The Effect of MoS2 and Si3N4 in Surface Plasmon Resonance Biosensors for HIV DNA Hybridization Detection: A Numerical Study
Abstract
1. Introduction
2. Materials and Methods
2.1. Theoretical Framework
- represents the wavelength of the incident light,
- is the refractive index,
- represents the dielectric constant,
- represents the phase constant,
- represents the entrance angle,
- represents the depth of the layer.

2.2. Performance Metrics
2.3. Biosensor Architecture
3. Results and Discussions
3.1. Selecting the Best Configurations
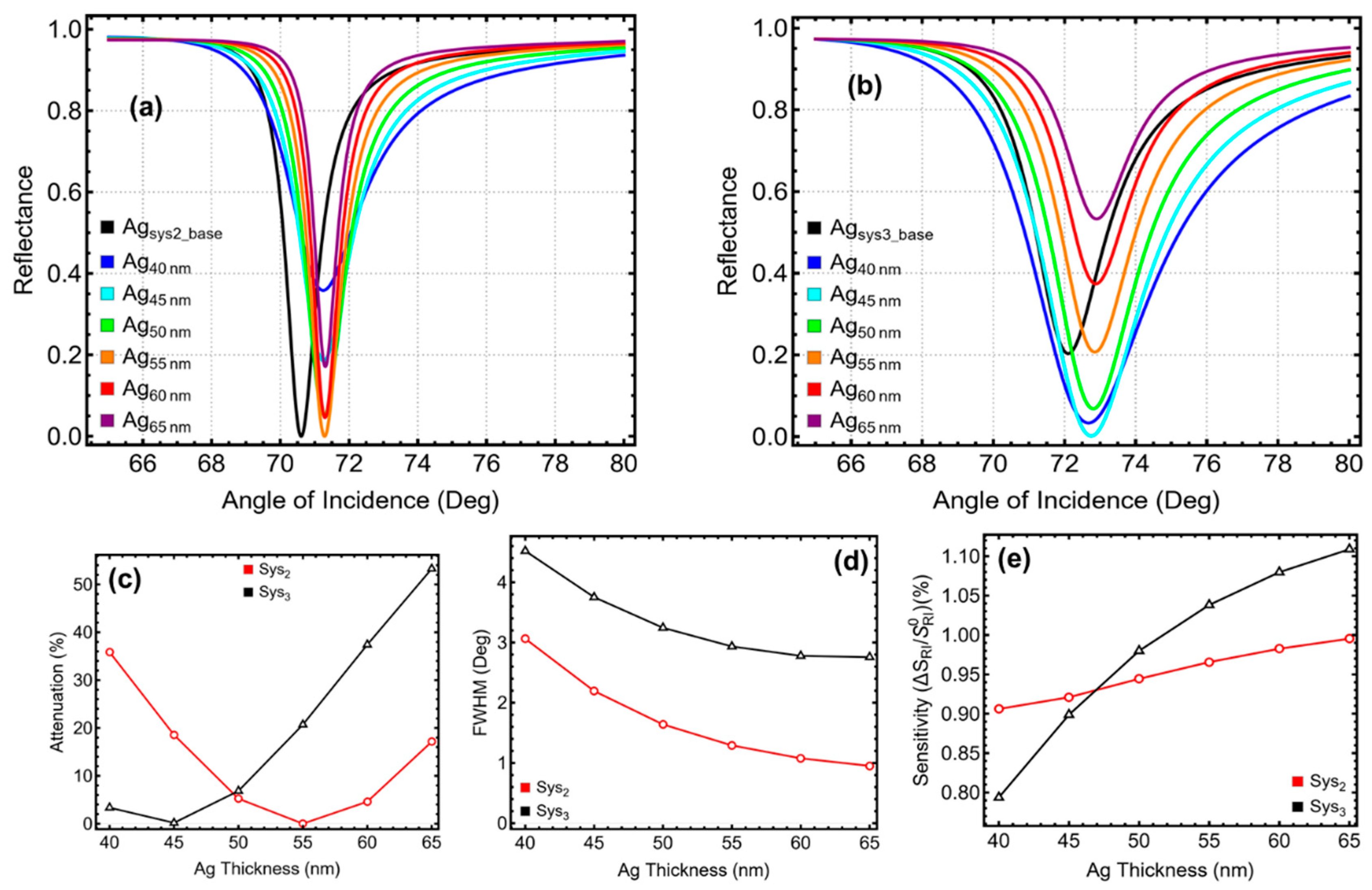
3.2. Optimization: Metal Thin Film
3.3. Optimization: Si3N4
3.4. Optimization: MoS2 Layers
3.5. Sensing HIV DNA Hybridization
3.6. Performance Metrics of SPR Biosensor
4. Discussions
5. Conclusions
Supplementary Materials
Author Contributions
Funding
Data Availability Statement
Acknowledgments
Conflicts of Interest
References
- Lien, D. The Role of DNA Nanotechnology in Medical Sensing. Anal. Methods 2025, 17, 1148–1159. [Google Scholar] [CrossRef] [PubMed]
- Olebo, D.F.; Igwe, M.C. Comparative Analysis of Virology and Pathogenesis of SARS-CoV-2 and HIV Infections: Implications for Public Health and Treatment Strategies. Infect. Drug Resist. 2025, 18, 269–283. [Google Scholar] [CrossRef]
- Godet, J.; de Rocquigny, H.; Raja, C.; Glasser, N.; Ficheux, D.; Darlix, J.-L.; Mély, Y. During the Early Phase of HIV-1 DNA Synthesis, Nucleocapsid Protein Directs Hybridization of the TAR Complementary Sequences via the Ends of Their Double-Stranded Stem. J. Mol. Biol. 2006, 356, 1180–1192. [Google Scholar] [CrossRef]
- Warrilow, D.; Tachedjian, G.; Harrich, D. Maturation of the HIV Reverse Transcription Complex: Putting the Jigsaw Together. Rev. Med. Virol. 2009, 19, 324–337. [Google Scholar] [CrossRef]
- Boyle, D.S.; Lehman, D.A.; Lillis, L.; Peterson, D.; Singhal, M.; Armes, N.; Parker, M.; Piepenburg, O.; Overbaugh, J. Rapid Detection of HIV-1 Proviral DNA for Early Infant Diagnosis Using Recombinase Polymerase Amplification. mBio 2013, 4, e00135-13. [Google Scholar] [CrossRef]
- Curtis, K.A.; Rudolph, D.L.; Owen, S.M. Rapid Detection of HIV-1 by Reverse-Transcription, Loop-Mediated Isothermal Amplification (RT-LAMP). J. Virol. Methods 2008, 151, 264–270. [Google Scholar] [CrossRef]
- Okorie, H.M.; Henry, O.E.; Nchekwube, C.S. Comparative Study of Enzyme Linked Immunosorbent Assay (Elisa) and Rapid Test Screening Methods on HIV, HBsAg, HCV and Syphilis Among Voluntary Donors in Owerri, Nigeria. J. Clin. Community Med. 2020, 2, 180–183. [Google Scholar] [CrossRef]
- El-Assar, M.; Taha, T.E.; El-Samie, F.E.A.; Fayed, H.A.; Aly, M.H. Zinc Selenide-Based Dual-Channel SPR Optical Biosensor for HIV Genome DNA Hybridization Detection. Opt. Quantum Electron. 2023, 55, 1143. [Google Scholar] [CrossRef]
- Farzin, L.; Shamsipur, M.; Samandari, L.; Sheibani, S. HIV Biosensors for Early Diagnosis of Infection: The Intertwine of Nanotechnology with Sensing Strategies. Talanta 2020, 206, 120201. [Google Scholar] [CrossRef]
- Kamani, T.; Patel, S.K.; Armaghan, A.; Kraiem, H. Design and Analysis of Surface Plasmon Resonance Refractive Index Biosensor with Label-Free Detection of Anemia, HIV, and Cholesterol Samples. Plasmonics 2025. [Google Scholar] [CrossRef]
- Zhang, H.; Sun, J.; Guo, C.; Feng, Q.; Li, Y.; Zhao, X.; Sun, L.; Xu, C. Application of Surface Plasmon Resonance Imaging in the High-Throughput Detection of Influenza Virus. Ann. Clin. Biochem. 2024. [Google Scholar] [CrossRef]
- Meradi, K.A.; Tayeboun, F.; Guerinik, A.; Zaky, Z.A.; Aly, A.H. Optical Biosensor Based on Enhanced Surface Plasmon Resonance: Theoretical Optimization. Opt. Quantum Electron. 2022, 54, 124. [Google Scholar] [CrossRef]
- Pitarke, J.M.; Silkin, V.M.; Chulkov, E.V.; Echenique, P.M. Theory of Surface Plasmons and Surface-Plasmon Polaritons. Rep. Prog. Phys. 2007, 70, 1. [Google Scholar] [CrossRef]
- Homola, J. Electromagnetic Theory of Surface Plasmons. In Surface Plasmon Resonance Based Sensors; Springer: Berlin/Heidelberg, Germany, 2006; pp. 3–44. [Google Scholar] [CrossRef]
- Pandey, P.S.; Raghuwanshi, S.K.; Kumar, S. Recent Advances in Two-Dimensional Materials-Based Kretschmann Configuration for SPR Sensors: A Review. IEEE Sens. J. 2022, 22, 1069–1090. [Google Scholar] [CrossRef]
- Hashim, H.S.; Fen, Y.W.; Omar, N.A.S.; Daniyal, W.M.E.M.M.; Fauzi, N.I.M.; Abdullah, J.; Mahdi, M.A. Surface Plasmon Resonance Sensor Based on Gold-Graphene Quantum Dots Thin Film as a Sensing Nanomatrix for Phenol Detection. Opt. Laser Technol. 2024, 168, 109816. [Google Scholar] [CrossRef]
- Cai, H.; Shan, S.; Wang, X. High Sensitivity Surface Plasmon Resonance Sensor Based on Periodic Multilayer Thin Films. Nanomaterials 2021, 11, 3399. [Google Scholar] [CrossRef]
- Gao, C.; Lu, Z.; Liu, Y.; Zhang, Q.; Chi, M.; Cheng, Q.; Xu, Y. Highly Stable Silver Nanoplates for Surface Plasmon Resonance Biosensing. Angew. Chem. Int. Ed. 2012, 51, 5629–5633. [Google Scholar] [CrossRef]
- Kumar, A.; Kumar, A.; Srivastava, S.K. Silicon Nitride-BP-Based Surface Plasmon Resonance Highly Sensitive Biosensor for Virus SARS-CoV-2 Detection. Plasmonics 2022, 17, 1065–1077. [Google Scholar] [CrossRef]
- Antoniou, M.; Tsoundi, D.; Petrou, P.S.; Beltsios, K.G.; Kakabakos, S.E. Functionalization of Silicon Dioxide and Silicon Nitride Surfaces with Aminosilanes for Optical Biosensing Applications. Med. Devices Sens. 2020, 3, e10072. [Google Scholar] [CrossRef]
- Tang, Y.; Luo, Q.; Chen, Y.; Xu, K. All-Silicon Photoelectric Biosensor on Chip Based on Silicon Nitride Waveguide with Low Loss. Nanomaterials 2023, 13, 914. [Google Scholar] [CrossRef]
- Krishna, R.; Peng, Z.; Hosseinnia, A.H.; Adibi, A. High-Quality Silicon Nitride CMOS Photonic Devices. IEEE Photonics Technol. Lett. 2024, 36, 763–766. [Google Scholar] [CrossRef]
- Zhang, G.; Huang, S.; Wang, F.; Yan, H. Layer-Dependent Electronic and Optical Properties of 2D Black Phosphorus: Fundamentals and Engineering. Laser Photonics Rev. 2021, 15, 2000399. [Google Scholar] [CrossRef]
- Li, Y.; Yang, S.; Li, J. Modulation of the Electronic Properties of Ultrathin Black Phosphorus by Strain and Electrical Field. J. Phys. Chem. C 2014, 118, 23970–23976. [Google Scholar] [CrossRef]
- Kim, J.; Baik, S.S.; Ryu, S.H.; Sohn, Y.; Park, S.; Park, B.; Denlinger, J.; Yi, Y.; Choi, H.J.; Kim, K.S. Observation of Tunable Band Gap and Anisotropic Dirac Semimetal State in Black Phosphorus. Science 2015, 349, 723–726. [Google Scholar] [CrossRef]
- Huang, M.; Gu, Z.; Zhang, J.; Zhang, D.; Zhang, H.; Yang, Z.; Qu, J. MXene and Black Phosphorus-Based 2D Nanomaterials in Bioimaging and Biosensing: Progress and Perspectives. J. Mater. Chem. B 2021, 9, 5195–5220. [Google Scholar] [CrossRef] [PubMed]
- Zhan, T.; Shi, X.; Dai, Y.; Liu, X.; Zi, J. Transfer Matrix Method for Optics in Graphene Layers. J. Phys. Condens. Matter 2013, 25, 215301. [Google Scholar] [CrossRef] [PubMed]
- Wu, L.; Chu, H.S.; Koh, W.S.; Li, E.P. Highly Sensitive Graphene Biosensors Based on Surface Plasmon Resonance. Opt. Express 2010, 18, 14395–14400. [Google Scholar] [CrossRef]
- Tene, T.; Guevara, M.; Romero, P.; Guapi, A.; Gahramanli, L.; Vacacela Gomez, C. SARS-CoV-2 Detection by Surface Plasmon Resonance Biosensors Based on Graphene-Multilayer Structures. Front. Phys. 2024, 12, 1503400. [Google Scholar] [CrossRef]
- Tene, T.; Tubon-Usca, G.; Gallegos, K.T.; Mendoza Salazar, M.J.; Vacacela Gomez, C. MoS2-Based Biosensor for SARS-CoV-2 Detection: A Numerical Approach. Front. Nanotechnol. 2024, 6, 1505751. [Google Scholar] [CrossRef]
- Akib, T.B.A.; Rana, M.M.; Mehedi, I.M. Multi-Layer SPR Biosensor for In-Situ Amplified Monitoring of the SARS-CoV-2 Omicron (B.1.1.529) Variant. Biosens. Bioelectron. X 2024, 16, 100434. [Google Scholar] [CrossRef]
- Tene, T.; Coello-Fiallos, D.; Borja, M.; Sánchez, N.; Londo, F.; Vacacela Gomez, C.; Bellucci, S. Surface Plasmon Resonance Biosensors for SARS-CoV-2 Sensing: The Role of Silicon Nitride and Graphene. Biosens. Bioelectron. X 2025, 23, 100586. [Google Scholar] [CrossRef]
- Michnik, A.; Kiełboń, A.; Duch, K.; Sadowska-Krȩpa, E.; Pokora, I. Comparison of Human Blood Serum DSC Profiles in Aqueous and PBS Buffer Solutions. J. Therm. Anal. Calorim. 2022, 147, 6739–6743. [Google Scholar] [CrossRef]
- Tene, T.; Bellucci, S.; Vacacela Gomez, C. SPR Biosensor Based on Bilayer MoS2 for SARS-CoV-2 Sensing. Biosensors 2025, 15, 21. [Google Scholar] [CrossRef] [PubMed]
- Tene, T.; Arias Arias, F.; Paredes-Páliz, K.I.; Cunachi Pillajo, A.M.; Flores Huilcapi, A.G.; Carrera Almendariz, L.S.; Bellucci, S. WS2/Si3N4-Based Biosensor for Low-Concentration Coronavirus Detection. Micromachines 2025, 16, 128. [Google Scholar] [CrossRef]
- Wu, Y.; Wang, G.; Yu, X.; Fan, Y.; Chen, X.; Liu, S. Label-free DNA hybridization detection using a highly sensitive fiber microcavity biosensor. Sensors 2024, 24, 278. [Google Scholar] [CrossRef]
- Rahman, M.S.; Anower, M.S.; Hasan, M.R.; Hossain, M.B.; Haque, M.I. Design and numerical analysis of highly sensitive Au–MoS2-graphene-based hybrid surface plasmon resonance biosensor. Opt. Commun. 2017, 396, 36–43. [Google Scholar] [CrossRef]
- Hossain, M.B.; Kabir, M.A.; Hossain, M.S.; Islam, K.Z.; Hossain, M.S.; Pathan, M.I.; Mondol, N.; Abdulrazak, L.F.; Hossain, M.A.; Rana, M.M. Numerical Modeling of MoS2–Graphene Bilayer-Based High-Performance Surface Plasmon Resonance Sensor: Structure Optimization for DNA Hybridization. Opt. Eng. 2020, 59, 105105. [Google Scholar] [CrossRef]
- Nurrohman, D.T.; Chiu, N.F. Surface plasmon resonance biosensor performance analysis on 2D material based on graphene and transition metal dichalcogenides. ECS J. Solid State Sci. Technol. 2020, 9, 115023. [Google Scholar] [CrossRef]









| Sys No. | Code | Full Name | Nickname |
|---|---|---|---|
| 0 | Sys0 | Prism/Silver/PBS Medium | P/Ag/MPBS |
| 1 | Sys1 | Prism/Silver/PBS + HIV Medium | P/Ag/MPBS+HIV |
| 2 | Sys2 | Prism/Silver/Si3N4/PBS + HIV Medium | P/Ag/SN/MPBS+HIV |
| 3 | Sys3 | Prism/Silver/Si3N4/Molybdenum Disulfide/PBS + HIV Medium | P/Ag/SN/MoS2/MPBS+HIV |
| Material | Refractive Index | Thickness (nm) | Ref. |
|---|---|---|---|
| BK-7 (P) | 1.5151 | --- | [34] |
| Silver (Ag) | 0.056253 + 4.2760 i | 55.0 | [35] |
| Si3N4 (SiN) | 2.0394 | 5.00 | [19] |
| Molybdenum disulfide (MoS2) | 5.0805 + 1.1723 i | 0.65 | [31] |
| PBS (M) | 1.335 | --- | [8] |
| PBS + HIV DNA hybridization (BSA + Strep. + dsDNA) | 1.340 | --- | [8] |
| Configuration | DA | QF (RIU−1) | ||
|---|---|---|---|---|
| Sys2-PBS+HIV | 1.054 | 210.9 | 0.437 | 87.493 |
| Sys3-PBS+HIV | 0.791 | 158.1 | 0.178 | 35.674 |
| Configuration | FoM (RIU−1) | LoD (10−5) | CSF |
|---|---|---|---|
| Sys2-PBS+HIV | 86.979 | 2.370 | 83.121 |
| Sys3-PBS+HIV | 35.480 | 3.163 | 32.862 |
| Configuration | Ref. # | |
|---|---|---|
| Ag-ZnSe-based sensor | 208.0 | [8] |
| Au-MoS2-graphene-based sensor | 89.29 | [37] |
| Au-MoS2-graphene-based sensor | 130.0 | [38] |
| Au-WSe2-graphene-based sensor | 178.87 | [39] |
| Ag-Si2N4-based sensor (Sys2) | 210.9 | This work |
| Ag-Si2N4-MoS2-based sensor (Sys3) | 158.1 | This work |
Disclaimer/Publisher’s Note: The statements, opinions and data contained in all publications are solely those of the individual author(s) and contributor(s) and not of MDPI and/or the editor(s). MDPI and/or the editor(s) disclaim responsibility for any injury to people or property resulting from any ideas, methods, instructions or products referred to in the content. |
© 2025 by the authors. Licensee MDPI, Basel, Switzerland. This article is an open access article distributed under the terms and conditions of the Creative Commons Attribution (CC BY) license (https://creativecommons.org/licenses/by/4.0/).
Share and Cite
Tene, T.; Coello-Fiallos, D.; Palacios Robalino, M.d.L.; Londo, F.; Vacacela Gomez, C. The Effect of MoS2 and Si3N4 in Surface Plasmon Resonance Biosensors for HIV DNA Hybridization Detection: A Numerical Study. Micromachines 2025, 16, 295. https://doi.org/10.3390/mi16030295
Tene T, Coello-Fiallos D, Palacios Robalino MdL, Londo F, Vacacela Gomez C. The Effect of MoS2 and Si3N4 in Surface Plasmon Resonance Biosensors for HIV DNA Hybridization Detection: A Numerical Study. Micromachines. 2025; 16(3):295. https://doi.org/10.3390/mi16030295
Chicago/Turabian StyleTene, Talia, Diana Coello-Fiallos, María de Lourdes Palacios Robalino, Fabián Londo, and Cristian Vacacela Gomez. 2025. "The Effect of MoS2 and Si3N4 in Surface Plasmon Resonance Biosensors for HIV DNA Hybridization Detection: A Numerical Study" Micromachines 16, no. 3: 295. https://doi.org/10.3390/mi16030295
APA StyleTene, T., Coello-Fiallos, D., Palacios Robalino, M. d. L., Londo, F., & Vacacela Gomez, C. (2025). The Effect of MoS2 and Si3N4 in Surface Plasmon Resonance Biosensors for HIV DNA Hybridization Detection: A Numerical Study. Micromachines, 16(3), 295. https://doi.org/10.3390/mi16030295

