Effect of an Extract from Aronia melanocarpa L. Berries on the Body Status of Zinc and Copper under Chronic Exposure to Cadmium: An In Vivo Experimental Study
Abstract
1. Introduction
2. Materials and Methods
2.1. Chemicals
2.2. Experimental Animals
2.3. Experimental Protocol
2.4. Determination of Zn and Cu in Biological Fluids, Tissues, and Faeces
2.5. Estimation of the Bioavailability and Retention of Zn and Cu in the Body
2.6. Calculation of the Total Pool of Zn and Cu in Internal Organs
2.7. Determination of Cd in the Duodenum
2.8. Determination of MT Concentration in the Liver, Kidney, and Duodenum, as Well as Estimation of the Degree of Zn, Cu, and Cd Binding to This Protein
2.9. Statistical Analysis
3. Results
3.1. Daily Intake of Zn and Cu
3.2. Effect of AE on the Body Status of Zn under Exposure to Cd
3.2.1. Zn Apparent Absorption, Retention in the Body, and Its Faecal and Urinary Excretion
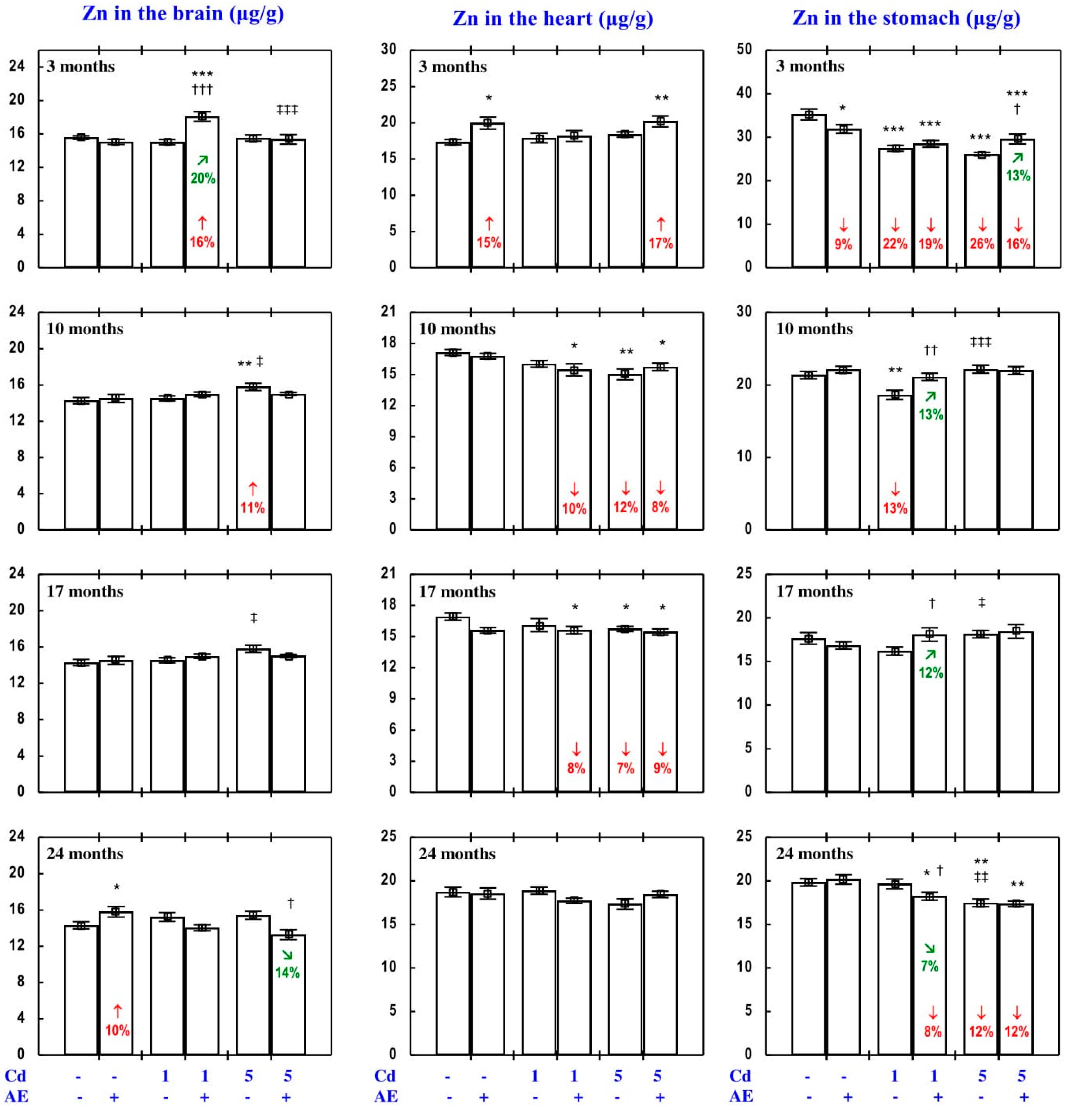
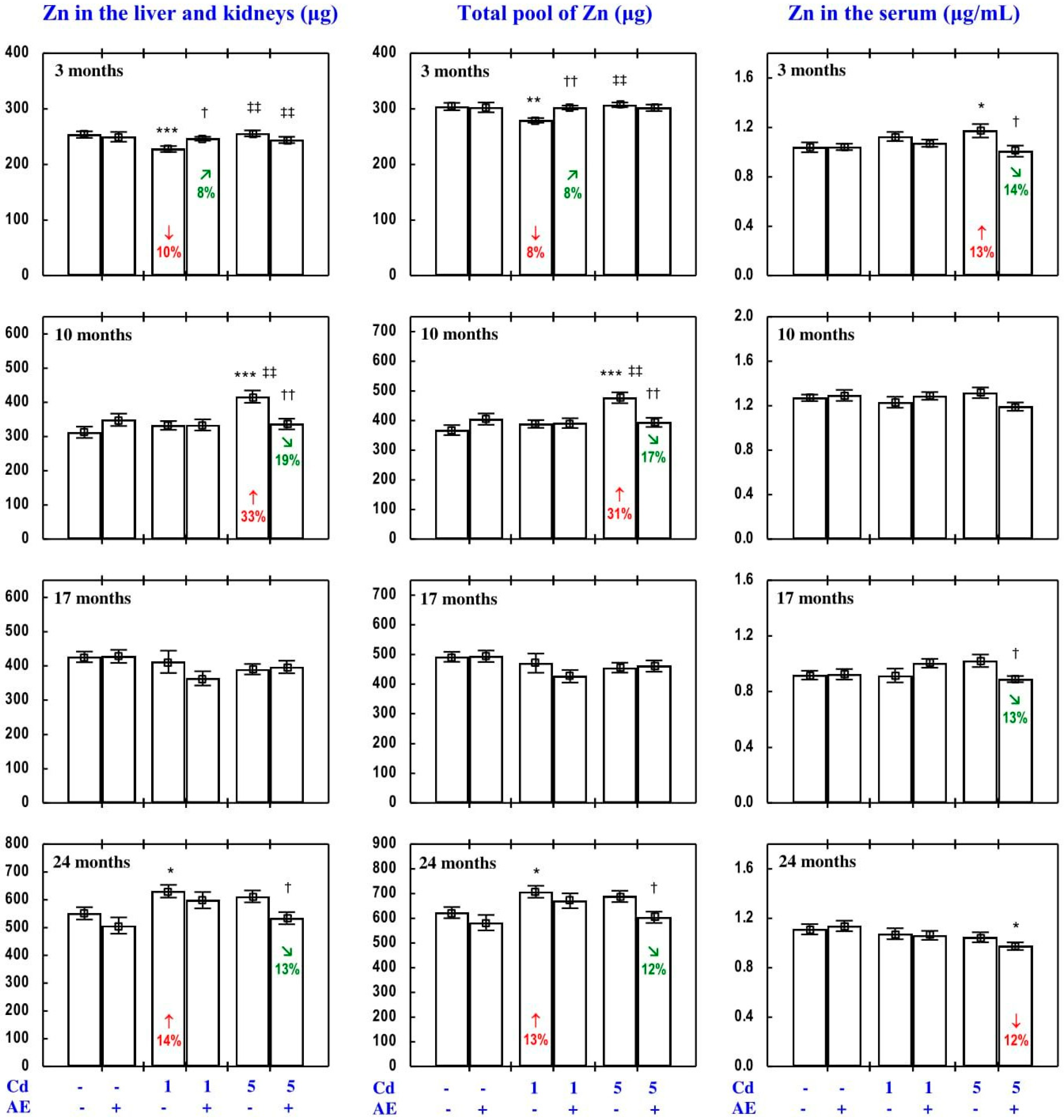
3.2.2. Zn Concentration in the Serum and Tissues
3.2.3. Zn Content in Internal Organs
3.3. Effect of AE on the Body Status of Cu under Exposure to Cd
3.3.1. Cu Apparent Absorption, Retention in the Body, and Its Faecal and Urinary Excretion
3.3.2. Cu Concentration in the Serum and Tissues
3.3.3. Cu Content in Internal Organs
3.4. Effect of AE on MT Concentration in the Liver, Kidney, and Duodenum, and the Degree of Zn, Cu, and Cd Binding to This Protein
3.4.1. MT Concentration
3.4.2. The Degree of Zn, Cu, and Cd Binding to MT
4. Discussion
5. Conclusions
Supplementary Materials
Acknowledgments
Author Contributions
Conflicts of Interest
Abbreviations
| AAS | atomic absorption spectrometry |
| AbsCu | apparent absorption of copper |
| AbsZn | apparent absorption of zinc |
| AE | extract from the berries of Aronia melanocarpa |
| A. melanocarpa | Aronia melanocarpa |
| Cd | cadmium |
| CdCl2 × 2½ H2O | cadmium chloride |
| Cd/(MT × 7) | the pool of metallothionein-unbound cadmium |
| Cu | copper |
| Cu/(MT × 12) | the pool of metallothionein-unbound copper |
| CV | coefficient of variation |
| F AAS | flame atomic absorption spectrometry |
| GF AAS | flameless atomic absorption spectrometry with electrothermal atomisation in a graphite furnace |
| FECu | faecal copper excretion |
| FEZn | faecal zinc excretion |
| HCl | hydrochloric acid |
| HNO3 | nitric acid |
| Me | metal (zinc, copper, or cadmium) |
| Me/Me-MT | the total pool of metallothionein-unbound metals |
| MT | metallothionein |
| NaCl | sodium chloride |
| RetCu | copper retention in the body |
| RetZn | zinc retention in the body |
| SD | standard deviation |
| SE | standard error |
| UECu | urinary copper excretion |
| UEZn | urinary zinc excretion |
| Zn | zinc |
| Zn/(MT × 7) | the pool of metallothionein-unbound zinc |
References
- Borowska, S.; Brzóska, M.M. Chokeberries (Aronia melanocarpa) and their products as a possible means for the prevention and treatment of noncommunicable diseases and unfavorable health effects due to exposure to xenobiotics. Compr. Rev. Food Sci. Food Saf. 2016, 15, 982–1017. [Google Scholar] [CrossRef]
- Grosso, G.; Stepaniak, U.; Micek, A.; Stefler, D.; Bobak, M.; Pająk, A. Dietary polyphenols are inversely associated with metabolic syndrome in Polish adults of the HAPIEE study. Eur. J. Nutr. 2017, 56, 1409–1420. [Google Scholar] [CrossRef] [PubMed]
- Grosso, G.; Stepaniak, U.; Micek, A.; Kozela, M.; Stefler, D.; Bobak, M.; Pająk, A. Dietary polyphenol intake and risk of hypertension in the Polish arm of the HAPIEE study. Eur. J. Nutr. 2017. [Google Scholar] [CrossRef] [PubMed]
- Vanzour, D.; Rodriguez-Mateos, A.; Corona, G.; Oruna-Concha, M.J.; Spencer, J.P.E. Polyphenols and human health: Prevention of disease and mechanisms of action. Nutrients 2010, 2, 1106–1131. [Google Scholar] [CrossRef] [PubMed]
- Brzóska, M.M.; Rogalska, J.; Gałażyn-Sidorczuk, M.; Jurczuk, M.; Roszczenko, A.; Tomczyk, M. Protective effect of Aronia melanocarpa polyphenols against cadmium-induced disorders in bone metabolism. A study in a rat model of lifetime human exposure to this heavy metal. Chem. Biol. Interact. 2015, 229, 132–146. [Google Scholar] [CrossRef] [PubMed]
- Borycka, B. Frakcje włókna pokarmowego z wytłoków aroniowych w relacjach z jonami Pb i Cd oraz Ca i Mg. ŻNTJ 2012, 6, 31–40. (In Polish) [Google Scholar]
- Brzóska, M.M.; Gałażyn-Sidorczuk, M.; Jurczuk, M.; Tomczyk, M. Protective effect of Aronia melanocarpa polyphenols on cadmium accumulation in the body: A study in a rat model of human exposure to this metal. Curr. Drug Targets 2015, 16, 1470–1487. [Google Scholar] [CrossRef] [PubMed]
- Brzóska, M.M.; Borowska, S.; Tomczyk, M. Antioxidants as a potential preventive and therapeutic strategy for cadmium. Curr. Drug Targets 2016, 17, 1350–1384. [Google Scholar] [CrossRef] [PubMed]
- Brzóska, M.M.; Rogalska, J.; Roszczenko, A.; Gałażyn-Sidorczuk, M.; Tomczyk, M. The mechanism of the osteoprotective action of a polyphenol-rich Aronia melanocarpa extract during chronic exposure to cadmium is mediated by the oxidative defense system. Planta Med. 2016, 82, 621–631. [Google Scholar] [CrossRef] [PubMed]
- Brzóska, M.M.; Roszczenko, A.; Rogalska, J.; Gałażyn-Sidorczuk, M.; Mężyńska, M. Protective effect of chokeberry (Aronia melanocarpa L.) extract against cadmium impact on the biomechanical properties of the femur: A study in a rat model of low and moderate lifetime women exposure to this heavy metal. Nutrients 2017, 9, 543. [Google Scholar] [CrossRef] [PubMed]
- Mężyńska, M.; Tomczyk, M.; Rogalska, J.; Piłat-Marcinkiewicz, B.; Gałazyn-Sidoczuk, M.; Brzóska, M.M. Protective impact of extract from Aronia melanocarpa berries against low-level exposure to cadmium-induced liver damage: A study in a rat model. Planta Med. 2016, 81. [Google Scholar] [CrossRef]
- Wang, H.; Li, D.; Hu, Z.; Zhao, S.; Zheng, Z.; Li, W. Protective effects of green tea polyphenol against renal injury through ROS-mediated JNK-MAPK pathway in lead exposed rats. Mol. Cells 2016, 39, 508–513. [Google Scholar] [CrossRef] [PubMed]
- Satarug, S.; Vesey, D.A.; Gobe, G.C. Health risk assessment of dietary cadmium intake: Do current guidelines indicate how much is safe? Environ. Health Perspect. 2017, 125, 284–288. [Google Scholar] [CrossRef] [PubMed]
- Satarug, S.; Baker, J.R.; Reilly, P.E.; Moore, M.R.; Williams, D.J. Cadmium levels in the lung, liver, kidney cortex and urine samples from Australians without occupational exposure to metals. Arch. Environ. Health 2002, 57, 69–77. [Google Scholar] [CrossRef] [PubMed]
- Satarug, S.; Baker, J.R.; Reilly, P.E.; Moore, M.R.; Williams, D.J. Changes in zinc and copper homeostasis in human livers and kidneys associated with exposure to environmental cadmium. Hum. Exp. Toxicol. 2001, 20, 205–213. [Google Scholar] [CrossRef] [PubMed]
- Choi, Y.H.; Hu, H.; Mukherjee, B.; Miller, J.; Park, S.K. Environmental cadmium and lead exposures and hearing loss in U.S. adults: The National Health and Nutrition Examination Survey, 1999 to 2004. Environ. Health Perspect. 2012, 120, 1544–1550. [Google Scholar] [CrossRef] [PubMed]
- Larsson, S.C.; Wolk, A. Urinary cadmium and mortality from all causes, cancer and cardiovascular disease in the general population: Systemic review and meta-analysis of cohort studies. Int. J. Epidemiol. 2016, 45, 782–791. [Google Scholar] [CrossRef] [PubMed]
- Swaddiwudhipong, W.; Nguntra, P.; Kaewnate, Y.; Mahasakpan, P.; Limpatanchote, P.; Aunjai, T.; Jeekeeree, W.; Punta, B.; Funkhiew, T.; Phopueng, I. Human health effects from cadmium exposure: Comparison between persons living in cadmium-contaminated and non-contaminated areas in northwestern Thailand. Southeast Asian J. Trop. Med. Public Health 2015, 46, 133–142. [Google Scholar] [PubMed]
- Wu, E.W.; Schaumberg, D.A.; Park, S.A. Environmental cadmium and lead exposures and age-related macular degeneration in U.S. adults: The National Health and Nutrition Examination Survey 2005 to 2008. Environ. Res. 2014, 133, 178–184. [Google Scholar] [CrossRef] [PubMed]
- Byber, K.; Lison, D.; Verougstraete, V.; Dressel, H.; Hotz, P. Cadmium or cadmium compounds and chronic kidney disease in workers and the general population: A systematic review. Crit. Rev. Toxicol. 2016, 46, 191–240. [Google Scholar] [CrossRef] [PubMed]
- Wallin, M.; Barregard, L.; Sallsten, G.; Lundh, T.; Karlsson, M.K.; Lorentzon, M.; Ohlsson, C.; Mellström, D. Low-level cadmium exposure is associated with decreased bone mineral density and increased risk of incident fractures in elderly men: The MrOS Sweden study. J. Bone Miner. Res. 2016, 31, 732–741. [Google Scholar] [CrossRef] [PubMed]
- Rogalska, J.; Piłat-Marcinkiewicz, B.; Brzóska, M.M. Protective effect of zinc against cadmium hepatotoxicity depends on this bioelement intake and level of cadmium exposure: A study in a rat model. Chem. Biol. Interact. 2011, 193, 191–203. [Google Scholar] [CrossRef] [PubMed]
- Rogalska, J.; Brzóska, M.M.; Roszczenko, A.; Moniuszko-Jakoniuk, J. Enhanced zinc consumption prevents cadmium-induced alterations in lipid metabolism in male rats. Chem. Biol. Interact. 2009, 177, 142–152. [Google Scholar] [CrossRef] [PubMed]
- Brzóska, M.M.; Rogalska, J.; Gałażyn-Sidorczuk, M.; Jurczuk, M.; Roszczenko, A.; Kulikowska-Karpińska, E.; Moniuszko-Jakoniuk, J. Effect of zinc supplementation on bone metabolism in male rats chronically exposed to cadmium. Toxicology 2007, 237, 89–103. [Google Scholar] [CrossRef] [PubMed]
- Gałażyn-Sidorczuk, M.; Brzóska, M.M.; Rogalska, J.; Roszczenko, A.; Jurczuk, M. Effect of zinc supplementation on glutathione peroxidase activity and selenium concentration in the serum, liver and kidney of rats chronically exposed to cadmium. J. Trace Elem. Med. Biol. 2012, 26, 46–52. [Google Scholar] [CrossRef] [PubMed]
- Brzóska, M.M.; Rogalska, J. Protective effect of zinc supplementation against cadmium-induced oxidative stress and the RANK/RANKL/OPG system imbalance in the bone tissue of rats. Toxicol. Appl. Pharmacol. 2013, 272, 208–220. [Google Scholar] [CrossRef] [PubMed]
- Brzóska, M.M.; Roszczenko, A.; Galażyn-Sidorczuk, M.; Majewska, K. Zinc supplementation can protect from enhanced risk of femoral neck fracture in male rats chronically exposed to cadmium. Exp. Toxicol. Pathol. 2011, 63, 491–498. [Google Scholar] [CrossRef] [PubMed]
- Fedenko, V.S.; Shemet, S.A.; Struzhko, V.S. Complexation of cyanidin with cadmium ions in solution. Ukrainian Biochem. J. 2005, 77, 104–109. [Google Scholar] [CrossRef]
- Kowalczyk, E.; Fijałkowski, P.; Kura, M.; Krzesiński, P.; Błaszczyk, J.; Kowalski, J.; Śmigielski, J.; Rutkowski, M.; Kopff, M. The influence of anthocyanins from Aronia melanocarpa on selected parameters of oxidative stress and microelements contents in men with hypercholesterolemia. Pol. Merkur. Lek. 2005, 19, 651–653, (In Polish with an English abstract). [Google Scholar]
- Mennen, L.I.; Walker, R.; Bennetau-Pelissero, C.; Scalbert, A. Risks and safety of polyphenol consumption. Am. J. Clin. Nutr. 2005, 81, S326–S329. [Google Scholar]
- Okoye, C.O.B.; Okon, E.E.; Ekere, N.R.; Ihedioha, J.N. Simultaneous UV-VIS spectrophotometric quantitative determinations of cyanidin complexes of Co, Zn, Cr, Cu, and Fe ions in mixed aqueous solutions. Int. J. Chem. Anal. Sci. 2012, 3, 1662–1664. [Google Scholar]
- Smyk, B.; Pliszka, B.; Drabent, R. Interaction between cyanidin 3-glucoside and Cu(II) ions. Food Chem. 2008, 107, 1616–1622. [Google Scholar] [CrossRef]
- Brzóska, M.M.; Moniuszko-Jakoniuk, J. Interactions between cadmium and zinc in the organism. Food Chem. Toxicol. 2001, 39, 967–980. [Google Scholar] [CrossRef]
- Bulat, Z.P.; Đukić-Ćosić, D.; Đukić, M.; Bulat, P.; Matović, V. Blood and urine cadmium and bioelements profile in nickel-cadmium battery workers in Serbia. Toxicol. Ind. Health 2009, 25, 129–135. [Google Scholar] [CrossRef] [PubMed]
- Matović, V.; Buha, A.; Bulat, Z.; Đukić-Ćosić, D. Cadmium toxicity revisited: Focus on oxidative stress induction and interactions with zinc and magnesium. Arh. Hig. Rada Toksikol. 2011, 62, 65–76. [Google Scholar] [CrossRef] [PubMed]
- Brzóska, M.M.; Moniuszko-Jakoniuk, J. Effect of chronic exposure to cadmium on the mineral status and mechanical properties of lumbar spine of male rats. Toxicol. Lett. 2005, 157, 161–172. [Google Scholar] [CrossRef] [PubMed]
- Hollis, L.; Hogstrand, C.; Wood, C.M. Tissue-specific cadmium accumulation, metallothionein induction, and tissue zinc and copper levels during chronic sublethal cadmium exposure in juvenile rainbow trout. Arch. Environ. Contam. Toxicol. 2001, 41, 468–474. [Google Scholar] [CrossRef] [PubMed]
- Brzóska, M.M.; Moniuszko-Jakoniuk, J.; Jurczuk, M.; Gałażyn-Sidorczuk, M. Cadmium turnover and changes of zinc and copper body status of rats continuously exposed to cadmium and ethanol. Alcohol Alcohol. 2002, 37, 213–221. [Google Scholar] [CrossRef] [PubMed]
- Moulis, J.M. Cellular mechanisms of cadmium toxicity related to the homeostasis of essential metals. Biometals 2010, 23, 877–896. [Google Scholar] [CrossRef] [PubMed]
- Terrin, G.; Canani, R.B.; Di Chiara, M.; Pietravalle, A.; Aleandri, V.; Conte, F.; De Curtis, M. Zinc in early life: A key element in the fetus and preterm neonate. Nutrients 2015, 7, 10427–10446. [Google Scholar] [CrossRef] [PubMed]
- De Romaña, D.L.; Olivares, M.; Uauy, R.; Araya, M. Risks and benefits of copper in light of new insights of copper homeostasis. J. Trace Elem. Med. Biol. 2011, 25, 3–13. [Google Scholar] [CrossRef] [PubMed]
- De Gier, B.; Mpabanzi, L.; Vereecken, K.; van der Werff, S.D.; D’Haese, P.C.; Fiorentino, M.; Khov, K.; Perignon, M.; Chamnan, C.; Berger, J.; et al. Height, zinc and soil-transmitted helminth infections in schoolchildren: A study in Cuba and Cambodia. Nutrients 2015, 7, 3000–3010. [Google Scholar] [CrossRef] [PubMed]
- Sreenivasulu, K.; Raghu, P.; Nair, K.M. Polyphenol-rich beverages enhance zinc uptake and metallothionein expression in Caco-2 cells. J. Food Sci. 2010, 75, H123–H128. [Google Scholar] [CrossRef] [PubMed]
- Chung, J.; Nartey, N.O.; Cherian, M.G. Metallothionein levels in liver and kidney of Canadians—A potential indicator of environmental exposure to Cd. Arch. Environ. Health 1986, 41, 319–323. [Google Scholar] [CrossRef] [PubMed]
- Bem, E.M.; Piotrowski, J.K.; Sobczak-Kozłowska, M.; Dmuchowski, C. Cadmium, zinc, copper and metallothionein levels in human liver. Int. Arch. Occup. Environ. Health 1988, 60, 413–417. [Google Scholar] [CrossRef] [PubMed]
- Lesjak, M.; Hoque, R.; Balesaria, S.; Skinner, V.; Debnam, E.S.; Srai, S.K.S.; Sharp, P.A. Quercetin inhibits intestinal iron absorption and ferroportin transporter expression in vivo and in vitro. PLoS ONE 2014, 9, e102900. [Google Scholar] [CrossRef] [PubMed]
- Noël, L.; Guérin, T.; Kolf-Clauw, M. Subchronic dietary exposure of rats to cadmium alters the metabolism of metals essential to bone health. Food Chem. Toxicol. 2004, 42, 1203–1210. [Google Scholar] [CrossRef] [PubMed]
- Kira, C.S.; Sakuma, A.M.; De Capitani, E.M.; de Freitas, C.U.; Cardoso, M.R.; Gouveia, N. Associated factors for higher lead and cadmium blood levels, and reference values derived from general population of São Paulo, Brazil. Sci. Total Environ. 2016, 543, 628–635. [Google Scholar] [CrossRef] [PubMed]
- Motawei, S.M.; Gouda, H.E. Screening of blood levels of mercury, cadmium, and copper in pregnant women in Dakahlia, Egypt: New attention to an old problem. Biol. Trace Elem. Res. 2016, 171, 308–314. [Google Scholar] [CrossRef] [PubMed]
- Vahter, M.; Åkesson, A.; Lidén, C.; Ceccatelli, S.; Berglund, M. Gender differences in the disposition and toxicity of metals. Environ. Res. 2007, 104, 85–95. [Google Scholar] [CrossRef] [PubMed]
- Brzóska, M.M.; Gałażyn-Sidorczuk, M.; Dzwilewska, I. Ethanol consumption modifies the body turnover of cadmium: A study in a rat model of human exposure. J. Appl. Toxicol. 2013, 33, 784–798. [Google Scholar] [CrossRef] [PubMed]
- Torra, M.; To-Figueras, J.; Rodamilans, M.; Brunet, M.; Corbella, J. Cadmium and zinc relationships in the liver and kidney of humans exposed to environmental cadmium. Sci. Total Environ. 1995, 170, 53–57. [Google Scholar] [CrossRef]
- Piasek, M.; Blanuša, M.; Kostial, K.; Laskey, J.W. Low iron diet and parenteral cadmium exposure in pregnant rats: The effects on trace elements and fetal viability. Biometals 2004, 17, 1–14. [Google Scholar] [CrossRef] [PubMed]
- Brzóska, M.M.; Majewska, K.; Moniuszko-Jakoniuk, J. Bone mineral density, chemical composition and biomechanical properties of the tibia of female rats exposed to cadmium since weaning up to skeletal maturity. Food Chem. Toxicol. 2005, 43, 1507–1519. [Google Scholar] [CrossRef] [PubMed]
- Brzóska, M.M.; Moniuszko-Jakoniuk, J. Low-level exposure to cadmium during the lifetime increases the risk of osteoporosis and fractures of the lumbar spine in the elderly: Studies on a rat model of human environmental exposure. Toxicol. Sci. 2004, 82, 468–477. [Google Scholar] [CrossRef] [PubMed]
- Yang, H.; Shu, Y. Cadmium transporters in the kidney and cadmium-induced nephrotoxicity. Int. J. Mol. Sci. 2015, 16, 1484–1494. [Google Scholar] [CrossRef] [PubMed]
- Razmadech, R.; Nasli-Esfahani, E.; Heydarpour, R.; Faridbod, F.; Ganjali, M.R.; Norouzi, P.; Larijani, B.; Khoda-Amorzideh, D. Association of zinc, copper and magnesium with bone mineral density in Iranian postmenopausal women—A case control study. J. Diabetes Metab. Disord. 2014, 13, 43. [Google Scholar] [CrossRef] [PubMed]
- Mężyńska, M.; Brzóska, M.M.; Rogalska, J. Medical University of Bialystok: Poland, Unpublished work. 2017.












| Group | Administration | Range of the Daily Intake During the 24-Month Administration | ||
|---|---|---|---|---|
| AE 1 | Cd (1 or 5 mg Cd/kg) 2 | AE (PF) (mg/kg b.w.) 3 | Cd (μg/kg/b.w.) 4 | |
| Control | − | - | 2.30–4.98 | |
| AE | + | - | 67.4–146.6 (44.3–96.4) | 2.25–4.95 |
| Cd1 | − | +(1 mg Cd/kg) | 39.2–83.8 | |
| Cd1 + AE | + | +(1 mg Cd/kg) | 67.2–154.7 (44.2–101.7) | 37.5–84.9 |
| Cd5 | − | +(5 mg Cd/kg) | 210.1–403.2 | |
| Cd5 + AE | + | +(5 mg Cd/kg) | 63.1–150.3 (41.5–98.8) | 200.2–401.9 |
| Group | Experiment Duration | |||
|---|---|---|---|---|
| 3 Months | 10 Months | 17 Months | 24 Months | |
| Zn Intake (mg/kg b.w./24 h) | ||||
| Control | 16.596 ± 0.097 | 6.931 ± 0.201 ** | 6.345 ± 0.064 ** | 7.149 ± 0.069 ** |
| AE | 16.710 ± 0.265 | 7.037 ± 0.063 ** | 6.191 ± 0.117 ** | 7.138 ± 0.126 ** |
| Cd1 | 16.282 ± 0.336 | 7.001 ± 0.015 ** | 6.361 ± 0.027 ** | 7.290 ± 0.143 ** |
| Cd1 + AE | 16.656 ± 0.039 | 7.060 ± 0.159 ** | 6.231 ± 0.036 ** | 7.408 ± 0.219 ** |
| Cd5 | 16.175 ± 0.213 | 7.043 ± 0.076 ** | 6.176 ± 0.041 ** | 7.612 ± 0.259 ** |
| Cd5 + AE | 16.415 ± 0.144 | 7.191 ± 0.054 ** | 6.227 ± 0.019 ** | 7.557 ± 0.241 ** |
| Cu Intake (mg/kg b.w./24 h) | ||||
| Control | 2.678 ± 0.038 | 1.155 ± 0.033 ** | 1.026 ± 0.006 ** | 1.194 ± 0.004 ** |
| AE | 2.626 ± 0.042 | 1.186 ± 0.012 ** | 1.032 ± 0.019 ** | 1.190 ± 0.021 ** |
| Cd1 | 2.638 ± 0.021 | 1.159 ± 0.003 ** | 1.032 ± 0.001 ** | 1.215 ± 0.024 ** |
| Cd1 + AE | 2.702 ± 0.032 | 1.177 ± 0.026 ** | 1.004 ± 0.019 ** | 1.235 ± 0.036 ** |
| Cd5 | 2.616 ± 0.011 | 1.174 ± 0.013 ** | 1.026 ± 0.006 ** | 1.269 ± 0.043 ** |
| Cd5 + AE | 2.614 ± 0.008 | 1.198 ± 0.009 ** | 1.019 ± 0.008 ** | 1.260 ± 0.040 ** |
| Metals Binding to MT in the Liver | Effect of AE Alone | 1 mg Cd/kg Diet + AE | 5 mg Cd/kg Diet + AE | ||||
|---|---|---|---|---|---|---|---|
| Effect of Cd Alone | Cd + AE | Effect of Cd Alone | Cd + AE | ||||
| Effect of Cd + AE | Effect of AE | Effect of Cd + AE | Effect of AE | ||||
| 3 months | |||||||
| Zn/(MT × 7) | ↔ | ↓ 48% | ↔ | ↗ 2.1-fold | ↓ 53% | ↔ | ↗ 2.2-fold |
| Cu/(MT × 12) | ↔ | ↓ 47% | ↔ | ↗ 2.1-fold | ↓ 57% | ↔ | ↗ 2.2-fold |
| Cd/(MT × 7) | ↔ | ↔ | ↔ | ↔ | ↑ 11.6-fold | ↑ 21.3-fold | ↗ 84% |
| Me/(Me-MT) | ↔ | ↓ 48% | ↔ | ↗ 2.1-fold | ↓ 53% | ↔ | ↗ 2.2-fold |
| 10 months | |||||||
| Zn/(MT × 7) | ↔ | ↓ 55% | ↔ | ↗ 2.7-fold | ↓ 58% | ↔ | ↗ 81% |
| Cu/(MT × 12) | ↔ | ↓ 55% | ↔ | ↗ 2.8-fold | ↓ 61% | ↓ 29% | ↗ 85% |
| Cd/(MT × 7) | ↔ | ↔ | ↑ 9.4-fold | ↗ 2.4-fold | ↑ 25.8-fold | ↑ 42.4-fold | ↗ 64% |
| Me/(Me-MT) | ↔ | ↓ 55% | ↔ | ↗ 2.7-fold | ↓ 57% | ↔ | ↗ 81% |
| 17 months | |||||||
| Zn/(MT × 7) | ↓ 30% | ↓ 57% | ↓ 36% | ↔ | ↓ 63% | ↔ | ↗ 2.6-fold |
| Cu/(MT × 12) | ↓ 27% | ↓ 60% | ↓ 18% | ↗ 2.0-fold | ↓ 58% | ↔ | ↗ 2.5-fold |
| Cd/(MT × 7) | ↔ | ↔ | ↔ | ↔ | ↑ 68.7-fold | ↑ 136-fold | ↗ 98% |
| Me/(Me-MT) | ↓ 30% | ↓ 57% | ↓ 35% | ↗ 52% | ↓ 61% | ↔ | ↗ 2.6-fold |
| 24 months | |||||||
| Zn/(MT × 7) | ↓ 34% | ↓ 52% | ↓ 24% | ↗ 57% | ↓ 69% | ↔ | ↗ 3.1-fold |
| Cu/(MT × 12) | ↓ 32% | ↓ 54% | ↓ 26% | ↗ 59% | ↓ 71% | ↔ | ↗ 3.1-fold |
| Cd/(MT × 7) | ↔ | ↔ | ↔ | ↔ | ↑ 66-fold | ↑ 165-fold | ↗ 2.5-fold |
| Me/(Me-MT) | ↓ 34% | ↓ 52% | ↓ 24% | ↗ 57% | ↓ 68% | ↔ | ↗ 3.1-fold |
| Metals Binding to MT in the Kidney | Effect of AE Alone | 1 mg Cd/kg Diet + AE | 5 mg Cd/kg Diet + AE | ||||
|---|---|---|---|---|---|---|---|
| Effect of Cd Alone | Cd + AE | Effect of Cd Alone | Cd + AE | ||||
| Effect of Cd + AE | Effect of AE | Effect of Cd + AE | Effect of AE | ||||
| 3 months | |||||||
| Zn/(MT × 7) | ↔ | ↔ | ↔ | ↗ 57% | ↔ | ↓ 33% | ↗ 73% |
| Cu/(MT × 12) | ↔ | ↓ 40% | ↔ | ↗ 2.1-fold | ↔ | ↔ | ↔ |
| Cd/(MT × 7) | ↔ | ↑ 7.4-fold | ↑ 8.5-fold | ↔ | ↑ 25.2-fold | ↑ 39.1-fold | ↗ 55% |
| Me/(Me-MT) | ↔ | ↔ | ↔ | ↗ 65% | ↔ | ↔ | ↗ 56% |
| 10 months | |||||||
| Zn/(MT × 7) | ↓ 22% | ↓ 41% | ↓ 24% | ↗ 29% | ↓ 47% | ↓ 35% | ↔ |
| Cu/(MT × 12) | ↓ 20% | ↓ 53% | ↓ 29% | ↗ 50% | ↓ 28% | ↓ 45% | ↔ |
| Cd/(MT × 7) | ↔ | ↑ 13.3-fold | ↑ 33.6-fold | ↔ | ↑ 47.9-fold | ↑ 51.3-fold | ↔ |
| Me/(Me-MT) | ↓ 20% | ↓ 42% | ↓ 23% | ↗ 32% | ↓ 39% | ↓ 31% | ↔ |
| 17 months | |||||||
| Zn/(MT × 7) | ↔ | ↓ 26% | ↓ 24% | ↗ 67% | ↑ 48% | ↑ 29% | ↘ 13% |
| Cu/(MT × 12) | ↔ | ↓ 53% | ↔ | ↗ 2.2-fold | ↓ 46% | ↔ | ↗ 91% |
| Cd/(MT × 7) | ↔ | ↔ | ↑ 33.6-fold | ↔ | ↑ 139-fold | ↑ 223-fold | ↗ 61% |
| Me/(Me-MT) | ↔ | ↓ 29% | ↑ 23% | ↗ 26% | ↓ 21% | ↑ 42% | ↗ 81% |
| 24 months | |||||||
| Zn/(MT × 7) | ↔ | ↓ 42% | ↓ 29% | ↔ | ↓ 56% | ↓ 30% | ↗ 90% |
| Cu/(MT × 12) | ↔ | ↓ 34% | ↔ | ↔ | ↓ 58% | ↓ 32% | ↗ 62% |
| Cd/(MT × 7) | ↔ | ↑ 12.1-fold | ↑ 17.1-fold | ↔ | ↑ 41.1-fold | ↑ 51.3-fold | ↗ 25% |
| Me/(Me-MT) | ↔ | ↓ 39% | ↓ 26% | ↔ | ↓ 50% | ↓ 24% | ↗ 54% |
| Metals Binding to MT in the Duodenum | Effect of AE Alone | 1 mg Cd/kg Diet + AE | 5 mg Cd/kg Diet + AE | |||||
|---|---|---|---|---|---|---|---|---|
| Effect of Cd Alone | Cd + AE | Effect of Cd Alone | Cd + AE | |||||
| Effect of Cd + AE | Effect of AE | Effect of Cd + AE | Effect of AE | |||||
| 3 months | ||||||||
| Zn/(MT × 7) | ↔ | ↑ 64% | ↔ | ↗ 81% | ↑ 81% | ↔ | ↗ 62% | |
| Cu/(MT × 12) | ↔ | ↓ 39% | ↔ | ↗ 66% | ↓ 41% | ↔ | ↗ 42% | |
| Cd/(MT × 7) | ↔ | ↑ 2.1-fold | ↑ 3.8-fold | ↗ 78% | ↑ 7.2-fold | ↑ 10.7-fold | ↗ 50% | |
| Me/(Me-MT) | ↔ | ↔ | ↔ | ↗ 65% | ↔ | ↔ | ↗ 56% | |
| 10 months | ||||||||
| Zn/(MT × 7) | ↔ | ↓ 43% | ↓ 28% | ↔ | ↓ 55% | ↓ 26% | ↗ 64% | |
| Cu/(MT × 12) | ↔ | ↓ 47% | ↓ 32% | ↔ | ↓ 58% | ↓ 34% | ↗ 57% | |
| Cd/(MT × 7) | ↔ | ↑ 6.2-fold | ↑ 9.7-fold | ↗ 57% | ↑ 11.6-fold | ↑ 19.9-fold | ↗ 72% | |
| Me/(Me-MT) | ↓ 22% | ↓ 42% | ↓ 23% | ↗ 32% | ↓ 39% | ↓ 31% | ↔ | |
| 17 months | ||||||||
| Zn/(MT × 7) | ↓ 28% | ↓ 55% | ↔ | ↗ 2.4-fold | ↓ 62% | ↓ 29% | ↗ 88% | |
| Cu/(MT × 12) | ↓ 23% | ↓ 48% | ↔ | ↗ 2.1-fold | ↓ 58% | ↓ 24% | ↗ 80% | |
| Cd/(MT × 7) | ↔ | ↑ 5.3-fold | ↑ 12.5-fold | ↗ 2.4-fold | ↑16.5-fold | ↑ 22.6-fold | ↗ 37% | |
| Me/(Me-MT) | ↔ | ↓ 29% | ↑ 23% | ↗ 74% | ↓ 21% | ↓ 42% | ↗ 81% | |
| 24 months | ||||||||
| Zn/(MT × 7) | ↓ 22% | ↓ 52% | ↓ 49% | ↔ | ↓ 58% | ↓ 20% | ↗ 90% | |
| Cu/(MT × 12) | ↓ 20% | ↓ 48% | ↓ 46% | ↔ | ↓ 56% | ↔ | ↗ 95% | |
| Cd/(MT × 7) | ↔ | ↔ | ↑ 3.9-fold | ↔ | ↑7.5-fold | ↑ 15.4-fold | ↗ 2-fold | |
| Me/(Me-MT) | ↔ | ↓ 39% | ↓ 26% | ↔ | ↓ 50% | ↓ 24% | ↗ 54% | |
© 2017 by the authors. Licensee MDPI, Basel, Switzerland. This article is an open access article distributed under the terms and conditions of the Creative Commons Attribution (CC BY) license (http://creativecommons.org/licenses/by/4.0/).
Share and Cite
Borowska, S.; Brzóska, M.M.; Gałażyn-Sidorczuk, M.; Rogalska, J. Effect of an Extract from Aronia melanocarpa L. Berries on the Body Status of Zinc and Copper under Chronic Exposure to Cadmium: An In Vivo Experimental Study. Nutrients 2017, 9, 1374. https://doi.org/10.3390/nu9121374
Borowska S, Brzóska MM, Gałażyn-Sidorczuk M, Rogalska J. Effect of an Extract from Aronia melanocarpa L. Berries on the Body Status of Zinc and Copper under Chronic Exposure to Cadmium: An In Vivo Experimental Study. Nutrients. 2017; 9(12):1374. https://doi.org/10.3390/nu9121374
Chicago/Turabian StyleBorowska, Sylwia, Małgorzata M. Brzóska, Małgorzata Gałażyn-Sidorczuk, and Joanna Rogalska. 2017. "Effect of an Extract from Aronia melanocarpa L. Berries on the Body Status of Zinc and Copper under Chronic Exposure to Cadmium: An In Vivo Experimental Study" Nutrients 9, no. 12: 1374. https://doi.org/10.3390/nu9121374
APA StyleBorowska, S., Brzóska, M. M., Gałażyn-Sidorczuk, M., & Rogalska, J. (2017). Effect of an Extract from Aronia melanocarpa L. Berries on the Body Status of Zinc and Copper under Chronic Exposure to Cadmium: An In Vivo Experimental Study. Nutrients, 9(12), 1374. https://doi.org/10.3390/nu9121374
