Validation of the Diet Quality Questionnaire in Chinese Children and Adolescents and Relationship with Pediatric Overweight and Obesity
Abstract
:1. Introduction
2. Materials and Methods
2.1. Study Population
2.2. Dietary Data Collection
2.3. Dietary Assessment
2.4. Physical Examination
2.5. Definitions of Overweight and Obesity
2.6. Statistical Analysis
3. Results
3.1. Participant Characteristics
3.2. DQQ Sentinel Food Validation for Children and Adolescents
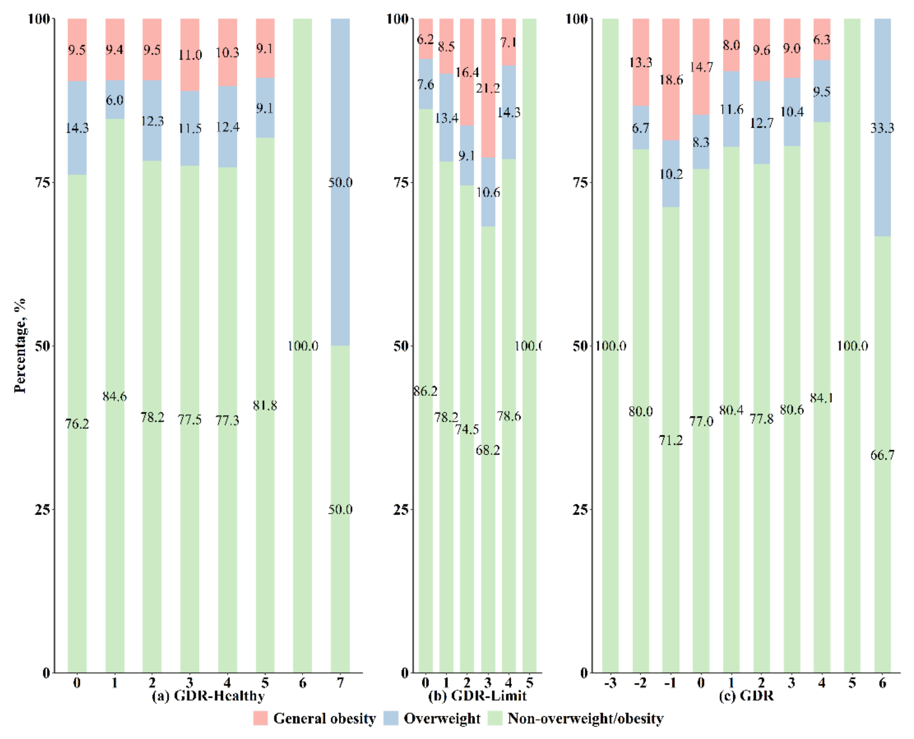
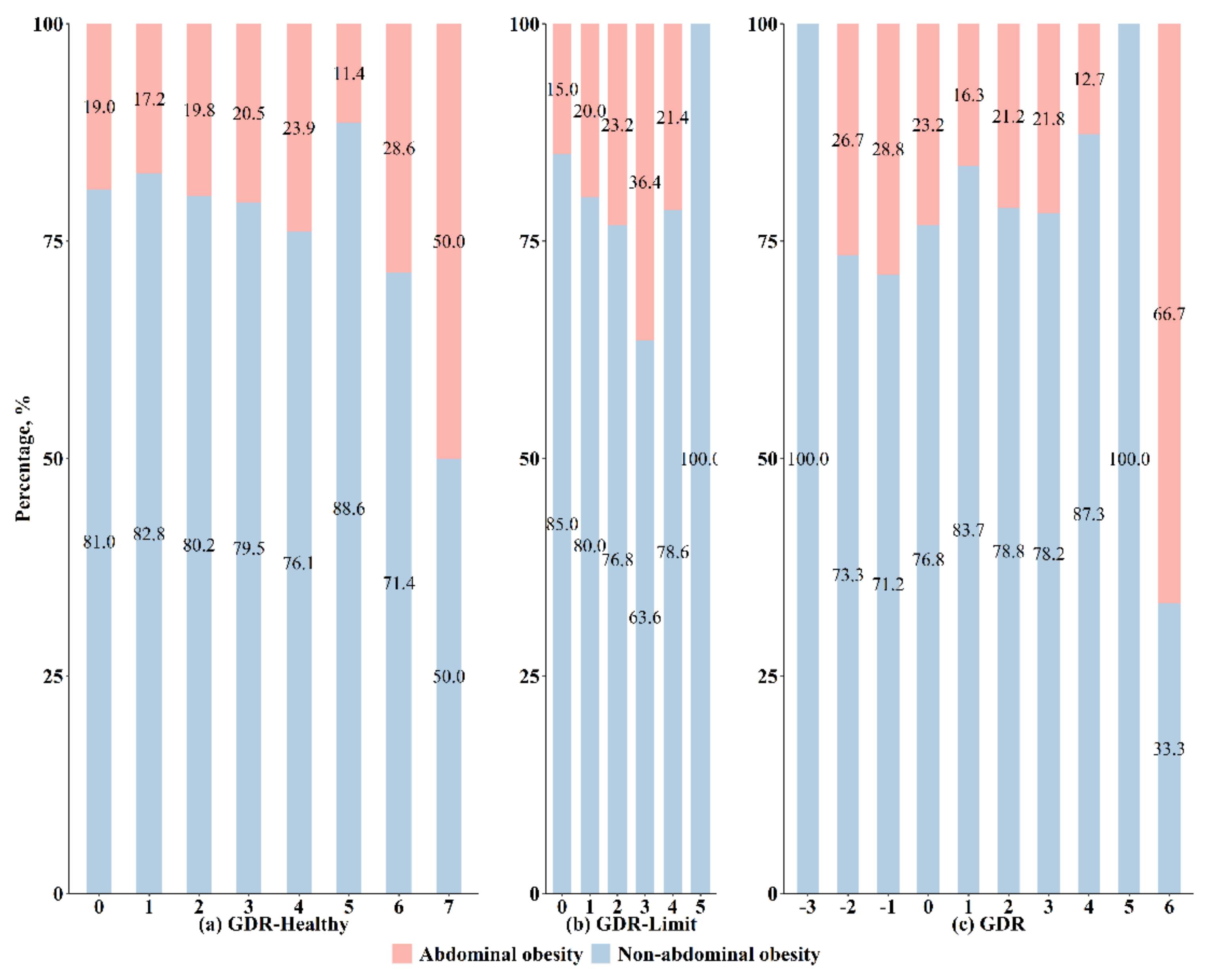
3.3. Associations of Diet Quality Scores with Overweight and Obesity
4. Discussion
5. Conclusions
Supplementary Materials
Author Contributions
Funding
Institutional Review Board Statement
Informed Consent Statement
Data Availability Statement
Acknowledgments
Conflicts of Interest
References
- Zhai, F.Y.; Du, S.F.; Wang, Z.H.; Zhang, J.G.; Du, W.W.; Popkin, B.M. Dynamics of the Chinese diet and the role of urbanicity, 1991–2011. Obes. Rev. 2014, 15 (Suppl. 1), 16–26. [Google Scholar] [CrossRef]
- Popkin, B.M. Synthesis and implications: China’s nutrition transition in the context of changes across other low- and middle-income countries. Obes. Rev. 2014, 15 (Suppl. 1), 60–67. [Google Scholar] [CrossRef]
- Zong, X.N.; Li, H. Physical growth of children and adolescents in China over the past 35 years. Bull. World Health Organ. 2014, 92, 555–564. [Google Scholar] [CrossRef]
- Dong, Y.H.; Jan, C.; Ma, Y.H.; Dong, B.; Zou, Z.Y.; Yang, Y.D.; Xu, R.B.; Song, Y.; Ma, J.; Sawyer, S.M.; et al. Economic development and the nutritional status of Chinese school-aged children and adolescents from 1995 to 2014: An analysis of five successive national surveys. Lancet Diabetes Endocrinol. 2019, 7, 288–299. [Google Scholar] [CrossRef]
- Simmonds, M.; Llewellyn, A.; Owen, C.G.; Woolacott, N. Predicting adult obesity from childhood obesity: A systematic review and meta-analysis. Obes. Rev. 2016, 17, 95–107. [Google Scholar] [CrossRef] [PubMed]
- Horesh, A.; Tsur, A.M.; Bardugo, A.; Twig, G. Adolescent and childhood obesity and excess morbidity and mortality in young adulthood—A systematic review. Curr. Obes. Rep. 2021, 10, 301–310. [Google Scholar] [CrossRef] [PubMed]
- Asghari, G.; Mirmiran, P.; Yuzbashian, E.; Azizi, F. A systematic review of diet quality indices in relation to obesity. Br. J. Nutr. 2017, 117, 1055–1065. [Google Scholar] [CrossRef]
- Qorbani, M.; Mahdavi-Gorabi, A.; Khatibi, N.; Ejtahed, H.S.; Khazdouz, M.; Djalalinia, S.; Sahebkar, A.; Esmaeili-Abdar, M.; Hasani, M. Dietary diversity score and cardio-metabolic risk factors: An updated systematic review and meta-analysis. Eat. Weight Disord. 2022, 27, 85–100. [Google Scholar] [CrossRef]
- Miller, V.; Webb, P.; Micha, R.; Mozaffarian, D. Defining diet quality: A synthesis of dietary quality metrics and their validity for the double burden of malnutrition. Lancet Planet. Health 2020, 4, e352–e370. [Google Scholar] [CrossRef]
- Verger, E.O.; Le Port, A.; Borderon, A.; Bourbon, G.; Moursi, M.; Savy, M.; Mariotti, F.; Martin-Prevel, Y. Dietary diversity indicators and their associations with dietary adequacy and health outcomes: A systematic scoping review. Adv. Nutr. 2021, 12, 1659–1672. [Google Scholar] [CrossRef]
- Herforth, A.W.; Wiesmann, D.; Martínez-Steele, E.; Andrade, G.; Monteiro, C.A. Introducing a suite of low-burden diet quality indicators that reflect healthy diet patterns at population level. Curr. Dev. Nutr. 2020, 4, nzaa168. [Google Scholar] [CrossRef]
- Hernández-Ruiz, Á.; Díaz-Jereda, L.A.; Madrigal, C.; Soto-Méndez, M.J.; Kuijsten, A.; Gil, Á. Methodological Aspects of Diet Quality Indicators in Childhood: A Mapping Review. Adv. Nutr. 2021, 12, 2435–2494. [Google Scholar] [CrossRef]
- Dalwood, P.; Marshall, S.; Burrows, T.L.; McIntosh, A.; Collins, C.E. Diet quality indices and their associations with health-related outcomes in children and adolescents: An updated systematic review. Nutr. J. 2020, 19, 118. [Google Scholar] [CrossRef]
- World Health Organization. Proceedings of the Report of the Technical Consultation on Measuring Healthy Diets: Concepts, Methods and Metrics, Virtual Meeting, 18–20 May 2021; World Health Organization: Geneva, Switzerland, 2021. Licence: CC BY-NC-SA 3.0 IGO.
- Global Diet Quality Project. Available online: https://www.globaldietquality.org/about (accessed on 8 January 2022).
- Ma, S.; Herforth, A.W.; Vogliano, C.; Zou, Z. Most Commonly-Consumed Food Items by Food Group, and by Province, in China: Implications for Diet Quality Monitoring. Nutrients 2022, 14, 1754. [Google Scholar] [CrossRef]
- Popkin, B.M.; Du, S.F.; Zhai, F.Y.; Zhang, B. Cohort Profile: The China Health and Nutrition Survey—Monitoring and understanding socio-economic and health change in China, 1989–2011. Int. J. Epidemiol. 2010, 39, 1435–1440. [Google Scholar] [CrossRef]
- Zhang, B.; Zhai, F.Y.; Du, S.F.; Popkin, B.M. The China Health and Nutrition Survey, 1989–2011. Obes. Rev. 2014, 15 (Suppl. 1), 2–7. [Google Scholar] [CrossRef]
- China Health and Nutrition Survey. Available online: https://www.cpc.unc.edu/projects/china (accessed on 8 January 2022).
- Yang, Y.X.; Wang, G.Y.; Pan, X.C. China Food Composition, 2nd ed.; Peking University Medical Press: Beijing, China, 2009. [Google Scholar]
- Yang, Y.X. China Food Composition, 6th ed.; Book 2; Peking University Medical Press: Beijing, China, 2019. [Google Scholar]
- Yang, Y.X. China Food Composition, 6th ed.; Book 1; Peking University Medical Press: Beijing, China, 2018. [Google Scholar]
- World Health Organization. Physical Status: The Use and Interpretation of Anthropometry; Report of a WHO Expert Committee; World Health Organization Technical Report Series; World Health Organization: Geneva, Switzerland, 1995; Volume 854, pp. 1–452. [Google Scholar]
- WS/T 586-2018; Screening for Overweight and Obesity among School-Age Children and Adolescents. China Standard Press: Beijing, China, 2018; National Health and Famliy Plannig Commission of the People’s Republic of China.
- Ma, G.S.; Ji, C.Y.; Ma, J.; Mi, J.; Sung, R.Y.; Xiong, F.; Yan, W.L.; Hu, X.Q.; Li, Y.P.; Du, S.M.; et al. Waist circumference reference values for screening cardiovascular risk factors in Chinese children and adolescents aged 7–18 years. Chin. J. Epidemiol. 2010, 31, 609–615. [Google Scholar] [CrossRef]
- World Health Organization. Growth Reference 5–19 Years. Available online: www.who.int/growthref/who2007_bmi_for_age/en/ (accessed on 8 January 2022).
- Xi, B.; Zong, X.N.; Kelishadi, R.; Litwin, M.; Hong, Y.M.; Poh, B.K.; Steffen, L.M.; Galcheva, S.V.; Herter-Aeberli, I.; Nawarycz, T.; et al. International waist circumference percentile cutoffs for central obesity in children and adolescents aged 6 to 18 years. J. Clin. Endocrinol. Metab. 2020, 105, e1569–e1583. [Google Scholar] [CrossRef]
- Cheng, G.; Duan, R.; Kranz, S.; Libuda, L.; Zhang, L. Development of a Dietary Index to Assess Overall Diet Quality for Chinese School-Aged Children: The Chinese Children Dietary Index. J. Acad. Nutr. Diet. 2016, 116, 608–617. [Google Scholar] [CrossRef]
- Yuan, Y.Q.; Li, F.; Dong, R.H.; Chen, J.S.; He, G.S.; Li, S.G.; Chen, B. The Development of a Chinese Healthy Eating Index and Its Application in the General Population. Nutrients 2017, 9, 977. [Google Scholar] [CrossRef] [Green Version]
- Wu, H.; Yuan, Y.Q.; Wang, Y.C.; Zhou, X.F.; Liu, S.J.; Cai, M.Q.; He, G.S.; Li, S.G.; Zang, J.J.; Chen, B. The development of a Chinese Healthy Eating Index for School-age Children and its Application in children from China Health and Nutrition Survey. Int. J. Food Sci. Nutr. 2021, 72, 280–291. [Google Scholar] [CrossRef]
- Patton, G.C.; Neufeld, L.M.; Dogra, S.; Frongillo, E.A.; Hargreaves, D.; He, S.; Mates, E.; Menon, P.; Naguib, M.; Norris, S.A. Nourishing our future: The Lancet Series on adolescent nutrition. Lancet 2022, 399, 123–125. [Google Scholar] [CrossRef]
- Al-Jawaldeh, A.; Bekele, H.; de Silva, A.; Gomes, F.; Untoro, J.; Wickramasinghe, K.; Williams, J.; Branca, F. A new global policy framework for adolescent nutrition? Lancet 2022, 399, 125–127. [Google Scholar] [CrossRef]
- World Cancer Research Fund/American Institute for Cancer Research. Continuous Update PROJECT Expert Report 2018. Recommendations and Public Health and Policy Implications. Available online: https://www.wcrf.org/wp-content/uploads/2021/01/Recommendations.pdf (accessed on 8 January 2022).
- World Health Organization. Healthy Diet. Available online: https://www.who.int/news-room/fact-sheets/detail/healthy-diet (accessed on 8 January 2022).
- World Health Organization. Diet, Nutrition and the Prevention of Chronic Diseases; Report of a Joint WHO/FAO Expert Consultation; WHO Technical Report Series 916; World Health Organization: Geneva, Switzerland, 2003. [Google Scholar]
- Livingstone, M.B.; Robson, P.J.; Wallace, J.M. Issues in dietary intake assessment of children and adolescents. Br. J. Nutr. 2004, 92, S213–S222. [Google Scholar] [CrossRef]





| Characteristics | Total (n = 1501) | Boys (n = 776) | Girls (n = 725) | p Value b |
|---|---|---|---|---|
| Age, years | 11.72 ± 3.30 | 11.75 ± 3.31 | 11.69 ± 3.28 | 0.725 |
| Weight, kg | 41.56 ± 19.76 | 43.13 ± 16.38 | 39.89 ± 22.69 | 0.002 |
| Height, cm | 147.13 ± 17.29 | 149.24 ± 18.59 | 144.90 ± 15.50 | <0.001 |
| BMI, kg/m2 | 18.42 ± 3.93 | 18.66 ± 3.88 | 18.17 ± 3.96 | 0.020 |
| WC, cm | 65.06 ± 14.01 | 66.21 ± 12.64 | 63.85 ± 15.23 | 0.002 |
| Energy, kcal/day a | 1525.20 ± 858.45 | 1657.62 ± 926.57 | 1412.82 ± 781.48 | <0.001 |
| Carbohydrate, g/day a | 214.04 ± 138.98 | 234.58 ± 142.68 | 193.15 ± 122.90 | <0.001 |
| Protein, g/day a | 53.73 ± 34.41 | 59.02 ± 35.15 | 49.63 ± 31.45 | <0.001 |
| Fat, g/day a | 49.65 ± 45.55 | 52.92 ± 46.20 | 45.32 ± 44.05 | <0.001 |
| Urbanicity index a | 73.84 ± 35.76 | 71.29 ± 35.79 | 76.30 ± 36.06 | 0.366 |
| Residence, n (%) | 0.935 | |||
| Rural | 899 (59.89) | 464 (59.79) | 435 (60.00) | |
| Urban | 602 (40.11) | 312 (40.21) | 290 (40.00) | |
| BMI categories, n (%) | 0.001 | |||
| Non-overweight/obesity | 1125 (79.06) | 552 (75.41) | 573 (82.92) | |
| Overweight | 156 (10.96) | 100 (13.66) | 56 (8.10) | |
| General obesity | 142 (9.98) | 80 (10.93) | 62 (8.97) | |
| WC categories, n (%) | 0.651 | |||
| Non-obesity | 1134 (79.92) | 586 (80.38) | 548 (79.42) | |
| Abdominal obesity | 285 (20.08) | 143 (19.62) | 142 (20.58) |
| Scores | Overweight | General Obesity | Abdominal Obesity | |||
|---|---|---|---|---|---|---|
| OR (95% CI) | p Value | OR (95% CI) | p Value | OR (95% CI) | p Value | |
| GDR-Healthy | ||||||
| Continuous | 1.07 (0.92–1.24) | 0.393 | 0.98 (0.83–1.15) | 0.812 | 1.03 (0.91–1.16) | 0.644 |
| Categories | ||||||
| ≤1 | 1.00 (Ref.) | 1.00 (Ref.) | 1.00 (Ref.) | |||
| 2 | 1.86 (1.05–3.29) | 0.034 | 1.01 (0.59–1.73) | 0.973 | 1.13 (0.76–1.69) | 0.553 |
| ≥3 | 1.72 (0.99–2.99) | 0.056 | 1.05 (0.63–1.73) | 0.863 | 1.17 (0.80–1.71) | 0.419 |
| GDR-Limit | ||||||
| Continuous | 1.03 (0.84–1.27) | 0.797 | 1.43 (1.17–1.74) | <0.001 | 1.22 (1.05–1.43) | 0.012 |
| Categories | ||||||
| 0 | 1.00 (Ref.) | 1.00 (Ref.) | 1.00 (Ref.) | |||
| 1 | 1.69 (1.05–2.70) | 0.030 | 1.33 (0.78–2.26) | 0.296 | 1.23 (0.86–1.77) | 0.262 |
| ≥2 | 1.21 (0.69–2.11) | 0.516 | 2.66 (1.53–4.62) | 0.001 | 1.60 (1.07–2.40) | 0.022 |
| Overall GDR | ||||||
| Continuous | 1.04 (0.91–1.18) | 0.572 | 0.85 (0.74–0.97) | 0.016 | 0.94 (0.86–1.04) | 0.244 |
| Categories | ||||||
| <0 | 1.00 (Ref.) | 1.00 (Ref.) | 1.00 (Ref.) | |||
| 0 | 0.87 (0.36–2.14) | 0.769 | 0.89 (0.44–1.80) | 0.750 | 0.81 (0.46–1.44) | 0.480 |
| ≥1 | 1.17 (0.59–2.70) | 0.554 | 0.53 (0.29–0.98) | 0.043 | 0.63 (0.39–1.04) | 0.070 |
Publisher’s Note: MDPI stays neutral with regard to jurisdictional claims in published maps and institutional affiliations. |
© 2022 by the authors. Licensee MDPI, Basel, Switzerland. This article is an open access article distributed under the terms and conditions of the Creative Commons Attribution (CC BY) license (https://creativecommons.org/licenses/by/4.0/).
Share and Cite
Wang, H.; Herforth, A.W.; Xi, B.; Zou, Z. Validation of the Diet Quality Questionnaire in Chinese Children and Adolescents and Relationship with Pediatric Overweight and Obesity. Nutrients 2022, 14, 3551. https://doi.org/10.3390/nu14173551
Wang H, Herforth AW, Xi B, Zou Z. Validation of the Diet Quality Questionnaire in Chinese Children and Adolescents and Relationship with Pediatric Overweight and Obesity. Nutrients. 2022; 14(17):3551. https://doi.org/10.3390/nu14173551
Chicago/Turabian StyleWang, Huan, Anna W. Herforth, Bo Xi, and Zhiyong Zou. 2022. "Validation of the Diet Quality Questionnaire in Chinese Children and Adolescents and Relationship with Pediatric Overweight and Obesity" Nutrients 14, no. 17: 3551. https://doi.org/10.3390/nu14173551
APA StyleWang, H., Herforth, A. W., Xi, B., & Zou, Z. (2022). Validation of the Diet Quality Questionnaire in Chinese Children and Adolescents and Relationship with Pediatric Overweight and Obesity. Nutrients, 14(17), 3551. https://doi.org/10.3390/nu14173551

