The Hypoglycemic and Hypocholesterolemic Activity of Dioscorea deltoidea, Tribulus terrestris and Panax japonicus Cell Culture Biomass in Rats with High-Fat Diet-Induced Obesity
Abstract
1. Introduction
2. Materials and Methods
2.1. Plant Suspension Cell Cultures, Bioreactor Cultivation, and Preparation of Cell Biomass
- Suspension cell cultures of medicinal plants with enhanced production of active metabolites were received from All-Russian collection of plant cell cultures, Institute of Plant Physiology of Russian Academy of Sciences (Appendix A, Figure A1 and Figure A2). The following cell cultures were used in the study:
- Suspension cell culture of Dioscorea deltoidea Wall. ex Griseb., strain DM-05-03, total content of furostanol glycosides (25 (S)-protodioscin, protodioscin and deltoside) 4.62% of dry cell weight (DW);
- Suspension cell culture of Panax japonicus (T. Nees) C.A. Mey., strain 62, total content of ginsenosides (Rg1, malonyl-Rg1, Rb1, malonyl-Rb1, Rb2/Rb3, malonyl-Rb2/Rb3, Rd, malonyl-Rd, Rf, R0, chikusetsusaponin IVa) 3.46% DW;
- Suspension cell culture of Tribulus terrestris L., strain Tter8, total content of furostanol glycosides 0.1% DW.
2.2. Anti-Obesity Effects of Cell Biomass Preparations of D. deltoidea, T. terrestris, and P. japonicus
2.2.1. Laboratory Animal Husbandry
2.2.2. Experimental Model of Alimentary Obesity and Antiobesity Effects of Cell Biomass Preparations
2.2.3. Bioimpedance Spectroscopy (BIS), Collection, and Evaluation of Biological Material
2.3. Effect of D. deltoidea Cell Biomass Preparation on Reproductive Functions of Laboratory Rats
2.4. Statistical Data Analysis
3. Results
3.1. Antiobesity Effects of Cell Biomass Preparations
3.1.1. Alimentary Induced Obesity Model
3.1.2. Hypoglycemic and Hypocholesterolemic Activity in Liraglutide and Phytopreparations of D. deltoidea, P. japonicus, and T. terrestris Cell Cultures
3.2. The Analysis of Possible Toxic Effects of D. deltoidea Phytopreparation on Reproductive Functions
4. Discussion
4.1. Antiobesity Effects of Cell Biomass Preparations of D. deltoidea, T. terrestris, and P. japonicus
4.2. Effect of D. deltoidea Cell Biomass Preparation on Reproductive Functions of Laboratory Rats
5. Conclusions
Author Contributions
Funding
Institutional Review Board Statement
Informed Consent Statement
Data Availability Statement
Conflicts of Interest
Appendix A
| Parameters | Reference Values 1 | Group | |||
|---|---|---|---|---|---|
| Experimental F0 | Control F0 | Experimental F1 | Control F1 | ||
| White blood cells, 109/L | 0.96–7.88 | 5.75 ± 0.74 * | 4.12 ± 0.69 | 5.01 ± 0.84 | 4.15 ± 1.04 |
| Lymphocytes, 109/L | 0.68–6.80 | 4.87 ± 0.66 | 3.35 ± 0.60 | 4.25 ± 1.58 | 3.89 ± 1.36 |
| Monocytes, 109/L | 0.02–0.29 | 0.06 ± 0.02 | 0.04 ± 0.01 | 0.16 ± 0.10 | 0.14 ± 0.07 |
| Granulocytes, 109/L | 0.15–1.11 | 0.76 ± 0.10 | 0.74 ± 0.04 | 0.94 ± 0.47 | 0.56 ± 0.19 |
| Lymphocytes, % | 48.9–88.1 | 81.39 ± 1.27 | 80.46 ± 1.43 | 83.50 ± 5.20 | 82.90 ± 5.10 |
| Monocytes, % | 1.3–9.0 | 1.02 ± 0.19 | 0.85 ± 0.07 | 1.23 ± 0.38 | 0.86 ± 0.16 |
| Granulocytes,% | 8.8–43.8 | 17.40 ± 1.42 | 18.57 ± 1.48 | 15.21 ± 5.31 | 16.24 ± 5.23 |
| Parameters | Reference Values 1 | Group | |||
|---|---|---|---|---|---|
| Experimental F0 | Control F0 | Experimental F1 | Control F1 | ||
| Red Blood Cells Parameters | |||||
| Red blood cells, 1012/L | 7.16–9.24 | 7.81 ± 0.09 | 8.02 ± 0.10 | 8.87 ± 0.60 | 8.51 ± 0.24 |
| Hemoglobin, g/L | 137–172 | 145.30 ± 1.30 | 148.00 ± 2.00 | 153.28 ± 7.14 | 154.07 ± 6.43 |
| Hematocrit, % | 38.5–59.2 | 39.96 ± 0.40 * | 41.40 ± 0.52 | 45.19 ± 3.94 | 45.02 ± 1.49 |
| Mean erythrocyte volume, µm3 | 50.3–57.0 | 51.08 ± 0.34 | 51.71 ± 0.41 | 51.42 ± 2.17 | 52.86 ± 1.41 |
| Mean hemoglobin concentration in erythrocyte, g/L | 332–378 | 363.80± 2.70 * | 357.20 ± 2.10 | 338.54 ± 5.51 | 340.21 ± 5.47 |
| Red blood cells distribution, % | 10.6–14.6 | 14.91 ± 0.26 | 14.71 ± 0.12 | 16.06 ± 0.72 | 15.81 ± 0.95 |
| Platelets parameters | |||||
| Platelets, 109/L | 599–1144 | 631.9 ± 25.2 | 663.0 ± 21.60 | 664.38 ± 67.51 | 627.36 ± 47.94 |
| Plateletcrit, % | - | 0.41 ± 0.02 | 0.43 ± 0.02 | 0.42 ± 0.05 | 0.40 ± 0.04 |
| Mean platelet volume, µm3 | 6.4–9.5 | 6.51 ± 0.04 | 6.49 ± 0.03 | 6.39 ± 0.26 | 6.44 ± 0.2 |
| Platelet distribution, % | - | 32.94 ± 0.26 | 32.69 ± 0.18 | 32.38 ± 0.9 | 32.31 ± 0.75 |
| Parameters | Reference Values 1 | Group | |||
|---|---|---|---|---|---|
| Experimental F0 | Control F0 | Experimental F1 | Control F1 | ||
| Total protein, g/L | 57–83 | 70.63 ± 1.71 | 69.13 ± 1.15 | 74.88 ± 5.24 | 69.41 ± 2.46 |
| Albumin, g/L | 37-–58 | 47.97 ± 1.98 | 47.99 ± 1.04 | 50.46 ± 5.27 | 48.31 ± 3.4 |
| Creatinine, µmol/L | 9.0–70.0 | 56.17 ± 3.10 | 58.57 ± 1.19 | 62.15 ± 3.04 * | 55.43 ± 3.55 |
| Urea, mmol/L | 4.28–8.57 | 6.95 ± 0.13 * | 6.25 ± 0.20 | 8.82 ± 0.49 | 8.19 ± 0.52 |
| Total bilirubin, µmol/L | 1.2–3.59 | 3.10 ± 0.03 | 2.93 ± 0.16 | 2.84 ± 0.57 | 3.03 ± 0.43 |
| Direct bilirubin, µmol/l | 0.51–1.20 | 2.30 ± 0.10 | 2.27 ± 0.08 | 2.15 ± 0.36 | 2.17 ± 0.26 |
| Aspartate aminotransferase, U/L | 64–222 | 110.3 ± 6.4 | 100.1 ± 5.8 | 106.22 ± 21.61 | 128.06 ± 19.19 |
| Alanine aminotransferase, U/L | 14–64 | 30.59 ± 0.12 * | 25.83 ± 0.17 | 55.56 ± 3.44 | 59.14 ± 7.81 |
| Alkaline phosphatase, U/L | 62–230 | 128.0 ± 5.3 | 118.7 ± 8.6 | 176.41 ± 30.12 | 190.26 ± 29.78 |
| Gamma glutamyltransferase, U/L | 0–4 | 2.57 ± 0.29 * | 1.66 ± 0.26 | 1.77 ± 0.59 | 1.82 ± 0.67 |
| Lactate dehydrogenase, U/L | 50–700 | 281.9 ± 25.2 | 245.6 ± 17.6 | 358.03 ± 47.9 | 341.9 ± 52.42 |
| Total cholesterol, mmol/L | 0.60–2.52 | 2.10 ± 0.06 | 2.04 ± 0.05 | 2.31 ± 0.37 | 2.37 ± 0.40 |
| Triglycerides, mmol/L | 0.18–1.93 | 1.40 ± 0.15 | 1.11 ± 0.07 | 1.88 ± 0.45 | 2.06 ± 0.39 |
| Glucose, mmol/L | 3.92–12.21 | 11.82 ± 0.14 | 12.39 ± 0.52 | 10.43 ± 4.1 | 10.76 ± 3.38 |
| Organ | Group | |||
|---|---|---|---|---|
| Experimental F0 | Control F0 | Experimental F1 | Control F1 | |
| Spleen | 0.22 ± 0.03 | 0.23 ± 0.02 | 0.21 ± 0.02 | 0.20 ± 0.01 |
| Kidney | 0.31 ± 0.03 | 0.30 ± 0.02 | 0.28 ± 0.02 | 0.27 ± 0.01 |
| Liver | 3.34 ± 0.18 | 3.21 ± 0.26 | 3.12 ± 0.22 | 2.93 ± 0.16 |
| Heart | 0.36 ± 0.04 | 0.37 ± 0.03 | 0.29 ± 0.03 | 0.32 ± 0.03 |
| Thymus | 0.13 ± 0.02 | 0.14 ± 0.03 | 0.17 ± 0.03 | 0.19 ± 0.02 |




References
- Dai, H.; Alsalhe, T.A.; Chalghaf, N.; Riccò, M.; Bragazzi, N.L.; Wu, J. The global burden of disease attributable to high body mass index in 195 countries and territories, 1990–2017: An analysis of the global burden of disease study. PLoS Med. 2020, 17, e1003198. [Google Scholar] [CrossRef] [PubMed]
- GBD 2019 Risk Factors Collaborators. Global burden of 87 risk factors in 204 countries and territories, 1990–2019: A systematic analysis for the Global Burden of Disease Study 2019. Lancet 2020, 396, 1223–1249. [Google Scholar]
- WHO Obesity and Overweight. Available online: https://www.who.int/news-room/fact-sheets/detail/obesity-and-overweight. (accessed on 25 November 2022).
- World Health Organization Global Health Observatory Data Repository. Prevalence of Obesity Among Adults, BMI ≥ 30, Age-Standardized. Estimates by Country. Available online: http://apps.who.int/gho/data/node.main.A900A?lang=en (accessed on 25 November 2022).
- Di Cesare, M.; Sorić, M.; Bovet, P.; Miranda, J.J.; Bhutta, Z.; Stevens, G.A.; Laxmaiah, A.; Kengne, A.P.; Bentham, J. The epidemiological burden of obesity in childhood: A worldwide epidemic requiring urgent action. BMC Med. 2019, 17, 212. [Google Scholar] [CrossRef]
- WHO European Regional Obesity Report 2022. Available online: https://apps.who.int/iris/bitstream/handle/10665/353747/9789289057738-eng.pdf (accessed on 25 November 2022).
- Afshin, A.; GBD 2015 Obesity Collaborators. Health effects of overweight and obesity in 195 countries over 25 years. N. Engl. J. Med. 2017, 377, 13–27. [Google Scholar]
- Nyberg, S.T.; Batty, G.D.; Pentti, J.; Virtanen, M.; Alfredsson, L.; Fransson, E.I.; Goldberg, M.; Heikkilä, K.; Jokela, M.; Knutsson, A.; et al. Obesity and loss of disease-free years owing to major non-communicable diseases: A multicohort study. Lancet Public Health 2018, 3, e490–e497. [Google Scholar] [CrossRef] [PubMed]
- Zhou, Y.; Chi, J.; Lv, W.; Wang, Y. Obesity and diabetes as high-risk factors for severe coronavirus disease 2019 (COVID-19). Diabetes/Metab. Rese. Rev. 2021, 37, e3377. [Google Scholar] [CrossRef] [PubMed]
- Larsson, S.C.; Burgess, S. Causal role of high body mass index in multiple chronic diseases: A systematic review and meta-analysis of Mendelian randomization studies. BMC Med. 2021, 19, 320. [Google Scholar] [CrossRef]
- Wei, W.; Zhang, X.; Zhou, B.; Ge, B.; Tian, J.; Chen, J. Effects of female obesity on conception, pregnancy and the health of offspring. Front. Endocrinol. 2022, 13, 949228. [Google Scholar] [CrossRef]
- Silvestris, E.; de Pergola, G.; Rosania, R.; Loverro, G. Obesity as disruptor of the female fertility. Reprod. Biol. Endocrinol. 2018, 16, 22. [Google Scholar] [CrossRef]
- Crujeiras, A.B.; Casanueva, F.F. Obesity and the reproductive system disorders: Epigenetics as a potential bridge. Hum. Reprod. Update 2015, 21, 249–261. [Google Scholar] [CrossRef]
- Shi, Q.; Wang, Y.; Hao, Q.; Vandvik, P.O.; Guyatt, G.; Li, J.; Chen, Z.; Xu, S.; Shen, Y.; Ge, L.; et al. Pharmacotherapy for adults with overweight and obesity: A systematic review and network meta-analysis of randomised controlled trials. Lancet 2022, 399, 259–269. [Google Scholar] [CrossRef]
- Padwal, R.; Kezouh, A.; Levine, M.; Etminan, M. Long-term persistence with orlistat and sibutramine in a population-based cohort. Int. J. Obes. 2007, 31, 1567–1570. [Google Scholar] [CrossRef] [PubMed]
- Bray, G.A.; Ryan, D.H. Medical therapy for the patient with obesity. Circulation 2012, 125, 1695–1703. [Google Scholar] [CrossRef] [PubMed]
- James, W.P.T.; Caterson, I.D.; Coutinho, W.; Finer, N.; Van Gaal, L.F.; Maggioni, A.P.; Torp-Pedersen, C.; Sharma, A.M.; Shepherd, G.M.; Rode, R.A.; et al. Effect of sibutramine on cardiovascular outcomes in overweight and obese subjects. N. Engl. J. Med. 2010, 363, 905–917. [Google Scholar] [CrossRef] [PubMed]
- Apovian, C.M.; Rubin, D. A randomized phase 3 trials of naltrexone SR bupropion SR on weight and obesity related risk factors (COR-II). Obesity 2016, 21, 935–943. [Google Scholar] [CrossRef]
- Astrup, A.; Carraro, R.; Finer, N.; Harper, A.; Kunesova, M.; Lean, M.E.; Niskanen, L.; Rasmussen, M.F.; Rissanen, A.; Rössner, S.; et al. Safety, tolerability and sustained weight loss over 2 years with the once-daily human GLP-1 analog, liraglutide. Int. J. Obes. 2012, 36, 843–854. [Google Scholar] [CrossRef]
- Pi-Sunyer, X.; Astrup, A.; Fujioka, K.; Greenway, F.; Halpern, A.; Krempf, M.; Lau, D.C.; le Roux, C.W.; Violante Ortiz, R.; Jensen, C.B.; et al. A randomized, controlled trial of 3.0 mg of liraglutide in weight management. N. Engl. J. Med. 2015, 373, 11–22. [Google Scholar] [CrossRef]
- Bhat, S.P.; Sharma, A. Current drug targets in obesity pharmacotherapy—A review. Curr. Drug Targets 2017, 18, 983–993. [Google Scholar] [CrossRef]
- Tak, Y.J.; Lee, S.Y. Anti-obesity drugs: Long-term efficacy and safety: An updated review. World J. Mens Health 2021, 39, 208–221. [Google Scholar] [CrossRef]
- Sharma, T.; Kanwar, S.S. Phytomolecules for obesity and body weight management. J. Biochem. Cell Biol. 2018, 1, 101. [Google Scholar]
- Kazemipoor, M.; Cordell, G.A.; Sarker, M.M.R.; Radzi, C.W.J.B.W.M.; Hajifaraji, M.; Kiat, P. Alternative reatments for weight loss: Safety/risks and effectiveness of anti-obesity medicinal plants. Int. J. Food Prop. 2015, 18, 1942–1963. [Google Scholar] [CrossRef]
- Liu, Y.; Sun, M.; Yao, H.; Liu, Y.; Gao, R. Herbal medicine for the treatment of obesity: An overview of scientific evidence from 2007 to 2017. Evid. Based Complement. Altern. Med. 2017, 2017, 8943059. [Google Scholar] [CrossRef] [PubMed]
- Hu, Z.; Yang, X.; Ho, P.C.L.; Chan, S.Y.; Heng, P.W.S.; Chan, E.; Duan, W.; Koh, H.L.; Zhou, S. Herb-drug interactions. Drugs 2005, 65, 1239–1282. [Google Scholar] [CrossRef] [PubMed]
- Briskin, D.P. Medicinal plants and phytomedicines. Linking plant biochemistry and physiology to human health. Plant Physiol. 2000, 124, 507–514. [Google Scholar] [CrossRef] [PubMed]
- Benzie, I.F.; Wachtel-Galor, S. Herbal Medicine: Biomolecular and Clinical Aspects; CRC Press: Boca Raton, FL, USA; Taylor &Francis: Abingdon, UK, 2011. [Google Scholar]
- Karole, S.; Shrivastava, S.; Thomas, S.; Soni, B.; Khan, S.; Dubey, J.; Dubey, S.P.; Khan, N.; Jain, D.K. Polyherbal formulation concept for synergic action: A review. J. Drug. Deliv. Ther. 2019, 9, 453–466. [Google Scholar] [CrossRef]
- Chandrasekaran, C.; Vijayalakshmi, M.; Prakash, K.; Bansal, V.; Meenakshi, J.; Amit, A. Herbal approach for obesity management. Am. J. Plant. Sci. 2012, 3, 1003–1014. [Google Scholar] [CrossRef]
- Wang, H.-N.; Xiang, J.-Z.; Qi, Z.; Du, M. Plant extracts in prevention of obesity. Crit. Rev. Food Sci. Nutr. 2022, 62, 2221–2234. [Google Scholar] [CrossRef]
- Zhang, A.L.; Changli, X.C.; Fong, H.H.S. Integration of herbal medicine into evidence-based clinical practice: Current status and issues. In Herbal Medicine: Biomolecular and Clinical Aspects, 2nd ed.; Benzie, I.F.F., Wachtel-Galor, S., Eds.; CRC Press: Boca Raton, FL, USA; Taylor & Francis: Abingdon, UK, 2011. [Google Scholar]
- Davoodi, A.; Khoshvishkaie, E.; Azadbakht, M. Plant cells technology as an effective biotechnological approach for high scale production of pharmaceutical natural compounds; A meta-analysis study. Pharm. Biomed. Res. 2019, 5, 1–9. [Google Scholar] [CrossRef]
- Xu, J.; Zhang, N. On the way to commercializing plant cell culture platform for biopharmaceuticals: Present status and prospect. Pharm. Bioprocess 2014, 2, 499–518. [Google Scholar] [CrossRef]
- Amerikanou, C.; Kaliora, A.C.; Gioxari, A. The efficacy of Panax ginseng in obesity and the related metabolic disorders. Pharm. Res. Mod. Chin. Med. 2021, 1, 100013. [Google Scholar] [CrossRef]
- Park, H.S.; Cho, J.H.; Kim, K.W.; Chung, W.S.; Song, M.Y. Effects of Panax ginseng on obesity in animal models: A systematic review and meta-analysis. Evid.-Based. Complement. Altern. Med. 2018, 2018, 2719794. [Google Scholar] [CrossRef]
- Han, L.K.; Zheng, Y.N.; Yoshikawa, M.; Okuda, H.; Kimura, Y. Anti-obesity effects of chikusetsusaponins isolated from Panax japonicus rhizomes. BMC Complement Altern. Med. 2005, 5, 9. [Google Scholar] [CrossRef] [PubMed]
- Zhang, X.; Zhang, B.; Zhang, C.; Sun, G.; Sun, X. Effect of Panax notoginseng saponins and major anti obesity components on weight loss. Front. Pharm. 2021, 11, 601751. [Google Scholar] [CrossRef] [PubMed]
- Liu, R.; Zhang, J.; Liu, W.; Kimura, Y.; Zheng, Y. Anti-obesity effects of protopanaxdiol types of ginsenosides isolated from the leaves of American ginseng (Panax quinquefolius L.) in mice fed with a high-fat diet. Fitoterapia 2010, 81, 1079–1087. [Google Scholar] [CrossRef]
- Qiu, Y.; Yu, H.; Hu, Y.; Guo, S.; Lei, X.; Qin, Y.; Jian, Y.; Li, B.; Liu, L.; Peng, C.; et al. Transcriptomic and metabonomic profiling reveal the anti-obesity effects of Chikusetsusaponin V, a compound extracted from Panax japonicus. J. Pharm. Pharm. 2021, 73, 60–69. [Google Scholar] [CrossRef]
- Samani, N.B.; Jokar, A.; Soveid, M.; Heydari, M.; Mosavat, S.H. Efficacy of the hydroalcoholic extract of Tribulus terrestris on the serum glucose and lipid profile of women with diabetes mellitus: A double-blind randomized placebo-controlled clinical trial. J. Evid. Based Complement. Altern. Med. 2016, 21, 91. [Google Scholar] [CrossRef]
- Nalbant, A.; Bilgili, A.; Hanedan, B.; Akdoğan, M. Effects of Tribulus terrestris, Avena sativa and white ginseng on adiponectin, leptin, resistin, fatty Acid binding protein 4, homocysteine and paraoxonase-1 levels in hypercholesterolemic rats. Curr. Persp. Med. Aromat. Plants 2020, 3, 135–142. [Google Scholar] [CrossRef]
- Abdel-Mottaleb, Y.; Ali, H.S.; El-Kherbetawy, M.K.; Elkazzaz, A.Y.; ElSayed, M.H.; Elshormilisy, A.; Eltrawy, A.H.; Abed, S.Y.; Alshahrani, A.M.; Hashish, A.A.; et al. Saponin-rich extract of Tribulus terrestris alleviates systemic inflammation and insulin resistance in dietary obese female rats: Impact on adipokine/hormonal disturbances. Biomed. Pharm. 2022, 147, 112639. [Google Scholar] [CrossRef]
- El-Shaibany, A.; AL-Habori, M.; Al-Tahami, B.; Al-Massarani, S. Anti-hyperglycaemic Activity of Tribulus terrestris L. aerial Part extract in glucose-loaded normal rabbits. Trop. J. Pharm. Res. 2016, 14, 2263. [Google Scholar] [CrossRef]
- Obidiegwu, J.E.; Lyons, J.B.; Chilaka, C.A. The Dioscorea genus (yam)—An appraisal of nutritional and herapeutic potentials. Foods 2020, 9, 1304. [Google Scholar] [CrossRef]
- Dzomba, P. Anti-obesity and antioxidant activity of dietary flavonoids from Dioscorea steriscus tubers. J. Coast. Life Med. 2014, 2, 465–470. [Google Scholar]
- Kwon, C.S.; Sohn, H.Y.; Kim, S.H.; Kim, J.H.; Son, K.H.; Lee, J.S.; Lim, J.K.; Kim, J.S. Anti-obesity effect of Dioscorea nipponica Makino with lipase-inhibitory activity in rodents. Biosci. Biotechnol. Biochem. 2003, 67, 1451–1456. [Google Scholar] [CrossRef]
- Oyama, M.; Tokiwano, T.; Kawaii, S.; Yoshida, Y.; Mizuno, K.; Oh, K.; Yoshizawa, Y. Protodioscin, isolated from the rhizome of Dioscorea tokoro collected in Northern Japan is the major antiproliferative compound to HL-60 leukemic cells. Curr. Bioact. Comp. 2017, 13, 170–174. [Google Scholar] [CrossRef]
- Titova, M.V.; Popova, E.V.; Konstantinova, S.V.; Kochkin, D.V.; Ivanov, I.M.; Klyushin, A.G.; Titova, E.G.; Nebera, E.A.; Vasilevskaya, E.R.; Tolmacheva, G.S.; et al. Suspension cell culture of Dioscorea deltoidea—A renewable source of biomass and furostanol glycosides for food and pharmaceutical industry. Agronomy 2021, 11, 394. [Google Scholar] [CrossRef]
- Povydysh, M.N.; Titova, M.V.; Ivanov, I.M.; Klushin, A.G.; Kochkin, D.V.; Galishev, B.A.; Popova, E.V.; Ivkin, D.Y.; Luzhanin, V.G.; Krasnova, M.V.; et al. Effect of phytopreparations based on bioreactor-grown cell biomass of Dioscorea deltoidea, Tribulus terrestris and Panax japonicus on carbohydrate and lipid vetabolism in type 2 diabetes mellitus. Nutrients 2021, 13, 3811. [Google Scholar] [CrossRef]
- Titova, M.V.; Shumilo, N.A.; Reshetnyak, O.V.; Glagoleva, E.S.; Nosov, A.M. Physiological characteristics of Panax japonicus suspension cell culture during growth scaling-up. Biotekhnologiya 2015, 3, 71–80. (In Russian) [Google Scholar] [CrossRef]
- Eibl, R.; Meier, P.; Stutz, I.; Schildberger, D.; Hühn, T.; Eibl, D. Plant cell culture technology in the cosmetics and food industries: Current state and future trends. Appl. Microbiol. Biotechnol. 2018, 102, 8661–8675. [Google Scholar] [CrossRef]
- Murthy, H.K.; Georgiev, M.I.; Park, S.-Y.; Dandin, V.S.; Paek, K.-Y. The safety assessment of food ingredients derived from plant cell, tissue and organ cultures: A review. Food Chem. 2015, 176, 426–432. [Google Scholar] [CrossRef]
- Khandy, M.T.; Kochkin, D.V.; Tomilova, S.V.; Galishev, B.A.; Sukhanova, E.S.; Klyushin, A.G.; Ivanov, I.M.; Nosov, A.M. Obtaining and study of callus and suspension plant cell cultures of Tribulus terrestris L., a producer of steroidal glycosides. Appl. Biochem. Microbiol. 2017, 53, 800–806. [Google Scholar] [CrossRef]
- Demidova, E.V.; Reshetnyak, O.V.; Oreshnikov, A.V.; Nosov, A.M. Growth and biosynthetic characteristics of ginseng (Panax japonicus var. repens) deep-tank cell culture in bioreactors. Russ. J. Plant Physiol. 2006, 53, 134–140. [Google Scholar] [CrossRef]
- Kudo, C.; Kessoku, T.; Kamata, Y.; Hidaka, K.; Kurihashi, T.; Iwasaki, T.; Takashiba, S.; Kodama, T.; Tamura, T.; Nakajima, A.; et al. Relationship between non-alcoholic fatty liver disease and periodontal disease: A review and study protocol on the effect of periodontal treatment on non-alcoholic fatty liver disease. J. Transl. Sci. 2016, 2, 340. [Google Scholar] [CrossRef]
- Chapman, M.E.; Hu, L.; Plato, C.F.; Kohan, D.E. Bioimpedance spectroscopy for the estimation of body fluid volumes in mice. Amer. J. Physiol.-Ren. Physiol. 2010, 299, 280–283. [Google Scholar] [CrossRef] [PubMed]
- Bera, T.K. Bioelectrical impedance methods for noninvasive health monitoring: A review. J. Med. Eng. 2014, 2014, 381251. [Google Scholar] [CrossRef] [PubMed]
- Zhang, Q.; Xiao, X.; Zheng, J.; Li, M.; Yu, M.; Ping, F.; Wang, T.; Wang, X. Featured article: Structure moderation of gut microbiota in liraglutide-treated diabetic male rats. Exper. Biol. Med. 2017, 243, 34–44. [Google Scholar] [CrossRef] [PubMed]
- Lagunin, A.; Povydysh, M.; Ivkin, D.; Luzhanin, V.; Krasnova, M.; Okovityi, S.; Nosov, A.; Titova, M.; Tomilova, S.; Filimonov, D.; et al. Antihypoxic action of Panax japonicus, Tribulus terrestris and Dioscorea deltoidea cell cultures: In silico and animal studies. Mol. Inf. 2020, 39, 2000093. [Google Scholar] [CrossRef] [PubMed]
- Mironov, A.N. Guidelines to the Pre-Clinical Test of Medicications. Part 1; Grif and Co: Moscow, Russia, 2012; 944p. (In Russian) [Google Scholar]
- Chernukha, I.M.; Fedulova, L.V.; Kotenkova, E.A.; Vasilevskaya, E.R.; Lisitsyn, A.B. The effect of water with modified isotope (D/H) composition on the reproductive function and postnatal development in rats. Probl. Nutr. 2016, 5, 36–43. [Google Scholar]
- Nguyen, A.T.; Armstrong, E.A.; Yager, J.Y. Neurodevelopmental reflex testing in neonatal rat pups. J. Vis. Exp. 2017, 24, 55261. [Google Scholar] [CrossRef]
- Chernukha, I.; Fedulova, L.; Vasilevskaya, E.; Kulikovskii, A.; Kupaeva, N.; Kotenkova, E. Antioxidant effect of ethanolic onion (Allium cepa) Husk extract in ageing rats. Saudi J. Biol. Sci. 2021, 28, 2877–2885. [Google Scholar] [CrossRef]
- Chernukha, I.M.; Kotenkova, E.A.; Vasilevskaya, E.R.; Ivankin, A.N.; Lisitsyn, A.B.; Fedulova, L.V. The study of biological effects of different geographical origin goji berries in rats with alimentary hypercholesterolemia. Probl. Nutr. 2020, 89, 37–45. [Google Scholar] [CrossRef]
- Chernukha, I.; Kotenkova, E.; Derbeneva, S.; Khvostov, D. Bioactive compounds of porcine hearts and aortas may improve cardiovascular disorders in humans. Int. J. Env. Res. Public Health 2021, 18, 7330. [Google Scholar] [CrossRef]
- Mann, H.B.; Whitney, D.R. On a test of whether one of two random variables is stochastically larger than the other. Ann. Math. Stat. 1947, 18, 50–60. [Google Scholar] [CrossRef]
- Tomilova, S.V.; Kochkin, D.V.; Tyurina, T.M.; Glagoleva, E.S.; Labunskaya, E.A.; Galishev, B.A.; Nosov, A.M. Specificity of growth and synthesis of secondary metabolites in cultures in vitro Digitalis lanata Ehrh. Russ. J. Plant Physiol. 2022, 69, 149–160. [Google Scholar] [CrossRef]
- Eshbakova, K.A.; Zakirova, R.P.; Khasanova, K.I.; Bobakulov, K.M.; Aisa, H.A.; Sagdullaev, S.S.; Nosov, A.M. Phenylpropanoids from Callus Tissue of Ajuga turkestanica. Chem. Nat. Comp. 2019, 55, 28–31. [Google Scholar] [CrossRef]
- Cheng, D.M.; Yousef, G.G.; Grace, M.H.; Rogers, R.B.; Lila, M.A. In vitro production of metabolism-enhancing phytoecdysteroids from Ajuga turkestanica. Plant Cell Tiss. Organ Cult. 2008, 93, 73–83. [Google Scholar] [CrossRef]
- Khandy, M.T.; Kochkin, D.V.; Tomilova, S.V.; Klyushin, A.G.; Galishev, B.A.; Nosov, A.M. Growth and biosynthetic characteristics of Phlojodicarpus sibiricus cell suspension cultures. Russ. J. Plant Physiol. 2021, 68, 569–578. [Google Scholar] [CrossRef]
- Nosov, A.M.; Popova, E.V.; Kochkin, D.V. Isoprenoid production via plant cell cultures: Biosynthesis, accumulation and scaling-up to bioreactors. In Production of Biomass and Bioactive Compounds Using Bioreactor Technology; Paek, K.Y., Murthy, H.N., Zhong, J.J., Eds.; Springer: Dordrecht, The Netherlands, 2014; pp. 563–623. [Google Scholar] [CrossRef]
- Glagoleva, E.S.; Konstantinova, S.V.; Kochkin, D.V.; Ossipov, V.; Titova, M.V.; Popova, E.V.; Nosov, A.M.; Paek, K.Y. Predominance of oleanane-type ginsenoside R0 and malonyl esters of protopanaxadiol-type ginsenosides in the 20-year-old suspension cell culture of Panax japonicus C.A. Meyer. Ind. Crops Prod. 2022, 177, 114417. [Google Scholar] [CrossRef]
- Tomilova, S.V.; Khandy, M.T.; Kochkin, D.V.; Galishev, B.A.; Klyushin, A.G.; Nosov, A.M. Effect of synthetic auxin analogs (2.4-D and α-NAA) on growth and biosynthetic characteristics of suspension cell culture of Tribulus terrestris L. Russ. J. Plant. Physiol. 2020, 67, 636–645. [Google Scholar] [CrossRef]
- Lutz, T.A.; Woods, S.C. Overview of animal models of obesity. Curr. Prot. Pharm. 2012, 58, 5.61.1–5.61.18. [Google Scholar] [CrossRef]
- York, D.A. Lessons from animal models of obesity. Endocrinol. Metab. Clin. N. Am. 1996, 25, 781–800. [Google Scholar] [CrossRef]
- Thibault, L. Chapter 13—Animal models of dietary-induced obesity. In Animal Models for the Study of Human Disease; Conn, P.M., Ed.; Academic Press: Cambridge, MA, USA, 2013; pp. 277–303. [Google Scholar] [CrossRef]
- Stranahan, A.M. Models and mechanisms for hippocampal dysfunction in obesity and diabetes. Neuroscience 2015, 309, 125–139. [Google Scholar] [CrossRef]
- Woodie, L.N.; Luo, Y.; Wayne, M.J.; Graff, E.C.; Ahmed, B.; O’Neill, A.M.; Greene, M.W. Restricted feeding for 9h in the active period partially abrogates the detrimental metabolic effects of a Western diet with liquid sugar consumption in mice. Metab. Clin. Exp. 2018, 82, 1–13. [Google Scholar] [CrossRef] [PubMed]
- Kim, H.J.; Kim, S.; Lee, A.Y.; Jang, Y.; Davaadamdin, O.; Hong, S.-H.; Kim, J.S.; Cho, M.-H. The effects of Gymnema sylvestre in high-fat diet-induced metabolic disorders. Amer. J. Chin. Med. 2017, 45, 813–832. [Google Scholar] [CrossRef] [PubMed]
- Kleinert, M.; Clemmensen, C.; Hofmann, S.M.; Moore, M.C.; Renner, S.; Woods, S.C.; Huypens, P.; Beckers, J.; de Angelis, M.H.; Schürmann, A.; et al. Animal models of obesity and diabetes mellitus. Nat. Rev. Endocrinol. 2018, 14, 140–162. [Google Scholar] [CrossRef] [PubMed]
- Karimi, G.; Jamaluddin, R.; Mohtarrudin, N.; Ahmad, Z.; Khazaai, H.; Parvaneh, M. Single-species versus dual-species probiotic supplementation as an emerging therapeutic strategy for obesity. Nutr. Metab. Cardiovasc. Dis. 2017, 27, 910–918. [Google Scholar] [CrossRef]
- Rosini, T.C.; Silva, A.S.; Moraes, C. D Diet-induced obesity: Rodent model for the study of obesity-related disorders. Rev. Assoc. Med. Bras. 2012, 58, 383–387. [Google Scholar]
- Vickers, S.P.; Jackson, H.C.; Cheetham, S.C. The utility of animal models to evaluate novel anti-obesity agents. British J. Pharmacol. 2011, 164, 1248–1262. [Google Scholar] [CrossRef]
- Osto, M.; Lutz, T.A. Translational value of animal models of obesity-focus on dogs and cats. Eur. J. Pharm. 2015, 759, 240–252. [Google Scholar] [CrossRef]
- Angéloco, L.R.N.; Deminice, R.; Leme, I.A.; Lataro, R.C.; Jordão, A.A. Bioelectrical impedance analysis and anthropometry for the determination of body composition in rats: Effects of high-fat and high-sucrose diets. Rev. De Nutr. 2012, 25, 331–339. [Google Scholar] [CrossRef]
- Wu, Y.R.; Shi, X.Y.; Ma, C.Y.; Zhang, Y.; Xu, R.X.; Li, J.J. Liraglutide im-proves lipid metabolism by enhancing cholesterol efflux associated with ABCA1 and ERK1/2 pathway. Cardiovasc. Diabetol. 2019, 18, 146. [Google Scholar] [CrossRef]
- Bugáňová, M.; Pelantová, H.; Holubová, M.; Šedivá, B.; Maletínská, L.; Železná, B.; Kuneš, J.; Kačer, P.; Kuzma, M.; Haluzík, M. The effects of liraglutide in mice with diet-induced obesity studied by metabolomics. J. Endocrinol. 2017, 233, 93–104. [Google Scholar] [CrossRef]
- Hansen, G.; Jelsing, J.; Vrang, N. Effects of liraglutide and sibutramine on food intake, palatability, body weight and glucose tolerance in the gubra DIO-rats. Acta. Pharm. Sin. 2012, 33, 194–200. [Google Scholar] [CrossRef]
- Jeong, E.J.; Jegal, J.; Ahn, J.; Kim, J.; Yang, M.H. Anti-obesity effect of Dioscorea oppositifolia extract in high-fat diet- induced obese mice and its chemical characterization. Biol. Pharm. Bull. 2016, 39, 409–414. [Google Scholar] [CrossRef]
- Lee, S.G.; Lee, Y.J.; Jang, M.H.; Kwon, T.R.; Nam, J.O. Panax ginseng leaf extracts exert anti-obesity effects in high-fat diet-induced obese rats. Nutrients 2017, 9, 999. [Google Scholar] [CrossRef] [PubMed]
- McKoy, M.-L.; Thomas, P.-G.; Asemota, H.; Omoruyi, F.; Simon, O. Effects of Jamaican bitter yam (Dioscorea polygonoides) and diosgenin on blood and fecal cholesterol in rats. J. Med. Food 2014, 17, 1183–1188. [Google Scholar] [CrossRef] [PubMed]
- Chen, H.-L.; Wang, C.-H.; Chang, C.-T.; Wang, T.-C. Effects of Taiwanese yam (Dioscorea alata L. cv. Tainung No. 2) on the mucosal hydrolase activities and lipid metabolism in Balb/c mice. Nutr. Res. 2003, 23, 791–801. [Google Scholar] [CrossRef]
- Wang, X.J.; Xie, Q.; Liu, Y.; Jiang, S.; Li, W.; Li, B.; Wang, W.; Liu, C.X. Panax japonicus and chikusetsusaponins: A review of diverse biological activities and pharmacology mechanism. Chin. Herb. Med. 2020, 13, 64–77. [Google Scholar] [CrossRef]
- Botros, M.; Sikaris, K.A. The de Ritis ratio: The test of time. Clin. Biochem. Rev. 2013, 34, 117–130. Available online: https://www.ncbi.nlm.nih.gov/pmc/articles/PMC3866949/ (accessed on 20 September 2022).
- Rahal, A.; Kumar, A.; Singh, V.; Yadav, B.; Tiwari, R.; Chakraborty, S.; Dhama, K. Oxidative stress, prooxidants, and antioxidants: The interplay. Biomed. Res. Int. 2014, 2014, 761264. [Google Scholar] [CrossRef]
- Sarikaya, E.; Doğan, S. Glutathione peroxidase in health and diseases. In Glutathione System and Oxidative Stress in Health and Disease; Bagatini, M., Ed.; IntechOpen: London, UK, 2020; Available online: https://www.intechopen.com/chapters/70955 (accessed on 20 September 2022).
- Giknis, M.L.A.; Clifford, C.B. Clinical Laboratory Parameteres for Crl:CD(SD) Rats; Charles River Laboratories: Wilmington, MA, USA, 2006; 18p. [Google Scholar]
- Evans, G.O. Animal Clinical Chemistry: A Practical Handbook for Toxicologists and Biomedical Researchers, 2nd ed.; CRC Press: Boca Raton, FL, USA, 2009; 368p. [Google Scholar]






| Group | Subgroup | Feed + Treatment | |
|---|---|---|---|
| Months 1–3 | Months 4–6 | ||
| Group №1 (intact) | Subgroup №1 (n = 10) (intact) | SF | SF |
| Group №2 (obese) | Subgroup №2 (n = 10) (control) | HF | HF, no treatment |
| Subgroup №3 (n = 10) (reference drug) | HF | HF + liraglutide (0.3 mg/kg) | |
| Subgroup №4 (n = 10) | HF | HF + phytopreparation of D. deltoidea (100 mg/kg) | |
| Subgroup №5 (n = 10) | HF | HF + phytopreparation of T. terrestris (100 mg/kg) | |
| Subgroup №6 (n = 10) | HF | HF + phytopreparation of P. japonicus (100 mg/kg) | |
| Group | Body Weight (g) | Total Body Water (TBW), % | Extracellular Fluid (ECF), % | Intracellular Fluid (ICF), % | Fat-Free mass (FFM), % | Fat Mass (FM), % | Body Mass Index (BMI) |
|---|---|---|---|---|---|---|---|
| Standard feed (SF) | 275.9 ± 15.13 | 61.32 ± 2.45 | 46.10 ± 0.83 | 53.90 ± 0.81 | 84.02 ± 3.25 | 15.98 ± 3.23 | 8.63 ± 0.34 |
| Hypercaloric feed (HF) | 330.9 ± 50.94 | 49.58 ± 1.28 | 49.04 ± 0.63 | 50.96 ± 0.71 | 64.68 ± 4.02 * | 35.32 ± 1.75 * | 10.08 ± 0.27 * |
| p Value | p = 0.0159 | p = 0.0004 * | p = 0.0283 | p = 0.0283 | p = 0.0003 | p = 0.0003 | p = 0.0039 |
| Group1 | Body Weight (g) | Parameter Change | |
| Initial | After 6 Months | ||
| Subgroup №1 (intact, SF) | 193.11 ± 15.06 | 373.00 ± 11.24 * p = 0.000010 | +180.11 |
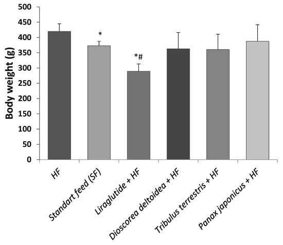
| Subgroup№2 (obese, HF) | 178.67 ± 10.05 | 419.89 ± 8.86 * p = 0.000000 # p < 0.05 | +241.22 |
| Subgroup №3 (obese, HF + 3 months of liraglutide treatment) | 174.30 ± 14.53 | 289.40 ± 9.96 * p = 0.000079 # p < 0.05 & p < 0.05 | +115.10 |
| Group1 | Glucose Level in Blood Plasma, mmol/L | Parameter Change (Compared to Initial Level) | |
| Initial | after 6 Months | ||
| Subgroup №1 (intact, SF) | 5.62 ± 0.16 | 6.13 ± 0.24 | +0.51 |
| Subgroup№2 (obese, HF) | 5.57 ± 0.25 | 6.88 ± 0.41 * p = 0.036559 | +1.31 |
| Subgroup №3 (obese, HF + 3 months of liraglutide treatment) | 5.27 ± 0.41 | 3.97 ± 0.12 # p < 0.05 & p < 0.05 | −1.30 |
| Parameters | Group | |
|---|---|---|
| Experimental (+ D. deltoidea) | Control | |
| Reproduction | ||
| Total number of newborn pups | 58 | 66 |
| Litter size at birth, P25–75 min–max | 8–9 7–9 | 7–9 4–11 |
| Males/females ratio in the litter, % | 53/47 | 37/63 |
| Pup survival, 1–5 days after birth, % | 100 | 95 |
| Pup survival, 6–25 days after birth, % | 100 | 100 |
| Postnatal development of reflexes, days * | ||
| Surface righting | 2–6; 2–4 | 2–5; 2–3 |
| Negative geotaxis | 5–6; 5–5 | 5–7; 5–5 |
| Auditory startle | 8–12; 8–9 | 8–12; 9–10 |
| Olfactory response | 10–12; 10–11 | 10–12; 10–11 |
| Pupillary function | 14–18; 14–15 | 14–18; 15–16 |
| Visual placing (cliff avoidance) | 15–18; 17–18 | 15–18; 18–18 |
| Bar holding | 15–20; 15–17 | 15–22; 16–18 |
| Accelerated righting | 17–22; 17–18 | 17–22; 17–20 |
| Parameters | Group | |||
|---|---|---|---|---|
| Experimental F0 | Control F0 | Experimental F1 | Control F1 | |
| Total antioxidant activity, Ki 1/(1000 min mL) | 1.175 ± 0.012 * | 1.261 ± 0.024 | 1.199 ± 0.201 * | 1.022 ± 0.226 |
| MDA, µmol/g of protein | 0.832 ± 0.76 | 0.707 ± 0.065 | 0.673 ± 0.390 | 0.692 ± 0.065 |
| Reduced glutathione, mmol/g of protein | 0.216 ±0.019 * | 0.151 ± 0.011 | 0.114 ± 0.046 * | 0.067 ± 0.038 |
| Catalase activity, U/g of protein | 1.754 ± 0.186 * | 1.072 ± 0.258 | 3.247 ± 0.064 | 3.115 ± 0.058 |
| Glutathione reductase activity, U/L | 1410.7 ± 5.5 | 1389.6 ± 8.6 | 1097.1 ± 29.4 | 1140.4 ± 27.2 |
Disclaimer/Publisher’s Note: The statements, opinions and data contained in all publications are solely those of the individual author(s) and contributor(s) and not of MDPI and/or the editor(s). MDPI and/or the editor(s) disclaim responsibility for any injury to people or property resulting from any ideas, methods, instructions or products referred to in the content. |
© 2023 by the authors. Licensee MDPI, Basel, Switzerland. This article is an open access article distributed under the terms and conditions of the Creative Commons Attribution (CC BY) license (https://creativecommons.org/licenses/by/4.0/).
Share and Cite
Povydysh, M.N.; Titova, M.V.; Ivkin, D.Y.; Krasnova, M.V.; Vasilevskaya, E.R.; Fedulova, L.V.; Ivanov, I.M.; Klushin, A.G.; Popova, E.V.; Nosov, A.M. The Hypoglycemic and Hypocholesterolemic Activity of Dioscorea deltoidea, Tribulus terrestris and Panax japonicus Cell Culture Biomass in Rats with High-Fat Diet-Induced Obesity. Nutrients 2023, 15, 656. https://doi.org/10.3390/nu15030656
Povydysh MN, Titova MV, Ivkin DY, Krasnova MV, Vasilevskaya ER, Fedulova LV, Ivanov IM, Klushin AG, Popova EV, Nosov AM. The Hypoglycemic and Hypocholesterolemic Activity of Dioscorea deltoidea, Tribulus terrestris and Panax japonicus Cell Culture Biomass in Rats with High-Fat Diet-Induced Obesity. Nutrients. 2023; 15(3):656. https://doi.org/10.3390/nu15030656
Chicago/Turabian StylePovydysh, Maria N., Maria V. Titova, Dmitry Yu. Ivkin, Marina V. Krasnova, Ekaterina R. Vasilevskaya, Liliya V. Fedulova, Igor M. Ivanov, Andrey G. Klushin, Elena V. Popova, and Alexander M. Nosov. 2023. "The Hypoglycemic and Hypocholesterolemic Activity of Dioscorea deltoidea, Tribulus terrestris and Panax japonicus Cell Culture Biomass in Rats with High-Fat Diet-Induced Obesity" Nutrients 15, no. 3: 656. https://doi.org/10.3390/nu15030656
APA StylePovydysh, M. N., Titova, M. V., Ivkin, D. Y., Krasnova, M. V., Vasilevskaya, E. R., Fedulova, L. V., Ivanov, I. M., Klushin, A. G., Popova, E. V., & Nosov, A. M. (2023). The Hypoglycemic and Hypocholesterolemic Activity of Dioscorea deltoidea, Tribulus terrestris and Panax japonicus Cell Culture Biomass in Rats with High-Fat Diet-Induced Obesity. Nutrients, 15(3), 656. https://doi.org/10.3390/nu15030656

