zhao D, He J, Zhu G, Zeng H, et al. The Impact of Load-Dump Stress on p-GaN HEMTs Under Floating Gate Condition. Micromachines. 2025; 16(12):1369. https://doi.org/10.3390/mi16121369
Chicago/Turabian StyleShen, Zhipeng, Yijun Shi, Lijuan Wu, Liang He, Xinghuan Chen, Yuan Chen, Dongsheng Zhao, Jiahong He, Gengbin Zhu, Huangtao Zeng, and et al. 2025. "The Impact of Load-Dump Stress on p-GaN HEMTs Under Floating Gate Condition" Micromachines 16, no. 12: 1369. https://doi.org/10.3390/mi16121369
APA StyleShen, Z., Shi, Y., Wu, L., He, L., Chen, X., Chen, Y., Zhao, D., He, J., Zhu, G., Zeng, H., & Lu, G. (2025). The Impact of Load-Dump Stress on p-GaN HEMTs Under Floating Gate Condition. Micromachines, 16(12), 1369. https://doi.org/10.3390/mi16121369

