MOSFET-Based Voltage Reference Circuits in the Last Decade: A Review
Abstract
1. Introduction
2. MOSFET-Based Voltage References: Principles of Operation
2.1. Bandgap-like Voltage References
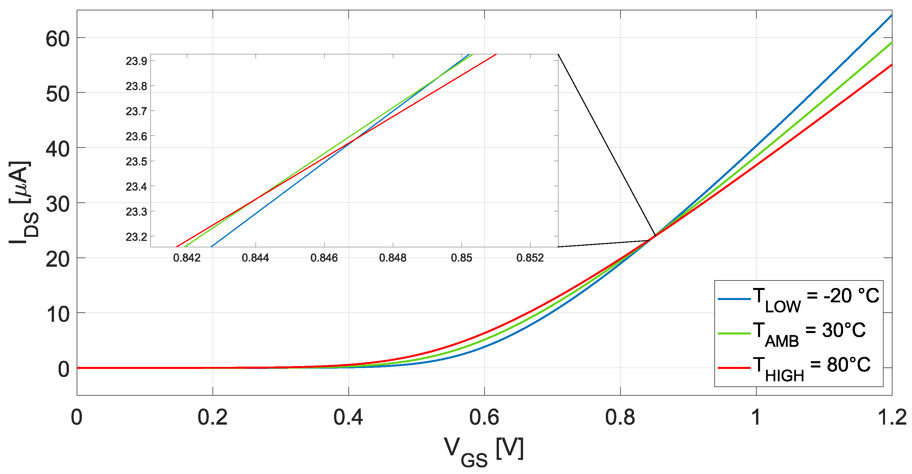
2.2. Threshold Voltage-Based Voltage References
3. MOSFET-Based Voltage References: State-of-the-Art
4. Conclusions
Author Contributions
Funding
Conflicts of Interest
References
- Dei, M.; Aymerich, J.; Piotto, M.; Bruschi, P.; del Campo, F.J.; Serra-Graells, F. CMOS Interfaces for Internet-of-Wearables Electrochemical Sensors: Trends and Challenges. Electronics 2019, 8, 150. [Google Scholar] [CrossRef]
- Colbach, L.; Jang, T.; Ji, Y. A 21.4 pW Subthreshold Voltage Reference with 0.020%/V Line Sensitivity Using DIBL Compensation. Sensors 2023, 23, 1862. [Google Scholar] [CrossRef] [PubMed]
- Huang, Y.; Luo, Y.; Zeng, Y. Picowatt Dual-Output Voltage Reference Based on Leakage Current Compensation and Diode-Connected Voltage Divider. Electronics 2024, 13, 3533. [Google Scholar] [CrossRef]
- Azimi, M.; Habibi, M.; Crovetti, P. A Two-Stage Sub-Threshold Voltage Reference Generator Using Body Bias Curvature Compensation for Improved Temperature Coefficient. Electronics 2024, 13, 1390. [Google Scholar] [CrossRef]
- Banba, H.; Shiga, H.; Umezawa, A.; Miyaba, T.; Tanzawa, T.; Atsumi, S.; Sakui, K. A CMOS bandgap reference circuit with sub-1-V operation. IEEE J. Solid-State Circuits 1999, 34, 670–674. [Google Scholar] [CrossRef]
- Basyurt, P.B.; Bonizzoni, E.; Aksin, D.Y.; Maloberti, F. A 0.4-V Supply Curvature-Corrected Reference Generator With 84.5-ppm/°C Average Temperature Coefficient Within –40 °C to 130 °C. IEEE Trans. Circuits Syst. II Express Briefs 2017, 64, 362–366. [Google Scholar] [CrossRef]
- Malcovati, P.; Maloberti, F.; Fiocchi, C.; Pruzzi, M. Curvature-compensated BiCMOS bandgap with 1-V supply voltage. IEEE J. Solid-State Circuits 2001, 36, 1076–1081. [Google Scholar] [CrossRef]
- Huang, W.; Liu, L.; Zhu, Z. A Sub-200nW All-in-One Bandgap Voltage and Current Reference Without Amplifiers. IEEE Trans. Circuits Syst. II Express Briefs 2021, 68, 121–125. [Google Scholar] [CrossRef]
- Chen, K.; Petruzzi, L.; Hulfachor, R.; Onabajo, M. A 1.16-V 5.8-to-13.5-ppm/°C Curvature-Compensated CMOS Bandgap Reference Circuit with a Shared Offset-Cancellation Method for Internal Amplifiers. IEEE J. Solid-State Circuits 2021, 56, 267–276. [Google Scholar] [CrossRef]
- Huang, S.; Li, M.; Li, H.; Yin, P.; Shu, Z.; Bermak, A.; Tang, F. A Sub-1 ppm/°C Bandgap Voltage Reference with High-Order Temperature Compensation in 0.18-μm CMOS Process. IEEE Trans. Circuits Syst. I Regul. Pap. 2022, 69, 1408–1416. [Google Scholar] [CrossRef]
- Bass, O.; Feldman, A.; Shor, J. A Resistor-Less nW-Level Bandgap Reference with Fine-Grained Voltage and Temperature Coefficient Trims. IEEE Open J. Circuits Syst. 2022, 3, 192–198. [Google Scholar] [CrossRef]
- U, C.W.; Law, M.K.; Martins, R.P.; Lam, C.S. Sub-μW Auto-Calibration Bandgap Voltage Reference with 1σ Inaccuracy of ±0.12% Within -40 °C to 120 °C. IEEE J. Solid-State Circuits 2024, 59, 540–550. [Google Scholar] [CrossRef]
- Tong, X.; Yang, A.; Dong, S. A 17.6-nW 35.7-ppm/°C Temperature Coefficient All-SVT-MOSFET Subthreshold Voltage Reference in Standard 0.18-μm N-Well CMOS. IEEE Access 2020, 8, 94043–94053. [Google Scholar] [CrossRef]
- Filanovsky, I.; Allam, A. Mutual compensation of mobility and threshold voltage temperature effects with applications in CMOS circuits. IEEE Trans. Circuits Syst. I Fundam. Theory Appl. 2001, 48, 876–884. [Google Scholar] [CrossRef]
- Jiang, J.; Shu, W.; Chang, J.S. A 5.6 ppm/°C Temperature Coefficient, 87-dB PSRR, Sub-1-V Voltage Reference in 65-nm CMOS Exploiting the Zero-Temperature-Coefficient Point. IEEE J. Solid-State Circuits 2017, 52, 623–633. [Google Scholar] [CrossRef]
- Wenger, Y.; Meinerzhagen, B. A ZTC-based 0.5V CMOS Voltage Reference. In Proceedings of the 2018 14th Conference on Ph.D. Research in Microelectronics and Electronics (PRIME), Prague, Czech Republic, 2–5 July 2018; pp. 17–20. [Google Scholar] [CrossRef]
- Wenger, Y.; Meinerzhagen, B. Low-Voltage Current and Voltage Reference Design Based on the MOSFET ZTC Effect. IEEE Trans. Circuits Syst. I Regul. Pap. 2019, 66, 3445–3456. [Google Scholar] [CrossRef]
- Enz, C.; Krummenacher, F.; Vittoz, E. An analytical MOS transistor model valid in all regions of operation and dedicated to low-voltage and low-current applications. Analog Integr. Circuits Signal Process. 1995, 8, 83–114. [Google Scholar] [CrossRef]
- Cunha, A.; Schneider, M.; Galup-Montoro, C. An MOS transistor model for analog circuit design. IEEE J. Solid-State Circuits 1998, 33, 1510–1519. [Google Scholar] [CrossRef]
- Luong, P.; Christoffersen, C.; Rossi-Aicardi, C.; Dualibe, C. Nanopower, Sub-1 V, CMOS Voltage References with Digitally-Trimmable Temperature Coefficients. IEEE Trans. Circuits Syst. I Regul. Pap. 2017, 64, 787–798. [Google Scholar] [CrossRef]
- de Oliveira, A.C.; Cordova, D.; Klimach, H.; Bampi, S. Picowatt, 0.45–0.6 V Self-Biased Subthreshold CMOS Voltage Reference. IEEE Trans. Circuits Syst. I Regul. Pap. 2017, 64, 3036–3046. [Google Scholar] [CrossRef]
- de Oliveira, A.C.; Cordova, D.; Klimach, H.; Bampi, S. A 0.12–0.4 V, Versatile 3-Transistor CMOS Voltage Reference for Ultra-Low Power Systems. IEEE Trans. Circuits Syst. I Regul. Pap. 2018, 65, 3790–3799. [Google Scholar] [CrossRef]
- Olivera, F.; da Silva, L.S.; Petraglia, A. A 120 mV Supply, Triode-Regulated Femto-Watt CMOS Voltage Reference Design. IEEE Trans. Circuits Syst. II Express Briefs 2021, 68, 587–591. [Google Scholar] [CrossRef]
- Seok, M.; Kim, G.; Blaauw, D.; Sylvester, D. A Portable 2-Transistor Picowatt Temperature-Compensated Voltage Reference Operating at 0.5 V. IEEE J. Solid-State Circuits 2012, 47, 2534–2545. [Google Scholar] [CrossRef]
- Chowdary, G.; Aashish, T.R.; Chatterjee, S. A 99% Current Efficient Three-Transistor Regulator with Built-In 80 ppm/°C Reference, for 0–10 mA Loads. IEEE Solid-State Circuits Lett. 2018, 1, 26–29. [Google Scholar] [CrossRef]
- Albano, D.; Crupi, F.; Cucchi, F.; Iannaccone, G. A Sub-kTq Voltage Reference Operating at 150 mV. IEEE Trans. Very Large Scale Integr. (VLSI) Syst. 2015, 23, 1547–1551. [Google Scholar] [CrossRef]
- Wang, H.; Mercier, P.P. A 420 fW self-regulated 3T voltage reference generator achieving 0.47%/V line regulation from 0.4-to-1.2 V. In Proceedings of the ESSCIRC 2017—43rd IEEE European Solid State Circuits Conference, Leuven, Belgium, 11–14 September 2017; pp. 15–18. [Google Scholar] [CrossRef]
- Wang, Y.; Zhu, Z.; Yao, J.; Yang, Y. A 0.45-V, 14.6-nW CMOS Subthreshold Voltage Reference with No Resistors and No BJTs. IEEE Trans. Circuits Syst. II Express Briefs 2015, 62, 621–625. [Google Scholar] [CrossRef]
- Zhu, Z.; Hu, J.; Wang, Y. A 0.45 V, Nano-Watt 0.033% Line Sensitivity MOSFET-Only Sub-Threshold Voltage Reference with no Amplifiers. IEEE Trans. Circuits Syst. I Regul. Pap. 2016, 63, 1370–1380. [Google Scholar] [CrossRef]
- Qiao, H.; Zhan, C.; Chen, Y. A –40 °C to 140 °C Picowatt CMOS Voltage Reference with 0.25-V Power Supply. IEEE Trans. Circuits Syst. II Express Briefs 2021, 68, 3118–3122. [Google Scholar] [CrossRef]
- Bhattacharjee, I.; Chowdary, G. A 0.3 nW, 0.093%/V Line Sensitivity, Temperature Compensated Bulk-Programmable Voltage Reference for Wireless Sensor Nodes. IEEE Trans. Very Large Scale Integr. (VLSI) Syst. 2022, 30, 1281–1293. [Google Scholar] [CrossRef]
- Tan, X.L.; Chan, P.K.; Dasgupta, U. A Sub-1-V 65-nm MOS Threshold Monitoring-Based Voltage Reference. IEEE Trans. Very Large Scale Integr. (VLSI) Syst. 2015, 23, 2317–2321. [Google Scholar] [CrossRef]
- Alhassan, N.; Zhou, Z.; Sánchez-Sinencio, E. An All-MOSFET Voltage Reference with -50-dB PSR at 80 MHz for Low-Power SoC Design. IEEE Trans. Circuits Syst. II Express Briefs 2017, 64, 892–896. [Google Scholar] [CrossRef]
- Alhasssan, N.; Zhou, Z.; Sánchez Sinencio, E. An All-MOSFET Sub-1-V Voltage Reference with a -51-dB PSR up to 60 MHz. IEEE Trans. Very Large Scale Integr. (VLSI) Syst. 2017, 25, 919–928. [Google Scholar] [CrossRef]
- Zhang, H.; Liu, X.; Zhang, J.; Zhang, H.; Li, J.; Zhang, R.; Chen, S.; Carusone, A.C. A Nano-Watt MOS-Only Voltage Reference with High-Slope PTAT Voltage Generators. IEEE Trans. Circuits Syst. II Express Briefs 2018, 65, 1–5. [Google Scholar] [CrossRef]
- Chatterjee, B.; Modak, N.; Amaravati, A.; Mistry, D.; Das, D.M.; Baghini, M.S. A Sub-1 V, 120 nW, PVT-Variation Tolerant, Tunable, and Scalable Voltage Reference with 60-dB PSNA. IEEE Trans. Nanotechnol. 2017, 16, 406–410. [Google Scholar] [CrossRef]
- Lee, I.; Sylvester, D.; Blaauw, D. A Subthreshold Voltage Reference with Scalable Output Voltage for Low-Power IoT Systems. IEEE J. Solid-State Circuits 2017, 52, 1443–1449. [Google Scholar] [CrossRef]
- Cordova, D.; Toledo, P.; Klimach, H.; Bampi, S.; Fabris, E. A High-PSR EMI-Resistant NMOS-Only Voltage Reference Using Zero- VT Active Loads. IEEE Trans. Electromagn. Compat. 2017, 59, 1347–1355. [Google Scholar] [CrossRef]
- Duan, J.; Zhu, Z.; Deng, J.; Xu, W.; Wei, B. A Novel 0.8-V 79-nW CMOS-Only Voltage Reference with -55-dB PSRR 100 Hz. IEEE Trans. Circuits Syst. II Express Briefs 2018, 65, 849–853. [Google Scholar] [CrossRef]
- Liu, Y.; Zhan, C.; Wang, L. An Ultralow Power Subthreshold CMOS Voltage Reference Without Requiring Resistors or BJTs. IEEE Trans. Very Large Scale Integr. (VLSI) Syst. 2018, 26, 201–205. [Google Scholar] [CrossRef]
- Liu, Y.; Zhan, C.; Wang, L.; Tang, J.; Wang, G. A 0.4-V Wide Temperature Range All-MOSFET Subthreshold Voltage Reference with 0.027%/V Line Sensitivity. IEEE Trans. Circuits Syst. II Express Briefs 2018, 65, 969–973. [Google Scholar] [CrossRef]
- Huang, C.; Zhan, C.; He, L.; Wang, L.; Nan, Y. A 0.6-V Minimum-Supply, 23.5 ppm/° Subthreshold CMOS Voltage Reference With 0.45% Variation Coefficient. IEEE Trans. Circuits Syst. II Express Briefs 2018, 65, 1290–1294. [Google Scholar] [CrossRef]
- Parisi, A.; Finocchiaro, A.; Papotto, G.; Palmisano, G. Nano-Power CMOS Voltage Reference for RF-Powered Systems. IEEE Trans. Circuits Syst. II Express Briefs 2018, 65, 1425–1429. [Google Scholar] [CrossRef]
- Huang, C.J.; Lai, Y.J.; Yang, Y.J.O.; Chen, H.W.; Kuo, C.C.; Chen, K.H.; Lin, Y.H.; Lin, S.R.; Tsai, T.Y. A 4.2 nW and 18 ppm/°C Temperature Coefficient Leakage-Based Square Root Compensation (LSRC) CMOS Voltage Reference. IEEE Trans. Circuits Syst. II Express Briefs 2019, 66, 728–732. [Google Scholar] [CrossRef]
- Lin, J.; Wang, L.; Zhan, C.; Lu, Y. A 1-nW Ultra-Low Voltage Subthreshold CMOS Voltage Reference with 0.0154%/V Line Sensitivity. IEEE Trans. Circuits Syst. II Express Briefs 2019, 66, 1653–1657. [Google Scholar] [CrossRef]
- Wang, L.; Zhan, C. A 0.7-V 28-nW CMOS Subthreshold Voltage and Current Reference in One Simple Circuit. IEEE Trans. Circuits Syst. I Regul. Pap. 2019, 66, 3457–3466. [Google Scholar] [CrossRef]
- Wang, H.; Mercier, P.P. A 763 pW 230 pJ/Conversion Fully Integrated CMOS Temperature-to-Digital Converter with +0.81 °C/–0.75 °C Inaccuracy. IEEE J. Solid-State Circuits 2019, 54, 2281–2290. [Google Scholar] [CrossRef]
- Olivera, F.; Petraglia, A. Adjustable Output CMOS Voltage Reference Design. IEEE Trans. Circuits Syst. II Express Briefs 2020, 67, 1690–1694. [Google Scholar] [CrossRef]
- Wang, Y.; Sun, Q.; Luo, H.; Wang, X.; Zhang, R.; Zhang, H. A 48 pW, 0.34 V, 0.019%/V Line Sensitivity Self-Biased Subthreshold Voltage Reference with DIBL Effect Compensation. IEEE Trans. Circuits Syst. I Regul. Pap. 2020, 67, 611–621. [Google Scholar] [CrossRef]
- Zhuang, H.; Liu, X.; Wang, H. Voltage Reference with Linear-Temperature-Dependent Power Consumption. IEEE Trans. Very Large Scale Integr. (VLSI) Syst. 2020, 28, 1043–1049. [Google Scholar] [CrossRef]
- Lin, J.; Wang, L.; Lu, Y.; Zhan, C. A Nano-Watt Dual-Output Subthreshold CMOS Voltage Reference. IEEE Open J. Circuits Syst. 2020, 1, 100–106. [Google Scholar] [CrossRef]
- Shao, C.Z.; Kuo, S.C.; Liao, Y.T. A 1.8-nW, –73.5-dB PSRR, 0.2-ms Startup Time, CMOS Voltage Reference with Self-Biased Feedback and Capacitively Coupled Schemes. IEEE J. Solid-State Circuits 2021, 56, 1795–1804. [Google Scholar] [CrossRef]
- Chen, Y.; Guo, J. A 42nA IQ, 1.5–6V VIN, Self-Regulated CMOS Voltage Reference with –93 dB PSR at 10 Hz for Energy Harvesting Systems. IEEE Trans. Circuits Syst. II Express Briefs 2021, 68, 2357–2361. [Google Scholar] [CrossRef]
- Fassio, L.; Lin, L.; De Rose, R.; Lanuzza, M.; Crupi, F.; Alioto, M. Trimming-Less Voltage Reference for Highly Uncertain Harvesting Down to 0.25 V, 5.4 pW. IEEE J. Solid-State Circuits 2021, 56, 3134–3144. [Google Scholar] [CrossRef]
- Yu, K.; Zhou, Y.; Li, S.; Huang, M. A 23-pW NMOS-Only Voltage Reference with Optimum Body Selection for Process Compensation. IEEE Trans. Circuits Syst. II Express Briefs 2022, 69, 4213–4217. [Google Scholar] [CrossRef]
- Mu, S.; Chan, P.K. Design of Precision-Aware Subthreshold-Based MOSFET Voltage Reference. Sensors 2022, 22, 9466. [Google Scholar] [CrossRef]
- Wang, J.; Sun, X.; Cheng, L. A Picowatt CMOS Voltage Reference Operating at 0.5-V Power Supply with Process and Temperature Compensation for Low-Power IoT Systems. IEEE Trans. Circuits Syst. II Express Briefs 2023, 70, 1336–1340. [Google Scholar] [CrossRef]
- Che, C.; Lei, K.M.; Martins, R.P.; Mak, P.I. A 0.4-V 8400-μm2 Voltage Reference in 65-nm CMOS Exploiting Well-Proximity Effect. IEEE Trans. Circuits Syst. II Express Briefs 2023, 70, 3822–3826. [Google Scholar] [CrossRef]
- Moisello, E.; Bonizzoni, E.; Malcovati, P. A 0.756-ppm/°C Time-Domain-Based Curvature-Compensated Bandgap Reference. In Proceedings of the 2023 IEEE International Symposium on Circuits and Systems (ISCAS), Monterey, CA, USA, 21–25 May 2023; pp. 1–5. [Google Scholar] [CrossRef]
- Wei, R.; Chen, C.; Wei, C.; Wang, R.; Huang, L.; Zhou, Q.; Hu, W. An Energy-Efficient Inverter-Based Voltage Reference Scheme with Wide Output Range Using Correlated Level Shifting Technique. Electronics 2023, 12, 5002. [Google Scholar] [CrossRef]
- Yu, K.; Chen, J.; Li, S.; Huang, M. A 0.011%/V LS and –76-dB PSRR Self-Biased CMOS Voltage Reference with Quasi Self-Cascode Current Mirror. IEEE Trans. Circuits Syst. II Express Briefs 2024, 71, 1052–1056. [Google Scholar] [CrossRef]
- Fan, H.; Fang, Z.; Li, Y.; Qian, Q.; Kang, X.; Chen, M.; Sun, W. A 3.38-ppm/°C Voltage Reference for Harsh Environment Applications Empowered by the In-Loop Resistance Trimming Technique. IEEE Trans. Circuits Syst. II Express Briefs 2024, 71, 2911–2915. [Google Scholar] [CrossRef]
- Yu, K.; Yang, S.; Li, S.; Huang, M. A 521pW, 0.016%/V Line Sensitivity Self-Biased CMOS Voltage Reference with DIBL Effect Compensation Using Adaptive VGS Control. IEEE Trans. Circuits Syst. II Express Briefs 2024, 71, 1754–1758. [Google Scholar] [CrossRef]
- Lin, I.F.; Tsai, Y.C.; Lin, H.L.; Liao, Y.T. An 18-nW CMOS Current and Voltage Reference Circuit With Low Line Sensitivity and Wide Temperature Range. IEEE Solid-State Circuits Lett. 2024, 7, 179–182. [Google Scholar] [CrossRef]
- Zhuang, H.; Li, Q. A 0.5-V Voltage Reference Using Simple Common-Source Amplifier With Improved Gain. IEEE Trans. Circuits Syst. II Express Briefs 2024, 71, 4723–4727. [Google Scholar] [CrossRef]
- Eum, H.; Makinwa, K.A.A.; Lee, I.; Chae, Y. A Sub-1-V Capacitively-Biased Voltage Reference with an Auto-Zeroed Buffer and a TC of 18-ppm/°C. IEEE Trans. Circuits Syst. II Express Briefs 2024, 1. [Google Scholar] [CrossRef]
- Venezia, C.; Ballo, A.; Grasso, A.D.; Rizzo, A.; Ribellino, C.; Pennisi, S. 46-nA High-PSR CMOS Buffered Voltage Reference With 1.2–5 V and -40 °C to 125 °C Operating Range. IEEE Trans. Very Large Scale Integr. (VLSI) Syst. 2024, 1–11. [Google Scholar] [CrossRef]








| Work | Year | Tech. | Ref. Type | Min. [V] | [mV] | Mean TC [ppm/°C] | Min. [nW] | Temp. Range [°C] | [%] | Area [mm2] | LS [%/V] | PSR (100 Hz) [dB] | Trim. |
|---|---|---|---|---|---|---|---|---|---|---|---|---|---|
| [26] | 2015 | 180 | VTH | 0.15 | 17.69 | 1462.4 | 0.0261 | 0 to 120 | 1.6 | 0.0012 | 2.03 | −64 | NA |
| [32] | 2015 | 65 | BG | 0.75 | 474 | 40 | 290 | −40 to 90 | 3.37 | 0.0198 | 0.2423 | −40 | NA |
| [28] | 2015 | 180 | VTH | 0.4 | 118.46 | 63.6 | 14.4 | −40 to 125 | 0.6 | 0.012 | NA | −44.2 | Yes |
| [6] | 2017 | 180 | BG | 0.4 | 212.4 | 84.5 | 192 | −40 to 130 | NA | 0.09 | 0.957 | −40 | NA |
| [29] | 2016 | 180 | VTH | 0.45 | 118.41 | 59.4 | 15.6 | −40 to 85 | 0.58 | 0.0132 | 0.033 | −50.3 | Yes |
| [33] | 2017 | 180 | VTH | 1.1 | 893 | 19 | 550 | −30 to 80 | 0.185 | 0.018 | 0.093 | −75 | Yes |
| [34] | 2017 | 180 | VTH | 0.8 | 489 | 6.5 | 360 | −30 to 110 | 0.5 | 0.018 | 0.076 | −75 | Yes |
| [15] | 2017 | 65 | Other | 0.8 | 428 | 5.6 | 13000 | −40 to 125 | 5.3 | 0.0104 | 0.1 | −87 | Yes |
| [20] | 2017 | 350 | VTH | 0.9 | 710 | 21 | 3 | −20 to 80 | 12.29 | 0.068 | 0.26 | NA | Yes |
| [35] | 2018 | 180 | Other | 1 | 756 | 74 | 23 | −40 to 125 | 0.95 | 0.01615 | 0.524 | −52 | Yes |
| [36] | 2017 | 180 | Other | 1.8 | 350.8 | 76 | 300 | 0 to 75 | 0.11 | 0.023 | 0.03 | NA | Yes |
| [37] | 2017 | 180 | VTH | 1.4 | 1.25 | 31 | 0.0336 | 0 to 100 | NA | 0.025 | 0.31 | −41 | Yes |
| [38] * | 2017 | 130 | VTH | 1.2 | 450 | 86 | 156 | −55 to 125 | 6.5 | 0.006 | NA | −89 | NA |
| [39] | 2017 | 180 | VTH | 0.8 | 328 | 33.8 | 79 | 10 to 100 | NA | 0.014 | 0.21 | −55 | NA |
| [27] | 2017 | 65 | VTH | 0.4 | 342.8 | 252.2 | 0.00042 | −40 to 60 | 4.9 | 0.000104 | 0.47 | NA | NA |
| [40] | 2018 | 180 | Other | 1.1 | 755 | 34 | 4.6 | −15 to 140 | 0.64 | 0.0598 | 0.28 | −9 | NA |
| [21] SBSCM | 2018 | 180 | VTH | 0.45 | 256.6 | 72.4 | 0.147 | 0 to 120 | NA | 0.002 | 0.15 | −43.9 | Yes |
| [21] SBNMOS | 2018 | 180 | VTH | 0.6 | 457.1 | 11.6 | 0.664 | 0 to 120 | NA | 0.0017 | 0.11 | −46.8 | Yes |
| [41] | 2018 | 180 | Other | 0.4 | 210 | 82 | 9.6 | −40 to 140 | 0.31 | 0.021 | 0.027 | −48 | NA |
| [42] | 2018 | 180 | Other | 0.6 | 218.3 | 23.5 | 30.5 | −40 to 125 | 0.45 | 0.075 | 0.4 | −47.5 | NA |
| [43] | 2018 | 130 | VTH | 1.1 | 800 | 100 | 27.5 | −40 to 85 | NA | 0.003 | 2 | NA | No |
| [22] 3T | 2018 | 130 | VTH | 0.3 | 26 | 208 | 0.04 | −25 to 125 | NA | 0.0006 | 0.188 | −67.3 | No |
| [22] 4T | 2018 | 130 | VTH | 0.4 | 27.2 | 159 | 0.0504 | −25 to 125 | NA | 0.0012 | 0.08 | −98 | No |
| [22] Sub- | 2018 | 130 | VTH | 0.12 | 8.42 | 1537 | 0.0000328 | 0 to 125 | NA | 0.0009 | 1.62 | −38.4 | No |
| [44] | 2019 | 40 | Other | 0.9 | 583 | 18 | 4.2 | −40 to 120 | 0.204 | 0.01 | 0.23 | −72 | Yes |
| [45] | 2019 | 180 | VTH | 0.4 | 151 | 89.83 [a] | 1 | −40 to 125 | 0.84 [a] | 0.005 | 0.163 (0.0154 [a]) | NA | NA |
| [17] A | 2019 | 130 | VTH | 0.45 | 355 | 126 | 1300 | −40 to 80 | 9.58 | 0.017 | 4.7 | −43 | NA |
| [17] B | 2019 | 130 | VTH | 0.45 | 315 | 212 | 1300 | −40 to 80 | 3.17 | 0.017 | 1.9 | −46 | NA |
| [46] | 2019 | 180 | Other | 0.7 | 368 | 43.1 | 28 | −40 to 125 | 0.35 | 0.055 | 0.027 | −43 | NA |
| [47] | 2019 | 65 | VTH | 0.5 | 210.1 | 123.7 | 0.0122 | 0 to 100 | 4.6 | 0.003256 | 0.3 | NA | No |
| [48] | 2020 | 180 | Other | 1.2 | 500 | NA | 6120 | 0 to 100 | NA | 0.073 | 0.28 | −42 | NA |
| [49] | 2020 | 180 | VTH | 0.34 | 147.9 | 14.8 | 0.048 | 0 to 100 | NA | 0.0332 | 0.019 | −65 | Yes |
| [50] | 2020 | 130 | VTH | 1 | NA | 18.4 | 0.02 | −25 to 85 | NA | 0.003 | 0.15 | −50 | Yes |
| [13] | 2020 | 180 | Other | 0.5 | 151.9 | 35.7 | 17.6 | −40 to 85 | NA | 0.0092 | 0.09 | −51.8 | No |
| [51] VREF1 | 2020 | 180 | VTH | 0.6 | 332 | 41.67 | 4.12 | −40 to 125 | 0.527 | 0.0108 | 0.0505 | NA | NA |
| [51] VREF2 | 2020 | 180 | VTH | 0.8 | 660 | 24.48 | 4.12 | −40 to 125 | 0.423 | 0.0108 | 0.114 | NA | NA |
| [52] | 2021 | 180 | VTH | 0.9 | 261 | 62 | 1.8 | −40 to 130 | 0.43 | 0.0059 | 0.013 | −73.5 | No |
| [23] * | 2021 | 180 | VTH | 0.12 | 65.7 | 89.81 | 0.000252 | −40 to 120 | 10.9 | 0.00007 | 0.22 | −61 | No |
| [53] | 2021 | 180 | Other | 1.5 | 985 | 60.86 | 63 | NA | NA | 0.015 | 0.003 | −80 | Yes |
| [54] | 2021 | 180 | VTH | 0.25 | 91.4 | 265 | 0.0054 | 0 to 120 | 0.56 | 0.0022 | 0.16 | −70 | NA |
| [30] | 2021 | 180 | VTH | 0.25 | 118.1 | 73.5 | 0.113 | −40 to 140 | 1.1 | 0.0009 | 0.3 | −65 | NA |
| [31] | 2022 | 180 | VTH | 0.6 | 350 | 72.17 | 0.306 | −40 to 80 | 0.58 | 0.022 | 0.093 | −39 | Yes |
| [55] VR1 | 2022 | 180 | VTH | 0.6 | 431 | 52 | 0.023 | 0 to 85 | 0.35 | 0.003 | 0.03 | −47 | No |
| [55] VR2 | 2022 | 180 | VTH | 0.8 | 620 | 153 | 0.24 | 0 to 85 | 0.9 | 0.003 | 0.033 | −44 | No |
| [56] * | 2022 | 40 | BG | 1.2 | 800 | 12.51 | 9600 | −40 to 90 | 0.75 | 0.028 | −71.69 | Yes | |
| [57] | 2023 | 180 | VTH | 0.5 | 288 | 90 | 0.5 | −10 to 100 | 0.574 | 0.0029 | 0.23 | NA | Yes |
| [58] | 2023 | 65 | VTH | 0.4 | 107.2 | 79.4 | 56.7 | −20 to 80 | NA | 0.0084 | 0.54 | −66.5 | Yes |
| [59] * | 2023 | 130 | BG | 1.8 | 993.6 | 0.756 | 3210 5730 [b] | −40 to 100 | 1.43 | 0.0767 0.1482 [b] | NA | NA | Yes |
| [2] * | 2023 | 180 | VTH | 0.6 | 307.8 | 24.8 | 0.0214 | −20 to 80 | NA | 0.003 | 0.02 | −54 | Yes |
| [60] * | 2023 | 180 | Other | 0.9 | 266 | 90.95 | 976 | −30 to 120 | NA | 0.701 | NA | NA | NA |
| [61] | 2024 | 180 | VTH | 0.8 | 293.5 | 66.1 | 1.95 | −40 to 85 | NA | 0.004 | 0.011 | −53 | NA |
| [62] * | 2024 | 180 BCD | Other | 0.85 | 508.3 | 3.38 | 33700 | −65 to 225 | NA | 0.00676 | NA | NA | NA |
| [63] | 2024 | 180 | VTH | 0.6 | 317.6 | 86.6 | 0.52 | 0 to 100 | NA | 0.0016 | 0.016 | −61.1 | NA |
| [64] | 2024 | 180 | Other | 0.8 | 270 | 124 | 18.51 | −40 to 130 | 0.81 | 0.025 | 0.011 | −66 | NA |
| [65] * | 2024 | 180 | Other | 0.5 | 237.2 | 26.2 | 15 | −25 to 85 | NA | 0.072 | NA | NA | Yes |
| [66] | 2024 | 65 | Other | 0.7 | 204.1 | 18 | 8 | −40 to 85 | 0.78 | 0.00315 (only core) | NA | −75 | NA |
| [67] | 2024 | 160 BCD | Other | 1.2 | 390 | 200 | 53.52 | −40 to 125 | NA | 0.087 (only core) | 0.137 | −83 | NA |
| [4] * | 2024 | 180 | VTH | 0.5 | 195.5 | 26.7 | 0.0288 | 0 to 100 | NA | 0.00236 | 0.0017 | −50 | NA |
| [3] * | 2024 | 65 | VTH | 0.45 | 276 | 15.86 | 0.05383 | −10 to 155 | NA | 0.00348 | 0.077 | −56.3 | Yes |
Disclaimer/Publisher’s Note: The statements, opinions and data contained in all publications are solely those of the individual author(s) and contributor(s) and not of MDPI and/or the editor(s). MDPI and/or the editor(s) disclaim responsibility for any injury to people or property resulting from any ideas, methods, instructions or products referred to in the content. |
© 2024 by the authors. Licensee MDPI, Basel, Switzerland. This article is an open access article distributed under the terms and conditions of the Creative Commons Attribution (CC BY) license (https://creativecommons.org/licenses/by/4.0/).
Share and Cite
Moisello, E.; Bonizzoni, E.; Malcovati, P. MOSFET-Based Voltage Reference Circuits in the Last Decade: A Review. Micromachines 2024, 15, 1504. https://doi.org/10.3390/mi15121504
Moisello E, Bonizzoni E, Malcovati P. MOSFET-Based Voltage Reference Circuits in the Last Decade: A Review. Micromachines. 2024; 15(12):1504. https://doi.org/10.3390/mi15121504
Chicago/Turabian StyleMoisello, Elisabetta, Edoardo Bonizzoni, and Piero Malcovati. 2024. "MOSFET-Based Voltage Reference Circuits in the Last Decade: A Review" Micromachines 15, no. 12: 1504. https://doi.org/10.3390/mi15121504
APA StyleMoisello, E., Bonizzoni, E., & Malcovati, P. (2024). MOSFET-Based Voltage Reference Circuits in the Last Decade: A Review. Micromachines, 15(12), 1504. https://doi.org/10.3390/mi15121504

