Interaction between Electromechanical Fields and Carriers in a Multilayered Piezoelectric Semiconductor Beam
Abstract
:1. Introduction
2. One-Dimensional Equations for a Multilayered Piezoelectric Semiconductor Beam
3. Static Bending Analysis
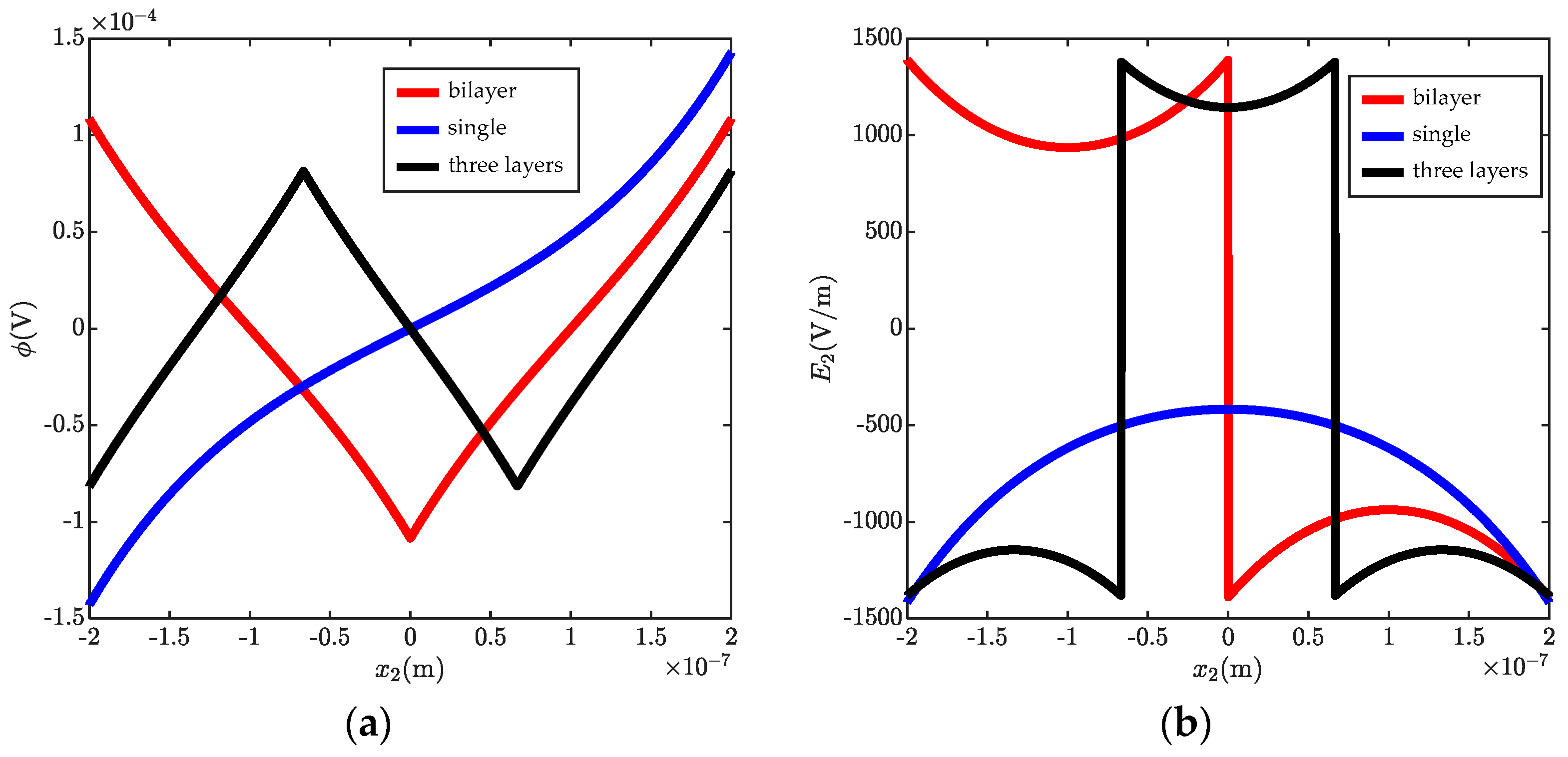
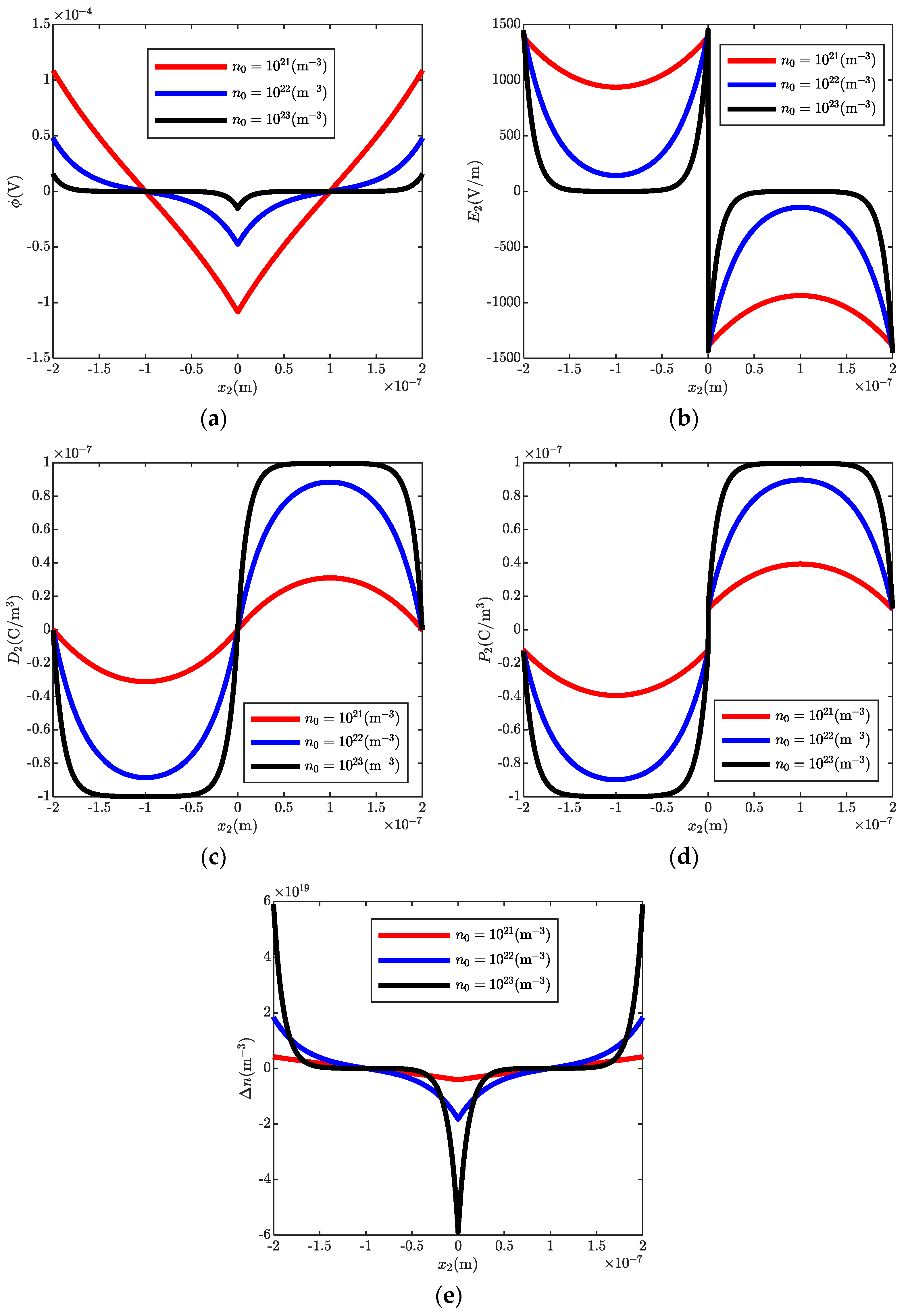
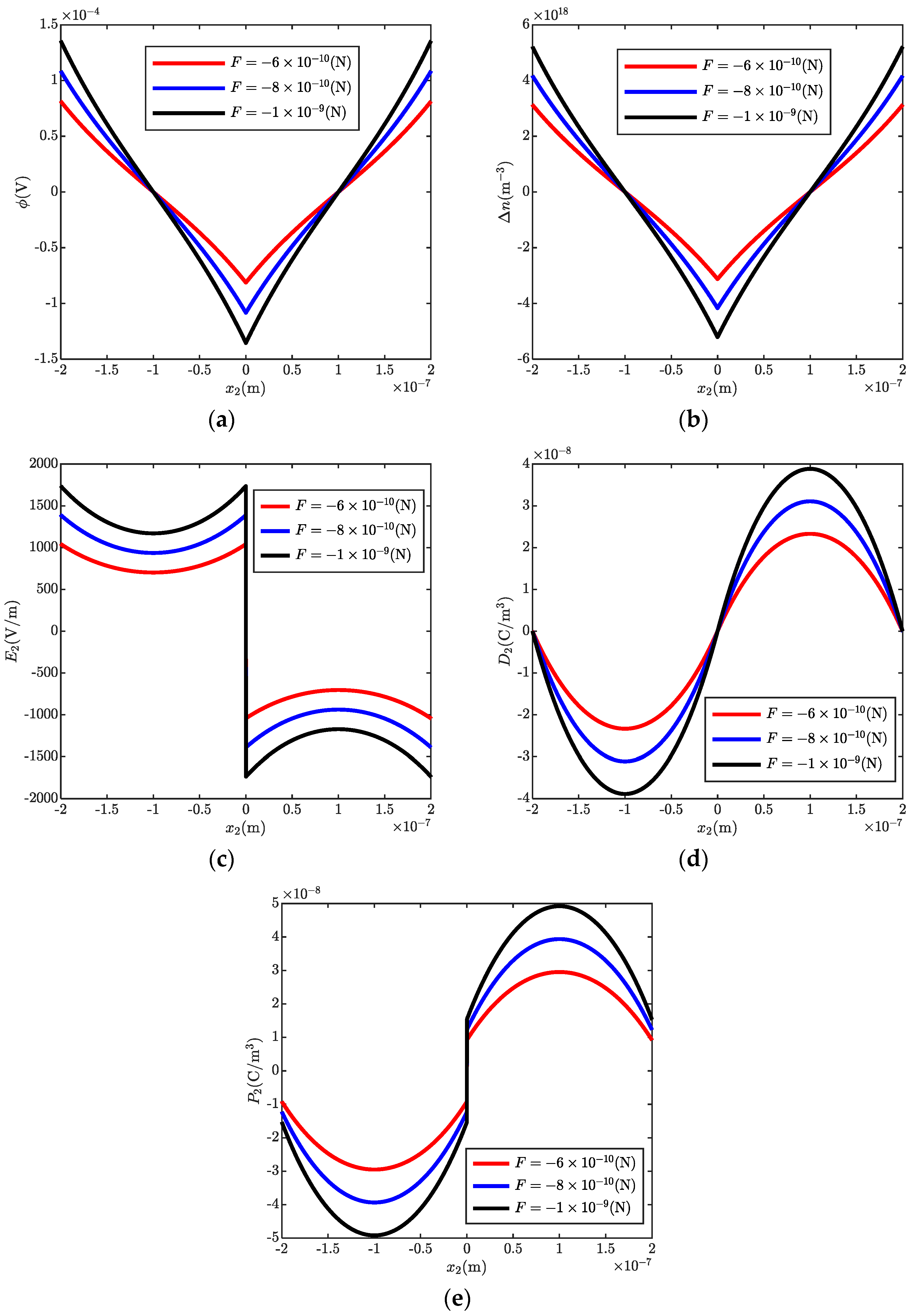
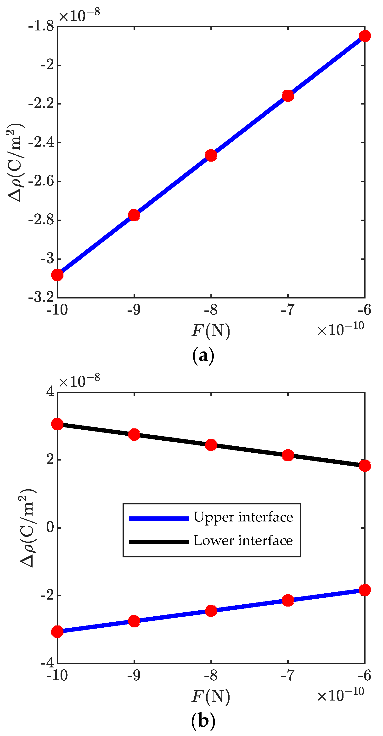
4. Numerical Results and Discussion
5. Conclusions
- (1)
- The typical characteristic of hetero-structures is shown in the present structure, with alternating opposite c-axis along the thickness direction such that polarized charges occur at the interface;
- (2)
- A series of potential barrier/well structures are obtained by the multi-layer beam configuration, which is of significance in tuning and designing the structure performance in terms of number of layers, doping concentrations, and magnitudes of end forces. In addition, these special potential configurations can forbid the passing of low-energy mobile charges;
- (3)
- The induced polarized charges effectively weaken the shielding effect of carrier redistribution. This means the phenomenon of electric leakage is improved;
- (4)
- The amount of the polarized charges is linearly related to the end forces;
- (5)
- Overall, the present study presents guidance for the research and development of new piezotronic devices such as nanogenerators, heterojunctions, transistors, etc.
Author Contributions
Funding
Conflicts of Interest
References
- Tiwari, B.; Babu, T.; Choudhary, R. Piezoelectric lead zirconate titanate as an energy material: A review study. Mater. Today Proc. 2021, 43, 407–412. [Google Scholar] [CrossRef]
- Sukumaran, S.; Chatbouri, S.; Rouxel, D.; Tisserand, E.; Thiebaud, F.; Zineb, T. Recent advances in flexible PVDF based piezoelectric polymer devices for energy harvesting applications. J. Intell. Mater. Syst. Struct. 2021, 32, 746–780. [Google Scholar] [CrossRef]
- Mariello, M.; Qualtieri, A.; Mele, G.; Vittorio, M. Metal-Free multilayer hybrid PENG based on soft electrospun/sprayed membranes with cardanol additive for harvesting energy from surgical face masks. ACS Appl. Mater. Interfaces 2021, 13, 20606–20621. [Google Scholar] [CrossRef] [PubMed]
- Mariello, M.; Guido, F.; Algieri, L.; Mastronardi, M.; Qualtieri, A.; Pisanello, F.; Vittorio, M. Microstructure and electrical properties of novel piezo-optrodes based on thin-film piezoelectric aluminium nitride for sensing. IEEE Trans. Nanotechnol. 2021, 20, 10–19. [Google Scholar] [CrossRef]
- Wang, Z. Piezotronics and Piezo-Phototronics; Science Press: Beijing, China, 2012. [Google Scholar]
- Zhu, G.; Yang, R.; Wang, S.; Wang, Z. Flexible high-output nanogenerator based on lateral ZnO nanowire array. Nano Lett. 2010, 10, 3151–3155. [Google Scholar] [CrossRef] [Green Version]
- Wang, L.; Wang, Z. Advances in piezotronic transistors and piezotronics. Nano Today 2021, 37, 101108. [Google Scholar] [CrossRef]
- Gao, Y.; Wang, Z. Electrostatic potential in a bent piezoelectric nanowire. The fundamental theory of nanogenerator and nanopiezotrionics. Nano Lett. 2007, 7, 2499–2505. [Google Scholar] [CrossRef]
- Falconi, C. Piezoelectric nanotransducers. Nano Energy 2019, 59, 730–744. [Google Scholar] [CrossRef]
- Zhang, Y.; Liu, Y.; Wang, Z. Fundamental theory of piezotronics. Adv. Mater. 2011, 23, 3004–3013. [Google Scholar] [CrossRef]
- Peng, Y.; Que, M.; Lee, H.; Bao, R.; Wang, X.; Lu, J.; Yuan, Z.; Li, X.; Tao, J.; Sun, J.; et al. Achieving high-resolution pressure mapping via flexible GaN/ZnO nanowire LEDs array by piezo-phototronic effect. Nano Energy 2019, 58, 633–640. [Google Scholar] [CrossRef]
- Jiang, C.; Jing, L.; Huang, X.; Liu, M.; Du, C.; Liu, T.; Pu, X.; Hu, W.; Wang, Z. Enhanced solar cell conversion efficiency of InGaN/GaN multiple quantum wells by piezo-phototronic effect. ACS Nano 2017, 11, 9405–9412. [Google Scholar] [CrossRef] [PubMed]
- Zhang, Y.; Yang, Y.; Wang, Z. Piezo-phototronics effect on nano/microwire solar cells. Energy Environ. Sci. 2012, 5, 6850–6856. [Google Scholar] [CrossRef]
- Wu, W.; Wang, Z. Piezotronic nanowire-based resistive switches as programmable electromechanical memories. Nano Lett. 2011, 11, 2779–2785. [Google Scholar] [CrossRef] [PubMed]
- Wang, Z. Nanobelts, nanowires, and nanodiskettes of semiconducting oxides-from materials to nanodevices. Adv. Mater. 2003, 15, 432–436. [Google Scholar] [CrossRef]
- Wang, Z. Piezopotential gated nanowire devices: Piezotronics and piezo-phototronics. Nano Today 2010, 5, 540–552. [Google Scholar] [CrossRef]
- Kumar, B.; Kim, S. Recent advances in power generation through piezoelectric nanogenerators. J. Mater. Chem. 2011, 21, 18946. [Google Scholar] [CrossRef]
- Fang, K.; Li, P.; Qian, Z. Static and dynamic analysis of a piezoelectric semiconductor cantilever under consideration of flexoelectricity and strain gradient elasticity. Acta Mech. Solida Sin. 2021, 34, 673–686. [Google Scholar] [CrossRef]
- Qu, Y.; Jin, F.; Yang, J. Bending of a flexoelectric semiconductor plate. Acta Mech. Solida Sin. 2022, 35, 434–445. [Google Scholar] [CrossRef]
- Sharma, J.; Sharma, K.; Kumar, A. Surface waves in a piezoelectric-semiconductor composite structure. Int. J. Solids Struct. 2010, 47, 816–826. [Google Scholar] [CrossRef] [Green Version]
- Othmani, C.; Takali, F.; Njeh, A. Modeling of phase velocity and frequency spectrum of guided Lamb waves in piezoelectric-semiconductor multilayered structures made of AlAs and GaAs. Superlattices Microstruct. 2017, 111, 396–404. [Google Scholar] [CrossRef]
- Othmani, C.; Takali, F.; Njeh, A.; Ghozlen, M. Study of the influence of semiconductor material parameters on acoustic wave propagation modes in GaSb/AlSb bi-layered structures by Legendre polynomial method. Phys. B Condens. Matter 2016, 496, 82–91. [Google Scholar] [CrossRef]
- Luo, Y.; Zhang, C.; Chen, W.; Yang, J. Piezopotential in a bended composite fiber made of a semiconductive core and of two piezoelectric layers with opposite polarities. Nano Energy 2018, 54, 341–348. [Google Scholar] [CrossRef]
- Cheng, R.; Zhang, C.; Chen, W.; Yang, J. Piezotronic effects in the extension of a composite fiber of piezoelectric dielectrics and nonpiezoelectric semiconductors. J. Appl. Phys. 2018, 124, 0645066. [Google Scholar] [CrossRef]
- Jiao, F.; Wei, P.; Zhou, Y.; Zhou, X. Wave propagation through a piezoelectric semiconductor slab sandwiched by two piezoelectric half-spaces. Eur. J. Mech. A/Solids 2019, 75, 70–81. [Google Scholar] [CrossRef]
- Tian, R.; Liu, J.; Pan, E.; Wang, Y. SH waves in multilayered piezoelectric semiconductor plates with imperfect interfaces. Eur. J. Mech. A/Solids 2020, 81, 103961. [Google Scholar] [CrossRef]
- Tian, R.; Nie, G.; Liu, J.; Pan, E.; Wang, Y. On Rayleigh waves in a piezoelectric semiconductor thin film over an elastic half-space. Int. J. Mech. Sci. 2021, 204, 106565. [Google Scholar] [CrossRef]
- Liang, C.; Zhang, C.; Chen, W.; Yang, J. Effects of magnetic fields on PN junctions in piezomagnetic–piezoelectric semiconductor composite fibers. Int. J. Appl. Mech. 2020, 12, 2050085. [Google Scholar] [CrossRef]
- Qu, Y.; Jin, F.; Yang, J. Effects of mechanical fields on mobile charges in a composite beam of flexoelectric dielectrics and semiconductors. J. Appl. Phys. 2020, 127, 194502. [Google Scholar] [CrossRef]
- Nafday, D.; Saha, T. Magnetism of an adatom on bilayer graphene and its control: A first-principles perspective. Phys. Rev. B 2013, 88, 205422. [Google Scholar] [CrossRef] [Green Version]
- Mccann, E.; Koshino, M. The electronic properties of bilayer graphene. Rep. Prog. Phys. 2013, 76, 056503. [Google Scholar] [CrossRef]
- Cheng, R.; Zhang, C.; Chen, W.; Yang, J. Temperature effects on PN junctions in piezoelectric semiconductor fibers with thermoelastic and pyroelectric couplings. J. Electron. Mater. 2020, 49, 3140–3148. [Google Scholar] [CrossRef]
- Ren, C.; Wang, K.; Wang, B. Analysis of piezoelectric PN homojunction and heterojunction considering flexoelectric effect and strain gradient. J. Phys. D Appl. Phys. 2021, 54, 495102. [Google Scholar] [CrossRef]
- Yang, G.; Zhang, G.; Zhou, H.; Qi, Z. Synchrotron radiation assistant MOCVD deposition of ZnO films on Si substrate. Appl. Surf. Sci. 2009, 255, 7695–7699. [Google Scholar]
- Liang, Y.; Hu, Y. Effect of interaction among the three time scales on the propagation characteristics of coupled waves in a piezoelectric semiconductor rod. Nano Energy 2020, 68, 104345. [Google Scholar] [CrossRef]
- Dokmeci, M. A theory of high frequency vibrations of piezoelectric crystal bars. Int. J. Solids Struct. 1974, 10, 401–409. [Google Scholar] [CrossRef]
- Mindlin, R. Low frequency vibrations of elastic bars. Int. J. Solids Struct. 1976, 12, 27–49. [Google Scholar] [CrossRef]
- Chou, C.; Yang, J.; Hwang, Y.; Yang, H. Analysis on vibrating piezoelectric beam gyroscope. Int. J. Appl. Electromagn. Mater. 1991, 3, 227–241. [Google Scholar]
- Yang, J. Equations for the extension and flexure of a piezoelectric beam with rectangular cross section and applications. Int. J. Appl. Electromagn. Mater. 1998, 9, 409–420. [Google Scholar] [CrossRef]
- Yang, W.; Hu, Y.; Pan, E. Tuning electronic energy band in a piezoelectric semiconductor rod via mechanical loading. Nano Energy 2019, 66, 104147. [Google Scholar] [CrossRef]
- Zhang, C.; Wang, X.; Chen, W.; Yang, J. Bending of a cantilever piezoelectric semiconductor fiber under an end force. In Generalized Models and Non-classical Approaches in Complex Materials 2; Springer: Cham, Switzerland, 2018; Volume 90, pp. 261–278. [Google Scholar]
- Yang, J.; Zhou, H. Amplification of acoustic waves in piezoelectric semiconductor plates. Int. J. Sol. Struct. 2005, 42, 3171–3183. [Google Scholar] [CrossRef] [Green Version]
- Sze, S.; Kwok, K. Physics of Semiconductor Devices; John Wiley & Sons: Hoboken, NJ, USA, 2007. [Google Scholar]
- Fan, S.; Liang, Y.; Xie, J.; Hu, Y. Exact solutions to the electromechanical quantities inside a statically-bent circular ZnO nanowire by taking into account both the piezoelectric property and the semiconducting performance: Part I—Linearized analysis. Nano Energy 2017, 40, 82–87. [Google Scholar] [CrossRef]
- Liang, Y.; Fan, S.; Chen, X.; Hu, Y. Nonlinear effect of carrier drift on the performance of an n-type ZnO nanowire nanogenerator by coupling piezoelectric effect and semiconduction. Beilstein J. Nanotechnol. 2018, 9, 1917–1925. [Google Scholar] [CrossRef] [PubMed]
- Fan, S.; Hu, Y.; Yang, J. Stress-induced potential barriers and charge distributions in a piezoelectric semiconductor nanofiber. Appl. Math. Mech. 2019, 40, 591–600. [Google Scholar] [CrossRef]
- Lee, K.; Bae, J.; Kim, S.; Lee, J.; Yoon, G.; Gupta, M.; Kim, S.; Kim, H.; Park, J.; Kim, S. Depletion width engineering via surface modification for high performance semiconducting piezoelectric nanogenerators. Nano Energy 2014, 8, 165–173. [Google Scholar] [CrossRef]






Publisher’s Note: MDPI stays neutral with regard to jurisdictional claims in published maps and institutional affiliations. |
© 2022 by the authors. Licensee MDPI, Basel, Switzerland. This article is an open access article distributed under the terms and conditions of the Creative Commons Attribution (CC BY) license (https://creativecommons.org/licenses/by/4.0/).
Share and Cite
Hong, R.; Yang, W.; Wang, Y. Interaction between Electromechanical Fields and Carriers in a Multilayered Piezoelectric Semiconductor Beam. Micromachines 2022, 13, 857. https://doi.org/10.3390/mi13060857
Hong R, Yang W, Wang Y. Interaction between Electromechanical Fields and Carriers in a Multilayered Piezoelectric Semiconductor Beam. Micromachines. 2022; 13(6):857. https://doi.org/10.3390/mi13060857
Chicago/Turabian StyleHong, Renzhong, Wanli Yang, and Yunbo Wang. 2022. "Interaction between Electromechanical Fields and Carriers in a Multilayered Piezoelectric Semiconductor Beam" Micromachines 13, no. 6: 857. https://doi.org/10.3390/mi13060857
APA StyleHong, R., Yang, W., & Wang, Y. (2022). Interaction between Electromechanical Fields and Carriers in a Multilayered Piezoelectric Semiconductor Beam. Micromachines, 13(6), 857. https://doi.org/10.3390/mi13060857

