Application of an In Vitro Digestion Model for Wheat and Red Beetroot Bread to Assess the Bioaccessibility of Aflatoxin B1, Ochratoxin A and Zearalenone and Betalains
Abstract
1. Introduction
2. Results and Discussion
2.1. Fortification Levels of AFB1, OTA and ZEN Analysis
2.2. Bioaccessibility of OTA, AFB1 and ZEN in Studied Breads
2.2.1. Availability of AFB1, OTA and ZEN in Salival, Gastric and Intestinal Phase in Both Breads
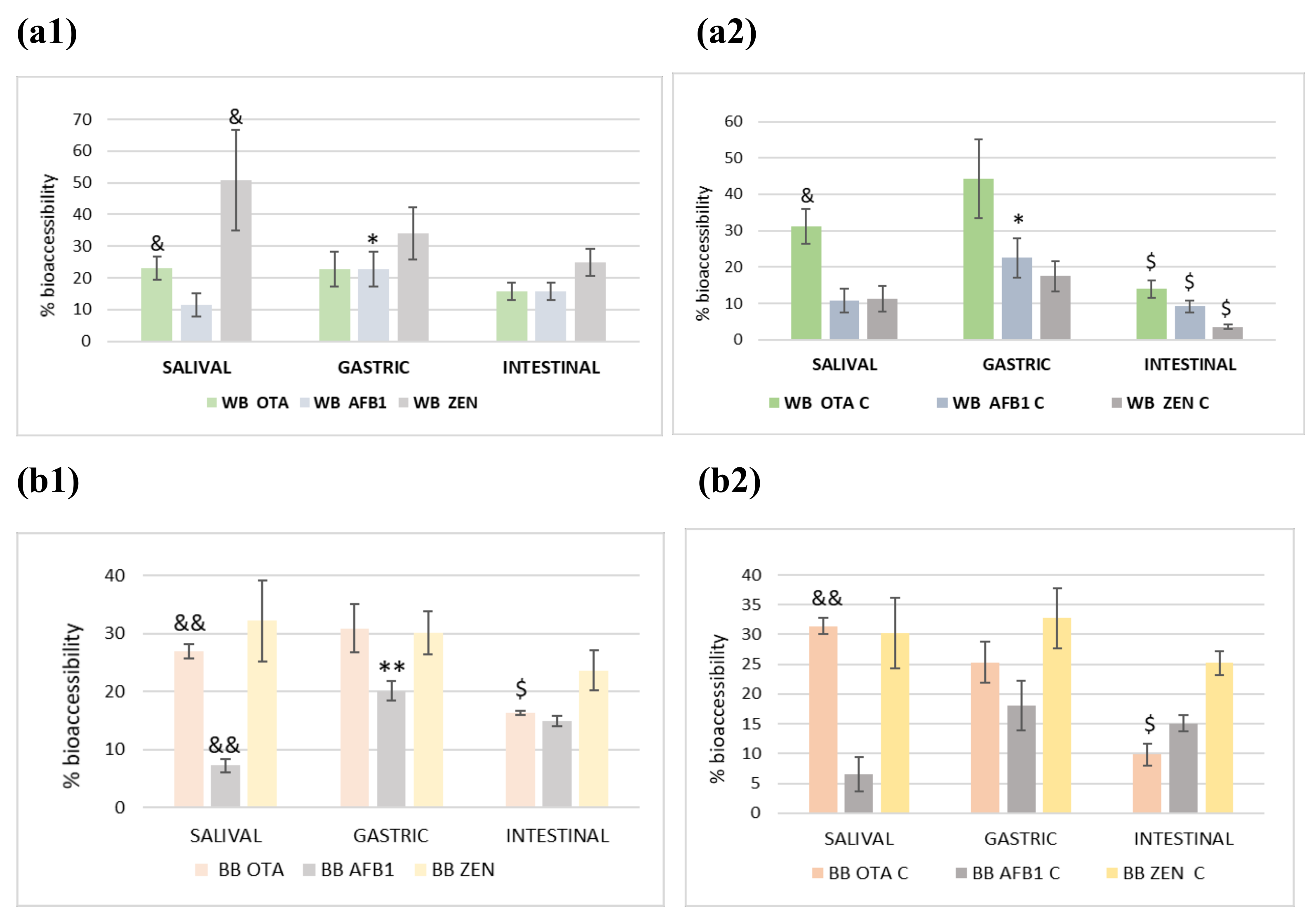
2.2.2. Bioaccessibility of AFB1, OTA and ZEN in Both Breads
2.2.3. Bioaccessibility of Betalains in Both Breads
3. Conclusions
4. Materials and Methods
4.1. Chemicals, Reagents and Equipment
4.2. Bread Preparation
4.3. In vitro Digestion Procedure
4.4. Sample Analysis
4.4.1. Extraction of AFB1, OTA and ZEN from Studied Bread
4.4.2. Extraction of AFB1, OTA and ZEN from the Simulated Physiological Fluids
4.4.3. Extraction of Betalains
4.4.4. Mycotoxin Analysis by LC–MS/MS
4.4.5. Betalains Analysis by LC-Q-TOF-MS
4.5. Statistical Analysis
Author Contributions
Funding
Institutional Review Board Statement
Informed Consent Statement
Data Availability Statement
Acknowledgments
Conflicts of Interest
References
- Castells, M.; Marin, S.; Sanchis, A.; Ramos, V.J. Distribution of fumonisins and aflatoxins in corn fractions during industrial cornflake processing. J. Food Microbiol. 2008, 123, 81–87. [Google Scholar] [CrossRef] [PubMed]
- EFSA. Effect on Dietary Exposure of an Increase in Total Aflatoxin Levels from 4 µg/kg to 10 µg/kg for Dried Figs; EFSA Supporting Publications, EFSA: Parma, Italy, 2012; Volume 9, p. EN-311. [Google Scholar]
- IARC. Some naturally occurring substances: Food items and constituents, heterocyclic aromatic amines and mycotoxins. In IARC Monographs on the Evaluation of the Carcinogenic Risk of Chemicals to Humans; World Health Organization: Geneva, Switzerland, 1993; Volume 56, p. 599. [Google Scholar]
- Beltrán, Y.; Ibánez, M.; Sancho, J.V.; Hernández, F. Determination of mycotoxins in different food commodities by ultra-high-pressure liquid chromatography coupled to triple quadrupole mass spectrometry. Rapid Commun. Mass Spectrom. 2009, 23, 1801–1809. [Google Scholar] [CrossRef] [PubMed]
- Copetti, M.; Iamanaka, T.; Pereira, J.L.; Lemes, D.; Nakano, F.; Taniwaki, M. Co-occurrence of ochratoxin-A and aflatoxins in chocolate marketed in Brazil. Food Control 2012, 26, 36–41. [Google Scholar] [CrossRef]
- European Commission. Regulation (EC) No 1881/2006 of 19 December 2006 setting maximum levels for certain contaminants in foodstuffs. Off. J. Eur. Union 2006, L364, 5. [Google Scholar]
- González-Arias, C.A.; Piquer-García, I.; Marín, S.; Sanchís, V.; Ramos, A.J. Bioaccessibility of ochratoxin A from red wine in an in vitro dynamic gastrointestinal model. World Mycotoxin J. 2014, 8, 107–112. [Google Scholar] [CrossRef]
- Versantvoort, C.H.M.; Van de Kamp, E.; Rompelberg, C.J.M. Development and Applicability of an in vitro Digestion Model in Assessing the Bioaccessibility of Contaminants from Food. RIVM Report 320102002/2004. 2004. Available online: http://www.rivm.nl/bibliotheek/rapporten/320102002.pdf (accessed on 27 July 2022).
- Fu, Y.; Shi, J.; Xie, S.-Y.; Zhang, T.-Y.; Soladoye, O.P.; Aluko, R.E. Red Beetroot Betalains: Perspectives on Extraction, Processing, and Potential Health Benefits. J. Agric. Food Chem. 2020, 68, 11595–11611. [Google Scholar] [CrossRef]
- Penalva-Olcina, R.; Juan, C.; Fernández-Franzón, M.; Juan-García, A. Effectiveness of beetroot extract in SH-SY5Y neuronal cell protection against Fumonisin B1, Ochratoxin A and its combination. Food Chem. Tox. 2022, 165, 113164. [Google Scholar] [CrossRef]
- Morrison, D.M.; Ledoux, D.R.; Chester, L.F.B.; Samuels, C.A.N. Occurrence of aflatoxins in rice and in cassava (Manihot esculenta) products (meal, bread) produced in Guyana. Mycotoxin Res. 2019, 35, 75–81. [Google Scholar] [CrossRef]
- Zinedine, A.; Mañes, J. Occurrence and legislation of mycotoxins in food and feed from Morocco. Food Control 2008, 20, 334–344. [Google Scholar] [CrossRef]
- Paíga, P.; Morais, S.; Oliva-Teles, T.; Correia, M.; Delerue-Matos, C.; Duarte, S.C.; Pena, A.; Matos Lino, C. Extraction of ochratoxin A in bread samples by the QuEChERS methodology. Food Chem. 2012, 135, 2522–2528. [Google Scholar] [CrossRef][Green Version]
- Paíga, P.; Morais, S.; Oliva-Teles, T.; Correia, M.; Delerue-Matos, C.; Sousa, A.M.M.; Gonçalves, M.P.; Duarte, S.C.; Pena, A.; Matos Lino, C. Determination of Ochratoxin A in Bread: Evaluation of Microwave-Assisted Extraction Using an Orthogonal Composite Design Coupled with Response Surface Methodology. Food Bioprocess Technol. 2013, 6, 2466–2477. [Google Scholar] [CrossRef][Green Version]
- Kulahi, A.; Kabak, B. A preliminary assessment of dietary exposure of ochratoxin A in Central Anatolia Region, Turkey. Mycotoxin Res. 2020, 36, 327–337. [Google Scholar] [CrossRef] [PubMed]
- Iqbal, S.Z.; Asi, M.R.; Jinap, S.; Rashid, U. Detection of aflatoxins and zearalenone contamination in wheat derived products. Food Control 2014, 35, 223–226. [Google Scholar] [CrossRef]
- Vidal, A.; Morales, H.; Sanchis, V.; Ramos, A.J.; Marín, S. Stability of DON and OTA during the breadmaking process and determination of process and performance criteria. Food Control 2014, 40, 234–242. [Google Scholar] [CrossRef]
- Keller Bol, E.; Araujo, L.; Fonseca Veras, F.; Welke, J.E. Estimated exposure to zearalenone, ochratoxin A and aflatoxin B1 through the consume of bakery products and pasta considering effects of food processing. Food Chem. Toxicol. 2016, 89, 85–91. [Google Scholar]
- Slatnar, A.; Stampar, F.; Veberic, R.; Jakopic, J. HPLC-MSn Identification of Betalain Profileof Different Beetroot (Beta vulgaris L.ssp. vulgaris) Parts and Cultivars. J. Food Sci. 2015, 80, C1952–C1958. [Google Scholar] [CrossRef]
- Sawicki, T.; Baczek, N.; Wiczkowski, W. Betalain profile, content and antioxidant capacity of red beetroot dependent on the genotype and root part. J. Funct. Foods 2016, 27, 249–261. [Google Scholar] [CrossRef]
- Sobral, M.M.C.; Gonçalves, T.; Martins, Z.E.; Bäuerl, C.; Cortés-Macías, E.; Collado, M.C.; Ferreira, I.M. Mycotoxin Interactions along the Gastrointestinal Tract: In Vitro Semi-Dynamic Digestion and Static Colonic Fermentation of a Contaminated Meal. Toxins 2022, 14, 28. [Google Scholar] [CrossRef]
- Sawicki, T.; Topolska, J.; Romaszko, E.; Wiczkowski, W. Profile and Content of Betalains in Plasma and Urine of Volunteers after Long-Term Exposure to Fermented Red Beet Juice. J. Agric. Food Chem. 2018, 66, 4155–4163. [Google Scholar] [CrossRef]
- Brodkorb, A.; Egger, L.; Alminger, M.; Alvito, P.; Assunção, R.; Ballance, S.; Bohn, T.; Bourlieu-Lacanal, C.; Boutrou, R.; Carrière, F.; et al. INFOGEST static in vitro simulation of gastrointestinal food digestion. Nat. Protoc. 2019, 14, 991–1014. [Google Scholar] [CrossRef]
- Llorens, P.; Pietrzak-Fie´cko, R.; Moltó, J.C.; Mañes, J.; Juan, C. Development of an Extraction Method of Aflatoxins and Ochratoxin A from Oral, Gastric and Intestinal Phases of Digested Bread by In Vitro Model. Toxins 2022, 14, 38. [Google Scholar] [CrossRef] [PubMed]
- Juan, C.; Covarelli, L.; Beccari, G.; Colasante, V.; Mañes, J. Simultaneous analysis of twenty-six mycotoxins in durum wheat grain from Italy. Food Control. 2016, 62, 322–329. [Google Scholar] [CrossRef]
- El Jai, A.; Juan, C.; Juan-García, A.; Mañes, J.; Zinedine, A. Multi-mycotoxin contamination of green tea infusion and dietary exposure assessment in Moroccan population. Food Res. Int. 2021, 140, 109958. [Google Scholar] [CrossRef] [PubMed]
- Juan, C.; Oueslati, S.; Mañes, J.; Berrada, H. Multimycotoxin Determination in Tunisian Farm Animal Feed. J. Food Sci. 2019, 84, 3885–3893. [Google Scholar] [CrossRef]
- Cai, Y.; Sun, M.; Corke, H. HPLC characterization of betalains from plants in the Amaranthaceae. J. Chromatogr. Sci. 2005, 43, 454–460. [Google Scholar] [CrossRef] [PubMed]
- Li, H.; Deng, Z.; Liu, R.; Zhu, H.; Draves, J.; Marcone, M.; Tsao, R. Characterization of phenolics, betacyanins and antioxidant activities of the seed, leaf, sprout, flower and stalk extracts of three Amaranthus species. J. Food Compos. Anal. 2015, 37, 75–81. [Google Scholar] [CrossRef]
- Deladino, L.; Alvarez, I.; De Ancos, B.; Sánchez-Moreno, C.; Molina-García, A.D.; Schneider Teixeira, A. Betalains and phenolic compounds of leaves and stems of Alternanthera brasiliana and Alternanthera tenella. Food Res. Int. 2017, 97, 240–249. [Google Scholar] [CrossRef]
- Rothwell, J.A.; Urpi-Sarda, M.; Boto-Ordonez, M.; Knox, C.; Llorach, R.; Eisner, R.; Manach, C. Phenol-Explorer 2.0: A major update of the Phenol-Explorer database integrating data on polyphenol metabolism and pharmacokinetics in humans and experimental animals. Database 2012, 2012, bas031. [Google Scholar] [CrossRef]





| Mycotoxin | Rt (min) | Quantitative Transition | Qualitative Transition | ||||
|---|---|---|---|---|---|---|---|
| Q1 (m/z) | Q3 (m/z) | CE (eV) | Q1 (m/z) | Q3 (m/z) | CE (eV) | ||
| AFB1 | 7.4 | 313 | 241 | 41 | 313 | 284 | 39 |
| OTA | 8.5 | 404 | 239 | 97 | 404 | 358 | 27 |
| ZEN | 8.5 | 319 | 301 | 10 | 319 | 282 | 10 |
| Betalains | Chemical Structure and Molecular Formula | RT (min) | Mass (Da) | ms/ms a [22] | Mass Error (ppm) | |
|---|---|---|---|---|---|---|
| Theorical | Observed | |||||
| Betanidin | ![]() C18H16N2O8 | 8.6 | 390.2552 | 390.2547 | 345 | 1.28 |
| Betanin | ![]() C24H26N2O13 | 9.9 | 552.3083 | 552.3077 | 389 | 1.08 |
| Vulgaxanthin-III | ![]() C13H15N3O7 | 7.3 | 328.2263 | 328.2258 | 277 | 1.52 |
Publisher’s Note: MDPI stays neutral with regard to jurisdictional claims in published maps and institutional affiliations. |
© 2022 by the authors. Licensee MDPI, Basel, Switzerland. This article is an open access article distributed under the terms and conditions of the Creative Commons Attribution (CC BY) license (https://creativecommons.org/licenses/by/4.0/).
Share and Cite
Llorens Castelló, P.; Juan-García, A.; Cortés, J.C.M.; Mañes Vinuesa, J.; Juan García, C. Application of an In Vitro Digestion Model for Wheat and Red Beetroot Bread to Assess the Bioaccessibility of Aflatoxin B1, Ochratoxin A and Zearalenone and Betalains. Toxins 2022, 14, 540. https://doi.org/10.3390/toxins14080540
Llorens Castelló P, Juan-García A, Cortés JCM, Mañes Vinuesa J, Juan García C. Application of an In Vitro Digestion Model for Wheat and Red Beetroot Bread to Assess the Bioaccessibility of Aflatoxin B1, Ochratoxin A and Zearalenone and Betalains. Toxins. 2022; 14(8):540. https://doi.org/10.3390/toxins14080540
Chicago/Turabian StyleLlorens Castelló, Paula, Ana Juan-García, Juan Carlos Moltó Cortés, Jordi Mañes Vinuesa, and Cristina Juan García. 2022. "Application of an In Vitro Digestion Model for Wheat and Red Beetroot Bread to Assess the Bioaccessibility of Aflatoxin B1, Ochratoxin A and Zearalenone and Betalains" Toxins 14, no. 8: 540. https://doi.org/10.3390/toxins14080540
APA StyleLlorens Castelló, P., Juan-García, A., Cortés, J. C. M., Mañes Vinuesa, J., & Juan García, C. (2022). Application of an In Vitro Digestion Model for Wheat and Red Beetroot Bread to Assess the Bioaccessibility of Aflatoxin B1, Ochratoxin A and Zearalenone and Betalains. Toxins, 14(8), 540. https://doi.org/10.3390/toxins14080540




