Electrical Properties and Reliability of AlGaN/GaN High Electron Mobility Transistor under RF Overdrive Stress at High Temperature
Abstract
1. Introduction
2. Materials and Methods
3. Results
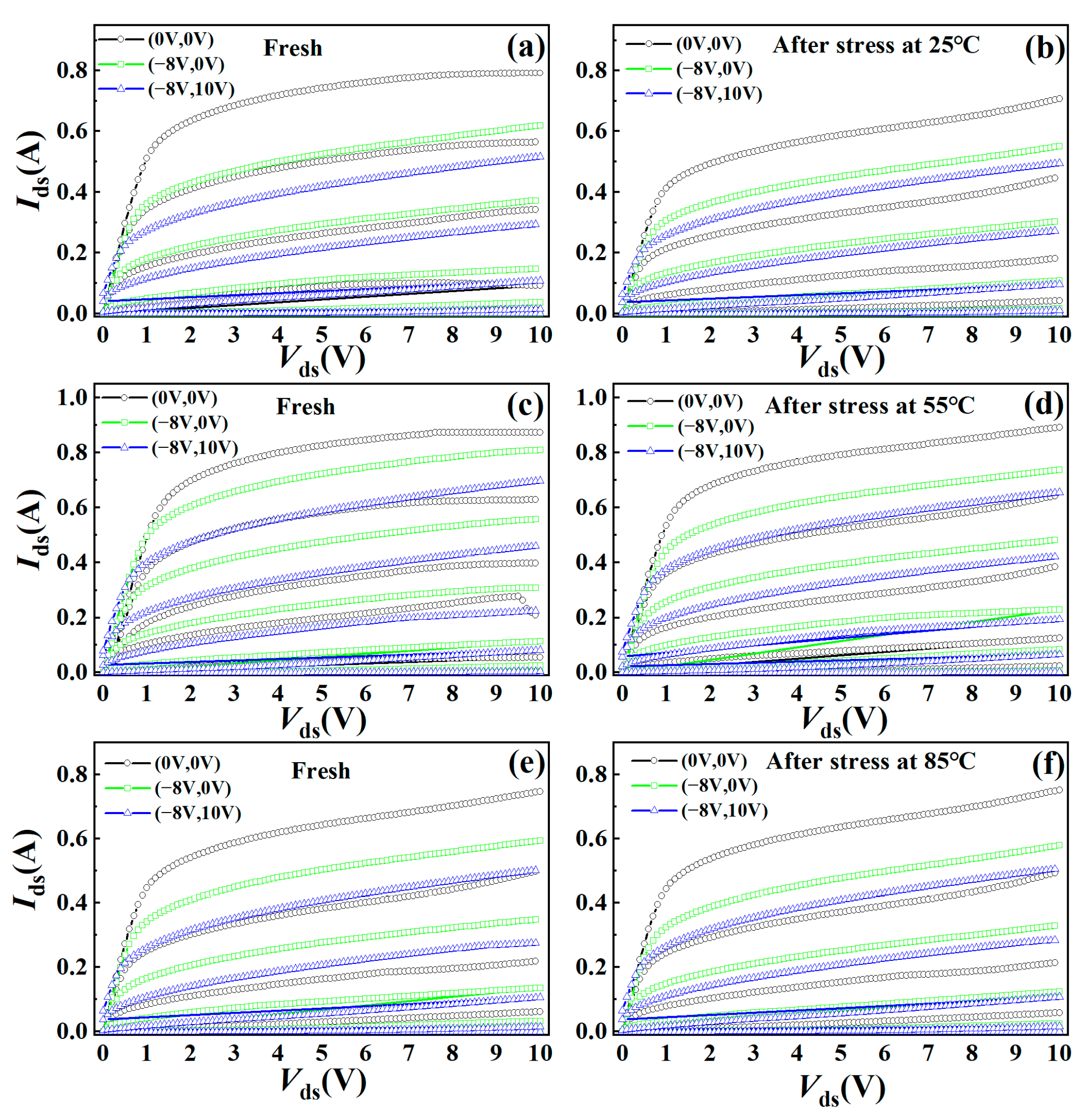
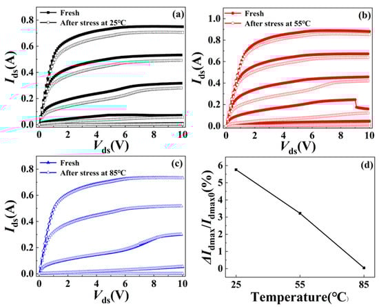
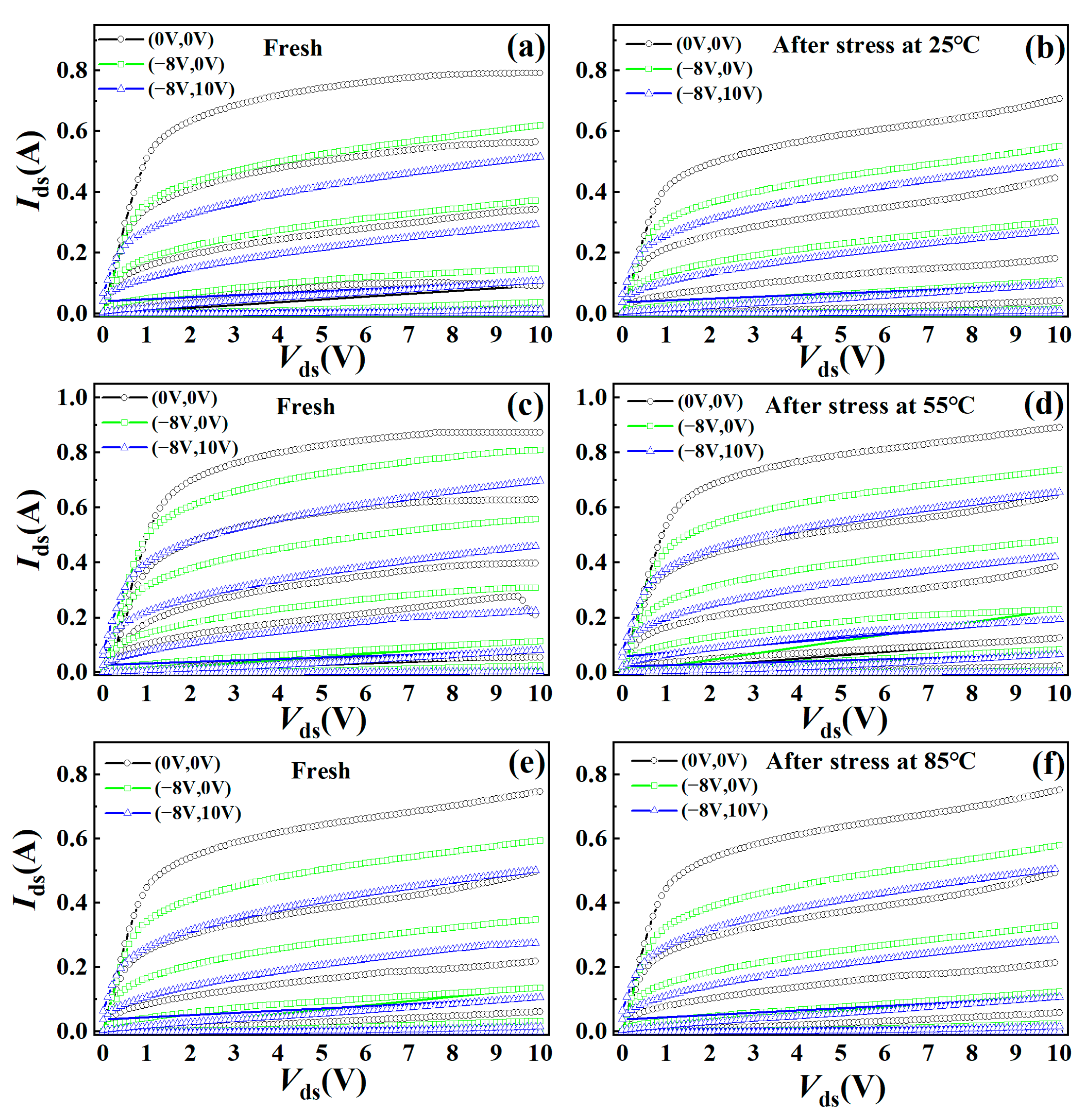
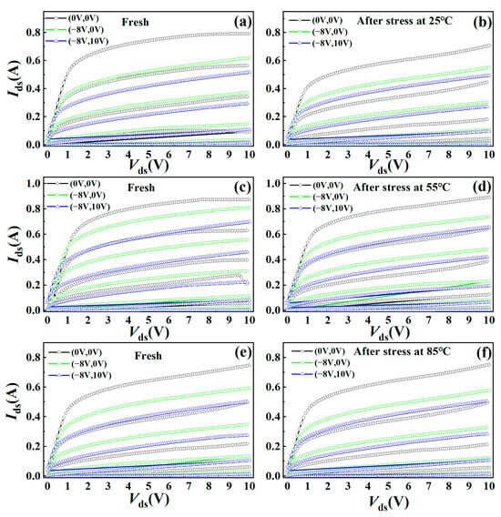
3.1. DC Characteristics
3.2. Pulse I–V Properties
3.3. Low-Frequency Noise
3.4. Electroluminescence Properties
4. Discussion
5. Conclusions
Author Contributions
Funding
Data Availability Statement
Conflicts of Interest
References
- Sodan, V.; Oprins, H.; Stoffels, S.; Baelmans, M.; Wolf, I.D. Influence of Field-Plate Configuration on Power Dissipation and Temperature Profiles in AlGaN/GaN on Silicon HEMTs. IEEE Trans. Electron Devices 2015, 62, 2416–2422. [Google Scholar] [CrossRef]
- Kuball, M.; Fapajna, M.; Simms, R.; Faqir, M.; Mishra, U.K. AlGaN/GaN HEMT device reliability and degradation evolution: Importance of diffusion processes. Microelectron. Reliab. 2011, 51, 195–200. [Google Scholar] [CrossRef]
- Jiang, R.; Shen, X.; Fang, J.; Wang, P.; Zhang, E.X.; Chen, J.; Fleetwood, D.M.; Schrimpf, R.D.; Kaun, S.W.; Kyle, E.C.H.; et al. Multiple Defects Cause Degradation After High Field Stress in AlGaN/GaN HEMTs. IEEE Trans. Device Mater. Reliab. 2018, 18, 364–376. [Google Scholar] [CrossRef]
- Ambacher, O.; Foutz, B.; Smart, J.; Shealy, J.R.; Weimann, N.G.; Chu, K.; Murphy, M.; Sierakowski, A.J.; Schaff, W.J.; Eastman, L.F.; et al. Two dimensional electron gases induced by spontaneous and piezoelectric polarization in undoped and doped AlGaN/GaN heterostructures. J. Appl. Phys. 2000, 87, 334–344. [Google Scholar] [CrossRef]
- Meneghesso, G.; Verzellesi, G.; Danesin, F.; Rampazzo, F.; Zanon, F.; Tazzoli, A.; Meneghini, M.; Zanoni, E. Reliability of GaN High-Electron-Mobility Transistors: State of the Art and Perspectives. IEEE Trans. Device Mater. Reliab. 2008, 8, 332–343. [Google Scholar] [CrossRef]
- Joh, J.; del Alamo, J.A. RF Power Degradation of GaN High Electron Mobility Transistors. In Proceedings of the 2010 International Electron Devices Meeting, San Francisco, CA, USA, 6–8 December 2010. [Google Scholar]
- Joh, J.; del Alamo, J.A.; Chowdhury, U.; Jimenez, J.L. Correlation between RF and DC reliability in GaN high electron mobility transistors. In Proceedings of the 2008 ROCS Workshop, Monterey, CA, USA, 12 October 2008. [Google Scholar]
- Valizadeh, P.; Pavlidis, D. Low frequency noise—Based monitoring of the effects of RF and DC stress on AlGaN/GaN MODFETs. In Proceedings of the Annual IEEE Symposium on Gallium Arsenide Integrated Circuit (GaAs IC), San Diego, CA, USA, 9–12 November 2003. [Google Scholar]
- Dammann, M.; Baeumler, M.; Gutle, F.; Casar, M.; Walcher, H.; Waltereit, P.; Bronner, W.; Muller, S.; Kiefer, R.; Quay, R.; et al. Reliability and degradation mechanism of 0.25 µm AlGaN/GaN HEMTs under RF stress conditions. In Proceedings of the IEEE International Integrated Reliability, South Lake Tahoe, CA, USA, 16–20 October 2011. [Google Scholar]
- Xie, Y.; Chen, R.S.; Liu, C.; Chen, Y.Q.; Ren, Y. Analysis of GaN HEMT Degradation under RF Overdrive Stress. In Proceedings of the 2021 IEEE Workshop on Wide Bandgap Power Devices and Applications in Asia (WiPDA Asia), Wuhan, China, 25–27 August 2021. [Google Scholar]
- Rao, H.P.; Bosman, G. Study of RF Reliability of GaN HEMTs Using Low-Frequency Noise Spectroscopy. IEEE Trans. Device Mater. Reliab. 2012, 12, 31–36. [Google Scholar] [CrossRef]
- Chini, A.; Di Lecce, V.; Fantini, F.; Meneghesso, G.; Zanoni, E. Analysis of GaN HEMT Failure Mechanisms During DC and Large-Signal RF Operation. IEEE Trans. Electron Devices 2012, 59, 1385–1392. [Google Scholar] [CrossRef]
- Goupy, J.-F.; Carton, P.; Dumka, D.C.; Lee, C.; Tserng, H.Q.; Saunier, P. RF reliability performance of AlGaN/GaN HEMTs on Si substrate at 10 GHz. Electron. Lett. 2004, 40, 1554–1556. [Google Scholar]
- Caesar, M.; Dammann, M.; Polyakov, V.; Waltereit, P.; Bronner, W.; Baeumler, M.; Quay, R.; Mikulla, M.; Ambacher, O. Generation of traps in AlGaN/GaN HEMTs during RF-and DC-stress test. In Proceedings of the IEEE International Reliability Physics Symposium (IRPS), Anaheim, CA, USA, 15–19 April 2012. [Google Scholar]
- Moultif, N.; Latry, O.; Joubert, E.; Ndiaye, M.; Moreau, C. Reliability Assessment of AlGaN/GaN HEMTs on the SiC Substrate Under the RF Stress. IEEE Trans. Power Electron. 2021, 36, 7442–7450. [Google Scholar] [CrossRef]
- Magnier, F.; Lambert, B.; Chang, C.; Curutchet, A.; Labat, N.; Malbert, N. Investigation of trap induced power drift on 0.15 μm GaN technology after aging tests. Microelectron. Reliab. 2019, 100–101, 113358. [Google Scholar] [CrossRef]
- Malbert, N.; Labat, N.; Curutchet, A.; Sury, C.; Hoel, V.; De Jaeguer, J.-C.; Defrance, N.; Douvry, Y.; Dua, C.; Oualli, M.; et al. Characterisation and modelling of parasitic effects and failure mechanisms in AlGaN/GaN HEMTs. Microelectron. Reliab. 2009, 49, 1216–1221. [Google Scholar] [CrossRef]
- Zeng, C.; Wang, Y.; Liao, X.; Li, R.; Chen, Y.; Lai, P.; Huang, Y.; En, Y. On the degradation kinetics and mechanism of AlGaN/GaN HEMTs under high temperature operation(HTO) stress. In Proceedings of the 2014 IEEE International Conference on Electron Devices and Solid-State Circuits, Chengdu, China, 18–20 June 2014. [Google Scholar]
- Chen, Q.; Chen, Y.Q.; Liu, C.; Geng, K.; He, Y.; Gao, R.; Huang, Y.; Yang, X. Degradation Behavior and Trap Analysis Based on Low-Frequency Noise of AlGaN/GaN HEMTs Subjected to Radio Frequency Overdrive Stress. IEEE Trans. Electron Devices 2021, 68, 66–71. [Google Scholar] [CrossRef]
- Ghibaudo, G.; Roux-dit-Buisson, O.; Nguyen-Duc, C.; Balestra, F.; Brini, J. Improved Analysis of Low Frequency Noise in Field-Effect MOS Transistors. Phys. Status Solidi (A) 1991, 124, 571–581. [Google Scholar] [CrossRef]
- Boutchacha, T.; Ghibaudo, G.; Belmekki, B. Study of low frequency noise in the 0.18 μm silicon CMOS transistors. In Proceedings of the International Conference on Microelectronic Test Structures, Goteborg, Sweden, 15–18 March 1999. [Google Scholar]
- Ioannidis, E.G.; Tsormpatzoglou, A.; Tassis, D.H.; Dimitriadis, C.A.; Templier, F.; Kamarinos, G. Characterization of traps in the gate dielectric of amorphous and nanocrystalline silicon thin-film transistors by 1/f noise. J. Appl. Phys. 2010, 108, 106103. [Google Scholar] [CrossRef]
- Chen, Y.Q.; Zhang, Y.C.; Liu, Y.; Liao, X.Y.; Huang, Y. Effect of Hydrogen on Defects of AlGaN/GaN HEMTs Characterized by Low-Frequency Noise. IEEE Trans. Electron Devices 2018, 65, 1321–1326. [Google Scholar] [CrossRef]
- Sitvestri, M.; Uren, M.J.; Killat, N.; Marcon, D.; Kuball, M. Localization of off-stress-induced damage in AlGaN/GaN high electron mobility transistors by means of low frequency 1/f noise measurements. Appl. Phys. Lett. 2013, 103, 043506. [Google Scholar] [CrossRef]
- Zhao, M.; Wang, X.H.; Liu, X.Y.; Huang, J.; Zheng, Y.K.; Wei, K. Thermal storage of AlGaN/GaN high-electron-mobility transistors. IEEE Trans. Device Mater. Reliab. 2010, 10, 360–365. [Google Scholar] [CrossRef]
- Lin, R.B.; Wang, X.J.; Feng, Q.; Wang, C.; Zhang, J.C.; Hao, Y. Study on mechanism of AIGaN/GaN high electron mobility transistors by high temperature Schottky annealing. Acta Phys. Sin. 2008, 57, 4487–4491. [Google Scholar]
- Zanoni, E.; Meneghesso, G.; Meneghini, M.; Stocco, A.; Dalcanale, S.; Rampazzo, F.; De Santi, C.; Rossetto, I. Reliability of Gallium Nitride microwave transistors. In Proceedings of the 21st International Conference on Microwave, Radar and Wireless Communications (MIKON), Krakow, Poland, 9–11 May 2016. [Google Scholar]
- Delagebeaudeuf, D.; Linh, N.T. Metal-(n) AlGaAs-GaAs two-dimensional electron gas FET. IEEE Trans. Electron Devices 1982, 29, 955–960. [Google Scholar] [CrossRef]
- Shah, P.B.; Batyrev, I.; Derenge, M.A.; Lee, U.; Nyguen, C.; Jones, K.A. Schottky metal-GaN interface KOH pretreatment for improved device performance. J. Vac. Sci. Technol. A Vac. Surf. Film. 2010, 28, 684–688. [Google Scholar] [CrossRef]
- Xue, H.; Qian, R.; Lu, W.; Gong, X.; Qin, L.; Zhong, Z.; An, Z.; Chen, L.; Lu, W. Direct observation of hot-electron-enhanced thermoelectric effects in silicon nanodevices. Nat. Commun. 2023, 14, 3731. [Google Scholar] [CrossRef] [PubMed]
- Valizadeh, P.; Pavlidis, D. Investigation of the Impact of Al Mole-Fraction on the Consequences of RF Stress on AlxGa1-xN/GaN MODFETs. IEEE Trans. Electron Devices 2005, 52, 1933–1939. [Google Scholar] [CrossRef]
- Liu, C.; Chen, Y.Q.; Liu, Y.; Lai, P.; He, Z.Y.; En, Y.F.; Huang, Y. Effect of Atmosphere on Electrical Characteristics of AlGaN/GaN HEMTs Under Hot-Electron Stress. IEEE Trans. Electron Devices 2021, 68, 1000–1005. [Google Scholar] [CrossRef]
- Vitobello, F.; Barnes, A.R. Long Duration High Temperature Storage Test on GaN HEMTs. In Proceedings of the 2012 IEEE International Reliability Physics Symposium (IRPS), Anaheim, CA, USA, 15–19 April 2012. [Google Scholar]
- Bisi, D.; Chini, A.; Soci, F.; Stocco, A.; Meneghini, M.; Pantellini, A.; Nanni, A.; Lanzieri, C.; Gamarra, P.; Lacam, C.; et al. Hot-Electron Degradation of AlGaN/GaN High-Electron Mobility Transistors During RF Operation: Correlation With GaN Buffer Design. IEEE Electron Device Lett. 2015, 36, 1011–1014. [Google Scholar] [CrossRef]
- Lee, C.; Witkowski, L.; Tserng, H.Q.; Saunier, P.; Birkhahn, R.; Olson, D.; Olson, D.; Munns, G.; Guo, S.; Albert, B. Effects of AlGaN∕GaN HEMT structure on RF reliability. Electron. Lett. 2005, 41, 155–157. [Google Scholar] [CrossRef]
- Vetury, R.; Shealy, J.B.; Green, D.; McKenna, J.; Brown, J.; Gibb, S.; Leverich, K.; Garber, P.; Poulton, M.J. Performance and RF Reliability of GaN-on-SiC HEMT’s using Dual-Gate Architectures. In Proceedings of the IEEE MTT-S International Microwave Symposium Digest, San Francisco, CA, USA, 11–16 June 2006. [Google Scholar]










| Temperature | Current Collapse Ratio (Reference Point: Vds = 10 V, Vgs = −1.75 V) | |||||
|---|---|---|---|---|---|---|
| (−8 V, 0 V) | (−8 V, 10 V) | |||||
| Fresh | After | Increment | Fresh | After | Increment | |
| 25 °C | 17.3% | 22.0% | 4.7% | 29.9% | 31.1% | 1.2% |
| 55 °C | 8.1% | 13.4% | 5.3% | 20.7% | 23.1% | 2.7% |
| 85 °C | 18.9% | 20.8% | 1.9% | 31.4% | 30.9% | −0.5% |
| Characteristics | 25 °C | 55 °C | 85 °C |
|---|---|---|---|
| Idmax | ↓↓ | ↓ | ≈ |
| Vth | ↑↑ | ↑ | ≈ |
| Gmmax | ↓↓ | ↓ | ≈ |
| Gate leakage current | ↓ | ↓ | ≈ |
| Current collapse ratio | ↑ | ↑ | ≈ |
| Nt | ↑ | ↑ | ↓ |
Disclaimer/Publisher’s Note: The statements, opinions and data contained in all publications are solely those of the individual author(s) and contributor(s) and not of MDPI and/or the editor(s). MDPI and/or the editor(s) disclaim responsibility for any injury to people or property resulting from any ideas, methods, instructions or products referred to in the content. |
© 2024 by the authors. Licensee MDPI, Basel, Switzerland. This article is an open access article distributed under the terms and conditions of the Creative Commons Attribution (CC BY) license (https://creativecommons.org/licenses/by/4.0/).
Share and Cite
Liu, C.; Chen, Y.; Xie, Y.; Liu, H.; Cai, Z. Electrical Properties and Reliability of AlGaN/GaN High Electron Mobility Transistor under RF Overdrive Stress at High Temperature. Micromachines 2024, 15, 1100. https://doi.org/10.3390/mi15091100
Liu C, Chen Y, Xie Y, Liu H, Cai Z. Electrical Properties and Reliability of AlGaN/GaN High Electron Mobility Transistor under RF Overdrive Stress at High Temperature. Micromachines. 2024; 15(9):1100. https://doi.org/10.3390/mi15091100
Chicago/Turabian StyleLiu, Chang, Yiqiang Chen, Yuhan Xie, Hongxia Liu, and Zongqi Cai. 2024. "Electrical Properties and Reliability of AlGaN/GaN High Electron Mobility Transistor under RF Overdrive Stress at High Temperature" Micromachines 15, no. 9: 1100. https://doi.org/10.3390/mi15091100
APA StyleLiu, C., Chen, Y., Xie, Y., Liu, H., & Cai, Z. (2024). Electrical Properties and Reliability of AlGaN/GaN High Electron Mobility Transistor under RF Overdrive Stress at High Temperature. Micromachines, 15(9), 1100. https://doi.org/10.3390/mi15091100

