Fruit Extract of Sechium chinantlense (Lira & F. Chiang) Induces Apoptosis in the Human Cervical Cancer HeLa Cell Line
Abstract
1. Introduction
2. Materials and Methods
2.1. Processing of Fruits and Preparation of Extract
2.2. Cell Culture and Culture Conditions
2.3. Antiproliferative Activity Assay
2.4. Discrimination of Apoptosis
2.5. Cell Cycle Analysis
2.6. Caspase-8 Activity Assay
2.7. p53 and Caspase-3 Activity Assays
2.8. Cytochrome-c Release Assay
2.9. Statistical Analysis
3. Results
3.1. Sechium chinantlense Extract Causes Dose-Dependent Inhibition of the Proliferation of HeLa and HaCaT Cell Lines
3.2. Effects of S. chinantlense Extract on the Cell Cycle of HeLa and HaCaT Cell Lines
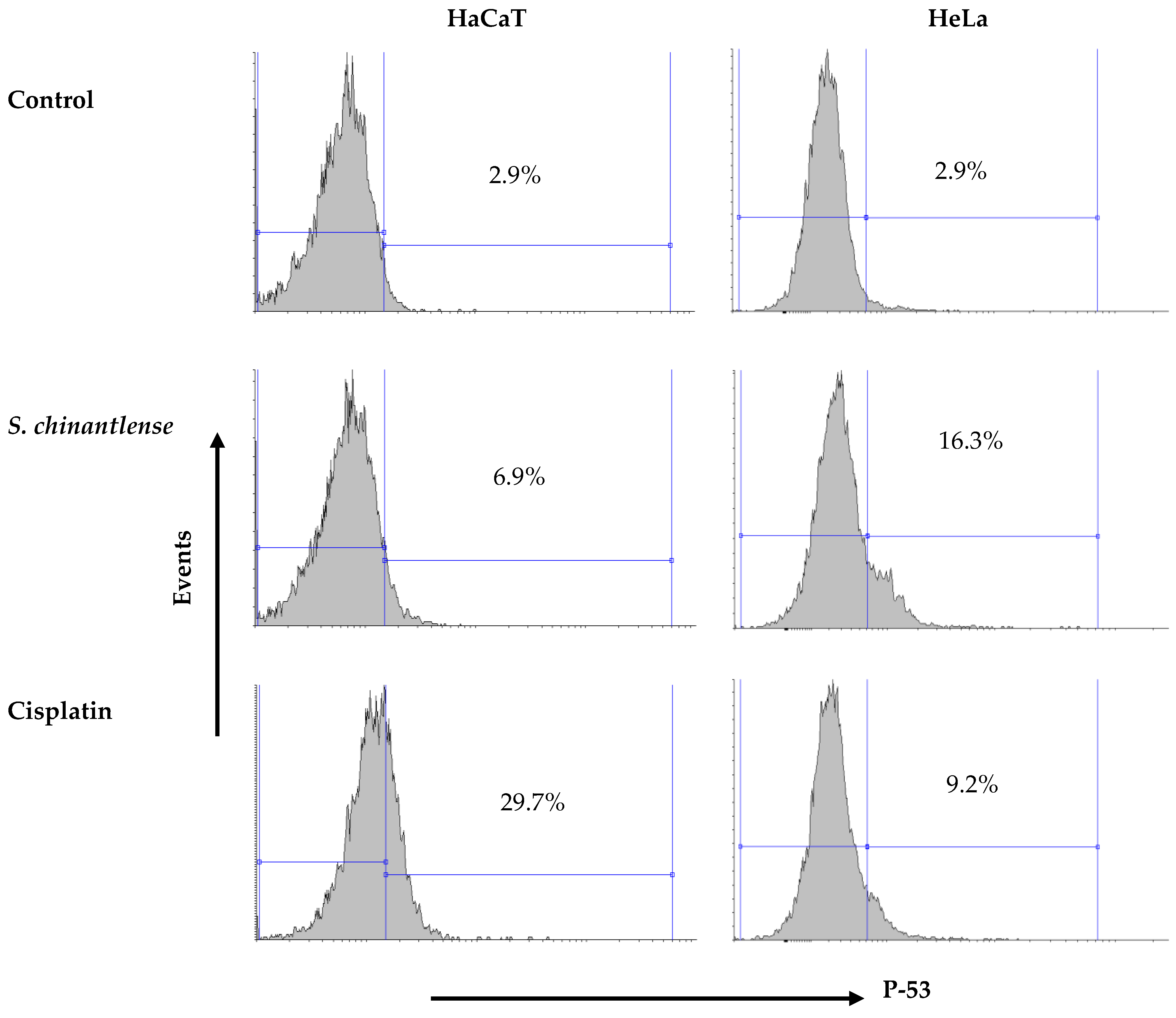
3.3. S. chinantlense Extract Increased the Presence of Active p53 in HeLa Cells
3.4. S. chinantlense Extract Induces Apoptosis in HeLa Cells
3.5. Active Caspase-8 Is Not Increased in HeLa or HaCaT Cells Treated with S. chinantlense Extract
3.6. S. chinantlense Extract Induces the Release of Cytochrome c in HeLa and HaCaT Cells
3.7. S. chinantlense Extract Induces an Increase in Active Caspase-3 in HeLa Cancer Cells but Not in Nontumorigenic HaCaT Cells
4. Discussion
5. Conclusions
Author Contributions
Funding
Institutional Review Board Statement
Informed Consent Statement
Data Availability Statement
Acknowledgments
Conflicts of Interest
References
- The Global Cancer Observatory: Cancer Today. International Agency for Research on Cancer. Available online: https://gco.iarc.fr/today/fact-sheets-cancers (accessed on 6 August 2022).
- OMS (Organización Mundial de la Salud). Cáncer Cervicouterino. 2022. Available online: https://www.who.int/es/news-room/fact-sheets/detail/cervical-cancer (accessed on 6 August 2022).
- Hanahan, D.; Weinberg, A.R. The hallmarks of cancer: The next generation. Cell 2011, 144, 646–674. [Google Scholar] [CrossRef]
- Elmore, S. Apoptosis: A review of programmed cell death. Toxicol. Pathol. 2007, 35, 495–516. [Google Scholar] [CrossRef]
- Cascales-Angosto, M. Bases moleculares de la apoptosis. Anal. Real. Acad. Nal. Farm. 2003, 69, 36–64. [Google Scholar]
- Liontos, M.; Kyriazoglou, A.; Dimitriadis, I.; Dimopoulos, M.A.; Bamias, A. Systemic therapy in cervical cancer: 30 years in review. Crit. Rev. Oncol. Hematol. 2019, 137, 9–17. [Google Scholar] [CrossRef]
- Gopu, P.; Antony, F.; Cyriac, S.; Karakasis, K.; Oza, A.M. Updates on systemic therapy for cervical cancer. Indian J. Med. Res. 2021, 154, 293–302. [Google Scholar] [PubMed]
- Feng, C.H.; Mell, L.K.; Sharabi, A.B.; McHale, M.; Mayadev, J.S. Immunotherapy with radiotherapy and chemoradiotherapy for cervical cancer. Semin. Radiat. Oncol. 2020, 30, 273–280. [Google Scholar] [CrossRef]
- Alonso-Castro, A.J.; Villarreal, M.L.; Salazar-Olivo, L.A.; Gomez-Sanchez, M.; Dominguez, F.; Garcia-Carranca, A. Mexican medicinal plants used for cancer treatment: Pharmacological, phytochemical and ethnobotanical studies. J. Ethnopharmacol. 2011, 133, 945–972. [Google Scholar] [CrossRef]
- Mann, S.; Sarkar, A.; Sharma, A.; Gupta, R.K.; Biswas, S. Antitumor Activity of Choerospondias axillaris Fruit Extract by Regulating the Expression of SNCAIP and SNCA on MDA-MB-231 Cells. Asian Pac. J. Cancer Prev. 2022, 23, 1577–1586. [Google Scholar] [CrossRef]
- Cadena Iñiguez, J.; Soto-Hernández, M.; Torres-Salas, A.; Aguiñiga-Sánchez, I.; RuizPosadas, L.; Rivera-Martínez, A.R.; Santiago-Osorio, E. The anti-proliferative effect of chayote varieties (Sechium edule (Jacq.) Sw.) on tumour cell lines. J. Med. Plant Res. 2013, 7, 455–460. [Google Scholar]
- Morgan, S.J.; Darling, D.C. Cultivo de Células Animals; Acriba: Zaragoza Spain, 1995; p. 159. [Google Scholar]
- Gillies, R.G.; Didier, N.; Dentosn, M. Determination of cell number in monolayer cultures. Anal. Biochem. 1986, 159, 109–113. [Google Scholar] [CrossRef]
- Ulukaya, E.; Acilan, C.; Yilmaz, Y. Apoptosis: Why and how does it occur in biology? Cell. Biochem. Funct. 2011, 29, 468–480. [Google Scholar] [CrossRef]
- Hernández-Flores, G.; Ortiz-Lazareno, P.C.; Lerma-Diaz, J.M.; Dominguez-Rodriguez, J.R.; Jave-Suarez, L.F.; Aguilar-Lemarroy, A.C.; Celis-Carrillo, R.; Toro-Arreola, S.; Castellanos-Esparza, Y.C.; Bravo-Cuellar, A. Pentoxifylline sensitizes human cervical tumor cells to cisplatin-induced apoptosis by suppressing NFkappaB and decreased cell senescence. BMC Cancer 2011, 11, 1–15. [Google Scholar] [CrossRef]
- Mohanty, S.; Huang, J.; Basu, A. Enhancement of cisplatin sensitivity of cisplatinresistant human cervical carcinoma cells by Bryostatin-1. Clin. Cancer Res. 2005, 11, 6730–6737. [Google Scholar]
- Khazaei, S.; Esa, N.M.; Ramachandran; Hamid, R.A.; Pandurangan, A.K.; Etemad, A.; Ismail, P. In vitro antiproliferative and apoptosis inducing effect of Allium atroviolaceum bulb extract on breast, cervical, and liver cancer cells. Front. Pharmacol. 2017, 8, 1–16. [Google Scholar] [CrossRef]
- Clément, M.V.; Hirpara, J.L.; Chawdhury, S.H.; Pervaiz, S. Chemopreventive agent resveratrol, a natural product derived from grapes, triggers CD95 signaling-dependent apoptosis in human tumor cells. Blood 1998, 92, 996–1002. [Google Scholar] [CrossRef]
- Deveraux, Q.L.; Roy, N.; Stennicke, H.R.; Van Arsdale, T.; Zhou, Q.; Srinivasula, S.M.; Alnemri, E.S.; Salvesen, G.S.; Reed, J.C. IAPs block apoptotic events induced by caspase-8 and cytochrome c by direct inhibition of distinct caspases. EMBO J. 1998, 17, 2215–2223. [Google Scholar] [CrossRef]
- Flores-Balcázar, C.; Rosales-Pérez, S.; Sánchez, C.; Gallardo-Alvarado, L.; Gordillo-Bastidas, D. Nutrientes de la Dieta y Apoptosis como Mecanismos Reguladores del Cáncer. Arch. Med. 2015, 11, 1698–9465. [Google Scholar]
- Hantz, H.L.; Young, L.F.; Martin, K.R. Physiologically attainable concentrations of lycopene induce mitocondrial apoptosis in LNCaP human prostate cancer cells. Exp. Biol. Med. 2005, 230, 171–179. [Google Scholar] [CrossRef]
- Macho, A.; Calzado, M.A.; Munoz-Blanco, J.; Gomez-Diaz, C. Selective induction of apoptosis by capsaicin in transformed cells: The role of reactive oxygen species and calcium. Cell. Death. Differ. 1999, 6, 155–165. [Google Scholar] [CrossRef]
- Cheng, A.C.; Huang, T.C.; Lai, C.S.; Pan, M.H. Induction of apoptosis by luteolin through cleavage of Bcl-2 family in human leukemia HL-60 cells. Eur. J. Pharmacol. 2005, 509, 1–10. [Google Scholar] [CrossRef]
- Pan, M.H.; Ghai, G.; Ho, C.T. Food bioactives, apoptosis, and cancer. Mol. Nutr. Food. Res. 2008, 52, 43–52. [Google Scholar] [CrossRef] [PubMed]
- Aguiñiga, S.I. Potencial Antileucémico In Vitro de Extractos de Cuatro Genotipos de Sechium spp. (Cucurbitaceae). Master’s Thesis, Colegio de Posgraduados, Texcoco, Mexico, 2013. [Google Scholar]
- Cadena-Iñiguez, J. Caracterización Morfoestructural, Fisiológica, Química y Genética de Diferentes tipos de Chayote (Sechium edule (Jacq.) Sw). Ph.D. Thesis, Colegio de Postgraduados, Texcoco, Mexico, 2005. [Google Scholar]
- Cadena-Iñiguez, J.; Arévalo, L.; Avedaño, C.; Soto, M.; Ruíz, L.; Santiago, E.; Acosta, M.; Cisneros, V.; Aguirre, J.; Ochoa, D. Production, genetics, postharvest managment and pharmacological characteristics of Sechium edule (Jacq.) Sw. Fresh. Prod. 2007, 1, 41–53. [Google Scholar]
- Monroy-Vázquez, M.E.; Soto-Hernández, M.; Cadena-Iñiguez, J.; Santiago-Osorio, E.; Ruiz-Posadas, L.M.; Rosas-Acevedo, H. Estudio biodirigido de un extracto alcohólico de frutos de Sechium edule (Jacq.). Swartz. Agrociencia 2009, 43, 777–790. [Google Scholar]
- Aguiñiga-Sánchez, I.; Cadena-Íñiguez, J.; Santiago-Osorio, E.; Gómez-García, G.; Mendoza-Núñez, V.M.; Rosado-Pérez, J.; Ruíz-Ramos, M.; Cisneros-Solano, V.M.; Ledesma-Martínez, E.; Delgado-Bordonave, A.d.J.; et al. Chemical analyses and in vitro and in vivo toxicity of fruit methanol extract of Sechium edule var. nigrum spinosum. Pharm. Biol. 2017, 55, 1638–1645. [Google Scholar] [CrossRef] [PubMed]
- Vieira, E.F.; Pinho, O.; Ferreira, I.M.; Delerue-Matos, C. Chayote (Sechium edule): A review of nutritional composition, bioactivities, and potential applications. Food Chem. 2019, 275, 557–568. [Google Scholar] [CrossRef] [PubMed]
- Salama, M.A.; Polo, N.A.E.; Contreras, M.C.R.; Maldonado, R.L. Análisis fitoquímico preliminar y determinación de las actividades anti-inflamatoria y cardiaca de Sechium edule. Rev. Col. Ciencias. Químico Farm. 1986, 15, 79–82. [Google Scholar]
- Yen, G.C.; Chen, H.Y.; Peng, H.H. Evaluation of the cytotoxicity, mutagenicity and antimutagenicity of emerging edible plants. Food. Chem. Toxic. 2001, 39, 1045–1053. [Google Scholar] [CrossRef]
- Jayaprakasam, B.; Seeram, N.P.; Nair, M.G. Anticancer and anti-inflamatory activities of cucurbitacinas from Cucurbita andreana. Cancer Lett. 2003, 189, 11–16. [Google Scholar] [CrossRef]
- Setzer, W.N.; Setzer, M.C. Plant-derived triterpenoids as potential antineoplastic agents. Mini Review. Med. Chem. 2003, 3, 540–556. [Google Scholar]
- Siciliano, T.; De Tomáis, N.; Morelli, I.; Braca, A. Study of flavonoids of Sechium edule (Jacq.) Swartz (cucurbitaceae) different edible organs by liquid chromatography photodiode array mass spectrometry. J. Agric. Food. Chem. 2004, 52, 6510–6515. [Google Scholar] [CrossRef]
- Ordoñez, A.A.L.; Gómez, J.D.; Cudmani, N.M.; Vattuone, M.A.; Isla, M.I. Antimicrobial activity of nine extracts of Sechium edule (Jacq.) Sw. Microb. Ecol. Health. Dis. 2003, 15, 33–39. [Google Scholar]
- Ordoñez, A.A.L.; Gómez, J.D.; Vattuone, M.A.; Isla, M.I. Antioxidant activities of Sechium edule (Jacq.) Sw. extracts. Food. Chem. 2006, 97, 452–458. [Google Scholar] [CrossRef]
- Dantas, I.N.; Gadelha, G.C.M.; Chaves, D.C.; Monte, F.J.Q.; Pessoa, C.; De Moraes, M.O.; Costa-Cotufo, L.V. Studies on the cytotoxicity of cucurbitacins isolated from Cayaponia racemosa (Cucurbitaceae). Z. Naturforsch, C. Biosciences 2006, 61, 643–646. [Google Scholar]
- Li, D.; Ikeda, T.; Nohara, T.; Liu, J.; Wen, Y.; Sakamoto, T.; Nonaka, G. Cucurbitane glycosides from unripe fruits of Siraitia grosvenori. Chem. Pharm. Bull. 2007, 55, 1082–1086. [Google Scholar] [CrossRef]
- Chen, J.; Tian, R.; Qiu, M.; Lu, L.; Zheng, Y.; Zhang, Z. Trinorcucurbitane and cucurbitane triterpenoids from the roots of Momordica charantia. Phytochemistry 2008, 69, 1043–1048. [Google Scholar] [CrossRef]
- Wang, D.C.; Xiang, H.; Li, D.; Gao, H.; Cai, H.; Wu, L.J.; Deng, X.M. Purinecontaining cucurbitane triterpenoids from Cucurbita pepo cv. dayangua. Phytochemistry 2008, 69, 1434–1438. [Google Scholar] [CrossRef]
- Soto-Hernández, M.; Cadena-Iñiguez, J.; Arévalo-Galarza, L.; Santiago-Osorio, E.; Aguiñiga-Sánchez, I.; Ruíz-Posadas, L.; del Mar Ruíz-Posadas, L. Lead compounds from Cucurbitaceae for the treatment of cáncer. In Phytochemicals—Isolation, Characterization and Role in Human Health; Rao, A.V., Rao, L.G., Eds.; IntechOpen: Rijeka, Croatia, 2015; pp. 289–303. [Google Scholar]
- Klungsaeng, S.; Kukongviriyapan, V.; Prawan, A.; Kongpetch, S.; Senggunprai, L. Cucurbitacin B induces mitochondrial-mediated apoptosis pathway in cholangiocarcinoma cells via suppressing focal adhesion kinase signaling. Naunyn. Schmiedebergs. Arch. Pharmacol. 2019, 392, 271–278. [Google Scholar] [CrossRef]
- Guo, J.; Zhao, W.; Hao, W.; Ren, G.; Lu, J.; Chen, X. Cucurbitacin B induces DNA damage, G2/M phase arrest, and apoptosis mediated by reactive oxygen species (ROS) in leukemia K562 cells. Anti Cancer. Agents. Med. Chem. 2014, 14, 1146–1153. [Google Scholar] [CrossRef]
- Qu, Y.; Cong, P.; Lin, C.; Deng, Y.; Li-Ling, J.; Zhang, M. Inhibition of paclitaxel resistance and apoptosis induction by cucurbitacin B in ovarian carcinoma cells. Oncol. Lett. 2017, 14, 145–152. [Google Scholar] [CrossRef]
- Zhang, Z.R.; Gao, M.X.; Yang, K. Cucurbitacin B inhibits cell proliferation and induces apoptosis in human osteosarcoma cells via modulation of the JAK2/STAT3 and MAPK pathways. Exp. Ther. Med. 2017, 14, 805–812. [Google Scholar] [CrossRef]
- Delgado-Tiburcio, E.E.; Cadena-Iñiguez, J.; Santiago-Osorio, E.; Ruiz-Posadas, L.d.M.; Castillo-Juárez, I.; Aguiñiga-Sánchez, I.; Soto-Hernández, M. Pharmacokinetics and Biological Activity of Cucurbitacins. Pharmaceuticals 2022, 15, 1325. [Google Scholar] [CrossRef] [PubMed]
- Arafa, H.M.M. Possible contribution of β-glucosidase and caspases in the cytotoxicity of glufosfamide in colon cancer cells. Eur. J. Pharmacol. 2009, 616, 58–63. [Google Scholar] [CrossRef]
- Abu-Dahab, R.; Afifi, F. Antiproliferative activity of selected medicinal plants of Jordan against a breast adenocarcinoma cell line (MCF7). Sci. Pharm. 2007, 75, 121–136. [Google Scholar] [CrossRef]
- Salazar-Aguilar, S.; Ruiz-Posadas, L.D.M.; Cadena-Iñiguez, J.; Soto-Hernández, M.; Santiago-Osorio, E.; Aguiñiga-Sánchez, I.; Rivera-Martínez, A.R.; Aguirre-Medina, J.F. Sechium edule (Jacq.) Swartz, a New Cultivar with Antiproliferative Potential in a Human Cervical Cancer HeLa Cell Line. Nutrients 2017, 9, 798. [Google Scholar] [CrossRef] [PubMed]
- Aguiñiga-Sánchez, I.; Soto-Hernández, M.; Cadena-Iñiguez, J.; Ruíz-Posadas, L.M.; Cadena-Zamudio, J.D.; González-Ugarte, A.K.; Steider, B.W.; Santiago-Osorio, E. Fruit extract from a Sechium edule hybrid induce apoptosis in leukaemic cell lines but not in normal cells. Nutr. Cancer 2015, 67, 250–257. [Google Scholar] [CrossRef]






| Cell Line | S. chinantlense | Cisplatin |
|---|---|---|
| (μg/mL) | ||
| HeLa | 1.82 | 0.72 |
| HaCaT | 0.73 | 0.57 |
| Control | S. chinantlense | Cisplatin | |
|---|---|---|---|
| (μg/mL) | |||
| HaCaT | 27.7 ± 11.2 | 50.5 ± 2.3 * | 47.7 ± 7.2 * |
| HeLa | 28.0 ± 1.8 | 56.7 ± 17.2 * | 54.7 ± 6.2 * |
Disclaimer/Publisher’s Note: The statements, opinions and data contained in all publications are solely those of the individual author(s) and contributor(s) and not of MDPI and/or the editor(s). MDPI and/or the editor(s) disclaim responsibility for any injury to people or property resulting from any ideas, methods, instructions or products referred to in the content. |
© 2023 by the authors. Licensee MDPI, Basel, Switzerland. This article is an open access article distributed under the terms and conditions of the Creative Commons Attribution (CC BY) license (https://creativecommons.org/licenses/by/4.0/).
Share and Cite
Rivera-Martínez, A.R.; Aguiñiga-Sánchez, I.; Cadena-Iñiguez, J.; Soto-Cruz, I.; Monroy-García, A.; Gómez-García, G.; Ledesma-Martínez, E.; Weiss-Steider, B.; Santiago-Osorio, E. Fruit Extract of Sechium chinantlense (Lira & F. Chiang) Induces Apoptosis in the Human Cervical Cancer HeLa Cell Line. Nutrients 2023, 15, 667. https://doi.org/10.3390/nu15030667
Rivera-Martínez AR, Aguiñiga-Sánchez I, Cadena-Iñiguez J, Soto-Cruz I, Monroy-García A, Gómez-García G, Ledesma-Martínez E, Weiss-Steider B, Santiago-Osorio E. Fruit Extract of Sechium chinantlense (Lira & F. Chiang) Induces Apoptosis in the Human Cervical Cancer HeLa Cell Line. Nutrients. 2023; 15(3):667. https://doi.org/10.3390/nu15030667
Chicago/Turabian StyleRivera-Martínez, Ana Rocío, Itzen Aguiñiga-Sánchez, Jorge Cadena-Iñiguez, Isabel Soto-Cruz, Alberto Monroy-García, Guadalupe Gómez-García, Edgar Ledesma-Martínez, Benny Weiss-Steider, and Edelmiro Santiago-Osorio. 2023. "Fruit Extract of Sechium chinantlense (Lira & F. Chiang) Induces Apoptosis in the Human Cervical Cancer HeLa Cell Line" Nutrients 15, no. 3: 667. https://doi.org/10.3390/nu15030667
APA StyleRivera-Martínez, A. R., Aguiñiga-Sánchez, I., Cadena-Iñiguez, J., Soto-Cruz, I., Monroy-García, A., Gómez-García, G., Ledesma-Martínez, E., Weiss-Steider, B., & Santiago-Osorio, E. (2023). Fruit Extract of Sechium chinantlense (Lira & F. Chiang) Induces Apoptosis in the Human Cervical Cancer HeLa Cell Line. Nutrients, 15(3), 667. https://doi.org/10.3390/nu15030667

