Design, Manufacture and Testing of Capacitive Pressure Sensors for Low-Pressure Measurement Ranges
Abstract
:1. Introduction
2. Materials and Methods
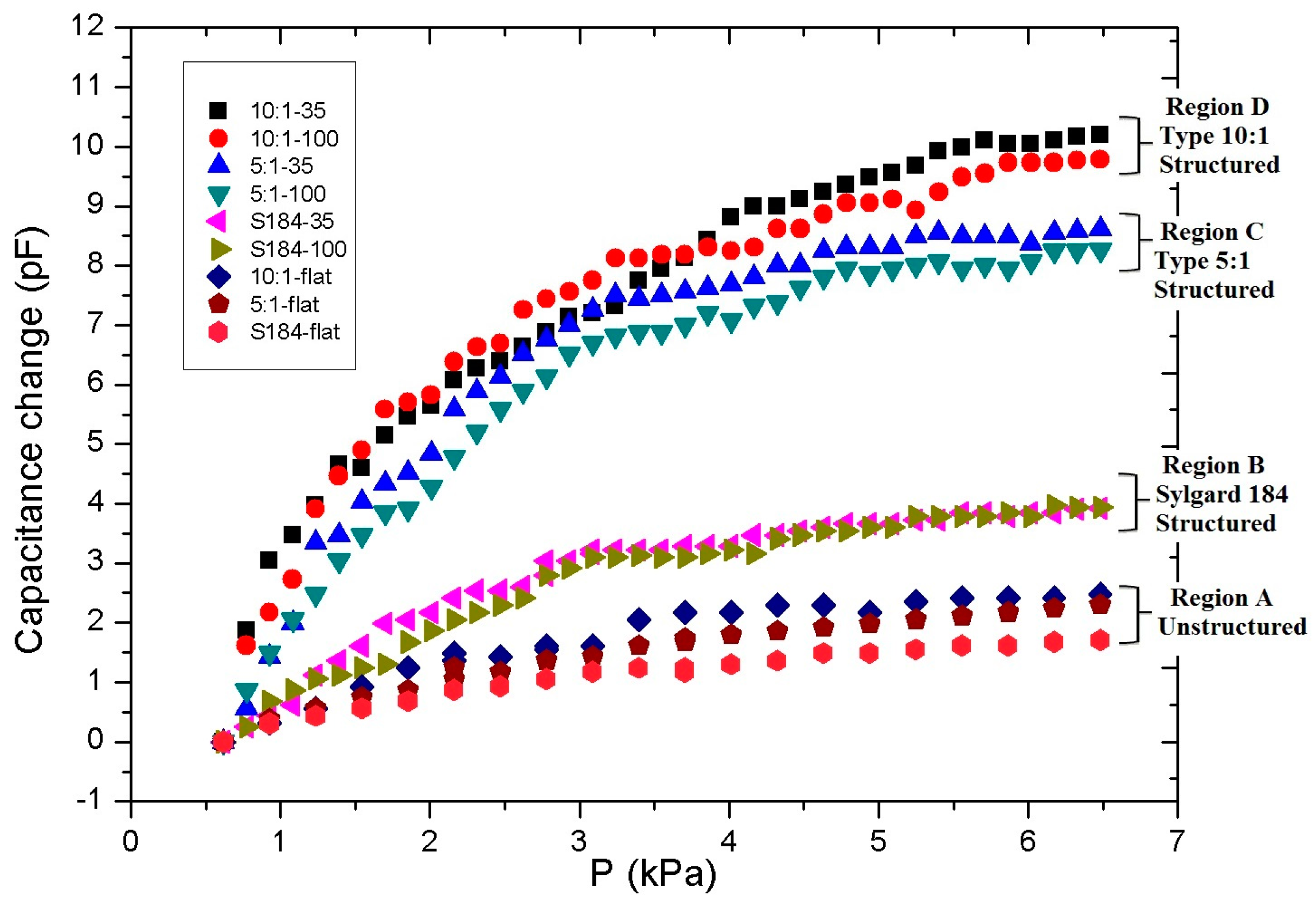
3. Results and Discussion
4. Conclusions
Acknowledgments
Author Contributions
Conflicts of Interest
References
- Macintyre, L.; Baird, M. Pressure garments for use in the treatment of hypertrophic scars—A review of the problems associated with their use. Burns 2006, 32, 10–15. [Google Scholar] [CrossRef] [PubMed]
- Van Geest, A.J.; Franken, C.P.M.; Neumann, H.A.M. Medical elastic compression stockings in the treatment of venous insufficiency. Text. Skin 2003, 31, 98–107. [Google Scholar]
- Conditions, National Clinical Guideline Centre—Acute and Chronic (UK). Venous thromboembolism: reducing the risk of venous thromboembolism (deep vein thrombosis and pulmonary embolism) in patients admitted to hospital. NICE Clin. Guidel. 2010, 92, 44–68. [Google Scholar]
- Wells, P.S.; Lensing, A.W.; Hirsh, J. Graduated compression stockings in the prevention of postoperative venous thromboembolism. Arch. Intern. Med. 1994, 154, 67–72. [Google Scholar] [CrossRef]
- Finnie, A. Interface pressure measurements in leg ulcer management. Br. J. Nursing 2000, 9, S8–S18. [Google Scholar] [CrossRef] [PubMed]
- Lawrence, D.; Kakkar, V.V. Graduated static ans external compression of the lower limb: A physiological assessment. Br. J. Surg. 1980, 67, 119–121. [Google Scholar] [CrossRef] [PubMed]
- Scurr, J.H.; Ibrahim, S.Z.; Faber, R.G.; Le Quense, L.P. The efficacy of graduated compression stockins in the prevention of deep vein thrombosis. Br. J. Surg. 1977, 64, 371–373. [Google Scholar] [CrossRef] [PubMed]
- Macintyre, L. New calibration method for I-scan sensors to enable the precise measurement of pressures delivered by pressure garments. Burns 2011, 37, 1174–1181. [Google Scholar] [CrossRef]
- Flaud, P.; Bassez, S.; Counord, J.L. Comparative in vitro study of three interface pressure sensors used to evaluate medical compression hosiery. Dermatol. Surg. 2010, 36, 1930–1940. [Google Scholar] [CrossRef] [PubMed]
- Maklewska, E.; Nawrocki, A.; Kowalski, K.; Andrzejewska, E.; Kuzanski, W. New measuring device for estimating the pressure under compression garments. Int. J. Cloth. Sci. Technol. 2007, 19, 215–221. [Google Scholar] [CrossRef]
- Thomas, S. Practical limitations of two devices used for the measurement of sub-bandage pressure: implications for clinical practice. J. Wound Care 2014, 23, 300–313. [Google Scholar] [CrossRef] [PubMed]
- Lai, C.H.; Li-Tsang, C.W. Validation of the Pliance X System in measuring interface pressure generated by pressure garment. Burns 2009, 35, 845–851. [Google Scholar] [CrossRef] [PubMed]
- Nabar, B.P.; Celik-Butler, Z.; Butler, D.P. Self-powered tactile pressure sensors using ordered crystalline ZnO nanorods on flexible substrates toward robotic skin and garments. IEEE Sens. J. 2014, 15, 63–70. [Google Scholar] [CrossRef]
- Zhu, G.; Yang, W.Q.; Zhang, T.; Jing, Q.; Chen, J.; Zhou, Y.S.; Bai, P.; Wang, Z.L. Self-powered, ultrasensitive, flexible tactile sensors based on contact electrification. Nano Lett. 2014, 14, 3208–3213. [Google Scholar] [CrossRef] [PubMed]
- Stassi, S.; Cauda, V.; Canavese, G.; Pirri, C.F. Flexible tactile sensing based on piezoresistive composites: A review. Sensors 2014, 14, 5296–5332. [Google Scholar] [CrossRef] [PubMed]
- Roberts, P.; Damian, D.D.; Shan, W.; Lu, T.; Majidi, C. Soft-matter capacitive sensor for measuring shear and pressure deformation. In Proceedings of the IEEE International Conference on Robotics and Automation (ICRA), Karlsruhe, Germany, 6–10 May 2013.
- Suzuki, M.; Takahashi, T.; Aoyagi, S. Flexible tactile sensor using polyurethane thin film. Micromachines 2012, 3, 315–324. [Google Scholar] [CrossRef]
- Mannsfeld, S.C.B.; Tee, B.C.-K.; Stoltenberg, R.M.; Chen, C.V.H.-H.; Barman, S.; Muir, B.V.O.; Sokolov, A.N.; Reese, C.; Bao, Z. Highly sensitive flexible pressure sensors with microstructured rubber dielectric layers. Nat. Mater. 2010, 9, 859–864. [Google Scholar] [CrossRef] [PubMed]
- Lee, H.-K.; Chung, J.; Chang, S.-I.; Yoon, E. Normal and shear force measurement using a flexible polymer tactile sensor with embedded multiple capacitors. J. Microelectromech. Sys. 2008, 17, 934–942. [Google Scholar]
- Tee, B.C.-K.; Chortos, A.; Dunn, R.R.; Schwartz, G.; Eason, E.; Bao, Z. Tunable flexible pressure sensors using microstructured elastomer geometries for intuitive electronics. Adv. Funct. Mater. 2014, 24, 5427–5434. [Google Scholar] [CrossRef]
- Riedl, X.; Bolzmacher, C.; Wagner, R.; Bauer, K.; Schwesinger, N. A novel PDMS based capacitive pressure sensor. In Proceedings of the IEEE Sensors 2010 Conference, Waikoloa, HI, USA, 1–4 November 2010.
- Maheshwari, V.; Saraf, R. Tactile devices to sense touch on a par with a human finger. Angew. Chem. Int. Ed. Engl. 2008, 47, 7808–7826. [Google Scholar] [CrossRef] [PubMed]
- Hammock, M.L.; Chortos, A.; Tee, B.C.-K.; Tok, J.B.-H.; Bao, Z. 25th anniversary article: The evolution of electronic skin (e-skin): A brief history, design considerations, and recent progress. Adv. Mater. 2013, 25, 5997–6038. [Google Scholar] [CrossRef] [PubMed]
- Wei, Y.; Xu, Q. An overview of micro-force sensing techniques. Sens. Actuators A Phys. 2015, 234, 359–374. [Google Scholar] [CrossRef]
- Subramani, B.G.; Selvaganapathy, P.R. Surface micromachined PDMS microfluidic devices fabricated using a sacrificial photoresist. J. Micromech. Microeng. 2009, 19, 015013. [Google Scholar] [CrossRef]
- Walsh, K.; Norville, J.; Tai, Y.C. Photoresist as a sacrificial layer by dissolution in acetone. In Proceedings of the IEEE International Conference on Micro Electro Mechanical Systems (MEMS), Intrlaken, Switzerland, 21–25 January 2001.
- Park, J.; Kim, H.S.; Han, A. Micropatterning of poly(dimethylsiloxane) using a photoresist lift-off technique for selective electrical insulation of microelectrode arrays. J Micromech. Microengin. 2009, 19, 65016. [Google Scholar] [CrossRef] [PubMed]
- Haubert, K.; Drier, T.; Beebec, D. PDMS bonding by means of a portable, low-cost CORONA system. Lab Chip 2006, 6, 1548–1549. [Google Scholar] [CrossRef] [PubMed]
- Palchesko, R.N.; Zhang, L.; Sun, Y.; Feinberg, A.W. Development of polydimethylsiloxane substrates with tunable elastic modulus to study cell mechanobiology in muscle and nerve. PLoS ONE 2012, 7, e51499. [Google Scholar] [CrossRef] [PubMed]
- Schneider, F.; Draheim, J.; Kamberger, R.; Wallrabe, U. Process and material properties of polydimethylsiloxane (PDMS) for optical MEMS. Sens. Actuators A Phys. 2009, 151, 95–99. [Google Scholar] [CrossRef]
- Ochsner, M.; Dusseiller, M.R.; Grandin, H.M.; Luna-Morris, S.; Textor, M.; Vogel, V.; Smith, M.L. Micro-well arrays for 3D shape control and high resolution analysis of single cells. Lab Chip 2007, 7, 1074–1077. [Google Scholar] [CrossRef] [PubMed]
- Brown, X.Q.; Ookawa, K.; Wong, J.Y. Evaluation of polydimethylsiloxane scaffolds with physiologically-relevant elastic moduli: Interplay of substrate mechanics and surface chemistry effects on vascular smooth muscle cell response. Biomaterials 2005, 26, 3123–3129. [Google Scholar] [CrossRef] [PubMed]
- Bartalena, G.; Grieder, R.; Sharma, R.I.; Zambelli, T.; Muff, R.; Snedeker, J.G. A novel method for assessing adherent single-cell stiffness in tension: Design and testing of a substrate-based live cell functional imaging device. Biomed. Microdev. 2011, 13, 291–301. [Google Scholar] [CrossRef] [PubMed]
- Gray, D.S.; Tien, J.; Chen, C.S. Repositioning of cells by mechanotaxis on surfaces with micropatterned Young’s modulus. J. Biomed. Mater. Res. Part A 2003, 66A, 605–614. [Google Scholar] [CrossRef] [PubMed]
- Schmitz, A.; Maggiali, M.; Randazzo, M.; Natale, L.; Metta, G. A prototype fingertip with high spatial resolution pressure sensing for the robot iCub. In Proceedings of the 8th IEEE-RAS International Conference on Humanoid Robots (Humanoids), Daejon, South Korea, 1–3 May 2008.
- Cannata, G.; Maggiali, M.; Metta, G.; Sandini, G. An embedded artificial skin for humanoid robots. In Proceedings of the IEEE International Conference on Multisensor Fusion and Integration for Intelligent Systems (MFI), Seoul, South Korea, 20–22 August 2008.
- Viry, L.; Levi, A.; Totaro, M.; Mondini, A.; Mattoli, V.; Mazzolai, B.; Beccai, L. Flexible three-axial force sensor for soft and highly sensitive artificial touch. Adv. Mater. 2014, 26, 2659–2664. [Google Scholar] [CrossRef] [PubMed]
- Meng, Y.; Li, Z.B.; Chen, X.; Chen, J.P. Reducing wrinkles and cracks of metal films on PDMS substrate by hexane extraction and oxygen plasma etching. Microelectron. Eng. 2014, 130, 8–12. [Google Scholar] [CrossRef]
- Chou, N.; Jeong, J.; Kim, S. Crack-free and reliable lithographical patterning methods on PDMS substrate. J. Micromech. Microeng. 2013, 23, 125035. [Google Scholar] [CrossRef]
- Tang, J.; Guo, H.; Zhao, M.; Yang, J.; Tsoukalas, D.; Zhang, B.; Liu, J.; Xue, C.; Zhang, W. Highly stretchable electrodes on wrinkled polydimethylsiloxane substrates. Sci. Rep. 2015, 5, 16527. [Google Scholar] [CrossRef] [PubMed]






© 2017 by the authors. Licensee MDPI, Basel, Switzerland. This article is an open access article distributed under the terms and conditions of the Creative Commons Attribution (CC BY) license ( http://creativecommons.org/licenses/by/4.0/).
Share and Cite
Mitrakos, V.; Macintyre, L.; Denison, F.C.; Hands, P.J.W.; Desmulliez, M.P.Y. Design, Manufacture and Testing of Capacitive Pressure Sensors for Low-Pressure Measurement Ranges. Micromachines 2017, 8, 41. https://doi.org/10.3390/mi8020041
Mitrakos V, Macintyre L, Denison FC, Hands PJW, Desmulliez MPY. Design, Manufacture and Testing of Capacitive Pressure Sensors for Low-Pressure Measurement Ranges. Micromachines. 2017; 8(2):41. https://doi.org/10.3390/mi8020041
Chicago/Turabian StyleMitrakos, Vasileios, Lisa Macintyre, Fiona C. Denison, Philip J.W. Hands, and Marc P.Y. Desmulliez. 2017. "Design, Manufacture and Testing of Capacitive Pressure Sensors for Low-Pressure Measurement Ranges" Micromachines 8, no. 2: 41. https://doi.org/10.3390/mi8020041
APA StyleMitrakos, V., Macintyre, L., Denison, F. C., Hands, P. J. W., & Desmulliez, M. P. Y. (2017). Design, Manufacture and Testing of Capacitive Pressure Sensors for Low-Pressure Measurement Ranges. Micromachines, 8(2), 41. https://doi.org/10.3390/mi8020041

