The Effect of Curcumin on Reducing Atherogenic Risks in Obese Patients with Type 2 Diabetes: A Randomized Controlled Trial
Abstract
1. Introduction
2. Subjects and Methods
2.1. Study Design and Participants
2.2. Randomization Procedures
2.3. Intervention
2.4. Preparation of Curcuminoid Capsules
2.5. Study Outcomes
2.6. Data Collection and Measurement Methods
2.7. Sample Size
2.8. Statistical Analysis
3. Results
3.1. Curcumin Treatment and PWV
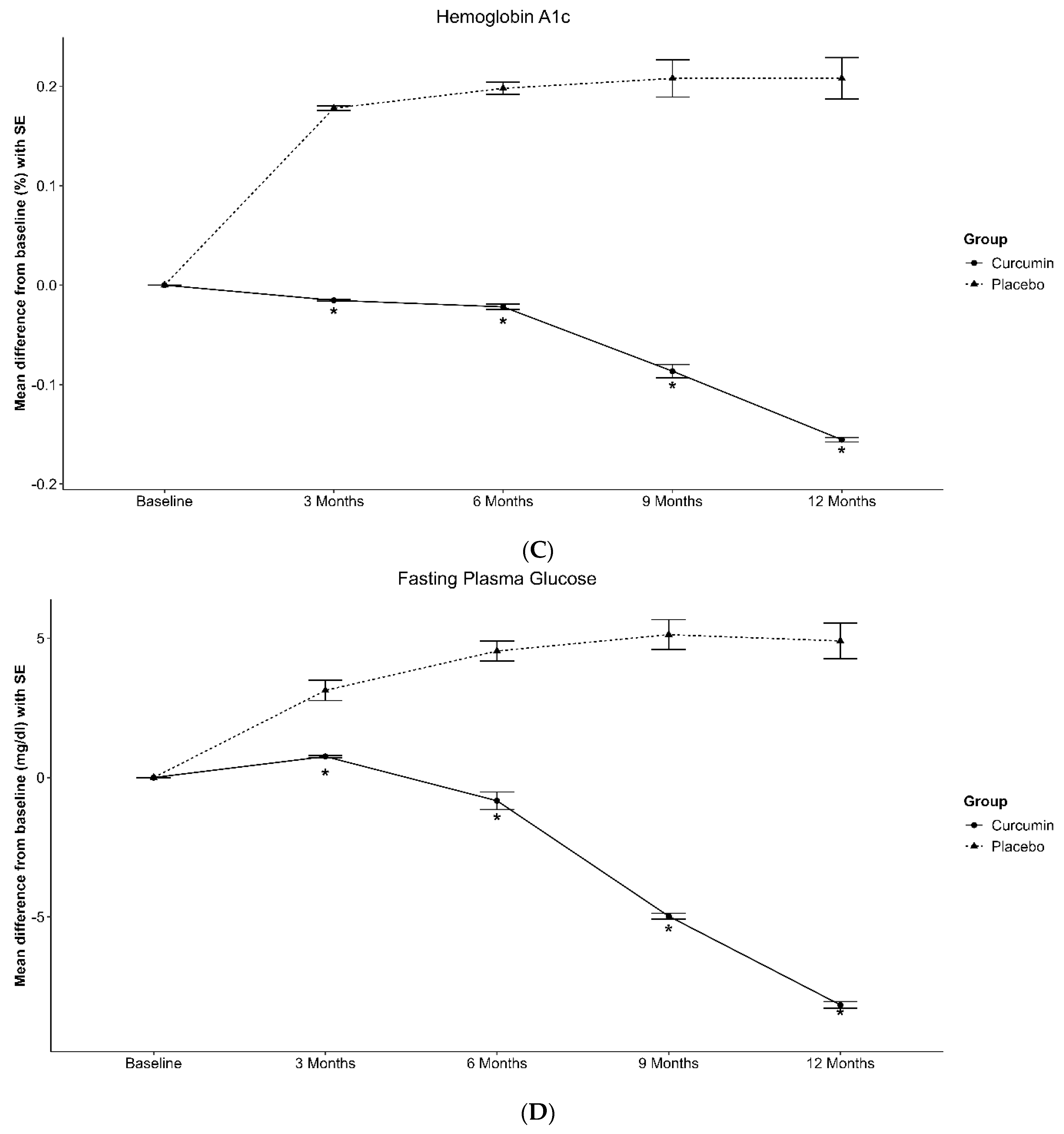
3.2. Glycemic Control Outcomes
3.3. Anthropometric Measurement Outcomes
3.4. Cardiometabolic Risk Outcomes
3.5. Insulin Resistance and Inflammatory Biomarker Outcomes
4. Discussion
5. Conclusions
Supplementary Materials
Author Contributions
Funding
Institutional Review Board Statement
Informed Consent Statement
Data Availability Statement
Acknowledgments
Conflicts of Interest
References
- Magkos, F.; Yannakoulia, M.; Chan, J.L.; Mantzoros, C.S. Management of the metabolic syndrome and type 2 diabetes through lifestyle modification. Annu. Rev. Nutr. 2009, 29, 223–256. [Google Scholar] [CrossRef] [PubMed]
- DeFronzo, R.A.; Ferrannini, E.; Groop, L.; Henry, R.R.; Herman, W.H.; Holst, J.J.; Hu, F.B.; Kahn, C.R.; Raz, I.; Shulman, G.I. Type 2 diabetes mellitus. Nat. Rev. Dis. Prim. 2015, 1, 15019. [Google Scholar] [CrossRef] [PubMed]
- Care, D. Cardiovascular disease and risk management: Standards of medical care in diabetesd 2021. Diabetes Care 2021, 44, S125–S150. [Google Scholar]
- Beckman, J.A.; Creager, M.A.; Libby, P. Diabetes and atherosclerosis: Epidemiology, pathophysiology, and management. JAMA 2002, 287, 2570–2581. [Google Scholar] [CrossRef] [PubMed]
- Katakami, N. Mechanism of development of atherosclerosis and cardiovascular disease in diabetes mellitus. J. Atheroscler. Thromb. 2018, 25, 27–39. [Google Scholar] [CrossRef] [PubMed]
- Poznyak, A.; Grechko, A.V.; Poggio, P.; Myasoedova, V.A.; Alfieri, V.; Orekhov, A.N. The diabetes mellitus–atherosclerosis connection: The role of lipid and glucose metabolism and chronic inflammation. Int. J. Mol. Sci. 2020, 21, 1835. [Google Scholar] [CrossRef] [PubMed]
- Tsalamandris, S.; Antonopoulos, A.S.; Oikonomou, E.; Papamikroulis, G.-A.; Vogiatzi, G.; Papaioannou, S.; Deftereos, S.; Tousoulis, D. The role of inflammation in diabetes: Current concepts and future perspectives. Eur. Cardiol. Rev. 2019, 14, 50. [Google Scholar] [CrossRef] [PubMed]
- Banerjee, M.; Saxena, M. Interleukin-1 (IL-1) family of cytokines: Role in type 2 diabetes. Clin. Chim. Acta 2012, 413, 1163–1170. [Google Scholar] [CrossRef] [PubMed]
- Popko, K.; Gorska, E.; Stelmaszczyk-Emmel, A.; Plywaczewski, R.; Stoklosa, A.; Gorecka, D.; Pyrzak, B.; Demkow, U. Proinflammatory cytokines Il-6 and TNF-α and the development of inflammation in obese subjects. Eur. J. Med. Res. 2010, 15, 120–122. [Google Scholar] [CrossRef]
- Piché, M.-E.; Tchernof, A.; Després, J.-P. Obesity phenotypes, diabetes, and cardiovascular diseases. Circ. Res. 2020, 126, 1477–1500. [Google Scholar] [CrossRef]
- Raheem, J.; Sliz, E.; Shin, J.; Holmes, M.V.; Pike, G.B.; Richer, L.; Gaudet, D.; Paus, T.; Pausova, Z. Visceral adiposity is associated with metabolic profiles predictive of type 2 diabetes and myocardial infarction. Commun. Med. 2022, 2, 81. [Google Scholar] [CrossRef] [PubMed]
- Hayden, M.R.; Tyagi, S.C. Uric acid: A new look at an old risk marker for cardiovascular disease, metabolic syndrome, and type 2 diabetes mellitus: The urate redox shuttle. Nutr. Metab. 2004, 1, 10. [Google Scholar] [CrossRef] [PubMed]
- El Din, U.A.S.; Salem, M.M.; Abdulazim, D.O. Uric acid in the pathogenesis of metabolic, renal, and cardiovascular diseases: A review. J. Adv. Res. 2017, 8, 537–548. [Google Scholar] [CrossRef] [PubMed]
- Harvey, A.L.; Edrada-Ebel, R.; Quinn, R.J. The re-emergence of natural products for drug discovery in the genomics era. Nat. Rev. Drug Discov. 2015, 14, 111–129. [Google Scholar] [CrossRef] [PubMed]
- Hewlings, S.J.; Kalman, D.S. Curcumin: A review of its effects on human health. Foods 2017, 6, 92. [Google Scholar] [CrossRef]
- Li, H.; Sureda, A.; Devkota, H.P.; Pittalà, V.; Barreca, D.; Silva, A.S.; Tewari, D.; Xu, S.; Nabavi, S.M. Curcumin, the golden spice in treating cardiovascular diseases. Biotechnol. Adv. 2020, 38, 107343. [Google Scholar] [CrossRef] [PubMed]
- Wang, R.; Zhang, J.-Y.; Zhang, M.; Zhai, M.-G.; Di, S.-Y.; Han, Q.-H.; Jia, Y.-P.; Sun, M.; Liang, H.-L. Curcumin attenuates IR-induced myocardial injury by activating SIRT3. Eur. Rev. Med. Pharmacol. Sci. 2018, 22, 1150–1160. [Google Scholar]
- Qin, S.; Huang, L.; Gong, J.; Shen, S.; Huang, J.; Ren, H.; Hu, H. Efficacy and safety of turmeric and curcumin in lowering blood lipid levels in patients with cardiovascular risk factors: A meta-analysis of randomized controlled trials. Nutr. J. 2017, 16, 68. [Google Scholar] [CrossRef] [PubMed]
- Chuengsamarn, S.; Rattanamongkolgul, S.; Phonrat, B.; Tungtrongchitr, R.; Jirawatnotai, S. Reduction of atherogenic risk in patients with type 2 diabetes by curcuminoid extract: A randomized controlled trial. J. Nutr. Biochem. 2014, 25, 144–150. [Google Scholar] [CrossRef]
- American Diabetes Association. Standards of medical care in diabetes—2017 abridged for primary care providers. Clin. Diabetes Publ. Am. Diabetes Assoc. 2017, 35, 5–26. [Google Scholar]
- Slavin, J.L. Dietary fiber and body weight. Nutrition 2005, 21, 411–418. [Google Scholar] [CrossRef]
- Chainani-Wu, N. Safety and anti-inflammatory activity of curcumin: A component of tumeric (Curcuma longa). J. Altern. Complement. Med. 2003, 9, 161–168. [Google Scholar] [CrossRef]
- Ross, R.; Neeland, I.J.; Yamashita, S.; Shai, I.; Seidell, J.; Magni, P.; Santos, R.D.; Arsenault, B.; Cuevas, A.; Hu, F.B. Waist circumference as a vital sign in clinical practice: A Consensus Statement from the IAS and ICCR Working Group on Visceral Obesity. Nat. Rev. Endocrinol. 2020, 16, 177–189. [Google Scholar] [CrossRef] [PubMed]
- Bera, T.K. Bioelectrical impedance methods for noninvasive health monitoring: A review. J. Med. Eng. 2014, 2014, 381251. [Google Scholar] [CrossRef]
- Matthews, D.R.; Hosker, J.P.; Rudenski, A.S.; Naylor, B.; Treacher, D.F.; Turner, R.C. Homeostasis model assessment: Insulin resistance and β-cell function from fasting plasma glucose and insulin concentrations in man. Diabetologia 1985, 28, 412–419. [Google Scholar] [CrossRef] [PubMed]
- Kulkarni, K. Apo B Measurement System and Method. U.S. Patent US20080261313A1, 17 April 2008. [Google Scholar]
- Svačinová, J.; Hrušková, J.; Jakubík, J.; Budinskaya, K.; Hidegová, S.; Fabšík, M.; Sieglová, H.; Kaščáková, Z.; Novák, J.; Nováková, Z. Variability of peripheral pulse wave velocity in patients with diabetes mellitus type 2 during orthostatic challenge. Physiol. Res. 2020, 69 (Suppl. S3), S433. [Google Scholar] [CrossRef]
- Chuengsamarn, S.; Rattanamongkolgul, S.; Jirawatnotai, S. Association between serum uric acid level and microalbuminuria to chronic vascular complications in Thai patients with type 2 diabetes. J. Diabetes Complicat. 2014, 28, 124–129. [Google Scholar] [CrossRef]
- Lnsis, A. Atherosclenrosis. Nature 2000, 407, 233–241. [Google Scholar]
- WHO Consultation on Obesity. Obesity: Preventing and Managing the Global Epidemic; World Health Organization technical report series; WHO: Geneva, Switzerland, 2000; Volume 894, pp. 1–253.
- World Health Organization. The Asia-Pacific Perspective: Redefining Obesity and Its Treatment; Health Communications Australia: Sydney, Australia, 2000.
- Zieman, S.J.; Melenovsky, V.; Kass, D.A. Mechanisms, pathophysiology, and therapy of arterial stiffness. Arterioscler. Thromb. Vasc. Biol. 2005, 25, 932–943. [Google Scholar] [CrossRef]
- Palombo, C.; Kozakova, M. Arterial stiffness, atherosclerosis and cardiovascular risk: Pathophysiologic mechanisms and emerging clinical indications. Vasc. Pharmacol. 2016, 77, 1–7. [Google Scholar] [CrossRef]
- Intengan, H.D.; Schiffrin, E.L. Vascular remodeling in hypertension: Roles of apoptosis, inflammation, and fibrosis. Hypertension 2001, 38, 581–587. [Google Scholar] [CrossRef] [PubMed]
- Blacher, J.; Asmar, R.; Djane, S.; London, G.M.; Safar, M.E. Aortic pulse wave velocity as a marker of cardiovascular risk in hypertensive patients. Hypertension 1999, 33, 1111–1117. [Google Scholar] [CrossRef] [PubMed]
- Mancia, G.; Kreutz, R.; Brunström, M.; Burnier, M.; Grassi, G.; Januszewicz, A.; Muiesan, M.L.; Tsioufis, K.; Agabiti-Rosei, E.; Algharably, E.A.E. 2023 ESH Guidelines for the management of arterial hypertension The Task Force for the management of arterial hypertension of the European Society of Hypertension: Endorsed by the International Society of Hypertension (ISH) and the European Renal Association (ERA). J. Hypertens. 2023, 41, 1874–2071. [Google Scholar] [PubMed]
- Ishizaka, N.; Ishizaka, Y.; Takahashi, E.; Unuma, T.; Tooda, E.-I.; Nagai, R.; Togo, M.; Tsukamoto, K.; Hashimoto, H.; Yamakado, M. Association between Insulin Resistance and Carotid Arteriosclerosis in Subjects with Normal Fasting Glucose and Normal Glucose Tolerance. Arteriosc. Thromb. Vasc. Biol. 2003, 23, 295–301. [Google Scholar] [CrossRef] [PubMed][Green Version]
- Gast, K.B.; Tjeerdema, N.; Stijnen, T.; Smit, J.W.A.; Dekkers, O.M. Insulin Resistance and Risk of Incident Cardiovascular Events in Adults without Diabetes: Meta-Analysis. PLoS ONE 2012, 7, e52036. [Google Scholar] [CrossRef] [PubMed]
- Venkata, M.; Sripathy, R.; Anjana, D.; Somashekara, N.; Krishnaraju, A.; Krishanu, S.; Murali, M.; Verma, S.R.; Ramchand, C. In silico, in vitro and in vivo assessment of safety and anti-inflammatory activity of curcumin. Am. J. Infect. Dis. 2012, 8, 26. [Google Scholar]
- Jiang, S.; Han, J.; Li, T.; Xin, Z.; Ma, Z.; Di, W.; Hu, W.; Gong, B.; Di, S.; Wang, D.; et al. Curcumin as a potential protective compound against cardiac diseases. Pharmacol. Res. 2017, 119, 373–383. [Google Scholar] [CrossRef] [PubMed]
- Shehzad, A.; Rehman, G.; Lee, Y.S. Curcumin in inflammatory diseases. BioFactors 2013, 39, 69–77. [Google Scholar] [CrossRef] [PubMed]
- Zhang, S.; Zou, J.; Li, P.; Zheng, X.; Feng, D. Curcumin Protects against Atherosclerosis in Apolipoprotein E-Knockout Mice by Inhibiting Toll-like Receptor 4 Expression. J. Agric. Food Chem. 2018, 66, 449–456. [Google Scholar] [CrossRef]
- Merhi-Soussi, F.; Kwak, B.R.; Magne, D.; Chadjichristos, C.; Berti, M.; Pelli, G.; James, R.W.; Mach, F.; Gabay, C. Interleukin-1 plays a major role in vascular inflammation and atherosclerosis in male apolipoprotein E-knockout mice. Cardiovasc. Res. 2005, 66, 583–593. [Google Scholar] [CrossRef]
- Madan, M.; Bishayi, B.; Hoge, M.; Amar, S. Atheroprotective role of interleukin-6 in diet- and/or pathogen-associated atherosclerosis using an ApoE heterozygote murine model. Atherosclerosis 2008, 197, 504–514. [Google Scholar] [CrossRef] [PubMed]
- Schieffer, B.; Schieffer, E.; Hilfiker-Kleiner, D.; Hilfiker, A.; Kovanen, P.T.; Kaartinen, M.; Nussberger, J.; Harringer, W.; Drexler, H. Expression of angiotensin II and interleukin 6 in human coronary atherosclerotic plaques: Potential implications for inflammation and plaque instability. Circulation 2000, 101, 1372–1378. [Google Scholar] [CrossRef] [PubMed]
- Brånén, L.; Hovgaard, L.; Nitulescu, M.; Bengtsson, E.; Nilsson, J.; Jovinge, S. Inhibition of Tumor Necrosis Factor-α Reduces Atherosclerosis in Apolipoprotein E Knockout Mice. Arteriosc. Thromb. Vasc. Biol. 2004, 24, 2137–2142. [Google Scholar] [CrossRef] [PubMed]
- Zhang, Y.; Yang, X.; Bian, F.; Wu, P.; Xing, S.; Xu, G.; Li, W.; Chi, J.; Ouyang, C.; Zheng, T.; et al. TNF-α promotes early atherosclerosis by increasing transcytosis of LDL across endothelial cells: Crosstalk between NF-κB and PPAR-γ. J. Mol. Cell. Cardiol. 2014, 72, 85–94. [Google Scholar] [CrossRef] [PubMed]
- Tousoulis, D.; Oikonomou, E.; Economou, E.K.; Crea, F.; Kaski, J.C. Inflammatory cytokines in atherosclerosis: Current therapeutic approaches. Eur. Heart J. 2016, 37, 1723–1732. [Google Scholar] [CrossRef] [PubMed]
- Fatkhullina, A.R.; Peshkova, I.O.; Koltsova, E.K. The Role of Cytokines in the Development of Atherosclerosis. Biochemistry 2016, 81, 1358–1370. [Google Scholar] [CrossRef]
- Yu, H.; Rifai, N. High-Sensitivity C-Reactive Protein and Atherosclerosis: From Theory to Therapy. Clin. Biochem. 2000, 33, 601–610. [Google Scholar] [CrossRef]
- Libby, P.; Ridker, P.M. Inflammation and atherosclerosis: Role of C-Reactive protein in risk assessment. Am. J. Med. 2004, 116 (Suppl. S6A), 9–16. [Google Scholar] [CrossRef]
- Tang, M.; Cao, H.; Wei, X.H.; Zhen, Q.; Liu, F.; Wang, Y.F.; Fan, N.G.; Peng, Y.D. Association between High-Sensitivity C-Reactive Protein and Diabetic Kidney Disease in Patients with Type 2 Diabetes Mellitus. Front. Endocrinol. 2022, 13, 885516. [Google Scholar] [CrossRef]
- Hsieh, C. Phase I clinical trial of curcumin, a chemopreventive agent, in patients with high-risk or pre-malignant lesions. Anticancer Res. 2001, 21, e2900. [Google Scholar]


| Variables | Placebo | Curcumin | p * | 
|---|---|---|---|
| Mean (S.E.) (n = 114) | Mean (S.E.) (n = 113) | ||
| Sex ratio (Males:Females) | 54/80 (0.67) | 62/73 (0.85) | 0.87 ⵜ | 
| Age (years) | 62.26 (0.81) | 60.27(0.83) | 0.13 | 
| BMI (kg/m2) | 26.76 (0.38) | 27.21 (0.37) | 0.41 | 
| Systolic blood pressure (mmHg) | 129.25(1.28) | 129.76 (1.30) | 0.95 | 
| Diastolic blood pressure (mmHg) | 75.84 (1.05) | 75.14 (1.15) | 0.95 | 
| Pulse wave velocity Rt (cm/s) | 1758.38 (35.26) | 1812.84 (29.27) | 0.26 | 
| Pulse wave velocity Lt (cm/s) | 1746.13 (36.10) | 1742.66 (28.40) | 0.08 | 
| Total body fat (%) | 33.21 (0.52) | 32.66 (0.59) | 0.58 | 
| Visceral fat (%) | 13.27 (0.49) | 13.89 (0.52) | 0.30 | 
| Waist circumference (cm) | 93.61(0.96) | 91.97 (10.87) | 0.30 | 
| FPG (mg/dl) | 125.80 (2.22) | 123.65 (1.73) | 0.40 | 
| HbA1c (%) | 6.26 (0.06) | 6.28 (0.07) | 0.69 | 
| HOMA-IR | 5.24 (0.24) | 5.38 (0.23) | 0.72 | 
| TG/HDL-C ratio | 2.59 (0.15) | 2.53(0.16) | 0.25 | 
| LDL-C (mg/dL) | 103.91 (2.82) | 103.10 (3.04) | 0.60 | 
| sdLDL-C (mg/dL) | 36.54 (1.66) | 36.70 (1.64) | 0.55 | 
| ApoB (mg/dL) | 85.33 (1.67) | 84.06 (1.23) | 0.91 | 
| Uric acid (mg/dL) | 5.89 (0.12) | 6.07 (0.12) | 0.11 | 
| hs-CRP (mg/LL) | 2.98 (0.52) | 3.41(0.21) | 0.58 | 
| Interleukin-1 beta (pg/mL) | 0.44 (0.02) | 0.42 (0.02) | 0.46 | 
| Interleukin-6 (pg/mL) | 8.71 (0.11) | 8.96 (0.12) | 0.34 | 
| TNF-α (pg/mL) | 5.01 (0.14) | 4.78 (0.13) | 0.24 | 
| Creatinine (mg/dL) | 0.87 (0.02) | 0.86 (0.02) | 0.77 | 
| AST (U/L) | 25.01 (0.87) | 25.34 (0.80) | 0.58 | 
| ALT (U/L) | 27.58 (1.56) | 30.09 (1.50) | 0.08 | 
| History of cerebrovascular disease | 7 (5.2%) | 5 (3.7%) | 0.30 ⵜ | 
| History of coronary artery disease | 9 (6.7%) | 8 (5.9%) | 0.80 ⵜ | 
| History of hypertension | 82 (61.2%) | 76 (51.2%) | 0.68 ⵜ | 
| History of dyslipidemia | 104 (77.6%) | 101 (74.8%) | 0.84 ⵜ | 
| Outcomes | Follow-Up Period (Months) | Placebo | Curcumin | p | ||
|---|---|---|---|---|---|---|
| Mean | Minimum–Maximum | Mean | Minimum–Maximum | |||
| PWV Rt (cm/s) | 0 | 1758.38 | 1074–3121 | 1812.84 | 1123–2803 | NS | 
| 3 | 1780.35 | 728–2915 | 1753.57 | 1082–3101 | <0.05 | |
| 6 | 1777.31 | 950–3012 | 1692.96 | 1145–2806 | <0.05 | |
| 9 | 1780.39 | 1122–2819 | 1650.04 | 1097–2527 | <0.01 | |
| 12 | 1773.59 | 1089–3128 | 1620.20 | 789–2966 | <0.001 | |
| PWV Lt (cm/s) | 0 | 1746.13 | 760–3043 | 1742.66 | 1240–2768 | NS | 
| 3 | 1765.70 | 1064–3204 | 1686.39 | 1066–3027 | <0.05 | |
| 6 | 1763.35 | 1079–3114 | 1647.39 | 1092–3010 | <0.05 | |
| 9 | 1770.71 | 1195–3131 | 1628.27 | 1134–2542 | <0.01 | |
| 12 | 1783.17 | 1021–2917 | 1572.40 | 1023–3055 | <0.001 | |
| HbA1c (%) | 0 | 6.26 | 4.80–8.90 | 6.28 | 4.40–9.50 | NS | 
| 3 | 6.44 | 5.00–8.90 | 6.26 | 4.70–9.20 | <0.01 | |
| 6 | 6.46 | 5.10–9.00 | 6.25 | 4.50–8.30 | <0.01 | |
| 9 | 6.47 | 5.00–10.40 | 6.19 | 4.10–8.20 | <0.05 | |
| 12 | 6.47 | 5.00–10.50 | 6.12 | 4.20–8.40 | <0.05 | |
| FPG (mg/dL) | 0 | 125.08 | 91–285 | 123.65 | 79–178 | NS | 
| 3 | 128.93 | 100–195 | 124.40 | 80–171 | NS | |
| 6 | 130.34 | 77–231 | 122.82 | 79–204 | <0.01 | |
| 9 | 130.93 | 97–201 | 118.67 | 75–165 | <0.01 | |
| 12 | 130.71 | 98–194 | 115.49 | 70–160 | <0.05 | |
| Waist circumference (cm) | 0 | 93.61 | 61–128 | 91.97 | 71–120 | <0.05 | 
| 3 | 93.87 | 62–128 | 91.0.1 | 70–118 | <0.001 | |
| 6 | 93.99 | 63–165 | 90.44 | 69–135 | <0.001 | |
| 9 | 94.81 | 63–129 | 89.39 | 68–117 | <0.001 | |
| 12 | 95.46 | 63–140 | 88.70 | 68–114 | <0.001 | |
| Total body fat (%) | 0 | 33.21 | 14.40–46.10 | 32.66 | 14.40–45.30 | NS | 
| 3 | 33.50 | 16.80–46.20 | 32.45 | 14.20–45.80 | <0.05 | |
| 6 | 34.10 | 16.20–47.10 | 31.41 | 13.80–43.20 | <0.01 | |
| 9 | 34.54 | 19.00–47.40 | 31.34 | 13.60–46.40 | <0.001 | |
| 12 | 35.04 | 21.00–48.10 | 31.02 | 13.40–46.10 | <0.001 | |
| Visceral fat (%) | 0 | 13.27 | 2.00–16.75 | 13.89 | 4.00–30.00 | NS | 
| 3 | 13.21 | 3.00–31.00 | 13.33 | 3.00–29.00 | <0.05 | |
| 6 | 13.66 | 3.00–33.00 | 12.28 | 2.00–28.00 | <0.01 | |
| 9 | 13.79 | 3.00–35.00 | 11.90 | 2.00–28.00 | <0.01 | |
| 12 | 13.72 | 3.00–36.00 | 11.40 | 3.00–30.00 | <0.01 | |
| LDL-C (mg/dL) | 0 | 102.64 | 53–210 | 103.10 | 43.00–224.00 | NS | 
| 3 | 103.55 | 49–201 | 92.55 | 47.00–183.00 | <0.01 | |
| 6 | 104.99 | 43–215 | 90.96 | 53.00–235.00 | <0.001 | |
| 9 | 105.22 | 37–179 | 87.28 | 39.00–224.00 | <0.001 | |
| 12 | 105.98 | 45–193 | 86.77 | 41.00–169.00 | <0.001 | |
| sdLDL-C (mg/dL) | 0 | 36.54 | 7.28–100.00 | 36.70 | 8.34–96.52 | NS | 
| 3 | 39.52 | 7.07–99.02 | 33.14 | 5.69–100.00 | <0.01 | |
| 6 | 39.81 | 11.10–99.02 | 30.14 | 7.48–84.69 | <0.01 | |
| 9 | 39.96 | 3.29–87.05 | 27.11 | 2.62–60.59 | <0.001 | |
| 12 | 39.98 | 5.68–85.22 | 21.65 | 2.62–63.65 | <0.001 | |
| TG/HDL-C ratio | 0 | 2.59 | 0.09–2.98 | 2.53 | 0.20–1.99 | NS | 
| 3 | 3.20 | 0.29–2.39 | 2.28 | 0.16–2.54 | <0.01 | |
| 6 | 3.53 | 0.26–2.46 | 2.26 | 0.20–2.51 | <0.001 | |
| 9 | 3.67 | 0.33–2.30 | 2.18 | 0.18–2.55 | <0.001 | |
| 12 | 3.72 | 0.27–2.51 | 2.12 | 0.17–2.54 | <0.001 | |
| ApoB (mg/dL) | 0 | 84.33 | 35–153 | 84.06 | 35.00–120.00 | NS | 
| 3 | 84.30 | 36–153 | 78.54 | 35–132 | <0.05 | |
| 6 months | 84.67 | 34–150 | 60.68 | 29–105 | <0.001 | |
| 9 months | 84.66 | 33–150 | 51.51 | 21–85 | <0.001 | |
| 12 months | 84.66 | 38–153 | 41.35 | 20–78 | <0.001 | |
| Uric acid (mg/dL) | 0 months | 5.82 | 3.03–10.75 | 5.99 | 2.31–10.25 | NS | 
| 3 months | 6.02 | 2.74–9.41 | 5.87 | 2.72–11.13 | <0.05 | |
| 6 months | 6.58 | 3.76–11.43 | 5.95 | 2.59–9.99 | <0.01 | |
| 9 months | 6.54 | 3.40–10.61 | 5.47 | 2.71–9.21 | <0.001 | |
| 12 months | 6.56 | 3.23–10.78 | 5.05 | 2.32–8.76 | <0.001 | |
| HOMA-IR | 0 months | 5.24 | 1.70–21.80 | 5.38 | 1.20–14.20 | NS | 
| 3 months | 5.88 | 2–17 | 5.25 | 1.70–12.80 | <0.05 | |
| 6 months | 5.93 | 1.80–17.90 | 5.17 | 1.60–16.50 | <0.05 | |
| 9 months | 6.02 | 2.20–19.80 | 5.02 | 1.30–11.50 | <0.05 | |
| 12 months | 6.04 | 2.30–18.00 | 4.86 | 1.20–11.00 | <0.05 | |
| hs-CRP (mg/L) | 0 months | 3.41 | 0.20–44.49 | 2.98 | 0.22–16.64 | NS | 
| 3 months | 3.51 | 0.17–14.10 | 2.94 | 0.29–12.52 | <0.05 | |
| 6 months | 3.53 | 0.26–29.81 | 2.81 | 0.26–19.25 | <0.05 | |
| 9 months | 3.68 | 0.31–36.64 | 2.69 | 0.19–44.75 | <0.001 | |
| 12 months | 3.75 | 0.25–30.24 | 2.60 | 0.14–14.60 | <0.001 | |
| Interleukin-1β (pg/mL) | 0 months | 0.44 | 0.01–0.86 | 0.46 | 0.01–0.88 | NS | 
| 3 months | 0.46 | 0.02–0.87 | 0.45 | 0.01–0.87 | NS | |
| 6 months | 0.71 | 0.20–1.74 | 0.43 | 0.15–1.54 | <0.001 | |
| 9 months | 0.72 | 0.20–1.65 | 0.41 | 0.12–0.99 | <0.001 | |
| 12 months | 074 | 0.32–1.86 | 0.31 | 0.10–1.39 | <0.001 | |
| Interleukin-6 (pg/mL) | 0 months | 8.71 | 7.04–10.56 | 8.96 | 7.04–10.56 | NS | 
| 3 months | 8.89 | 7.04–10.56 | 8.72 | 7.04–10.56 | NS | |
| 6 months | 12.84 | 5.21–17.99 | 7.54 | 3.11–14.99 | <0.001 | |
| 9 months | 14.30 | 7.65–19.66 | 6.82 | 3.2–13.24 | <0.001 | |
| 12 months | 15.84 | 4.33–19.66 | 6.12 | 3.09–12.40 | <0.001 | |
| TNF-α (pg/mL) | 0 months | 5.01 | 2.64–7.04 | 4.77 | 2.64–7.04 | NS | 
| 3 months | 5.16 | 2.64–7.04 | 4.84 | 2.64–7.04 | NS | |
| 6 months | 5.91 | 2.18–14.88 | 4.23 | 1.46–10.5 | <0.001 | |
| 9 months | 6.37 | 2.24–14.98 | 3.81 | 1.43–9.44 | <0.001 | |
| 12 months | 6.77 | 2.14–15.37 | 3.46 | 1.33–8.59 | <0.001 | |
| Disclaimer/Publisher’s Note: The statements, opinions and data contained in all publications are solely those of the individual author(s) and contributor(s) and not of MDPI and/or the editor(s). MDPI and/or the editor(s) disclaim responsibility for any injury to people or property resulting from any ideas, methods, instructions or products referred to in the content. | 
© 2024 by the authors. Licensee MDPI, Basel, Switzerland. This article is an open access article distributed under the terms and conditions of the Creative Commons Attribution (CC BY) license (https://creativecommons.org/licenses/by/4.0/).
Share and Cite
Yaikwawong, M.; Jansarikit, L.; Jirawatnotai, S.; Chuengsamarn, S. The Effect of Curcumin on Reducing Atherogenic Risks in Obese Patients with Type 2 Diabetes: A Randomized Controlled Trial. Nutrients 2024, 16, 2441. https://doi.org/10.3390/nu16152441
Yaikwawong M, Jansarikit L, Jirawatnotai S, Chuengsamarn S. The Effect of Curcumin on Reducing Atherogenic Risks in Obese Patients with Type 2 Diabetes: A Randomized Controlled Trial. Nutrients. 2024; 16(15):2441. https://doi.org/10.3390/nu16152441
Chicago/Turabian StyleYaikwawong, Metha, Laddawan Jansarikit, Siwanon Jirawatnotai, and Somlak Chuengsamarn. 2024. "The Effect of Curcumin on Reducing Atherogenic Risks in Obese Patients with Type 2 Diabetes: A Randomized Controlled Trial" Nutrients 16, no. 15: 2441. https://doi.org/10.3390/nu16152441
APA StyleYaikwawong, M., Jansarikit, L., Jirawatnotai, S., & Chuengsamarn, S. (2024). The Effect of Curcumin on Reducing Atherogenic Risks in Obese Patients with Type 2 Diabetes: A Randomized Controlled Trial. Nutrients, 16(15), 2441. https://doi.org/10.3390/nu16152441
 
        


 
                         
       