Flavanol Bioavailability in Two Cocoa Products with Different Phenolic Content. A Comparative Study in Humans
Abstract
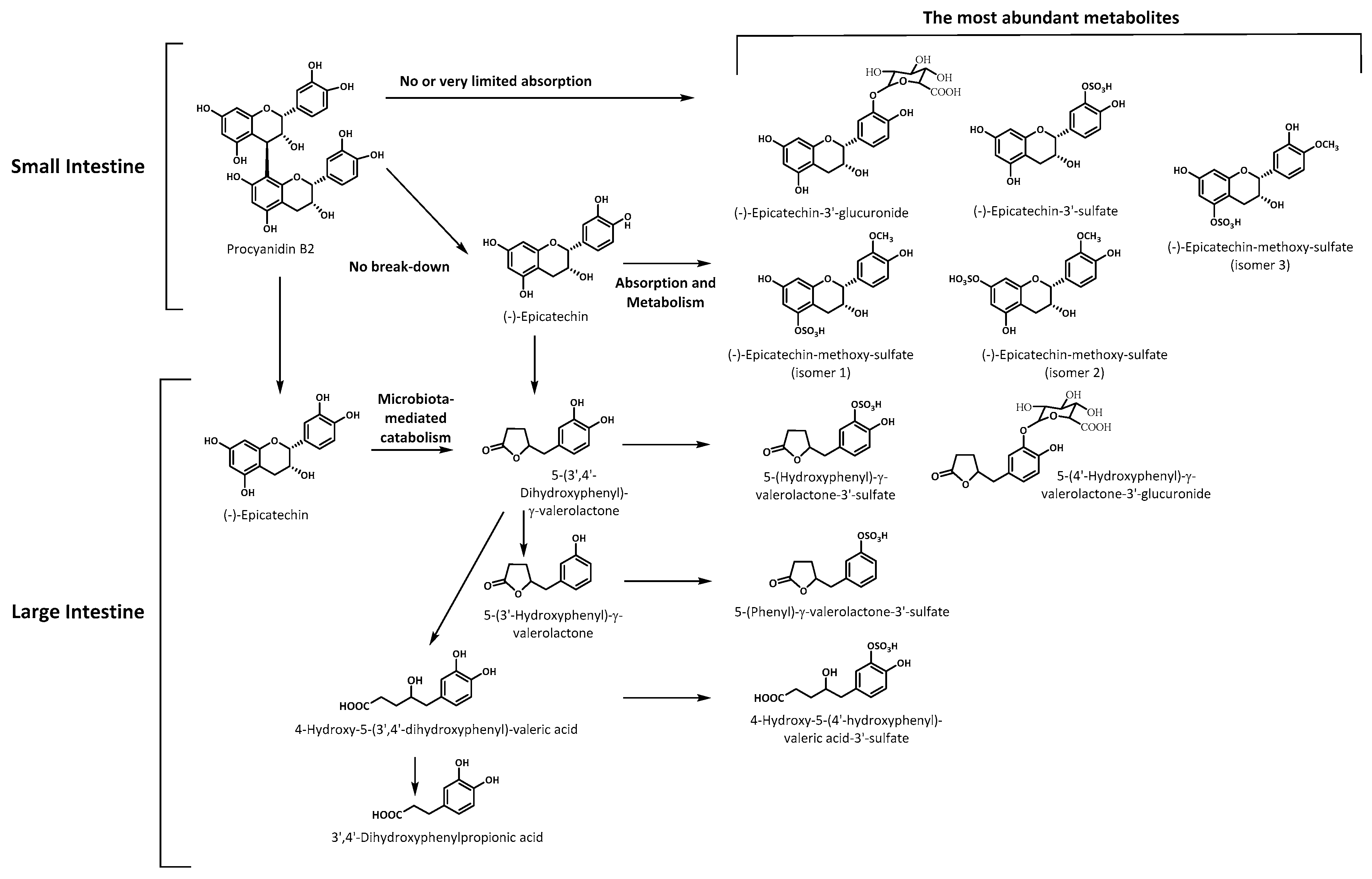
1. Introduction
2. Materials and Methods
2.1. Chemical Reagents and Materials
2.2. Quantification of Total Polyphenols of the Soluble Cocoa Products. Characterization and Quantification by high-performance liquid chromatography-mass spectrometry (HPLC-MS) and high-performance liquid chromatography-diode array (HPLC-DAD).
2.3. Subjects and Study Design
2.4. Extraction of Phenolic Metabolites from Biological Samples
2.5. Metabolite Identification by HPLC-ESI-QToF-MS Analysis
2.6. Nutrikinetic and Statistical Analysis
3. Results
3.1. Phenolic Content of Soluble Cocoa Products
3.2. LC-ESI-QToF-MS Identification of Flavanols and Metabolites in Plasma and Urine
3.3. Quantification of Plasma Metabolites and Nutrikinetic Parameters
3.4. Quantification of Urinary Metabolites
4. Discussion
Supplementary Materials
Author Contributions
Funding
Acknowledgments
Conflicts of Interest
References
- Selmi, C.; Cocchi, C.A.; Lanfredini, M.; Keen, C.L.; Gershwin, M.E. Chocolate at heart: The anti-inflammatory impact of cocoa flavonoids. Mol. Nutr. Food Res. 2008, 52, 1340–1348. [Google Scholar] [PubMed]
- Ellam, S.; Williamson, G. Cocoa and human health. Annu. Rev. Nutr. 2013, 33, 105–128. [Google Scholar] [PubMed]
- Mena, P.; Bresciani, L.; Brindani, N.; Ludwig, I.A.; Pereira-Caro, G.; Angelino, D.; Llorach, R.; Calani, L.; Brighenti, F.; Clifford, M.N.; et al. Phenyl-γ-valerolactones and phenylvaleric acids, the main colonic metabolites of flavan-3-ols: Synthesis, analysis, bioavailability, and bioactivity. Nat. Prod. Rep. 2019, 36, 714–752. [Google Scholar] [CrossRef] [PubMed]
- Ottaviani, J.I.; Momma, T.Y.; Kuhnle, G.K.; Keen, C.L.; Schroeter, H. Structurally related (−)-epicatechin metabolites in humans: Assessment using de novo chemically synthesized authentic metabolites. Free Radic. Biol. Med. 2012, 52, 1403–1412. [Google Scholar] [PubMed]
- Ottaviani, J.I.; Kwik-Uribe, C.; Keen, C.L.; Schroeter, H. Intake of dietary procyanidins does not contribute to the pool of circulating flavanols in humans. Am. J. Clin. Nutr. 2012, 95, 851–858. [Google Scholar] [CrossRef] [PubMed]
- Calani, L.; Del Rio, D.; Luisa Callegari, M.; Morelli, L.; Brighenti, F. Updated bioavailability and 48 h excretion profile of flavan-3-ols from green tea in humans. Int. J. Food Sci. Nutr. 2012, 63, 513–521. [Google Scholar] [PubMed]
- van der Hooft, J.J.; de Vos, R.C.; Mihaleva, V.; Bino, R.J.; Ridder, L.; de Roo, N.; Jacobs, D.M.; van Duynhoven, J.P.; Vervoot, J. Structural elucidation and quantification of phenolic conjugates present in human urine after tea intake. Anal. Chem. 2012, 84, 7263–7271. [Google Scholar] [CrossRef]
- Ottaviani, J.I.; Borges, G.; Momma, T.Y.; Spencer, J.P.; Keen, C.L.; Crozier, A.; Schroeter, H. The metabolome of [2-(14)C](-)-epicatechin in humans: Implications for the assessment of efficacy, safety, and mechanisms of action of polyphenolic bioactives. Sci. Rep. 2016, 1, 6:29034. [Google Scholar]
- Vitaglione, P.; Lumaga, R.B.; Ferracane, R.; Sellitto, S.; Morello, J.R.; Miranda, J.R.; Shimoni, E.; Fogliano, V. Human bioavailability of flavanols and phenolic acids from cocoa-nut creams enriched with free or microencapsulated cocoa polyphenols. Br. J. Nutr. 2013, 109, 1832–1843. [Google Scholar]
- Sarriá, B.; Martínez-López, S.; Sierra-Cinos, J.L.; García-Diz, L.; Goya, L.; Mateos, R.; Bravo, L. Effects of bioactive constituents in functional cocoa products on cardiovascular health in humans. Food Chem. 2015, 174, 214–218. [Google Scholar] [CrossRef]
- Montagnana, M.; Danese, E.; Angelino, D.; Mena, P.; Rosi, A.; Benati, M.; Gelati, M.; Salvagno, G.L.; Favaloro, E.J.; Del Rio, D.; et al. Dark chocolate modulates platelet function with a mechanism mediated by flavan-3-ol metabolites. Medicine 2018, 97, e13432. [Google Scholar] [PubMed]
- Cifuentes-Gomez, T.; Rodríguez-Mateos, A.; Gonzalez-Salvador, I.; Alañon, M.E.; Spencer, J.P.E. Factors affecting the absorption, metabolism and excretion of cocoa flavanols in humans. J. Agric. Food Chem. 2015, 63, 7615–7623. [Google Scholar] [PubMed]
- Rodríguez-Mateos, A.; Vauzour, D.; Krueger, C.G.; Shanmuganayagam, D.; Reed, J.; Calani, L.; Mena, P.; Del Río, D.; Crozier, A. Bioavailability, bioactivity and impact on health of dietary flavonoids and related compounds: An update. Arch. Toxicol. 2014, 88, 1803–1853. [Google Scholar] [PubMed]
- Oracz, J.; Nebesny, E.; Zyzelewicz, D.; Budryn, G.; Luzak, B. Bioavailability and metabolism of selected cocoa bioactive compounds: A comprehensive review. Crit. Rev. Food Scin. Nutr. 2019, 1–39. [Google Scholar] [CrossRef] [PubMed]
- Bravo, L.; Abia, R.; Saura-Calixto, F. Polyphenols as dietary fiber associated compounds. Comparative study on in vivo and in vitro properties. J. Agric. Food Chem. 1994, 42, 1481–1487. [Google Scholar] [CrossRef]
- Actis-Goretta, L.; Leveques, A.; Giuffrida, F.; Romanov-Michailidis, F.; Viton, F.; Barron, D.; Dueñas-Paton, M.; González-Manzano, S.; Santos-Buelga, C.; Williamson, G.; et al. Elucidation of (-)-epicatechin metabolites after ingestion of chocolate by healthy humans. Free Radic. Biol. Med. 2012, 53, 787–795. [Google Scholar] [CrossRef] [PubMed]
- Urpí-Sarda, M.; Monagas, M.; Khan, N.; Llorach, R.; Lamuela-Raventós, R.M.; Jáuregui, O.; Estruch, R.; Izquierdo-Pulido, M.; Andrés-Lacueva, C. Targeted metabolic profiling of phenolics in urine and plasma after regular consumption of cocoa by liquid chromatography-tandem mass spectrometry. J. Chromatogr. A 2009, 1216, 7258–7267. [Google Scholar] [PubMed]
- Sánchez-Patán, F.; Chioua, M.; Garrido, I.; Cueva, C.; Samadi, A.; Marco-Contelles, J.; Moreno-Arribas, M.V.; Bartolomé, B.; Monagas, M. Synthesis, analytical features, and biological relevance of 5-(3′,4′-dihydroxyphenyl)-y-valerolactone, a microbial metabolite derived from the catabolism of dietary flavan-3-ols. J. Agric. Food Chem. 2011, 59, 7083–7091. [Google Scholar] [CrossRef] [PubMed]
- Monagas, M.; Urpí-Sarda, M.; Sánchez-Patán, F.; Llorach, R.; Garrido, I.; Gómez-Cordovés, C.; Andrés-Lacueva, C.; Bartolomé, B. Insights into the metabolism and microbial biotransformation of dietary flavan-3-ols and the bioactivity of their metabolites. Food Funct. 2010, 1, 233–253. [Google Scholar] [CrossRef] [PubMed]
- Stoupi, S.; Williamson, G.; Drynan, J.W.; Barron, D.; Clifford, M.N. Procyanidin B2 catabolism by human fecal microflora: Partial characterization of “dimeric” intermediates. Arch. Biochem. Biophys. 2010, 501, 73–78. [Google Scholar] [CrossRef]
- Borges, G.; Ottaviani, J.I.; van der Hooft, J.J.J.; Schroeter, H.; Crozier, A. Absorption, metabolism, distribution and excretion of (-)-epicatechin: A review of recent findings. Mol. Asp. Med. 2018, 61, 18–30. [Google Scholar] [CrossRef] [PubMed]
- Richelle, M.; Tavazzi, I.; Enslen, M.; Offord, E.A. Plasma kinetics in man of epicatechin from black chocolate. Eur. J. Clin. Nutr. 1999, 53, 22–26. [Google Scholar] [CrossRef] [PubMed]
- Roura, E.; Andrés-Lacueva, C.; Jauregui, O.; Badia, E.; Estruch, R.; Izquierdo-Pulido, M.; Lamuela-Raventós, R.M. Rapid liquid chromatography tandem mass spectrometry assay to quantify plasma (-)-epicatechin metabolites after ingestion of a standard portion of cocoa beverage in humans. J. Agric. Food Chem. 2005, 53, 6190–6194. [Google Scholar] [PubMed]
- Roura, E.; Andrés-Lacueva, C.; Estuch, R.; Mata-Bilbao, M.L.; Izquierdo-Pulido, M.; Waterhouse, A.L.; Lamuela-Raventós, R.M. Milk does not affect the bioavailability of cocoa powder flavonoid in healthy human. Ann. Nutr. Metab. 2007, 51, 493–498. [Google Scholar] [PubMed]
- Mullen, W.; Borges, G.; Donovan, J.L.; Edwards, C.A.; Serafini, M.; Lean, M.E.J. Milk decreases urinary excretion but not plasma pharmacokinetics of cocoa flavan-3-ol metabolites in humans. Am. J. Clin. Nutr. 2009, 89, 1784–1791. [Google Scholar] [CrossRef] [PubMed]
- Schroeter, H.; Heiss, C.; Balzer, J.; Kleinbongard, P.; Keen, C.L.; Hollenberg, N.K.; Sies, H.; Kwik–Uribe, C.; Schmitz, H.H.; Kelm, M. (-)-Epicatechin mediates beneficial effects of flavanol-rich cocoa on vascular function in humans. Proc. Natl. Acad. Sci. USA 2006, 103, 1024–1029. [Google Scholar] [CrossRef] [PubMed]
- Baba, S.; Osakabe, N.; Yasuda, A.; Natsume, M.; Takizawa, T.; Nakamura, T.; Terao, J. Bioavailability of (-)epicatechin upon intake of chocolate and cocoa in human volunteers. Free Radic. Res. 2000, 33, 635–641. [Google Scholar]
- Tomás-Barberán, F.; Cienfuegos-Jovellanos, E.; Marín, A.; Muguerza, B.; Gil-Izquierdo, A.; Cerdá, B.; Espín, J.C. A new process to develop a cocoa powder with higher flavonoid monomer content and enhanced bioavailability in healthy humans. J. Agric. Food Chem. 2007, 55, 3926–3935. [Google Scholar]
- Llorach-Asunción, R.; Jauregui, O.; Urpí-Sarda, M.; Andrés-Lacueva, C. Methodological aspects for metabolome visualization and characterization: A metabolomic evaluation of the 24 h evolution of human urine after cocoa powder consumption. J. Pharm. Biomed. Anal. 2010, 51, 373–381. [Google Scholar]
- Ito, H.; Gonthier, M.; Manach, C.; Morand, C.; Mennen, L.; Remesy, C.; Scalbert, A. Polyphenol levels in human urine after intake of six different polyphenol-rich beverages. Brit. J. Nutr. 2005, 94, 500–509. [Google Scholar] [CrossRef]
- Actis-Goretta, L.; Leveques, A.; Rein, M.T.; Teml, A.; Schafer, C.; Hofmann, U.; Li, H.; Schwab, M.; Eichelbaum, M.; Williamson, G. Intestinal absorption, metabolism, and excretion of (-)-epicatechin in healthy humans assessed by using an intestinal perfusion technique. Am. J. Clin. Nutr. 2013, 98, 924–933. [Google Scholar] [CrossRef] [PubMed]



| Flavanols | CC mg/g d.m. (%) | CC-PP mg/g d.m. (%) |
|---|---|---|
| Epicatechin | 0.57 ± 0.07 (43.2%) | 1.15 ± 0.06 (42.1%) |
| Catechin | 0.32 ± 0.03 (24.2%) | 0.53 ± 0.04 (19.4%) |
| Procyanidin B1 | 0.04 ± 0.02 (3.0%) | 0.23 ± 0.02 (8.5%) |
| Procyanidin B2 | 0.39 ± 0.05 (29.6%) | 0.82 ± 0.06 (30.0%) |
| Total Flavanols | 1.32 ± 0.17 (100%) | 2.73 ± 0.18 (100%) |
| Identified Compound | RT (min) | Molecular Formula | [M-H]− | MS2 Fragment | Location |
|---|---|---|---|---|---|
| Flavanols | |||||
| Epicatechin-3′-glucuronide | 7.8 | C21H22O12 | 465.1038 | 289 | P, U |
| Epicatechin-3′-methoxy-glucuronide | 8.0 | C22H24O12 | 479.1195 | 303 | U |
| Epicatechin-3′-sulfate | 9.8 | C15H14O9S | 369.0286 | 289 | P, U |
| Epicatechin-methoxy-sulfate (isomer 1) | 11.0 | C16H16O9S | 383.0442 | 303 | P, U |
| Epicatechin-methoxy-sulfate (isomer 2) | 11.7 | C16H16O9S | 383.0442 | 303 | P, U |
| Epicatechin-methoxy-sulfate (isomer 3) | 12.3 | C16H16O9S | 383.0442 | 303 | U |
| Phenyl-γ-Valerolactone (PVL) derivatives | |||||
| 5-(3′,4′-Dihydroxyphenyl)-γ-valerolactone (DHPVL) | 10.8 | C11H12O4 | 207.0663 | 163 | P, U |
| 5-(3′-Hydroxyphenyl)-γ-valerolactone-4′-glucuronide (HPVL-4′-glucuronide) | 7.4 | C17H20O10 | 383.0984 | 207;163 | U |
| 5-(4′-Hydroxyphenyl)-γ-valerolactone-3′-glucuronide (HPVL-3′-glucuronide) | 8.4 | C17H20O10 | 383.0984 | 207;163 | P, U |
| 5-(Hydroxyphenyl)-γ-valerolactone-sulfate (HPVL-sulfate) | 12.0 | C11H12O7S | 287.0231 | 207;163 | P, U |
| 5-Phenyl-γ-valerolactone-methoxy-glucuronide (PVL-methoxy-glucuronide) | 8.6 | C18H22O10 | 397.1140 | 221 | P, U |
| 5-Phenyl-γ-valerolactone-methoxy-sulfate (PVL-methoxy-sulfate) | 12.0 | C12H14O7S | 301.0387 | 221 | U |
| 5-(3′-Hydroxyphenyl)-γ-valerolactone (HPVL) | 11.6 | C11H12O3 | 191.0714 | 147 | U |
| 5-Phenyl-γ-valerolactone-3′-glucuronide (PVL-3′-glucuronide) | 9.4 | C17H20O9 | 367.1035 | 191 | U |
| 5-Phenyl-γ-valerolactone-3′-sulfate (PVL-3′-sulfate) | 11.7 | C11H12O6S | 271.0282 | 191 | P, U |
| Phenylvaleric acid derivatives | |||||
| 4-Hydroxy-5-(3′,4′-dihydroxyphenyl)valeric acid (HDHPVA) | 5.5 | C11H14O5 | 225.0768 | 179 | U |
| 4-Hydroxy-5-(hydroxyphenyl)valeric acid-glucuronide (HHPVA-glucuronide) | 5.1 | C17H22O11 | 401.1089 | 225 | U |
| 4-Hydroxy-5-(hydroxyphenyl)valeric acid-sulfate (HHPVA-sulfate) | 7.3 | C11H14O8S | 305.0337 | 225 | P, U |
| Other microbial metabolites | |||||
| 3,4-Dihydroxyphenylpropionic acid | 8.5 | C9H10O4 | 181.0506 | 137;122 | P, U |
| 3-Methoxy-4-hydroxyphenylpropionic acid | 10.8 | C10H12O4 | 195.0663 | 137 | P, U |
| 3-Hydroxyphenylpropionic acid | 11.1 | C9H10O3 | 165.0557 | 121 | P, U |
| 3,4-Dihydroxyphenylacetic acid | 5.6 | C8H8O4 | 167.0350 | 123 | P, U |
| 3-Methoxy-4-hydroxyphenylacetic acid | 6.5 | C9H10O4 | 181.0506 | 137 | U |
| 3-Hydroxyphenylacetic acid | 7.4 | C8H8O3 | 151.0401 | 107 | U |
| Ferulic acid | 12.3 | C10H10O4 | 193.0506 | 134 | P, U |
| Isoferulic acid | 15.4 | C10H10O4 | 193.0506 | 134 | U |
| 3,4-Dihydroxybenzoic acid | 3.8 | C7H604 | 153.0193 | 109 | P, U |
| 4-Hydroxyhippuric acid | 10.7 | C9H9O4N | 194.0459 | 100 | P, U |
| 3-Hydroxyhippuric acid | 14.1 | C9H9O4N | 194.0459 | 150 | P, U |
| Hydroxybenzoic acid | 6.3 | C7H6O3 | 137.0244 | 93 | P, U |
| CC | CC-PP | p Value (CC vs CC-PP) | |||||||
|---|---|---|---|---|---|---|---|---|---|
| Metabolite | Cmax (µM) | Tmax (h) | AUC (µM min−1) | Cmax (µM) | Tmax (h) | AUC (µM min−1) | Cmax | Tmax | AUC |
| Intestinal absorption | |||||||||
| Epicatechin-3′-glucuronide | 0.025 ± 0.001 | 1.5 ± 0.5 | 0.072 ± 0.028 | 0.037 ± 0.001 | 1.4 ± 0.8 | 0.110 ± 0.066 | <0.05 | N.S. | N.S. |
| Epicatechin-3′-sulfate | 0.026 ± 0.003 | 1.0 ± 0.1 | 0.101 ± 0.023 | 0.042 ± 0.004 | 1.2 ± 0.5 | 0.109 ± 0.076 | N.S. | N.S. | N.S. |
| Epicatechin-methoxy-sulfate (isomer 1) | 0.031 ± 0.003 | 1.3 ± 0.6 | 0.122 ± 0.025 | 0.041 ± 0.002 | 1.1 ± 0.6 | 0.173 ± 0.107 | <0.05 | N.S. | N.S. |
| Epicatechin-methoxy-sulfate (isomer 2) | N.D. | 0.041 ± 0.004 | 1.3 ± 0.5 | 0.145 ± 0.107 | <0.05 | <0.05 | <0.05 | ||
| Microbial metabolites | |||||||||
| DHPVL | 0.035 ± 0.008 | 6.0 ± 1.6 | 0.124 ± 0.073 | 0.037 ± 0.007 | 5.5 ± 1.4 | 0.192 ± 0.029 | N.S. | N.S. | N.S. |
| HPVL-3′-glucuronide | 0.031 ± 0.004 | 5.6 ± 0.8 | 0.106 ± 0.021 | 0.357 ± 0.200 | 5.0 ± 1.2 | 1.433 ± 0.727 | <0.05 | N.S. | <0.05 |
| HPVL-sulfate | 0.336 ± 0.240 | 5.3 ± 2.4 | 1.150 ± 0.742 | 0.332 ± 0.161 | 4.9 ± 1.2 | 1.384 ± 0.648 | N.S. | N.S. | N.S. |
| PVL-methoxy-glucuronide | 0.022 ± 0.001 | 5.3 ± 1.0 | 0.078 ± 0.032 | 0.027 ± 0.003 | 5.6 ± 1.3 | 0.091 ± 0.059 | <0.05 | N.S. | N.S. |
| PVL-3′-sulfate b | Traces | (4–6) a | 0.039 ± 0.014 | 5.2 ± 2.2 | 0.161 ± 0.105 | <0.05 | <0.05 | <0.05 | |
| HHPVA-sulfate | N.D. | 0.037 ± 0.008 | 6.3 ± 1.8 | 0.167 ± 0.068 | <0.05 | <0.05 | <0.05 | ||
| Metabolite | Basal (µmol) | 0–4 h (µmol) | 4–8 h (µmol) | 8–12 h (µmol) | 12–24 h (µmol) | Total (µmol) | |
|---|---|---|---|---|---|---|---|
| Intestinal Absorption | Epicatechin-3′-glucuronide | N.D. | 0.355 ± 0.071 | 0.267 ± 0.059 | <L.Q. | <L.Q. | 0.622 ± 0.130 * |
| Epicatechin-3′-methoxy-glucuronide | N.D. | <L.Q. | <L.Q. | N.D. | N.D. | <L.Q. * | |
| Epicatechin-3′-sulfate | N.D. | 1.323 ± 0.236 | 1.018 ± 0.178 | 0.076 ± 0.025 | <L.Q. | 2.417 ± 0.439 * | |
| Epicatechin-methoxy-sulfate (isomer 1) | N.D. | 2.717 ± 0.457 | 1.300 ± 0.197 | 0.154 ± 0.031 | 0.257 ± 0.114 | 4.428 ± 0.800 * | |
| Epicatechin-methoxy-sulfate (isomer 2) | N.D. | 0.181 ± 0.032 | 0.247 ± 0.030 | <L.Q. | <L.Q. | 0.428 ± 0.062 * | |
| Epicatechin-methoxy-sulfate (isomer 3) | N.D. | 0.473 ± 0.089 | 0.285 ± 0.036 | <L.Q. | N.D. | 0.758 ± 0.125 * | |
| Total—intestinal absorption | N.D. | 5.049 ± 0.885 | 3.117 ± 0.500 | 0.230 ± 0.056 | 0.257 ± 0.114 | 8.653 ± 1.556 * | |
| Colonic Absorption | DHPVL | <L.Q. | <L.Q. | 0.146 ± 0.032 | <L.Q. | <L.Q. | 0.146 ± 0.032 * |
| HPVL | N.D. | N.D. | <L.Q. | <L.Q. | <L.Q. | <L.Q. * | |
| HDHPVA | N.D. | N.D. | <L.Q. | <L.Q. | <L.Q. | <L.Q. | |
| HPVL-4′-glucuronide | <L.Q. | <L.Q. | 0.111 ± 0.049 | <L.Q. | <L.Q. | 0.111 ± 0.049 * | |
| HPVL-3′-glucuronide | <L.Q. | <L.Q. | 0.497 ± 0.204 | 0.103 ± 0.028 | <L.Q. | 0.600 ± 0.232 * | |
| HPVL-sulfate | 0.143 ± 0.064 | 0.456 ± 0.193 | 5.638 ± 1.922 | 1.945 ± 0.647 | 1.744 ± 0.374 | 9.926 ± 3.200 * | |
| PVL-methoxy-glucuronide | <L.Q. | <L.Q. | 0.111 ± 0.039 | <L.Q. | <L.Q. | 0.111 ± 0.039 * | |
| PVL-methoxy-sulfate | <L.Q. | N.D. | 0.085 ± 0.031 | <L.Q. | <L.Q. | 0.085 ± 0.031 * | |
| PVL-3′glucuronide | N.D. | <L.Q. | 0.233 ± 0.155 | 0.126 ± 0.078 | 0.079 ± 0.022 | 0.438 ± 0.255 | |
| PVL-3′-sulfate | <L.Q. | <L.Q. | 0.860 ± 0.385 | 0.456 ± 0.284 | 0.375 ± 0.133 | 1.691 ± 0.802 * | |
| HHPVA-glucuronide | N.D. | N.D. | N.D. | N.D. | N.D. | N.D. * | |
| HHPVA-sulfate | 0.089 ± 0.055 | 0.076 ± 0.055 | 1.112 ± 0.397 | 0.565 ± 0.171 | 0.503 ± 0.152 | 2.345 ± 0.830 * | |
| Total—colonic absorption | 0.232 ± 0.119 | 0.532 ± 0.248 | 8.793 ± 3.214 | 3.195 ± 1.208 | 2.701 ± 0.681 | 15.453 ± 5.470 * | |
| Other microbial metabolites | 3,4-Dihydroxyphenylpropionic acid | 0.117 ± 0.024 | 0.217 ± 0.051 | 0.243 ± 0.039 | 0.074 ± 0.017 | 0.215 ± 0.016 | 0.866 ± 0.148 |
| 3-Methoxy-4-hydroxyphenylpropionic acid | 0.104 ± 0.027 | 0.144 ± 0.044 | <L.Q. | <L.Q. | <L.Q. | 0.248 ± 0.071 | |
| Hydroxyphenylpropionic acid | 0.118 ± 0.023 | 0.226 ± 0.046 | 0.259 ± 0.043 | 0.077 ± 0.018 | 0.203 ± 0.025 | 0.883 ± 0.154 | |
| 3,4-Dihydroxyphenylacetic acid | 0.094 ± 0.032 | 0.648 ± 0.505 | 0.556 ± 0.379 | 0.094 ± 0.033 | 0.133 ± 0.020 | 1.525 ± 0.974 | |
| 3-Methoxy-4-hydroxyphenylacetic acid | 0.103 ± 0.014 | 0.099 ± 0.054 | 0.093 ± 0.028 | <L.Q. | 0.103 ± 0.022 | 0.398 ± 0.118 | |
| Hydroxyphenylacetic acid | 0.369 ± 0.077 | 0.408 ± 0.084 | 0.605 ± 0.092 | 0.225 ± 0.052 | 0.600 ± 0.100 | 2.208 ± 0.328 | |
| Ferulic acid | <L.Q. | <L.Q. | 0.094 ± 0.009 | 0.099 ± 0.059 | N.D. | 0.193 ± 0.068 | |
| Isoferulic acid | 0.170 ± 0.137 | 0.086 ± 0.028 | 0.096 ± 0.040 | 0.088 ± 0.069 | 0.082 ± 0.016 | 0.522 ± 0.290 | |
| Protocatechuic acid | 0.161 ± 0.071 | 0.227 ± 0.142 | 0.373 ± 0.237 | 0.094 ± 0.047 | 0.104 ± 0.044 | 0.959 ± 0.217 * | |
| Hydroxyhippuric acid | 0.821 ± 0.251 | 0.864 ± 0.154 | 1.171 ± 0.387 | 0.242 ± 0.067 | 0.995 ± 0.316 | 4.093 ± 1.175 | |
| Hydroxyhippuric acid | 0.075 ± 0.031 | 0.085 ± 0.043 | 0.082 ± 0.055 | 0.075 ± 0.031 | 0.077 ± 0.046 | 0.394 ± 0.206 | |
| Hidroxybenzoic acid | 0.188 ± 0.041 | 0.145 ± 0.027 | 0.200 ± 0.051 | 0.070 ± 0.018 | 0.195 ± 0.025 | 0.798 ± 0.162 | |
| Total other microbial metabolites | 2.320 ± 0.728 | 3.149 ± 1.178 | 3.772 ± 1.360 | 1.138 ± 0.411 | 2.707 ± 0.630 | 13.086 ± 3.911 | |
| INTESTINAL + COLONIC METABOLITES | 0.232 ± 0.119 | 5.581 ± 1.133 | 11.910 ± 3.714 | 3.425 ± 1.264 | 2.958 ± 0.795 | 24.106 ± 7.026 |
| Metabolite | Basal (µmol) | 0–4 h (µmol) | 4–8 h (µmol) | 8–12 h (µmol) | 12–24 h (µmol) | Total (µmol) | |
|---|---|---|---|---|---|---|---|
| Intestinal Absorption | Epicatechin-3′-glucuronide | N.D. | 0.958 ± 0.272 | 0.695 ± 0.190 | <L.Q. | <L.Q. | 1.653 ± 0.462 * |
| Epicatechin-3′-methoxy-glucuronide | N.D. | 0.121 ± 0.036 | <L.Q. | <L.Q. | N.D. | 0.121 ± 0.036 * | |
| Epicatechin-3′-sulfate | N.D. | 3.627 ± 0.797 | 3.572 ± 0.662 | 0.158 ± 0.038 | <L.Q. | 7.357 ± 1.523 * | |
| Epicatechin-methoxy-sulfate (isomer 1) | N.D. | 8.642 ± 1.434 | 3.277 ± 0.644 | 0.330 ± 0.095 | 0.232 ± 0.070 | 12.481 ± 2.243 * | |
| Epicatechin-methoxy-sulfate (isomer 2) | N.D. | 0.566 ± 0.152 | 0.557 ± 0.120 | 0.077 ± 0.021 | <L.Q. | 1.200 ± 0.293 * | |
| Epicatechin-methoxy-sulfate (isomer 3) | N.D. | 1.702 ± 0.243 | 0.652 ± 0.148 | <L.Q. | <L.Q. | 2.354 ± 0.402 * | |
| Total—intestinal absorption | N.D. | 15.616 ± 2.934 | 8.753 ±1.764 | 0.565 ± 0.154 | 0.232 ± 0.070 | 25.166 ± 4.959 * | |
| Colonic Absorption | DHPVL | <L.Q. | <L.Q. | 0.628 ± 0.087 | 0.174 ± 0.029 | 0.282 ± 0.082 | 1.084 ± 0.199 * |
| HPVL | N.D. | <L.Q. | 0.104 ± 0.041 | <L.Q. | <L.Q. | 0.104 ± 0.041 * | |
| HDHPVA | N.D. | <L.Q. | <L.Q. | <L.Q. | <L.Q. | <L.Q. | |
| HPVL-4′-glucuronide | <L.Q. | <L.Q. | 0.330 ± 0.111 | 0.550 ± 0.015 | 0.081 ± 0.025 | 0.961 ± 0.151 * | |
| HPVL-3′-glucuronide | <L.Q. | <L.Q. | 1.802 ± 0.567 | 0.274 ± 0.060 | 0.282 ± 0.130 | 2.358 ± 0.766 * | |
| HPVL-sulfate | 0.332 ± 0.164 | 1.965 ± 0.636 | 15.979 ± 2.963 | 5.386 ± 0.934 | 7.656 ± 2.125 | 31.318 ± 6.822 * | |
| PVL-methoxy-glucuronide | <L.Q. | <L.Q. | 0.340 ± 0.074 | 0.084 ± 0.014 | 0.131 ± 0.046 | 0.555 ± 0.134 * | |
| PVL-methoxy-sulfate | N.D. | <L.Q. | 0.177 ± 0.036 | <L.Q. | <L.Q. | 0.177 ± 0.047 * | |
| PVL-3′glucuronide | <L.Q. | 0.108 ± 0.045 | 0.521 ± 0.191 | 0.179 ± 0.063 | 0.508 ± 0.349 | 1.316 ± 0.648 | |
| PVL-3′-sulfate | <L.Q. | 0.651 ± 0.389 | 4.188 ± 1.535 | 1.223 ± 0.373 | 1.690 ± 0.572 | 7.752 ± 2.868 * | |
| HHPVA-glucuronide | N.D. | <L.Q. | 0.714 ± 0.088 | 0.087 ± 0.019 | 0.251 ± 0.075 | 1.052 ± 0.182 * | |
| HHPVA-sulfate | 0.089 ± 0.032 | 0.584 ± 0.223 | 5.018 ± 1.090 | 1.798 ± 0.376 | 1.987 ± 0.566 | 9.476 ± 2.287 * | |
| Total—colonic absorption | 0.421 ± 0.196 | 3.308 ± 1.293 | 29.801 ± 6.783 | 9.755 ± 1.883 | 12.868 ± 3.970 | 56.153 ± 14.145 * | |
| Other microbial metabolites | 3,4-Dihydroxyphenylpropionic acid | 0.213 ± 0.031 | 0.256 ± 0.027 | 0.238 ± 0.028 | 0.109 ± 0.016 | 0.301 ± 0.029 | 1.117 ± 0.131 |
| 3-Methoxy-4-hydroxyphenylpropionic acid | 0.077 ± 0.032 | 0.175 ± 0.054 | <L.Q. | <L.Q. | 0.199 ± 0.052 | 0.461 ± 0.138 | |
| Hydroxyphenylpropionic acid | 0.074 ± 0.013 | 0.350 ± 0.038 | 0.356 ± 0.076 | 0.140 ± 0.041 | 0.284 ± 0.075 | 1.204 ± 0.243 | |
| 3,4-Dihydroxyphenylacetic acid | 0.109 ± 0.015 | 0.751 ± 0.057 | 0.556 ± 0.096 | 0.198 ± 0.037 | 0.539 ± 0.196 | 2.153 ± 0.401 | |
| 3-Methoxy-4-hydroxyphenylacetic acid | 0.198 ± 0.071 | 0.188 ± 0.026 | 0.124 ± 0.050 | <L.Q. | 0.138 ± 0.016 | 0.648 ± 0.178 | |
| Hydroxyphenylacetic acid | 0.585 ± 0.070 | 0.631 ± 0.140 | 0.678 ± 0.231 | 0.434 ± 0.070 | 0.534 ± 0.143 | 2.862 ± 0.654 | |
| Ferulic acid | <L.Q. | 0.137 ± 0.092 | 0.150 ± 0.094 | 0.151 ± 0.094 | 0.312 ± 0.290 | 0.750 ± 0.570 | |
| Isoferulic acid | <L.Q. | 0.164 ± 0.044 | 0.160 ± 0.066 | 0.152 ± 0.094 | 0.210 ± 0.152 | 0.686 ± 0.356 | |
| Protocatechuic acid | 0.088 ± 0.014 | 0.105 ± 0.016 | 0.113 ± 0.020 | 0.095 ± 0.040 | 0.127 ± 0.015 | 0.528 ± 0.105 * | |
| Hydroxyhippuric acid | 0.871 ± 0.264 | 0.789 ± 0.100 | 0.579 ± 0.096 | 0.328 ± 0.063 | 0.987 ± 0.193 | 3.554 ± 0.716 | |
| Hydroxyhippuric acid | 0.086 ± 0.013 | 0.090 ± 0.009 | 0.082 ± 0.009 | 0.075 ± 0.063 | 0.129 ± 0.017 | 0.462 ± 0.111 | |
| Hidroxybenzoic acid | 0.212 ± 0.037 | 0.396 ± 0.060 | 0.298 ± 0.036 | 0.172 ± 0.063 | 0.302 ± 0.169 | 1.380 ± 0.365 | |
| Total other microbial metabolites | 2.513 ± 0.560 | 4.032 ± 0.663 | 3.334 ± 0.802 | 1.854 ± 0.581 | 4.062 ± 1.347 | 15.805 ± 3.968 | |
| INTESTINAL + COLONIC METABOLITES | 0.421 ± 0.196 | 18.924 ± 4.227 | 38.554 ± 8.547 | 10.320 ± 2.037 | 13.100 ± 4.040 | 81.319 ± 19.104 |
© 2019 by the authors. Licensee MDPI, Basel, Switzerland. This article is an open access article distributed under the terms and conditions of the Creative Commons Attribution (CC BY) license (http://creativecommons.org/licenses/by/4.0/).
Share and Cite
Gómez-Juaristi, M.; Sarria, B.; Martínez-López, S.; Bravo Clemente, L.; Mateos, R. Flavanol Bioavailability in Two Cocoa Products with Different Phenolic Content. A Comparative Study in Humans. Nutrients 2019, 11, 1441. https://doi.org/10.3390/nu11071441
Gómez-Juaristi M, Sarria B, Martínez-López S, Bravo Clemente L, Mateos R. Flavanol Bioavailability in Two Cocoa Products with Different Phenolic Content. A Comparative Study in Humans. Nutrients. 2019; 11(7):1441. https://doi.org/10.3390/nu11071441
Chicago/Turabian StyleGómez-Juaristi, Miren, Beatriz Sarria, Sara Martínez-López, Laura Bravo Clemente, and Raquel Mateos. 2019. "Flavanol Bioavailability in Two Cocoa Products with Different Phenolic Content. A Comparative Study in Humans" Nutrients 11, no. 7: 1441. https://doi.org/10.3390/nu11071441
APA StyleGómez-Juaristi, M., Sarria, B., Martínez-López, S., Bravo Clemente, L., & Mateos, R. (2019). Flavanol Bioavailability in Two Cocoa Products with Different Phenolic Content. A Comparative Study in Humans. Nutrients, 11(7), 1441. https://doi.org/10.3390/nu11071441
