Next Article in Journal
Novel Bidirectional ESD Circuit for GaN HEMT
Next Article in Special Issue
The Effect of MoS2 and Si3N4 in Surface Plasmon Resonance Biosensors for HIV DNA Hybridization Detection: A Numerical Study
Previous Article in Journal
An Assessment of Local Geometric Uncertainties in Polysilicon MEMS: A Genetic Algorithm and POD-Kriging Surrogate Modeling Approach
 
 
Font Type:
Arial Georgia Verdana
Font Size:
Aa Aa Aa
Line Spacing:
Column Width:
Background:
Article

WS2/Si3N4-Based Biosensor for Low-Concentration Coronavirus Detection

by
Talia Tene
1,*,
Fabian Arias Arias
2,
Karina I. Paredes-Páliz
3,
Ana M. Cunachi Pillajo
4,
Ana Gabriela Flores Huilcapi
2,
Luis Santiago Carrera Almendariz
5 and
Stefano Bellucci
6
1
Department of Chemistry, Universidad Técnica Particular de Loja, Loja 110160, Ecuador
2
Dipartimento di Chimica e Tecnologie Chimiche, University of Calabria, Via P. Bucci, Cubo 15D, 87036 Rende, Italy
3
Grupo de Investigación en Salud Pública, Facultad de Ciencias de la Salud, Universidad Nacional de Chimborazo, Riobamba 060108, Ecuador
4
Laboratorio Ciencias Biológicas, Facultad Recursos Naturales, Escuela Superior Politécnica de Chimborazo (ESPOCH), Riobamba 060155, Ecuador
5
Facultad de Ciencias, Escuela Superior Politécnica de Chimborazo (ESPOCH), Riobamba 060155, Ecuador
6
INFN-Laboratori Nazionali di Frascati, Via E. Fermi 54, 00044 Frascati, Italy
*
Author to whom correspondence should be addressed.
Micromachines 2025, 16(2), 128; https://doi.org/10.3390/mi16020128
Submission received: 29 December 2024 / Revised: 16 January 2025 / Accepted: 20 January 2025 / Published: 23 January 2025

Abstract

This study presents the optimization of two SPR biosensors, Sys3 and Sys5, for SARS-CoV-2 detection at concentrations of 0.01–100 nM. Sys3, with a 55 nm silver layer, a 13 nm silicon nitride layer, and a 10 nm ssDNA layer, achieved a figure of merit (FoM) of 571.24 RIU−1, a signal-to-noise ratio (SNR) of 0.12, and a detection accuracy (DA) of 48.93 × 10−2. Sys5, incorporating a 50 nm silver layer, a 10 nm silicon nitride layer, a 10 nm ssDNA layer, and a 1.6 nm tungsten disulfide layer (L = 2), demonstrated a higher sensitivity of 305.33 °/RIU and a lower limit of detection (LoD) of 1.65 × 10−5. Sys3 outshined in precision with low attenuation (<1%), while Sys5 provided enhanced sensitivity and lower detection limits, crucial for early-stage viral detection. These configurations align with the refractive index ranges of clinical SARS-CoV-2 samples, showcasing their diagnostic potential. Future work will focus on experimental validation and integration into point-of-care platforms.

1. Introduction

The emergence of Severe Acute Respiratory Syndrome Coronavirus 2 (SARS-CoV-2) in late 2019 has triggered one of the most significant global health crises in modern history [1]. SARS-CoV-2, the causative agent of the COVID-19 pandemic, has resulted in substantial morbidity and mortality worldwide, while severely impacting healthcare systems, economies, and social structures [2]. The virus, a member of the Coronaviridae family, is characterized by its rapid human-to-human transmission and its ability to cause severe respiratory illness, particularly in vulnerable populations [3]. Despite the development of vaccines and therapeutic interventions, effective diagnostic tools remain essential for managing the pandemic, enabling timely identification, isolation, and treatment of infected individuals.
Typical SARS-CoV-2 detection techniques include nucleic acid-based methods [4], such as reverse transcription–polymerase chain reaction (RT–PCR) [5], antigen-based assays [6], and serological tests [7]. While RT–PCR is considered the gold standard for its high sensitivity and specificity, it requires sophisticated laboratory infrastructure and trained personnel, making it less feasible for large-scale, rapid testing in resource-constrained settings. Antigen and serological tests offer faster results but often suffer from reduced accuracy, particularly in the early stages of infection. The limitations of these conventional methods have highlighted the need for innovative diagnostic technologies that combine high sensitivity, specificity, and real-time capabilities with ease of deployment.
In this context, surface plasmon resonance (SPR) biosensors have emerged as a promising alternative for SARS-CoV-2 detection [8]. SPR-based devices exploit the interaction of light with surface plasmons—coherent oscillations of free electrons at a metal-dielectric interface [9]—to achieve real-time, label-free detection of biomolecular interactions [10]. These sensors are highly sensitive to changes in the refractive index near the sensor surface [11], making them ideal for detecting viral proteins, nucleic acids, or antibodies with minimal sample preparation. Furthermore, SPR biosensors can be tailored for high-throughput applications, offering significant advantages over traditional diagnostic approaches. For instance, SPR-based platforms with tailored resonance shapes, such as dielectric gratings and box-like resonance configurations, have demonstrated significant sensitivity improvements by mitigating the spectral overlap challenges associated with Lorentzian shapes, as evidenced in ultra-compact photonic crystal-based sensors [12].
The theoretical foundation of SPR biosensors lies in the physics of surface plasmon resonance, governed by the interaction between electromagnetic waves and free electrons in metals such as gold or silver [13]. This interaction is described by the Fresnel equations [14], which characterize light reflection and transmission at layered interfaces, and by the transfer matrix method (TMM) [15], which models light propagation through complex multilayer structures. By understanding these principles, SPR biosensors can be optimized for maximum sensitivity and specificity, particularly when detecting low-concentration analytes like viral RNA or antigens. For instance, waveguide-based designs, such as bimodal configurations utilizing subwavelength grating structures, have shown exceptional refractive index sensitivities and robust detection limits, making them viable candidates for biosensing platforms [16].
Recent advances in materials science have further enhanced the performance of SPR biosensors through the integration of two-dimensional (2D) materials, such as graphene [17] and tungsten disulfide (WS2) [18]. These materials exhibit exceptional optical, electronic, and surface properties that synergistically improve the sensitivity and stability of SPR-based platforms. WS2, in particular, has gained attention for its high refractive index, strong excitonic resonances, and tunable optical properties, which enable efficient light-matter interaction at the nanometer scale [19]. Additionally, WS2 offers a chemically versatile surface for functionalizing biomolecules, enhancing the specificity of biosensors for SARS-CoV-2 detection [18]. Chirped guided-mode resonance biosensors, which incorporate advanced grating designs, further demonstrate the utility of such innovative approaches by achieving cost-effective, highly sensitive, and portable biosensing solutions [20].
Despite these advancements, there is a notable gap in the literature regarding the use of WS2 in SPR biosensors, particularly for detecting SARS-CoV-2 at very low concentrations ( ~ 109 viral particles/mL or ~ 0.01 nM). While 2D materials have been extensively studied for their optical and electronic properties, their integration into SPR platforms for ultra-sensitive viral detection remains underexplored [21]. This lack of comprehensive studies limits the development of robust, optimized biosensing systems that can effectively address the challenges of low viral load detection in clinical samples. Therefore, it is crucial to investigate the potential of WS2-based SPR biosensors in this context, focusing on achieving high sensitivity and specificity through systematic layer optimization and performance evaluation.
Here, our study focuses on understanding the role of each layer in the proposed SPR biosensor, which is constructed using a BK7 glass substrate, a silver (Ag) film, a silicon nitride (Si3N4) layer, WS2, single-stranded DNA (ssDNA), and phosphate-buffered saline (PBS) solution as the surrounding medium. Each layer is systematically optimized to identify promising configurations that maximize sensor performance. The results are analyzed in the context of key metrics, including attenuation, full-width at half-maximum (FWHM), and sensitivity enhancement. Furthermore, the biosensor’s performance is evaluated by examining metrics such as sensitivity to refractive index changes, detection accuracy (DA), quality factor (QF), figure of merit (FoM), limit of detection (LoD), and signal-to-noise ratio (SNR). Unlike prior studies that focus on analyte concentrations ranging from 150 mM to 525 mM [22], which are unrealistic in clinical samples, our work specifically targets a clinically viable concentration range of 0.01 nM to 100 nM, making it more relevant for realistic diagnostic applications. These insights aim to contextualize the design and operation of advanced SPR biosensors for SARS-CoV-2 detection.

2. Materials and Methods

2.1. Initial Parameters and Configurations

The initial parameters of the SPR biosensor layers, including refractive indices at 633 nm and thicknesses, were selected based on previous experimental and theoretical results [18,21,22,23,24] (see Table S1 and Figure 1). The BK7 glass substrate, with a refractive index of 1.5151, was chosen for its optical clarity and compatibility with SPR systems. Its stability provides a robust platform for constructing the multilayer configuration. Silver (Ag), with a refractive index of 0.056253 + 4.2760 i and a thickness of 55 nm, was selected as the plasmonic material. A 5 nm silicon nitride (Si3N4) layer, with a refractive index of 2.0394, was incorporated to stabilize the silver layer and support the adhesion of subsequent layers. This dielectric material also plays a role in modulating the refractive index profile of the sensor [22]. A monolayer (0.8 nm thickness) of WS2, with a refractive index of 4.9 + 0.3124 i, was added to exploit its unique optical and electrical properties [25]. Particularly, WS2 is expected to enhance the plasmonic field confinement due to its high refractive index and strong excitonic interactions [26], which are critical for improving the sensor’s sensitivity. The functionalization layer, consisting of 3.2 nm of thiol-tethered single-stranded DNA (ssDNA) with a refractive index of 1.462, enables specific detection of SARS-CoV-2 RNA. This layer ensures selective binding to the target analyte while maintaining signal integrity [23]. The surrounding medium, modeled as phosphate-buffered saline (PBS) with a refractive index of 1.334, provides a physiological environment for biomolecular interactions [24].
Table 1 outlines the stepwise progression of SPR biosensor configurations, starting from a basic system (Sys0) to a fully functional and advanced structure (Sys5). This systematic approach allows us to evaluate each configuration under different environments (i.e., water and phosphate-buffered saline) to identify the most promising designs for further optimization. The baseline configuration, Sys0, consists of the prism, silver film, and water medium (P/Ag/MH2O). This setup provides the initial framework to study the intrinsic plasmonic response of the silver layer, which serves as the primary plasmonic material in all subsequent systems. The use of water as the medium ensures that the results are not influenced by complex refractive index effects, serving as a reference point for later comparisons. Sys1 introduces PBS as the medium, replacing water while maintaining the basic prism/silver structure (P/Ag/MPBS). This configuration reflects a transition toward more clinically relevant environments, as PBS closely mimics the conditions encountered in realistic diagnostics.
Sys2 builds on Sys1 by incorporating a silicon nitride layer between the silver film and the medium (P/Ag/SN/MPBS). In Sys3, a thiol-tethered ssDNA layer is added to the silicon nitride surface (P/Ag/SN/T/MPBS). Sys4 introduces a tungsten disulfide layer to the structure (P/Ag/SN/WS2/MPBS). Finally, Sys5 combines all components (i.e., prism, silver, silicon nitride, tungsten disulfide, ssDNA, and PBS medium (P/Ag/SN/WS2/T/MPBS). The latter configuration represents the most advanced system under investigation, incorporating functional and structural elements for maximum sensitivity and specificity.
Figure 1 illustrates the two most promising SPR biosensor configurations, Sys3 and Sys5, which demonstrate the progression from a baseline multilayer design to an advanced structure incorporating tungsten disulfide. While the results justifying their selection will be discussed in the next section, this figure provides a clear visualization of the proposed multilayer architecture. In particular, Figure 1a depicts the Sys3 configuration, which integrates a silver film and silicon nitride layer with a thiol-tethered single-stranded DNA functional layer in contact with a phosphate-buffered saline medium. On the other hand, Figure 1b presents the Sys5 configuration, which builds on Sys3 by incorporating a tungsten disulfide layer between the silicon nitride and single-stranded DNA layers.

2.2. Modeling Approach

A numerical analysis is employed to calculate the reflectance curve using the transfer matrix method (TMM) and Fresnel equations, as described in [23,24,27]. Then, the transfer matrix describes the relationship between the tangential components of the electric and magnetic fields as:
E 1 H 1 = M E N 1 H N 1
where E 1 , H 1 , E N 1 , and H N 1 represent the tangential components of electric and magnetic fields at the first and last layer interfaces, respectively. M is represented by elements M i j as:
M = k = 2 N 1 M k = M 11 M 12 M 21 M 22
And M k is defined as:
M k = cos β k i sin β k / q k i q k   sin β k cos β k
Here, k is an integer number. Additionally, β k is the phase thickness, and q k is the refractive index in each layer:
β k = 2 π d k λ 0 ε k n 1 2 sin 2 θ
And
q k = ε k n 1 2 sin 2 θ ε k
where θ is the angle of incidence, λ 0 is the incident wavelength light, n 1 is the refractive index of the prism, d k is the thickness layer, and the local dielectric function ε λ 0 can be adopted as n λ 0 . Hence, the total reflection analysis of the N-layer system is obtained as:
R = M 11 + M 12 q N q 1 M 21 + M 22 q N M 11 + M 12 q N q 1 + M 21 + M 22 q N 2
By using Equation (6), the SPR curve as a function of the angle of incidence is calculated. Analyzing the performance of the biosensor is necessary to consider the following metrics, defined as: the sensitivity of the biosensors ( S ) is denoted as the multiplication of the sensitivity to the refractive index change ( S R I ) and the adsorption efficiency of the target analyte ( E ) as:
S = S R I · E
For biosensor optimization, we focus on the sensitivity enhancement ( Δ S R I ) by optimizing each layer in water and PBS solutions, denoted as:
Δ S R I = ( S R I P B S S R I 0 ) / S R I 0
The sensitivity to the refractive index change can be expressed as:
S R I = Δ θ / Δ n
The parameter Δ θ represents the angle shift variation, and Δ n is the change in refractive index. The detection accuracy (DA) can be written in terms of Δ θ and FWHM as:
DA = Δ θ / FWHM
Quality factor (QF) can be expressed in terms of S and FWHM as:
QF = S / FWHM
In addition, to calculate the Figure of Merit (FoM), Limit of Detection (LoD), and Signal-to-Noise ratio (SNR), the related equations can be expressed as:
FoM = QF / Rmin
LoD = Δ n Δ θ × 0.005
SNR = Δ θ FWHM
where Rmin is the resonance minimum from SPR curve and 0.005 is expressed in degree ( 0.005 ° ). All computations in this study were performed using a data-sampling density of 20,000 points. This sampling was chosen to ensure statistical accuracy and minimize numerical errors.

3. Results

3.1. Most Promising SPR Biosensor Configurations

Figure 2 and Table S2 summarize the performance of all configurations (Sys0 to Sys5) in terms of SPR peak position (Figure 2a), attenuation (Figure 2b), FWHM (Figure 2c), and sensitivity enhancement (Figure 2d). This systematic analysis aims to identify the most promising designs for SPR biosensors by evaluating trade-offs between sensitivity enhancement and attenuation while considering peak sharpness. Sys0 exhibited the sharpest resonance with an FWHM of 0.87° and a minimal attenuation of 0.02%. However, its sensitivity enhancement was negligible, as expected from a simple design lacking functional or dielectric layers. Sys1, which replaces the water medium with PBS, showed similar results, with an FWHM of 0.90° and a marginal sensitivity enhancement of 0.68%. The inclusion of a silicon nitride layer in Sys2 marked a turning point in performance. This configuration shifted the SPR peak position from 67.94° to 70.47°, reflecting the increased optical interaction depth. Sys2 also achieved a significant sensitivity enhancement of 4.44%, although this improvement came at the cost of a slightly broader resonance with an FWHM of 1.22°. These results highlight the role of silicon nitride in stabilizing the silver layer and amplifying the plasmonic field.
Sys3, which incorporates a ssDNA functional layer, further increased the SPR peak position to 70.97° and achieved a sensitivity enhancement of 5.17%. Although this configuration exhibited a broader resonance (FWHM of 1.28°) compared to Sys2, it maintained low attenuation (0.01%). The addition of the functional layer introduces biomolecular specificity while preserving adequate signal sharpness and sensitivity, making Sys3 an attractive candidate for further exploration. The integration of tungsten disulfide in Sys4 and Sys5 significantly enhanced the sensitivity. Sys4 shifted the SPR peak position to 72.29° and achieved a sensitivity enhancement of 7.14%, while Sys5, which includes both tungsten disulfide and the ssDNA layer, reached an SPR peak position of 72.91° with a sensitivity enhancement of 8.04%. These configurations, however, exhibited increased attenuation (4.39% and 4.56%, respectively) and broader resonance curves, with FWHM values of 1.90° and 1.96°. Despite these trade-offs, the higher sensitivity makes Sys4 and Sys5 particularly promising.
However, Sys3 and Sys5 were primarily selected as the most promising configurations due to the inclusion of the ssDNA layer, which is critical for detecting SARS-CoV-2 RNA. The ssDNA layer provides the necessary molecular specificity by enabling hybridization with complementary RNA sequences, making these configurations highly relevant for biosensing applications targeting the virus.

3.2. Ag Layer Optimization

The optimization of the silver layer thickness for Sys3 and Sys5 was conducted to identify configurations that minimize attenuation (Figure 3a–c) while maintaining reasonable values of FWHM (Figure 3d) and sensitivity enhancement (Figure 3e). The silver layer thickness was varied between 40 nm and 65 nm. The results, summarized in Figure 3 and Table S3, reveal distinct performance trends for both configurations, highlighting the interplay between signal sharpness, energy loss, and sensitivity enhancement.
For Sys3, increasing the silver thickness significantly influenced the metrics. At 40 nm, the system exhibited a high attenuation of 35.89% and a broad resonance with an FWHM of 3.06°. These results indicate that a thinner silver layer is insufficient for effective plasmonic coupling, leading to excessive energy dissipation. However, as the silver thickness increased to 55 nm, the attenuation was drastically reduced to 0.01%, while the FWHM narrowed to 1.29°, reflecting a sharper and more efficient resonance. At this thickness, Sys3 achieved a sensitivity enhancement of 0.75%, representing a balanced trade-off between signal clarity and sensitivity. Beyond 55 nm, further increases in thickness (e.g., 60 nm and 65 nm) caused attenuation to rise again (4.54% and 17.03%, respectively), with only marginal improvements in sensitivity enhancement (0.76% and 0.77%) and FWHM narrowing slightly to 0.95° at 65 nm. These results confirm 55 nm as the optimal thickness for Sys3, offering the lowest attenuation, acceptable resonance sharpness, and adequate sensitivity enhancement for practical use.
In Sys5, which incorporates tungsten disulfide for increased sensitivity, the optimization trends followed a similar pattern, although with some notable differences due to the additional layer. At 40 nm, the system showed attenuation of 18.97%, with an FWHM of 3.79° and a sensitivity enhancement of 0.59%. While the attenuation was lower than that of Sys3 at the same thickness, the resonance remained broad, limiting its practical applicability. Increasing the thickness to 50 nm reduced attenuation to 0.01% and improved the FWHM to 2.43°, while the sensitivity enhancement increased to 0.76%. This thickness provided the best compromise for Sys5, achieving minimal signal loss while maintaining sufficient sensitivity. Further increases in thickness to 55 nm and 60 nm slightly improved sensitivity enhancement to 0.82% and 0.86%, respectively, but introduced higher attenuation (4.56% and 17.14%). At 65 nm, the attenuation rose sharply to 33.56%, with only a slight increase in sensitivity enhancement to 0.89%. These results emphasize that 50 nm is the most suitable thickness for Sys5, balancing minimal attenuation, acceptable resonance sharpness, and sufficient sensitivity.
It is observed that the sensitivity enhancement exhibits a linear trend in Sys3 (Figure 3e, orange curve fit), whereas in Sys5, it follows a non-linear trend, approaching quasi-saturation at a thickness of 60 nm (Figure 3e, gray curve fit).

3.3. Silicon Nitride Layer Optimization

Following the selection of optimal silver thicknesses, the next step was to optimize the silicon nitride layer thickness for both configurations. The results of this optimization, presented in Figure 4 and Table S4, show the influence of varying silicon nitride thicknesses (5 nm to 20 nm) on attenuation (Figure 4a–c), FWHM (Figure 4d), and sensitivity enhancement (Figure 4e). For both configurations, the selection of optimal thicknesses prioritized sensitivity enhancement while maintaining attenuation below 1% and balancing FWHM.
For Sys3, thinner silicon nitride layers (e.g., 5 nm) exhibited low attenuation (0.01%) and a sharp resonance (FWHM = 1.30°), but the sensitivity enhancement was limited to 0.75%. Increasing the thickness to 7 nm improved sensitivity enhancement to 2.65%, although it caused a slight broadening of the resonance peak (FWHM = 1.50°). At 10 nm, the sensitivity enhancement increased significantly to 6.10%, with an FWHM of 1.87° and attenuation remaining low at 0.04%. However, the most balanced performance was observed at 13 nm, where sensitivity enhancement reached 10.68% while maintaining a reasonable FWHM of 2.41° and acceptable attenuation of 0.49%. Beyond 13 nm, further increases in thickness caused sharp degradation in performance, with attenuation exceeding 2.40% at 15 nm and reaching an impractical 96.11% at 20 nm. These results highlight 13 nm as the optimal silicon nitride thickness for Sys3, achieving high sensitivity enhancement while keeping attenuation below 1% and maintaining manageable resonance broadening.
For Sys5, the trends followed a similar pattern, though the presence of tungsten disulfide influenced the behavior of the system. At 5 nm, Sys5 exhibited low attenuation (0.01%) and a relatively sharp resonance (FWHM = 2.54°), but sensitivity enhancement was limited to 0.80%. Increasing the thickness to 7 nm improved sensitivity enhancement to 3.20%, while maintaining attenuation at 0.03% and producing a slight broadening of the resonance (FWHM = 2.96°). At 10 nm, Sys5 achieved a significant sensitivity enhancement of 7.76%, with an FWHM of 3.79° and attenuation remaining below 1% (0.65%). Beyond 10 nm, the performance began to degrade. At 13 nm, although sensitivity enhancement increased to 14.65%, attenuation rose sharply to 7.15% and the resonance broadened significantly (FWHM = 5.11°). At thicknesses of 15 nm and 20 nm, the system exhibited excessive attenuation (59.01% and 96.51%, respectively) and impractically broad resonance peaks. These results confirm that 10 nm is the optimal silicon nitride thickness for Sys5, balancing high sensitivity enhancement with minimal attenuation and acceptable FWHM.
The sensitivity enhancement in Sys3 exhibits a linear trend, as indicated by the orange curve fit in Figure 4e. In Sys5, the sensitivity follows a quadratic trend up to a thickness of 15 nm (gray curve fit), beyond which a sharp decrease in sensitivity is observed at 20 nm.

3.4. Tungsten Disulfide Layer Optimization

The optimization of WS2 layers for the SPR biosensor demonstrates a trade-off between attenuation, FWHM, and sensitivity enhancement by analyzing configurations with one to six WS2 layers (Figure 5 and Table S5). The attenuation percentage (Figure 5b) shows a significant increase with the number of WS2 layers. It begins at 0.65% for one layer (L1) and rises steeply to 95.97% for six layers (L6). This progression highlights how additional layers intensify optical absorption, which, while beneficial for certain performance aspects, compromises the transmitted signal quality. Practical biosensing requires maintaining attenuation within acceptable limits to preserve signal strength.
The FWHM (Figure 5c) also increases progressively from 3.79° for L1 to 16.04° for L4. However, at L5, the FWHM broadens drastically to 153.15°, indicating a severe loss in resolution. Although it decreases slightly to 103.69° at L6, the general broadening remains excessive for achieving precise resonance. Sensitivity enhancement (Figure 5d) peaks at L2, reaching 7.57%, compared to 1.03% for L1. Beyond L2, sensitivity decreases progressively, with values of 10.16%, 7.39%, 4.95%, and 2.84% for L3 through L6, respectively. While configurations with additional layers yield minor improvements in sensitivity, they come at the cost of increased attenuation and FWHM broadening, reducing their practicality. Hence, considering these metrics, two WS2 layers (L2) represent the optimal configuration. This setup provides a substantial gain in sensitivity while keeping attenuation below 20%, maintaining a balance between performance and signal quality. Configurations with more layers lead to diminishing returns in sensitivity, coupled with severe attenuation and degraded FWHM.

3.5. Thiol-Tethered ssDNA Layer Optimization

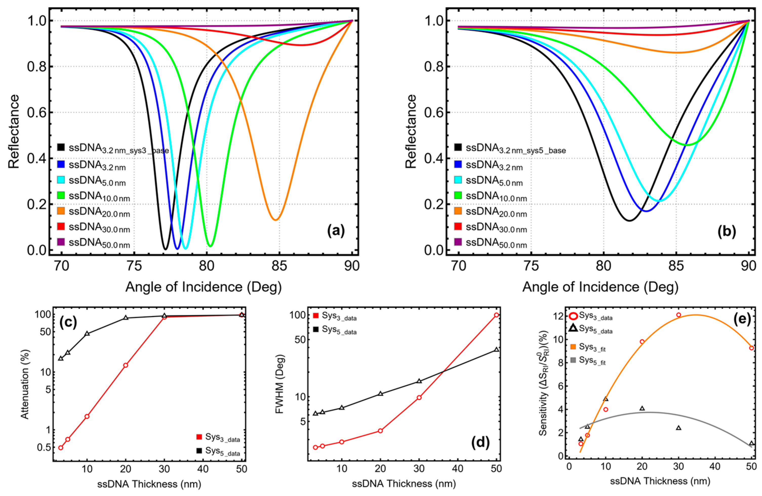
The final step in optimizing the multilayer configurations focused on varying the thickness of the ssDNA functional layer, a critical component for ensuring biomolecular specificity in the detection of SARS-CoV-2 RNA. The optimization results, shown in Figure 6 and Table S6, evaluate the performance of Sys3 and Sys5 with ssDNA thicknesses ranging from 3.2 nm to 50 nm, considering attenuation (Figure 6a–c), FWHM (Figure 6d), and sensitivity enhancement (Figure 6e).
For Sys3, the initial thickness of 3.2 nm exhibited low attenuation (0.49%) and a sharp resonance with an FWHM of 2.41°. However, sensitivity enhancement at this thickness was limited to 1.05%, indicating that a slightly thicker ssDNA layer was needed to amplify the interaction between the plasmonic field and the target molecules. Increasing the thickness to 5 nm improved sensitivity enhancement to 1.78%, with a minor increase in attenuation (0.69%) and an FWHM of 2.51°. At 10 nm, Sys3 achieved a significant improvement, with sensitivity enhancement reaching 3.99% while keeping attenuation low at 1.71% and maintaining a reasonable FWHM of 2.82°. Beyond 10 nm, performance began to decline. At 20 nm, although sensitivity enhancement increased to 9.82%, attenuation rose sharply to 13.10% and the FWHM broadened to 3.84°, reducing the practicality of this configuration. Further increases to 30 nm and 50 nm resulted in excessive attenuation (89.31% and 97.47%, respectively) and severely broadened resonance peaks, with FWHM values of 11.23° and 50°. These results confirmed that 10 nm is the optimal ssDNA thickness for Sys3, balancing strong sensitivity enhancement with low attenuation and acceptable resonance sharpness.
For Sys5, the trends were similar, although the presence of tungsten disulfide affected the system’s response. At 3.2 nm, Sys5 demonstrated moderate attenuation (16.93%) and an FWHM of 3.24°, but sensitivity enhancement was limited to 1.42%. Increasing the thickness to 5 nm slightly improved sensitivity enhancement to 2.48%, with a rise in attenuation to 21.43% and a broader resonance peak (FWHM = 3.34°). At 10 nm, Sys5 achieved its best balance of performance metrics, with a sensitivity enhancement of 4.86%, an attenuation of 45.80%, and an FWHM of 3.62°. This configuration provided an improvement in sensitivity while maintaining manageable losses and acceptable resonance characteristics. As with Sys3, further increases in ssDNA thickness led to diminishing returns for Sys5. At 20 nm, sensitivity enhancement dropped slightly to 4.05%, while attenuation rose sharply to 86.06% and the FWHM broadened further to 4.26°. At 30 nm and 50 nm, the system experienced drastic degradation, with attenuation exceeding 93% and resonance peaks broadening to 5.08° and 10.34°, respectively, making these configurations impractical. These results confirmed 10 nm as the optimal ssDNA thickness for Sys5, balancing strong sensitivity enhancement with manageable attenuation and resonance broadening.
The sensitivity enhancement in Sys3 follows a polynomial trend, as demonstrated by the orange curve fit in Figure 6e. Similarly, Sys5 exhibits a comparable polynomial behavior, depicted by the gray curve fit. This trend contrasts with the patterns observed during the optimization of the previous layers, highlighting the unique influence of the ssDNA thickness on the overall sensitivity of the biosensors.

3.6. Optimized SPR Biosensors Against SARS-CoV-2

Table S7 summarizes the optimized parameters for Sys3 and Sys5, highlighting the specific thicknesses and refractive index values used for each layer. The Sys3 configuration, optimized with a 55 nm silver layer, a 13 nm silicon nitride layer, and a 10 nm ssDNA layer, provides a robust framework for SPR-based sensing. Similarly, Sys5, which incorporates tungsten disulfide with a thickness of 1.6 nm (L = 2), a 50 nm silver layer, 10 nm silicon nitride, and 10 nm ssDNA, leverages the synergistic interaction between its components to achieve high sensitivity, particularly at low analyte concentrations.
While evaluating these configurations against SARS-CoV-2, it is essential to address the refractive index values of the viral medium. Previous studies, such as those reported in [22], utilized refractive index values that are not representative of clinically viable conditions. Instead, we use the refractive index values reported in [18] as a base to obtain lower viral concentrations by applying a linear fit based on the observed data, which aligns with viral concentrations of approximately ~ 109 particles/mL. These values provide a realistic representation of the diagnostic conditions for SARS-CoV-2 detection, bridging the gap between theoretical modeling and practical application. We point out that the inclusion of a 10 nm ssDNA layer in both configurations ensures high specificity for SARS-CoV-2 RNA detection.
Then, the optimized Sys3 and Sys5 configurations were evaluated against SARS-CoV-2 across viral concentrations ranging from 0.01 nM ( ~ 109 particles/mL) to 100 nM ( ~ 1013 particles/mL). For each concentration, the corresponding refractive index of the medium, as shown in Table S8, was used to simulate realistic diagnostic conditions. The analysis focused on the SPR peak position (Figure 7a,b), attenuation percentage (Figure 7c), FWHM (Figure 7d), and sensitivity enhancement (Figure 7e).
For Sys3, the SPR peak position showed a gradual but stable shift from 78.69° at 0.1 nM to 78.86° at 100 nM, reflecting its ability to detect incremental refractive index changes induced by SARS-CoV-2. This stability in peak position is indicative of a robust plasmonic response that is not significantly affected by noise or interference. Attenuation remained remarkably low throughout the concentration range, starting at 0.75% for 0.1 nM and increasing slightly to 0.83% at 100 nM. Such minimal attenuation ensures that the signal remains strong and reliable across all tested concentrations, a key attribute for accurate biosensing. The FWHM of Sys3 also remained consistent, ranging between 2.52° and 2.55°, indicating sharp and well-defined resonance peaks regardless of viral load. This stability in FWHM ensures that the sensor maintains high resolution and precision, even at higher concentrations. Sensitivity enhancement increased steadily with viral concentration, starting at 0.20% for 0.1 nM and reaching 0.42% at 100 nM.
For Sys5, the performance metrics reflected the influence of the tungsten disulfide layer, which enhances plasmonic field confinement and sensitivity. The SPR peak position shifted more significantly compared to Sys3, increasing from 83.16° at 0.1 nM to 83.40° at 100 nM. However, this increased sensitivity comes with higher attenuation values, starting at 17.93% for 0.1 nM and rising to 19.11% at 100 nM. While higher attenuation may reduce signal intensity, the trade-off is justified by the system’s enhanced sensitivity. The FWHM for Sys5 remained broader than Sys3, with values ranging from 6.24° to 6.30°. This broader resonance indicates a slightly lower precision compared to Sys3, though it is compensated by the superior sensitivity enhancement of Sys5. Starting at 0.26% for 0.1 nM, sensitivity enhancement increased steadily to 0.55% at 100 nM, demonstrating a strong capability of Sys5 to amplify the plasmonic response even at higher viral concentrations.

3.7. Performance Metrics

The performance of the optimized Sys3 and Sys5 biosensors was analyzed in terms of angle variation (Δθ, Figure 8a), sensitivity to refractive index change (S, Figure 8b), detection accuracy (DA, Figure 8c), and quality factor (QF, Figure 8d) (see Table 2). The angle variation reflects the shift in the SPR resonance angle caused by changes in refractive index due to the presence of SARS-CoV-2. For Sys3, Δθ increased gradually from 0.158° at 0.1 nM to 0.33° at 100 nM, showing a stable response to incremental changes in viral concentration. This steady increase highlights the ability of Sys3 to provide consistent angular shifts, which is critical for applications that require precise quantification of analyte concentrations. In comparison, Sys5 exhibited a more pronounced increase in Δθ, ranging from 0.22° at 0.1 nM to 0.46° at 100 nM. The larger angle shifts observed in Sys5 are attributed to the enhanced plasmonic field confinement introduced by the tungsten disulfide layer, which amplifies its sensitivity to refractive index changes.
Sensitivity, expressed in degrees per refractive index unit (°/RIU), quantifies the biosensors’ ability to detect refractive index changes. Sys3 demonstrated moderate but stable sensitivity values, starting at 216.10 °/RIU for 0.1 nM and increasing slightly to 217.47 °/RIU at 100 nM. This stability underscores the robustness and reliability of Sys3 in handling varying viral concentrations. On the other hand, Sys5 exhibited consistently higher sensitivity, ranging from 303.63 °/RIU at 0.1 nM to 305.33 °/RIU at 100 nM. The heightened sensitivity of Sys5 stems from the presence of tungsten disulfide, which enhances plasmonic interactions, making it highly effective for detecting small refractive index variations.
Detection accuracy measures the precision of the biosensors in identifying refractive index changes. Sys3 exhibited a significant improvement in DA as the viral concentration increased, starting at 0.04 × 10−2 for 0.1 nM and rising to 48.93 × 10−2 at 100 nM. This consistent improvement highlights the ability of Sys3 to deliver precise detection, particularly at higher viral concentrations. In contrast, Sys5 demonstrated lower DA values, starting at 0.02 × 10−2 at 0.1 nM and increasing to 28.85 × 10−2 at 100 nM. The broader resonance peaks in Sys5 contribute to its lower DA compared to Sys3. However, its higher sensitivity ensures that it remains effective for detecting subtle refractive index changes at low concentrations, despite the reduced precision.
The quality factor, which evaluates the sharpness and energy efficiency of the resonance, further differentiates the two configurations. Sys3 maintained consistently high QF values, starting at 86.87 RIU−1 for 0.1 nM and remaining above 81 RIU−1 across all concentrations. These high values reflect the ability of Sys3 to maintain sharp and well-defined resonance peaks, crucial for applications requiring precise signal clarity. In comparison, Sys5 exhibited lower QF values, starting at 45.84 RIU−1 for 0.1 nM and slightly decreasing to 48.08 RIU−1 for 100 nM. The lower QF for Sys5 is a result of its broader resonance peaks, which, while enhancing sensitivity, reduce resonance sharpness and energy efficiency.
The performance evaluation of Sys3 and Sys5 was concluded by analyzing their figure of merit (FoM, Figure 9a), limit of detection (LoD, Figure 9b), and signal-to-noise ratio (SNR, Figure 9c). The results, summarized in Figure 9 and Table 3, highlight the distinct strengths and trade-offs of each configuration.
The FoM, which measures the balance between sensitivity and FWHM, remained consistently high for Sys3. Starting at 571.24 RIU−1 at 0.1 nM, the FoM showed a gradual decrease to 517.12 RIU−1 at 100 nM. This stability highlights the facility of Sys3 to maintain sharp resonance peaks while responding effectively to changes in refractive index. The slight decline at higher concentrations can be attributed to minor resonance broadening but remains within acceptable limits for precise sensing. Sys5, on the other hand, exhibited lower FoM values across all concentrations, starting at 271.28 RIU−1 at 0.1 nM and dropping to 253.60 RIU−1 at 100 nM. The reduced FoM is a result of the broader resonance peaks in Sys5, which trade off sharpness for higher sensitivity. Despite this, the FoM values for Sys5 remain adequate for detecting subtle refractive index changes.
The LoD provides critical insight into the biosensors’ ability to detect low analyte concentrations. Sys3 maintained a stable LoD of approximately 2.31 × 10−5 across the tested range, demonstrating its capability for detecting SARS-CoV-2 at concentrations as low as 0.01 nM. This low LoD reflects a high precision and suitability of Sys3 for early diagnostic applications. Sys5, while achieving slightly higher LoD values than Sys3, consistently performed at approximately 1.65 × 10−5. This enhanced sensitivity, attributed to the tungsten disulfide layer, highlights the utility of Sys5 in detecting very low viral loads where sensitivity is the priority.
The SNR, which measures the clarity of the signal relative to background noise, was consistently higher for Sys3 compared to Sys5. For Sys3, the SNR started at 0.06 at 0.1 nM and increased to 0.12 at 100 nM, demonstrating its ability to generate clear, distinguishable signals across the concentration range. This reliability makes Sys3 particularly suited for precision diagnostics. In contrast, Sys5 exhibited lower SNR values, beginning at 0.04 at 0.1 nM and peaking at 0.07 at 100 nM. The reduced SNR for Sys5 is a consequence of higher attenuation and broader resonance peaks, which introduce more background noise. Despite this limitation, the SNR observed in Sys5 remains sufficient for reliable detection, especially in applications where sensitivity is more critical than signal clarity.

3.8. Literature Comparison with Related SPR Biosensor Architectures

Table 4 compares the performance of our proposed SPR biosensors, Sys3 and Sys5, with recent configurations reported in the limited literature on this topic [28,29,30,31,32]. While these works provide valuable insights into SPR biosensor development, it is important to highlight that they do not specifically focus on SARS-CoV-2 detection or clinically relevant concentration ranges. Furthermore, none of these studies present a comprehensive analysis of performance metrics, such as sensitivity, quality factor, detection accuracy, figure of merit, limit of detection, and signal-to-noise ratio, as performed in our work. This broader evaluation accentuates the novelty and thoroughness of our approach. Lin et al. [28] reported a hybrid structure combining graphene, MoS2, WSe2, and WS2, achieving a sensitivity of 194 °/RIU. In comparison, our Sys3 and Sys5 configurations deliver superior sensitivities of 217.5 °/RIU and 305.3 °/RIU, respectively, at clinically relevant viral concentrations (0.01–100 nM). Bijalwan et al. [29] investigated nanoribbons of graphene and WSe2, achieving a sensitivity of 155.68 °/RIU and a QF of 164.28 RIU−1. Sys3 and Sys5 outperform this sensitivity, with Sys5 achieving a QF of 50.4 RIU−1 at 1 nM. These findings emphasize the potential of our biosensors to address the stringent requirements of SARS-CoV-2 detection at early stages. Dey et al. [30] combined WS2, metal layers, and graphene to achieve a sensitivity of 208 °/RIU and a QF of 223.66 RIU−1. Mostufa et al. [31] proposed a multilayer design with BK7, WS2, Au, BaTiO3, and graphene, achieving a sensitivity of 230.77 °/RIU. While comparable to Sys3, their study does not address specific viral detection scenarios. In contrast, our results demonstrate that Sys5 offers not only higher sensitivity but also a detailed evaluation of performance metrics across a realistic concentration range. Rahman et al. [32] presented a biosensor based on Au-WS2-PtSe2-BP, reporting a sensitivity of 200 °/RIU and a QF of 17.70 RIU−1. While their QF is relatively low, their study does not specify the concentration range, making it challenging to assess its diagnostic utility.

4. Conclusions

In this study, we developed and optimized two multilayered SPR biosensors, namely Sys3 and Sys5, for detecting SARS-CoV-2 across clinically relevant concentrations. By systematically analyzing and optimizing each biosensor layer, including silver, silicon nitride, and ssDNA, we achieved configurations tailored for high sensitivity and diagnostic reliability. Sys3, incorporating a 55 nm silver layer, a 13 nm silicon nitride layer, and a 10 nm ssDNA layer, demonstrated exceptional precision with low attenuation, sharp resonance peaks, and high detection accuracy. Sys5, enhanced with a 50 nm silver layer, a 10 nm silicon nitride layer, a 10 nm ssDNA layer, and bilayer tungsten disulfide (L = 2 = 1.6 nm), showed superior sensitivity and a lower limit of detection, making it particularly suitable for identifying low analyte concentrations.
Key findings revealed the strengths of Sys3 in maintaining sharp resonance and energy efficiency, reflected by its high figure of merit (FoM), low attenuation, and high signal-to-noise ratio (SNR). Sys5, on the other hand, outshined in sensitivity to refractive index changes and demonstrated a consistent ability to detect subtle variations in refractive index, even at the lowest viral concentrations. Both configurations exhibited excellent alignment with the refractive index ranges of SARS-CoV-2 clinical samples, evidencing their potential applicability for realistic diagnostic scenarios. Moreover, the refractive index values used in this study were adapted from clinically viable ranges, overcoming the limitations of previous works that relied on less representative values.
This work not only emphasizes the diagnostic potential of these biosensors but also highlights the importance of systematic optimization in SPR-based sensing systems. The combination of physical and performance metrics, including angle variation, sensitivity, detection accuracy, and quality factor, provided a robust framework for evaluating biosensor performance under realistic operating conditions.

Supplementary Materials

The following supporting information can be downloaded at: https://www.mdpi.com/article/10.3390/mi16020128/s1, Table S1: Initial parameters of the SPR Biosensor under investigation by reporting the corresponding refractive index at 633 nm; Table S2: Analysis of physical and performance metrics of the different configurations; Table S3: Analysis of physical and performance metrics of Sys3 and Sys5 configurations by changing the silver thickness; Table S4: Analysis of physical and performance metrics of Sys3 and Sys5 configurations by changing the silicon nitride thickness; Table S5: Analysis of physical and performance metrics of Sys5 configuration by changing the number of Tungsten Disulfide layers; Table S6: Analysis of physical and performance metrics of Sys3 and Sys5 configurations by changing the ssDNA thickness; Table S7: Optimized parameters of Sys3 and Sys5 configurations; Table S8: Analysis of performance metrics of Sys3 and Sys5 configurations at different virus concentrations.

Author Contributions

T.T., Conceptualization, Funding acquisition, Writing—original draft. F.A.A., Methodology, Investigation. K.I.P.-P., Methodology, Investigation. A.M.C.P., Methodology, Investigation. A.G.F.H., Methodology, Investigation. L.S.C.A., Methodology, Investigation, Software. S.B., Conceptualization, Investigation. All authors have read and agreed to the published version of the manuscript.

Funding

This work was funded and supported by Universidad Técnica Particular de Loja under grant No.: POA_VIN-56.

Data Availability Statement

The original contributions presented in the study are included in the article/Supplementary Materials. Further inquiries can be directed to the corresponding author.

Acknowledgments

We all thank the Universidad Técnica Particular de Loja (UTPL-Ecuador) for the support received for this work.

Conflicts of Interest

The authors declare no conflicts of interest.

References

  1. Mambelli, F.; de Araujo, A.C.V.S.C.; Farias, J.P.; de Andrade, K.Q.; Ferreira, L.C.S.; Minoprio, P.; Leite, L.C.C.; Oliveira, S.C. An Update on Anti-COVID-19 Vaccines and the Challenges to Protect Against New SARS-CoV-2 Variants. Pathogens 2025, 14, 23. [Google Scholar] [CrossRef]
  2. Rustagi, V.; Gupta, S.R.R.; Talwar, C.; Singh, A.; Xiao, Z.-Z.; Jamwal, R.; Bala, K.; Bhaskar, A.K.; Nagar, S.; Singh, I.K. SARS-CoV-2 Pathophysiology and Post-Vaccination Severity: A Systematic Review. Immunol. Res. 2024, 73, 17–73. [Google Scholar] [CrossRef]
  3. Hills, F.R.; Geoghegan, J.L.; Bostina, M. Architects of Infection: A Structural Overview of SARS-Related Coronavirus Spike Glycoproteins. Virology 2025, 110383. [Google Scholar] [CrossRef]
  4. Yoo, H.M.; Kim, I.-H.; Kim, S. Nucleic Acid Testing of SARS-CoV-2. Int. J. Mol. Sci. 2021, 22, 6150. [Google Scholar] [CrossRef]
  5. Jeong, S.; González-Granáo, E.; Navarro, N.; Pinals, R.L.; Ledesma, F.; Yang, D.; Landry, M.P. Extraction of Viral Nucleic Acids with Carbon Nanotubes Increases SARS-CoV-2 Quantitative Reverse Transcription Polymerase Chain Reaction Detection Sensitivity. ACS Nano 2021, 15, 10309–10317. [Google Scholar] [CrossRef]
  6. Fragkou, P.C.; Moschopoulos, C.D.; Dimopoulou, D.; Ong, D.S.Y.; Dimopoulou, K.; Nelson, P.P.; Schweitzer, V.A.; Janocha, H.; Karofylakis, E.; Papathanasiou, K.A.; et al. European Society of Clinical Microbiology and Infection Study Group for Respiratory Viruses. Performance of Point-of-Care Molecular and Antigen-Based Tests for SARS-CoV-2: A Living Systematic Review and Meta-Analysis. Clin. Microbiol. Infect. 2023, 29, 291–301. [Google Scholar] [CrossRef]
  7. Fung, C.Y.J.; Scott, M.; Lerner-Ellis, J.; Taher, J. Applications of SARS-CoV-2 Serological Testing: Impact of Test Performance, Sample Matrices, and Patient Characteristics. Crit. Rev. Clin. Lab. Sci. 2024, 61, 70–88. [Google Scholar] [CrossRef]
  8. Pitarke, J.M.; Silkin, V.M.; Chulkov, E.V.; Echenique, P.M. Theory of Surface Plasmons and Surface-Plasmon Polaritons. Rep. Prog. Phys. 2007, 70, R1. [Google Scholar] [CrossRef]
  9. Akib, T.B.; Mostufa, S.; Rana, M.M.; Hossain, M.B.; Islam, M.R. A Performance Comparison of Heterostructure Surface Plasmon Resonance Biosensor for the Diagnosis of Novel Coronavirus SARS-CoV-2. Opt. Quantum Electron. 2023, 55, 448. [Google Scholar] [CrossRef] [PubMed]
  10. Zhou, J.; Wang, Y.; Zhang, G.-J. State-of-the-Art Strategies of Surface Plasmon Resonance Biosensors in Clinical Analysis: A Comprehensive Review. Coord. Chem. Rev. 2024, 520, 216149. [Google Scholar] [CrossRef]
  11. Chen, H.; Wang, X.; Zhang, J.; Rao, X.; Yang, H.; Qi, Y.; Tang, C. Theoretical Study of Surface Plasmonic Refractive Index Sensing Based on Gold Nano-Cross Array and Gold Nanofilm. Phys. B Condens. Matter 2023, 655, 414746. [Google Scholar] [CrossRef]
  12. Di Toma, A.; Brunetti, G.; Colapietro, P.; Ciminelli, C. High-Resolved Near-Field Sensing by Means of Dielectric Grating with a Box-Like Resonance Shape. IEEE Sens. J. 2024, 24, 6045–6053. [Google Scholar] [CrossRef]
  13. Homola, J. Electromagnetic Theory of Surface Plasmons. In Surface Plasmon Resonance Based Sensors; Homola, J., Ed.; Springer: Berlin/Heidelberg, Germany, 2006; pp. 3–44. [Google Scholar] [CrossRef]
  14. Ji, L.; Chen, Y.; Yuan, Y.J. Investigation of Surface Plasmon Resonance Phenomena by Finite Element Analysis and Fresnel Calculation. Sens. Actuators B Chem. 2014, 198, 82–86. [Google Scholar] [CrossRef]
  15. Haddouche, I.; Cherbi, L. Comparison of Finite Element and Transfer Matrix Methods for Numerical Investigation of Surface Plasmon Waveguides. Opt. Commun. 2017, 382, 132–137. [Google Scholar] [CrossRef]
  16. Torrijos-Morán, L.; Griol, A.; García-Rupérez, J.; Caspani, L.; Tauke-Pedretti, A.; Leo, F.; Yang, B. Bimodal Waveguide Sensors Enabled by Subwavelength Grating Structures. In OSA Advanced Photonics Congress (AP) 2020 (IPR, NP, NOMA, Networks, PVLED, PSC, SSPCom, SOF); Optica Publishing Group: Washington, DC, USA, 2020; Volume 4. [Google Scholar] [CrossRef]
  17. Tene, T.; Arias Arias, F.; Paredes-Páliz, K.I.; Haro-Barroso, C.; Vacacela Gomez, C. An Optimized Graphene-Based Surface Plasmon Resonance Biosensor for Detecting SARS-CoV-2. Appl. Sci. 2024, 14, 10724. [Google Scholar] [CrossRef]
  18. Akib, T.B.A.; Rana, M.M.; Mehedi, I.M. Multi-Layer SPR Biosensor for In-Situ Amplified Monitoring of the SARS-CoV-2 Omicron (B.1.1.529) Variant. Biosens. Bioelectron. X 2024, 16, 100434. [Google Scholar] [CrossRef]
  19. Panda, A.; Pukhrambam, P.D. Modeling of High-Performance SPR Refractive Index Sensor Employing Novel 2D Materials for Detection of Malaria Pathogens. IEEE Trans. NanoBiosci. 2022, 21, 312–319. [Google Scholar] [CrossRef] [PubMed]
  20. Triggs, G.J.; Wang, Y.; Reardon, C.P.; Fischer, M.; Evans, G.J.O.; Krauss, T.F. Chirped Guided-Mode Resonance Biosensor. Optica 2017, 4, 229–234. [Google Scholar] [CrossRef] [PubMed]
  21. Tene, T.; Svozilík, J.; Colcha, D.; Cevallos, Y.; Vinueza-Naranjo, P.G.; Vacacela Gomez, C.; Bellucci, S. The Tunable Parameters of Graphene-Based Biosensors. Sensors 2024, 24, 5049. [Google Scholar] [CrossRef] [PubMed]
  22. Kumar, A.; Kumar, A.; Srivastava, S.K. Silicon Nitride-BP-Based Surface Plasmon Resonance Highly Sensitive Biosensor for Virus SARS-CoV-2 Detection. Plasmonics 2022, 17, 1065–1077. [Google Scholar] [CrossRef] [PubMed]
  23. Wu, L.; Chu, H.S.; Koh, W.S.; Li, E.P. Highly Sensitive Graphene Biosensors Based on Surface Plasmon Resonance. Opt. Express 2010, 18, 14395–14400. [Google Scholar] [CrossRef] [PubMed]
  24. Tene, T.; Bellucci, S.; Vacacela Gomez, C. SPR Biosensor Based on Bilayer MoS2 for SARS-CoV-2 Sensing. Biosensors 2025, 15, 21. [Google Scholar] [CrossRef]
  25. Molas, M.R.; Nogajewski, K.; Slobodeniuk, A.O.; Binder, J.; Bartos, M.; Potemski, M. The Optical Response of Monolayer, Few-Layer and Bulk Tungsten Disulfide. Nanoscale 2017, 9, 13128–13141. [Google Scholar] [CrossRef] [PubMed]
  26. Shi, J.; Liang, W.-Y.; Raja, S.S.; Sang, Y.; Zhang, X.-Q.; Chen, C.-A.; Wang, Y.; Yang, X.; Lee, Y.-H.; Ahn, H.; et al. Plasmonic Enhancement and Manipulation of Optical Nonlinearity in Monolayer Tungsten Disulfide. Laser Photonics Rev. 2018, 12, 1800188. [Google Scholar] [CrossRef]
  27. Hu, J.; Huang, Y.; Chen, Y.; Hu, Z.; Wu, J.; Wang, J. High-Sensitivity Multi-Channel Refractive-Index Sensor Based on a Graphene-Based Hybrid Tamm Plasmonic Structure. Opt. Mater. Express 2021, 11, 3833–3843. [Google Scholar] [CrossRef]
  28. Lin, Z.; Chen, S.; Lin, C. Sensitivity Improvement of a Surface Plasmon Resonance Sensor Based on Two-Dimensional Materials Hybrid Structure in Visible Region: A Theoretical Study. Sensors 2020, 20, 2445. [Google Scholar] [CrossRef] [PubMed]
  29. Bijalwan, A.; Singh, B.K.; Rastogi, V. Surface Plasmon Resonance-Based Sensors Using Nano-Ribbons of Graphene and WSe2. Plasmonics 2020, 15, 1015–1023. [Google Scholar] [CrossRef]
  30. Dey, B.; Islam, M.S.; Park, J. Numerical design of high-performance WS2/metal/WS2/graphene heterostructure based surface plasmon resonance refractive index sensor. Results Phys. 2021, 23, 104021. [Google Scholar] [CrossRef]
  31. Mostufa, S.; Akib, T.B.A.; Rana, M.M.; Mehedi, I.M.; Al-Saggaf, U.M.; Alsaggaf, A.U.; Alsaggaf, M.U.; Alam, M.S. Numerical approach to design the graphene-based multilayered surface plasmon resonance biosensor for the rapid detection of the novel coronavirus. Opt. Contin. 2022, 1, 494–515. [Google Scholar] [CrossRef]
  32. Rahman, M.M.; Abdulrazak, L.F.; Ahsan, M.; Based, M.A.; Rana, M.M.; Anower, M.S.; Rikta, K.A.; Haider, J.; Gurusamy, S. 2D Nanomaterial-Based Hybrid Structured (Au-WSe2-PtSe2-BP) Surface Plasmon Resonance (SPR) Sensor with Improved Performance. IEEE Access 2022, 10, 689–698. [Google Scholar] [CrossRef]
Figure 1. Schematic representation of the proposed biosensors against SARS-CoV-2, including the initial parameters at 633 nm for optimization. (a) Multilayer biosensor without WS2 layer and (b) Multilayer biosensor including WS2 layer.
Figure 1. Schematic representation of the proposed biosensors against SARS-CoV-2, including the initial parameters at 633 nm for optimization. (a) Multilayer biosensor without WS2 layer and (b) Multilayer biosensor including WS2 layer.
Micromachines 16 00128 g001
Figure 2. Analysis of the systems under consideration. (a) SPR curve as a function of the angle of incidence. Optimization metrics: (b) attenuation percentage, (c) FWHM, and (d) enhancement in sensitivity. Sys0 represents the baseline sensor with the initial parameters in water (Table S1), and the Sys1-Sys5 configurations are placed in PBS.
Figure 2. Analysis of the systems under consideration. (a) SPR curve as a function of the angle of incidence. Optimization metrics: (b) attenuation percentage, (c) FWHM, and (d) enhancement in sensitivity. Sys0 represents the baseline sensor with the initial parameters in water (Table S1), and the Sys1-Sys5 configurations are placed in PBS.
Micromachines 16 00128 g002
Figure 3. Silver optimization by increasing the layer thickness. SPR curve as a function of the angle of incidence for (a) Sys3 and (b) Sys5. Optimization metrics: (c) attenuation percentage, (d) FWHM, and (e) enhancement in sensitivity. AgSys3_base and AgSys5_base represent the baseline sensors in water (Table S1), and the Ag40 nm–Ag65 nm configurations are placed in PBS.
Figure 3. Silver optimization by increasing the layer thickness. SPR curve as a function of the angle of incidence for (a) Sys3 and (b) Sys5. Optimization metrics: (c) attenuation percentage, (d) FWHM, and (e) enhancement in sensitivity. AgSys3_base and AgSys5_base represent the baseline sensors in water (Table S1), and the Ag40 nm–Ag65 nm configurations are placed in PBS.
Micromachines 16 00128 g003
Figure 4. Silicon nitride optimization by increasing the layer thickness. SPR curve as a function of the angle of incidence for (a) Sys3 and (b) Sys5. Optimization metrics: (c) attenuation percentage, (d) FWHM, and (e) enhancement in sensitivity. Si3N4_Sys3_base and Si3N4_Sys5_base represent the baseline sensors in water (Table S1), and the Si3N4_5 nm–Si3N4_20 nm configurations are placed in PBS.
Figure 4. Silicon nitride optimization by increasing the layer thickness. SPR curve as a function of the angle of incidence for (a) Sys3 and (b) Sys5. Optimization metrics: (c) attenuation percentage, (d) FWHM, and (e) enhancement in sensitivity. Si3N4_Sys3_base and Si3N4_Sys5_base represent the baseline sensors in water (Table S1), and the Si3N4_5 nm–Si3N4_20 nm configurations are placed in PBS.
Micromachines 16 00128 g004
Figure 5. Tungsten Disulfide optimization by increasing the number of layers. (a) SPR curve as a function of the angle of incidence. Optimization metrics: (b) attenuation percentage, (c) FWHM, and (d) enhancement in sensitivity. L0_Sys5_base represents the baseline sensor in water (Table S1), and the L1–L6 configurations are placed in PBS.
Figure 5. Tungsten Disulfide optimization by increasing the number of layers. (a) SPR curve as a function of the angle of incidence. Optimization metrics: (b) attenuation percentage, (c) FWHM, and (d) enhancement in sensitivity. L0_Sys5_base represents the baseline sensor in water (Table S1), and the L1–L6 configurations are placed in PBS.
Micromachines 16 00128 g005
Figure 6. ssDNA optimization by increasing the layer thickness. SPR curve as a function of the angle of incidence for (a) Sys3 and (b) Sys5. Optimization metrics: (c) attenuation percentage, (d) FWHM, and (e) enhancement in sensitivity. ssDNA3.2 nm_Sys3_base and ssDNA3.2 nm_Sys5_base represent the baseline sensors in water (Table S1), and the ssDNA3.2 nm–ssDNA50 nm configurations are placed in PBS.
Figure 6. ssDNA optimization by increasing the layer thickness. SPR curve as a function of the angle of incidence for (a) Sys3 and (b) Sys5. Optimization metrics: (c) attenuation percentage, (d) FWHM, and (e) enhancement in sensitivity. ssDNA3.2 nm_Sys3_base and ssDNA3.2 nm_Sys5_base represent the baseline sensors in water (Table S1), and the ssDNA3.2 nm–ssDNA50 nm configurations are placed in PBS.
Micromachines 16 00128 g006
Figure 7. Detection analysis by increasing viral concentration. SPR curve as a function of the angle of incidence for (a) Sys3 and (b) Sys5. Optimization metrics: (c) attenuation percentage, (d) FWHM, and (e) enhancement in sensitivity. PBS@0.0_Sys3 and PBS@0.0_Sys5 represent the baseline optimized sensors in PBS, and the PBS@0.01 nM-PBS@100 nM configurations are placed in PBS+SARS-CoV-2.
Figure 7. Detection analysis by increasing viral concentration. SPR curve as a function of the angle of incidence for (a) Sys3 and (b) Sys5. Optimization metrics: (c) attenuation percentage, (d) FWHM, and (e) enhancement in sensitivity. PBS@0.0_Sys3 and PBS@0.0_Sys5 represent the baseline optimized sensors in PBS, and the PBS@0.01 nM-PBS@100 nM configurations are placed in PBS+SARS-CoV-2.
Micromachines 16 00128 g007
Figure 8. Performance metrics of the optimized biosensors Sys3 and Sys5: (a) angle variation, (b) sensitivity to refractive index change, (c) detection accuracy, and (d) quality factor.
Figure 8. Performance metrics of the optimized biosensors Sys3 and Sys5: (a) angle variation, (b) sensitivity to refractive index change, (c) detection accuracy, and (d) quality factor.
Micromachines 16 00128 g008
Figure 9. Performance metrics of the optimized biosensors Sys3 and Sys5: (a) figure of merit, (b) limit of detection, and (c) signal-to-noise ratio.
Figure 9. Performance metrics of the optimized biosensors Sys3 and Sys5: (a) figure of merit, (b) limit of detection, and (c) signal-to-noise ratio.
Micromachines 16 00128 g009
Table 1. Systems under configurations considering different stacking layer order.
Table 1. Systems under configurations considering different stacking layer order.
Sys No.CodeFull NameNotation
0Sys0Prism/Silver/Water mediumP/Ag/MH2O
1Sys1Prism/Silver/PBS mediumP/Ag/MPBS
2Sys2Prism/Silver/Si3N4/PBS mediumP/Ag/SN/MPBS
3Sys3Prism/Silver/Si3N4/ssDNA/PBS mediumP/Ag/SN/T/MPBS
4Sys4Prism/Silver/Si3N4/Tungsten Disulfide/PBS mediumP/Ag/SN/WS2/MPBS
5Sys5Prism/Silver/Si3N4/Tungsten Disulfide/ssDNA/PBS mediumP/Ag/SN/WS2/T/MPBS
Table 2. Performance metrics of optimized Sys3 and Sys5 configurations, including the angle variation, sensitivity, detection accuracy, and quality factor.
Table 2. Performance metrics of optimized Sys3 and Sys5 configurations, including the angle variation, sensitivity, detection accuracy, and quality factor.
Concentration (mM)RI: PBS + SARS-CoV-2 Δ θ S   ( ° / R I U ) DA (10−2)QF (RIU−1)
Sys3
0.011.33473066641136300.00.00.00.0
0.11.33473113852384320.158216.100.0486.87
1.01.33473585964864740.159215.620.3791.14
101.33478307089668750.169216.243.7393.35
501.33499289866575490.214216.2018.5992.94
1001.33551746808842360.33217.4748.9381.56
Sys5
0.011.33473066641136300.00.00.00.0
0.11.33473113852384320.22303.630.0245.84
1.01.33473585964864740.22303.50.2050.41
101.33478307089668750.24303.931.9448.46
501.33499289866575490.30304.169.6748.35
1501.33551746808842360.46305.3328.8548.08
Table 3. Performance metrics of optimized Sys3 and Sys5 configurations, including the figure of merit, limit of detection, and signal-to-noise ratio.
Table 3. Performance metrics of optimized Sys3 and Sys5 configurations, including the figure of merit, limit of detection, and signal-to-noise ratio.
Concentration (mM)RI: PBS + SARS-CoV-2FoM (RIU−1)LoD (10−5)SNR
Sys3
0.011.33473066641136300.00.00.0
0.11.3347311385238432571.242.310.06
1.01.3347358596486474569.62.320.06
101.3347830708966875567.632.310.07
501.3349928986657549551.712.310.08
1501.3355174680884236517.122.290.12
Sys5
0.011.33473066641136300.00.00.0
0.11.3347311385238432271.281.650.04
1.01.3347358596486474271.041.650.04
101.3347830708966875270.261.650.04
501.3349928986657549265.311.640.05
1501.3355174680884236253.601.640.07
Table 4. Comparison of the maximum sensing performance of the proposed SPR biosensors with recently reported configurations, including sensitivity, concentration range, and quality factor.
Table 4. Comparison of the maximum sensing performance of the proposed SPR biosensors with recently reported configurations, including sensitivity, concentration range, and quality factor.
Ref.ConfigurationSensitivity (°/RIU)Concentration TestingQF (RIU−1)
Lin et al., 2020 [28]Hybrid Structure with Graphene/MoS2/WSe2/WS2194------
Bijalwan et al., 2020 [29]Nanoribbons of Graphene and WSe2155.68---164.28
Dey et al., 2021 [30]WS2/Metal/WS2/Graphene208---223.66
Mostufa et al., 2022 [31]BK7/WS2/Au/BaTiO3/Graphene230.77------
Rahman et al., 2022 [32]Au-WS2-PtSe2-BP200---17.70
This work
  • Sys3
  • Sys5
  • 217.5 @ 100 nM
  • 305.3 @ 100 nM
0.01–100 (nM)
  • 93.4 @ 10 nM
  • 50.4 @ 1 nM
Disclaimer/Publisher’s Note: The statements, opinions and data contained in all publications are solely those of the individual author(s) and contributor(s) and not of MDPI and/or the editor(s). MDPI and/or the editor(s) disclaim responsibility for any injury to people or property resulting from any ideas, methods, instructions or products referred to in the content.

Share and Cite

MDPI and ACS Style

Tene, T.; Arias Arias, F.; Paredes-Páliz, K.I.; Cunachi Pillajo, A.M.; Flores Huilcapi, A.G.; Carrera Almendariz, L.S.; Bellucci, S. WS2/Si3N4-Based Biosensor for Low-Concentration Coronavirus Detection. Micromachines 2025, 16, 128. https://doi.org/10.3390/mi16020128

AMA Style

Tene T, Arias Arias F, Paredes-Páliz KI, Cunachi Pillajo AM, Flores Huilcapi AG, Carrera Almendariz LS, Bellucci S. WS2/Si3N4-Based Biosensor for Low-Concentration Coronavirus Detection. Micromachines. 2025; 16(2):128. https://doi.org/10.3390/mi16020128

Chicago/Turabian Style

Tene, Talia, Fabian Arias Arias, Karina I. Paredes-Páliz, Ana M. Cunachi Pillajo, Ana Gabriela Flores Huilcapi, Luis Santiago Carrera Almendariz, and Stefano Bellucci. 2025. "WS2/Si3N4-Based Biosensor for Low-Concentration Coronavirus Detection" Micromachines 16, no. 2: 128. https://doi.org/10.3390/mi16020128

APA Style

Tene, T., Arias Arias, F., Paredes-Páliz, K. I., Cunachi Pillajo, A. M., Flores Huilcapi, A. G., Carrera Almendariz, L. S., & Bellucci, S. (2025). WS2/Si3N4-Based Biosensor for Low-Concentration Coronavirus Detection. Micromachines, 16(2), 128. https://doi.org/10.3390/mi16020128

Note that from the first issue of 2016, this journal uses article numbers instead of page numbers. See further details here.

Article Metrics

Back to TopTop