Movement Behaviors and Bone Biomarkers in Young Pediatric Cancer Survivors: A Cross-Sectional Analysis of the iBoneFIT Project
Abstract
1. Introduction
2. Materials and Methods
2.1. Design
2.2. Measures
2.2.1. Anthropometrics and Somatic Maturity
2.2.2. Clinical Data
2.2.3. Movement Behaviors
2.2.4. Blood Analyses
2.2.5. Statistical Analysis
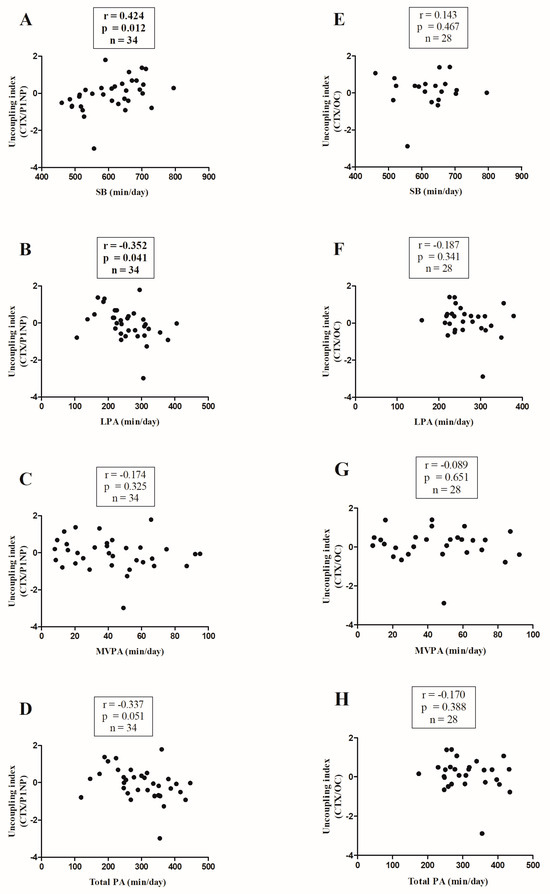
3. Results
4. Discussion
Strengths and Limitations
5. Conclusions
Supplementary Materials
Author Contributions
Funding
Institutional Review Board Statement
Informed Consent Statement
Data Availability Statement
Acknowledgments
Conflicts of Interest
References
- National Institute of Health Cancer Survivorship. Available online: https://www.cancer.gov/publications/dictionaries/cancer-terms/def/survivorship (accessed on 11 November 2024).
- Siegel, R.L.; Miller, K.D.; Fuchs, H.E.; Jemal, A. Cancer Statistics, 2022. CA Cancer J. Clin. 2022, 72, 7–33. [Google Scholar] [CrossRef] [PubMed]
- van Atteveld, J.E.; Pluijm, S.M.F.; Ness, K.K.; Hudson, M.M.; Chemaitilly, W.; Kaste, S.C.; Robison, L.L.; Neggers, S.J.C.M.M.; Yasui, Y.; van den Heuvel-Eibrink, M.M.; et al. Prediction of Low and Very Low Bone Mineral Density among Adult Survivors of Childhood Cancer. J. Clin. Oncol. 2019, 37, 2217–2225. [Google Scholar] [CrossRef] [PubMed]
- Cooper, C.; Ferrari, S. Compendium of Osteoporosis; International Osteoporosis Foundation: Nyon, Switzerland, 2019. [Google Scholar]
- Marmol-Perez, A.; Migueles, J.H.; Ubago-Guisado, E.; Gil-Cosano, J.J.; Rodriguez-Solana, A.; Redondo-Tébar, A.; Llorente-Cantarero, F.J.; Labayen, I.; Ortega, F.B.; Ruiz, J.R.; et al. Every Move Counts to Improve Bone Health at Clinical Sites in Young Pediatric Cancer Survivors: The IBoneFIT Project. Med. Sci. Sports Exerc. 2024, 56, 1085–1093. [Google Scholar] [CrossRef]
- Jürimäe, J.; Hills, A.P.; Jürimäe, T. Bone Turnover Markers During Pubertal Development: Relationships with Growth Factors and Adipocytokines; Karger: Basel, Switzerland, 2010; Volume 55. [Google Scholar]
- Bonewald, L.F. The Amazing Osteocyte. J. Bone Miner. Res. 2011, 26, 229–238. [Google Scholar] [CrossRef]
- Kambas, A.; Leontsini, D.; Avloniti, A.; Chatzinikolaou, A.; Stampoulis, T.; Makris, K.; Draganidis, D.; Jamurtas, A.Z.; Tournis, S.; Fatouros, I.G. Physical Activity May Be a Potent Regulator of Bone Turnover Biomarkers in Healthy Girls during Preadolescence. J. Bone Miner. Metab. 2017, 35, 598–607. [Google Scholar] [CrossRef]
- Klentrou, P.; Ludwa, I.A.; Falk, B. Factors Associated with Bone Turnover and Speed of Sound in Early and Late-Pubertal Females. Appl. Physiol. Nutr. Metab. 2011, 36, 707–714. [Google Scholar] [CrossRef]
- Vlachopoulos, D.; Barker, A.R.; Ubago-Guisado, E.; Fatouros, I.G.; Knapp, K.M.; Williams, C.A.; Gracia-Marco, L. Longitudinal Adaptations of Bone Mass, Geometry, and Metabolism in Adolescent Male Athletes: The PRO-BONE Study. J. Bone Miner. Res. 2017, 32, 2269–2277. [Google Scholar] [CrossRef] [PubMed]
- Kottaras, S.; Stoikos, J.; McKinlay, B.J.; Ludwa, I.A.; Josse, A.R.; Falk, B.; Klentrou, P. Bone Turnover Markers and Osteokines in Adolescent Female Athletes of High- and Low-Impact Sports Compared with Nonathletic Controls. Pediatr. Exerc. Sci. 2022, 35, 41–47. [Google Scholar] [CrossRef]
- Creighton, D.L.; Morgan, A.L.; Boardley, D.; Gunnar Brolinson, A.P. Weight-Bearing Exercise and Markers of Bone Turnover in Female Athletes. J. Appl. Physiol. 2001, 90, 565–570. [Google Scholar] [CrossRef]
- Eliakim, A.; Raisz, L.G.; Brasel, J.A.; Cooper, D.M. Evidence for Increased Bone Formation Following a Brief Endurance-Type Training Intervention in Adolescent Males. J. Bone Miner. Res. 1997, 12, 1708–1713. [Google Scholar] [CrossRef]
- Falk, B.; Haddad, F.; Klentrou, P.; Ward, W.; Kish, K.; Mezil, Y.; Radom-Aizik, S. Differential Sclerostin and Parathyroid Hormone Response to Exercise in Boys and Men. Osteoporos. Int. 2016, 27, 1245–1249. [Google Scholar] [CrossRef] [PubMed]
- Mogil, R.J.; Kaste, S.C.; Ferry, R.J.; Hudson, M.M.; Mulrooney, D.A.; Howell, C.R.; Partin, R.E.; Srivastava, D.K.; Robison, L.L.; Ness, K.K. Effect of Low-Magnitude, High-Frequency Mechanical Stimulation on BMD among Young Childhood Cancer Survivors a Randomized Clinical Trial. JAMA Oncol. 2016, 2, 908–914. [Google Scholar] [CrossRef]
- Kim, H.; Wrann, C.D.; Jedrychowski, M.; Vidoni, S.; Kitase, Y.; Nagano, K.; Zhou, C.; Chou, J.; Parkman, V.J.A.; Novick, S.J.; et al. Irisin Mediates Effects on Bone and Fat via AV Integrin Receptors. Cell 2018, 175, 1756–1768.e17. [Google Scholar] [CrossRef]
- Jürimäe, J.; Karvelyte, V.; Remmel, L.; Tamm, A.L.; Purge, P.; Gruodyte-Raciene, R.; Kamandulis, S.; Maasalu, K.; Gracia-Marco, L.; Tillmann, V. Serum Sclerostin Concentration Is Associated with Specific Adipose, Muscle and Bone Tissue Markers in Lean Adolescent Females with Increased Physical Activity. J. Pediatr. Endocrinol. Metab. 2021, 34, 755–761. [Google Scholar] [CrossRef] [PubMed]
- Sanderson, M.; McKinlay, B.J.; Theocharidis, A.; Kouvelioti, R.; Falk, B.; Klentrou, P. Changes in Inflammatory Cytokines and Irisin in Response to High Intensity Swimming in Adolescent versus Adult Male Swimmers. Sports 2020, 8, 157. [Google Scholar] [CrossRef] [PubMed]
- Dekker, J.; Nelson, K.; Kurgan, N.; Falk, B.; Josse, A.; Klentrou, P. Wnt Signaling–Related Osteokines and Transforming Growth Factors before and after a Single Bout of Plyometric Exercise in Child and Adolescent Females. Pediatr. Exerc. Sci. 2017, 29, 504–512. [Google Scholar] [CrossRef] [PubMed]
- Suva, L.J. Sclerostin and the Unloading of Bone. J. Bone Miner. Res. 2009, 24, 1649–1650. [Google Scholar] [CrossRef]
- Wijenayaka, A.R.; Kogawa, M.; Lim, H.P.; Bonewald, L.F.; Findlay, D.M.; Atkins, G.J. Sclerostin Stimulates Osteocyte Support of Osteoclast Activity by a RANKL-Dependent Pathway. PLoS ONE 2011, 6, e25900. [Google Scholar] [CrossRef]
- Gracia-Marco, L.; Ortega, F.B.; Jiménez-Pavón, D.; Rodríguez, G.; Valtueña, J.; Díaz-Martínez, Á.E.; González-Gross, M.; Castillo, M.J.; Vicente-Rodríguez, G.; Moreno, L.A. Contribution of Bone Turnover Markers to Bone Mass in Pubertal Boys and Girls. J. Pediatr. Endocrinol. Metab. 2011, 24, 971–974. [Google Scholar] [CrossRef]
- Gil-Cosano, J.J.; Ubago-Guisado, E.; Sánchez, M.J.; Ortega-Acosta, M.J.; Mateos, M.E.; Benito-Bernal, A.I.; Llorente-Cantarero, F.J.; Ortega, F.B.; Ruiz, J.R.; Labayen, I.; et al. The Effect of an Online Exercise Programme on Bone Health in Paediatric Cancer Survivors (IBoneFIT): Study Protocol of a Multi-Centre Randomized Controlled Trial. BMC Public Health 2020, 20, 1520. [Google Scholar] [CrossRef]
- Vandenbroucke, J.P.; Von Elm, E.; Altman, D.G.; Gøtzsche, P.C.; Mulrow, C.D.; Pocock, S.J.; Poole, C.; Schlesselman, J.J.; Egger, M. Strengthening the Reporting of Observational Studies in Epidemiology (STROBE): Explanation and Elaboration. Int. J. Surg. 2007, 147, 1500–1524. [Google Scholar] [CrossRef] [PubMed]
- Cole, T.J.; Lobstein, T. Extended International (IOTF) Body Mass Index Cut-Offs for Thinness, Overweight and Obesity. Pediatr. Obes. 2012, 7, 284–294. [Google Scholar] [CrossRef]
- Moore, S.A.; McKay, H.A.; Macdonald, H.; Nettlefold, L.; Baxter-Jones, A.D.G.; Cameron, N.; Brasher, P.M.A. Enhancing a Somatic Maturity Prediction Model. Med. Sci. Sports Exerc. 2015, 47, 1755–1764. [Google Scholar] [CrossRef]
- Julián-Almárcegui, C.; Huybrechts, I.; Bruton, A.G.; Llorente, Á.M.; Agüero, A.G.; Cabello, A.G.; Moreno, L.A.; Casajús, J.A.; Rodríguez, G.V. Validity of a Food-Frequency Questionnaire for Estimating Calcium Intake in Adolescent Swimmers. Nutr. Hosp. 2015, 32, 1773–1779. [Google Scholar] [CrossRef]
- Van Hees, V.T.; Sabia, S.; Anderson, K.N.; Denton, S.J.; Oliver, J.; Catt, M.; Abell, J.G.; Kivimäki, M.; Trenell, M.I.; Singh-Manoux, A. A Novel, Open Access Method to Assess Sleep Duration Using a Wrist-Worn Accelerometer. PLoS ONE 2015, 10, e0142533. [Google Scholar] [CrossRef] [PubMed]
- van Hees, V.T.; Renström, F.; Wright, A.; Gradmark, A.; Catt, M.; Chen, K.Y.; Löf, M.; Bluck, L.; Pomeroy, J.; Wareham, N.J.; et al. Estimation of Daily Energy Expenditure in Pregnant and Non-Pregnant Women Using a Wrist-Worn Tri-Axial Accelerometer. PLoS ONE 2011, 6, e22922. [Google Scholar] [CrossRef] [PubMed]
- Hildebrand, M.; Van Hees, V.T.; Hansen, B.H.; Ekelund, U. Age Group Comparability of Raw Accelerometer Output from Wrist-and Hip-Worn Monitors. Med. Sci. Sports Exerc. 2014, 46, 1816–1824. [Google Scholar] [CrossRef]
- Plasqui, G.; Bonomi, A.G.; Westerterp, K.R. Daily Physical Activity Assessment with Accelerometers: New Insights and Validation Studies. Obes. Rev. 2013, 14, 451–462. [Google Scholar] [CrossRef]
- Weeks, B.K.; Beck, B.R. The BPAQ: A Bone-Specific Physical Activity Assessment Instrument. Osteoporos. Int. 2008, 19, 1567–1577. [Google Scholar] [CrossRef]
- Rand, M.S.; Diemar, S.S.; Møllehave, L.T.; Heidemann, M.; Thuesen, B.H.; Petersen, J.H.; Johannesen, J.; Schou, A.J.; Wedderkopp, N.; Mølgaard, C.; et al. Z-Scores of Bone Turnover Markers Calculated from New Established Sex- and Age-Specific Reference Curves Are Associated to Future Change in BMD in Children and Adolescents. Bone 2023, 167, 116641. [Google Scholar] [CrossRef]
- Eastell, R.; Robins, S.P.; Colwell, T.; Assiri, A.M.A.; Riggs, B.L.; Russell, R.G.G. Evaluation of Bone Turnover in Type I Osteoporosis Using Biochemical Markers Specific for Both Bone Formation and Bone Resorption. Osteoporos. Int. 1993, 3, 255–260. [Google Scholar] [CrossRef] [PubMed]
- Bieglmayer, C.; Kudlacek, S. The Bone Marker Plot: An Innovative Method to Assess Bone Turnover in Women. Eur. J. Clin. Investig. 2009, 39, 230–238. [Google Scholar] [CrossRef] [PubMed]
- National Institute of Health Vitamin D. Available online: https://ods.od.nih.gov/factsheets/VitaminD-Consumer/ (accessed on 4 October 2024).
- Jürimäe, J. Interpretation and Application of Bone Turnover Markers in Children and Adolescents. Curr. Opin. Pediatr. 2010, 22, 494–500. [Google Scholar] [CrossRef]
- Rubert, M.; de la Piedra, C. Osteocalcin: From Marker of Bone Formation to Hormone; and Bone, an Endocrine Organ. Rev. Osteoporos. Metab. Miner. 2021, 12, 146–151. [Google Scholar] [CrossRef]
- Kim, S.H.; Kim, S.E.; Kim, S.; Ahn, M.B.; Cho, W.K.; Cho, K.S.; Jung, M.H. The Association of Serum Irisin with Anthropometric, Metabolic, and Bone Parameters in Obese Children and Adolescents. Front. Endocrinol. 2023, 14, 1326851. [Google Scholar] [CrossRef] [PubMed]
- Cai, L.; Tan, M.; Tan, W.; Zeng, X.; Wan, N.; Wong, S.H.-s.; O’Reilly, J.; Sun, F.; Yang, J.; Chen, Y. Associations of Circulating Irisin Concentrations with Cardiometabolic Risk Factors Among Children Vary by Physical Activity or Sedentary Time Levels. Front. Endocrinol. 2019, 10, 549. [Google Scholar] [CrossRef]
- Löffler, D.; Müller, U.; Scheuermann, K.; Friebe, D.; Gesing, J.; Bielitz, J.; Erbs, S.; Landgraf, K.; Wagner, I.V.; Kiess, W.; et al. Serum Irisin Levels Are Regulated by Acute Strenuous Exercise. J. Clin. Endocrinol. Metab. 2015, 100, 1289–1299. [Google Scholar] [CrossRef]
- Pimentel, D.V.; Suttkus, A.; Vogel, M.; Lacher, M.; Jurkutat, A.; Poulain, T.; Ceglarek, U.; Kratzsch, J.; Kiess, W.; Körner, A.; et al. Effect of Physical Activity and BMI SDS on Bone Metabolism in Children and Adolescents. Bone 2021, 153, 116131. [Google Scholar] [CrossRef] [PubMed]
- Notelovitz, M. Androgen Effects on Bone and Muscle. Fertil. Steril. 2002, 77, 34–41. [Google Scholar] [CrossRef]
- Brailey, G.; Metcalf, B.; Lear, R.; Price, L.; Cumming, S.; Stiles, V. A Comparison of the Associations between Bone Health and Three Different Intensities of Accelerometer-Derived Habitual Physical Activity in Children and Adolescents: A Systematic Review. Osteoporos. Int. 2022, 33, 1191–1222. [Google Scholar] [CrossRef]
- Dolan, E.; Varley, I.; Ackerman, K.E.; Pereira, R.M.R.; Elliott-Sale, K.J.; Sale, C. The Bone Metabolic Response to Exercise and Nutrition. Exerc. Sport. Sci. Rev. 2020, 48, 49–58. [Google Scholar] [CrossRef] [PubMed]
- Ness, K.K.; Mertens, A.C.; Hudson, M.M.; Wall, M.M.; Leisenring, W.M.; Oeffinger, K.C.; Sklar, C.A.; Robison, L.L.; Gurney, J.G. Limitations on Physical Performance and Daily Activities among Long-Term Survivors of Childhood Cancer. Ann. Intern. Med. 2005, 143, 639–647. [Google Scholar] [CrossRef] [PubMed]
- Grimshaw, S.L.; Taylor, N.F.; Mechinaud, F.; Conyers, R.; Shields, N. Physical Activity for Children Undergoing Acute Cancer Treatment: A Qualitative Study of Parental Perspectives. Pediatr. Blood Cancer 2020, 67, e28264. [Google Scholar] [CrossRef]
- Onyia, J.E.; Helvering, L.M.; Gelbert, L.; Wei, T.; Huang, S.; Chen, P.; Dow, E.R.; Maran, A.; Zhang, M.; Lotinun, S.; et al. Molecular Profile of Catabolic versus Anabolic Treatment Regimens of Parathyroid Hormone (PTH) in Rat Bone: An Analysis by DNA Microarray. J. Cell Biochem. 2005, 95, 403–418. [Google Scholar] [CrossRef] [PubMed]
- Townsend, R.; Elliott-Sale, K.J.; Pinto, A.J.; Thomas, C.; Scott, J.P.R.; Currell, K.; Fraser, W.D.; Sale, C. Parathyroid Hormone Secretion Is Controlled by Both Ionized Calcium and Phosphate during Exercise and Recovery in Men. J. Clin. Endocrinol. Metab. 2016, 101, 3231–3239. [Google Scholar] [CrossRef]
- DiMeglio, L.A.; Imel, E.A. Calcium and Phosphate. In Basic and Applied Bone Biology; Elsevier: Amsterdam, The Netherlands, 2019; pp. 257–282. [Google Scholar]




| Total | N | Girls | N | Boys | N | |
|---|---|---|---|---|---|---|
| Age (years) | 12.1 (3.3) | 116 | 12.2 (3.5) | 49 | 12.0 (3.2) | 67 |
| Body mass (kg) | 46.6 (18.0) | 116 | 45.2 (18.3) | 49 | 47.6 (17.9) | 67 |
| Stature (cm) | 147.5 (17.1) | 116 | 145.3 (16.0) | 49 | 149.0 (17.7) | 67 |
| Body mass index (Z-score) | 0.9 (1.1) | 116 | 0.8 (1.1) | 49 | 1.0 (1.2) | 67 |
| Underweight | 3.5 | 4 | 6.1 | 3 | 1.5 | 1 |
| Normal weight | 61.2 | 71 | 65.4 | 32 | 58.2 | 39 |
| Overweight | 20.7 | 24 | 16.3 | 8 | 23.9 | 16 |
| Obese | 14.6 | 17 | 12.2 | 6 | 16.4 | 11 |
| Years from peak height velocity | −0.8 (2.7) | 116 | 0.0 (2.9) | 49 | −1.3 (2.5) | 67 |
| Time from treatment completion (years) | 5.0 (3.8) | 113 | 5.2 (4.1) | 48 | 4.9 (3.6) | 65 |
| Radiotherapy exposure (yes/no, %) | 28/72, 38.9 | 116 | 24/76, 31.6 | 49 | 30/70, 42.9 | 67 |
| Movement behaviors and nutrition | ||||||
| SB (min/day) | 624.9 (103.0) | 110 | 621.1 (107.2) | 48 | 627.8 (100.5) | 62 |
| LPA (min/day) | 256.3 (64.0) | 110 | 261.3 (74.4) | 48 | 252.4 (54.9) | 62 |
| MVPA (min/day) | 41.7 (25.8) | 110 | 36.4 (25.2) | 48 | 45.8 (25.7) | 62 |
| Total PA (min/day) | 297.9 (84.0) | 110 | 9.7 (13.6) | 48 | 298.2 (75.8) | 62 |
| Meeting PA recommendations (yes/no, %) | 25/85, 17.9 | 110 | 9/39, 18.4 | 48 | 16/46, 23.9 | 62 |
| Osteogenic PA since birth | 6.8 [0.3–18.5] | 108 | 5.3 [0.2–13.5] | 45 | 9.0 [0.7–20.6] | 63 |
| Calcium intake (mg/day) | 785.5 (437.2) | 116 | 702.2 (388.6) | 49 | 846.4 (462.9) | 67 |
| Meeting calcium recommendations (yes/no, %) | 11/105, 7.9 | 116 | 3/46, 6.1 | 49 | 8/59, 11.9 | 67 |
| Bone metabolism | ||||||
| Calcium (mg/dL) | 9.8 (0.5) | 103 | 9.8 (0.5) | 42 | 9.9 (0.5) | 61 |
| Phosphorus (mg/dL) | 4.4 (0.7) | 94 | 4.3 (0.7) | 39 | 4.5 (0.7) | 55 |
| Magnesium (mg/dL) | 1.9 (0.2) | 77 | 1.9 (0.2) | 34 | 1.9 (0.2) | 43 |
| PTH (pg/mL) | 46.4 (17.8) | 21 | 50.9 (20.4) | 8 | 43.6 (16.2) | 13 |
| ALP (U/L) | 224.77 (102.6) | 97 | 191.6 (96.4) | 42 | 250.1 (100.7) | 55 |
| Sclerostin (pg/mL) | 101.4 (58.0) | 36 | 108.7 (82.6) | 16 | 95.8 (26.8) | 20 |
| Irisin (ng/mL) | 7.4 (0.9) | 36 | 7.5 (0.9) | 16 | 7.3 (0.8) | 20 |
| 25(OH)D (ng/mL) | 19.9 (8.7) | 37 | 19.2 (8.2) | 17 | 20.5 (9.2) | 20 |
| Sufficiency (n, %) | 13, 35.1 | 37 | 6, 35.3 | 17 | 7, 35 | 20 |
| Bone turnover markers | ||||||
| CTX (μg/L) | 1.5 (0.5) | 50 | 1.3 (0.4) | 23 | 1.7 (0.5) | 27 |
| P1NP (μg/L) | 490.9 (218.9) | 36 | 415.1 (210.2) | 16 | 551.5 (211.3) | 20 |
| Total OC (μg/L) | 71.1 (32.4) | 28 | 56.5 (34.2) | 11 | 80.5 (28.2) | 17 |
| CTX (Z-score) | −0.08 (0.09) | 45 | −0.10 (0.11) | 21 | −0.07 (0.09) | 24 |
| P1NP (Z-score) | −0.15 (0.15) | 31 | −0.17 (0.17) | 14 | −0.14 (0.14) | 17 |
| Total OC (Z-score) | −0.18 (0.14) | 25 | −0.24 (0.19) | 10 | −0.15 (0.08) | 15 |
| CTX (Z) | P1NP (Z) | Total OC (Z) | ALP | PTH | 25(OH)D | Irisin | Sclerostin | |
|---|---|---|---|---|---|---|---|---|
| SB | 0.005 | −0.411 * | −0.479 * | −0.350 * | −0.418 | 0.177 | 0.193 | −0.130 |
| LPA | −0.117 | 0.257 | 0.367 | 0.279 * | 0.521 * | −0.323 | 0.002 | 0.090 |
| MVPA | 0.156 | 0.418 * | 0.456 * | 0.374 ** | 0.405 | −0.038 | −0.219 | 0.051 |
| Total PA | −0.043 | 0.336 | 0.433 * | 0.330 * | 0.541 * | −0.251 | −0.067 | −0.088 |
| Osteogenic PA (since birth) | −0.101 | −0.097 | 0.275 | −0.022 | −0.091 | −0.001 | −0.125 | −0.087 |
| Osteogenic PA (last year) | −0.072 | 0.026 | 0.007 | −0.030 | −0.214 | −0.020 | −0.003 | −0.067 |
| Sclerostin | 0.334 | 0.290 | 0.341 | 0.123 | 0.115 | 0.082 | 0.234 | - |
Disclaimer/Publisher’s Note: The statements, opinions and data contained in all publications are solely those of the individual author(s) and contributor(s) and not of MDPI and/or the editor(s). MDPI and/or the editor(s) disclaim responsibility for any injury to people or property resulting from any ideas, methods, instructions or products referred to in the content. |
© 2024 by the authors. Licensee MDPI, Basel, Switzerland. This article is an open access article distributed under the terms and conditions of the Creative Commons Attribution (CC BY) license (https://creativecommons.org/licenses/by/4.0/).
Share and Cite
Gil-Cosano, J.J.; Ubago-Guisado, E.; Llorente-Cantarero, F.J.; Marmol-Perez, A.; Rodriguez-Solana, A.; Pascual-Gazquez, J.F.; Mateos, M.E.; Molina-Hurtado, J.R.; Garcia-Fontana, B.; Narciso, P.H.; et al. Movement Behaviors and Bone Biomarkers in Young Pediatric Cancer Survivors: A Cross-Sectional Analysis of the iBoneFIT Project. Nutrients 2024, 16, 3914. https://doi.org/10.3390/nu16223914
Gil-Cosano JJ, Ubago-Guisado E, Llorente-Cantarero FJ, Marmol-Perez A, Rodriguez-Solana A, Pascual-Gazquez JF, Mateos ME, Molina-Hurtado JR, Garcia-Fontana B, Narciso PH, et al. Movement Behaviors and Bone Biomarkers in Young Pediatric Cancer Survivors: A Cross-Sectional Analysis of the iBoneFIT Project. Nutrients. 2024; 16(22):3914. https://doi.org/10.3390/nu16223914
Chicago/Turabian StyleGil-Cosano, Jose J., Esther Ubago-Guisado, Francisco J. Llorente-Cantarero, Andres Marmol-Perez, Andrea Rodriguez-Solana, Juan F. Pascual-Gazquez, Maria E. Mateos, Jose R. Molina-Hurtado, Beatriz Garcia-Fontana, Pedro Henrique Narciso, and et al. 2024. "Movement Behaviors and Bone Biomarkers in Young Pediatric Cancer Survivors: A Cross-Sectional Analysis of the iBoneFIT Project" Nutrients 16, no. 22: 3914. https://doi.org/10.3390/nu16223914
APA StyleGil-Cosano, J. J., Ubago-Guisado, E., Llorente-Cantarero, F. J., Marmol-Perez, A., Rodriguez-Solana, A., Pascual-Gazquez, J. F., Mateos, M. E., Molina-Hurtado, J. R., Garcia-Fontana, B., Narciso, P. H., Klentrou, P., & Gracia-Marco, L. (2024). Movement Behaviors and Bone Biomarkers in Young Pediatric Cancer Survivors: A Cross-Sectional Analysis of the iBoneFIT Project. Nutrients, 16(22), 3914. https://doi.org/10.3390/nu16223914

