Sign in to use this feature.

Years

Between: -

Subjects

remove_circle_outline
remove_circle_outline
remove_circle_outline
remove_circle_outline
remove_circle_outline
remove_circle_outline
remove_circle_outline
remove_circle_outline
remove_circle_outline

Journals

remove_circle_outline
remove_circle_outline
remove_circle_outline
remove_circle_outline
remove_circle_outline

Article Types

Countries / Regions

remove_circle_outline
remove_circle_outline
remove_circle_outline
remove_circle_outline

Search Results (517)

Search Parameters:
Keywords = flavanols

Order results
Result details
Results per page
Select all
Export citation of selected articles as:
24 pages, 4596 KB  
Article
Study on the Antioxidant Activity of Fermented Broad Bean–Mulberry Composite Juice Based on In Vitro Digestion and Non-Targeted Metabolomic Analysis
by Yue Zhao, Weiqiao Pang, Ying Wang, Wei Sun, Ruinan Gao, Zili Zhao and Bing Li
Foods 2026, 15(6), 991; https://doi.org/10.3390/foods15060991 - 11 Mar 2026
Viewed by 140
Abstract
Fermentation is a widely utilized technology that efficiently enriches bioactive compounds, thereby enhancing the bioactivity of food. This study aimed to investigate the release of the total polyphenol content (TPC) and flavonoid content (TFC), changes in antioxidant activity, and in vitro relative abundance [...] Read more.
Fermentation is a widely utilized technology that efficiently enriches bioactive compounds, thereby enhancing the bioactivity of food. This study aimed to investigate the release of the total polyphenol content (TPC) and flavonoid content (TFC), changes in antioxidant activity, and in vitro relative abundance trends of phenolic metabolites in the fermented composite juice of kidney beans and mulberries. An in vitro simulated gastric and intestinal digestion method was employed to examine the release patterns of polyphenols and flavonoids, along with alterations in antioxidant activity during the gastrointestinal digestion of the fermented composite juice. Non-targeted metabolomics LC-MS technology was employed to detect changes in the relative abundance and enrichment of phenolic metabolites during fermentation and digestion stages. The results indicated that after simulated digestion, the polyphenol content increased by 1.42-fold and the flavonoid content by 2.53-fold compared to pre-digestion. The scavenging rates for DPPH radicals, hydroxyl radicals, and ABTS radicals reached 85.44%, 94.77%, and 76.12%, respectively. Non-targeted metabolomic investigation through KEGG pathway enrichment showed associations between phenolic metabolites and antioxidant activity. During fermentation and digestion, daidzein, genistein, quercetin, and catechin may be the potential compounds contributing to the enhanced antioxidant activity of FBMJ. Among these, phenolic metabolites are significantly enriched in the biosynthetic pathways of flavonoids and flavanols. This study has elucidated the metabolic variations between the fermentation and digestion stages of fermented composite juice from a metabolomics perspective, providing preliminary in vitro research evidence and theoretical clues for developing it as a functional food with antioxidant potential. Full article
(This article belongs to the Section Foodomics)
Show Figures

Figure 1

27 pages, 1238 KB  
Article
Bromatological Profile of Fruits from Sorbus aucuparia and Crataegus monogyna: Polyphenol Bioaccessibility and Inhibitory Effect on Lipid Peroxidation in a Biological Model
by Iulia Varzaru, Arabela Elena Untea, Petru Alexandru Vlaicu, Alexandra Gabriela Oancea and Raluca Paula Turcu
Antioxidants 2026, 15(3), 349; https://doi.org/10.3390/antiox15030349 - 11 Mar 2026
Viewed by 76
Abstract
This study presents a comprehensive analysis of the bromatological profile of fruits from rowanberry (Sorbus aucuparia L.) and hawthorn (Crataegus monogyna Jacq.), as well as the polyphenol bioaccessibility under in vitro simulated gastrointestinal conditions, antioxidant activity and the inhibition of lipid [...] Read more.
This study presents a comprehensive analysis of the bromatological profile of fruits from rowanberry (Sorbus aucuparia L.) and hawthorn (Crataegus monogyna Jacq.), as well as the polyphenol bioaccessibility under in vitro simulated gastrointestinal conditions, antioxidant activity and the inhibition of lipid peroxidation in a biological model (egg yolk). The fruits were demonstrated to be rich in bioactive compounds, containing comparable total vitamin E levels (~65 mg/kg), with α-tocopherol as the predominant isomer, and measurable amounts of xanthophylls, mainly lutein (20.19–21.69 μg/g), astaxanthin, and canthaxanthin. HPLC-DAD analysis identified 19 polyphenolic compounds, with catechin being the dominant compound in rowanberry fruits (4.36 mg/g), while epigallocatechin and catechin were the most abundant in hawthorn fruits. In vitro gastrointestinal digestion showed elevated intestinal bioaccessibility of hydroxybenzoic acids, with ellagic acid reaching ~96% in the intestinal phase of rowanberry fruits and ~109% in hawthorn fruits, indicating increased availability. In hawthorn fruits, flavanols exhibited greater stability and higher bioaccessibility, with catechin reaching 101% in the gastric phase, epicatechin remaining highly bioaccessible (98–97%), and epigallocatechin showing moderate bioaccessibility (24–50%). Both fruit extracts exhibited antioxidant activity, with hawthorn fruits showing significantly higher ABTS and DPPH scavenging capacities. Rowanberry and hawthorn fruits exhibited an inhibitory effect on lipid peroxidation in yolk homogenates, reducing malondialdehyde formation to 37.19 mg/kg and 20.58 mg/kg from 50.79 mg/kg, respectively, although their efficacy remained lower than that of synthetic antioxidants. The findings of this study indicate that rowanberry and hawthorn fruits are promising sources of bioactive compounds, exhibiting significant antioxidant activity in biological models and supporting the potential valorization of these underutilized fruits for functional food and nutraceutical applications. Full article
(This article belongs to the Special Issue Plant Materials and Their Antioxidant Potential, 3rd Edition)
Show Figures

Figure 1

22 pages, 1148 KB  
Review
Association Between Selected Flavanols and Isoflavones and Precocious Puberty in Girls—A Scoping Review
by Izabela Michońska, Agata Serwin and Katarzyna Dereń
Nutrients 2026, 18(6), 879; https://doi.org/10.3390/nu18060879 - 10 Mar 2026
Viewed by 133
Abstract
Background/Objectives: Precocious puberty in girls currently appears to be one of the main problems in pediatric endocrine gynecology. Early onset of menstruation (EOM) means that the age at which the first menstruation occurs is lower than the average/median for the population, which [...] Read more.
Background/Objectives: Precocious puberty in girls currently appears to be one of the main problems in pediatric endocrine gynecology. Early onset of menstruation (EOM) means that the age at which the first menstruation occurs is lower than the average/median for the population, which ranges from 12 to 13 years and depends primarily on ethnic origin. Depending on age and severity of symptoms, these disorders negatively affect girls’ quality of life in many areas, including school life, family relationships, and everyday life. Methods: This article provides a scoping review summarizing scientific evidence from human studies on the association between substances derived from green tea (flavanols) and soy (isoflavones) and precocious puberty in girls. Results: Despite the relatively small number of girls enrolled in the studies, available scientific evidence from randomized controlled trials (RCTs) suggests that polyphenols from decaffeinated green tea (DGTP) may contribute to lowering the age of first menstruation in girls living with obesity. The effect of soy isoflavones or soy in the context of premature menstruation in girls is unclear. Most studies report that it may have no effect on the age of first menstruation, while individual studies suggest that very early exposure to soy (< 4 months of age) may result in earlier puberty, and others suggest that higher consumption of soy isoflavones delays this process. Conclusions: Further well-designed intervention studies in humans are needed to better understand the endocrine and metabolic relationships regarding the role and importance of specific polyphenols in the pathogenic mechanisms of the development and treatment of precocious puberty in girls. Full article
Show Figures

Figure 1

13 pages, 1565 KB  
Article
Enhancing Power Conversion Efficiency of Natural Dye-Sensitized Solar Cells Through Pigment Interaction Analysis of Delonix regia Extracts
by Lin Jiang, Katie Herbert and Bo Wang
Colorants 2026, 5(1), 8; https://doi.org/10.3390/colorants5010008 - 9 Mar 2026
Viewed by 95
Abstract
Dye-sensitized solar cells (DSSCs) represent a promising low-cost photovoltaic technology with relatively high conversion efficiency and a simple fabrication process. Natural dyes have drawn growing interest compared to ruthenium-based dyes since they are greener. However, the power conversion efficiency (PCE) of natural dyes [...] Read more.
Dye-sensitized solar cells (DSSCs) represent a promising low-cost photovoltaic technology with relatively high conversion efficiency and a simple fabrication process. Natural dyes have drawn growing interest compared to ruthenium-based dyes since they are greener. However, the power conversion efficiency (PCE) of natural dyes is generally low. In this study, we investigated novel approaches to improve the PCE of DSSCs using Delonix regia extracts by polarity-based separation using preparative thin-layer chromatography (PTLC). Our study indicated that polarity-based separation can significantly enhance the PCE, with one fraction achieving a PCE of 1.13%, which is high compared to most natural dye-based DSSCs, and is also 1.85 times that of the crude methanol extract. The major compounds in the highest-efficiency layer were flavanol-based dyes. Our study demonstrates the potential antagonistic effects within Delonix regia extracts in DSSC applications, which play a critical role in improving PCE. The study is expected to support future efforts to enhance the PCE of natural compound-based DSSCs, especially those using flavanol-based natural dyes. Full article
Show Figures

Figure 1

21 pages, 1369 KB  
Article
A Sustainable CE-DAD Screening Method for Multi-Class Polyphenol Profiling in Rosehip-Based Herbal Tea and Supplement
by Giulia Simonetti, Francesca Buiarelli, Sara Astolfi, Fabio Candiano, Andrea Fricano, Maria Presutti, Carmela Riccardi, Donatella Pomata and Patrizia Di Filippo
Foods 2026, 15(5), 892; https://doi.org/10.3390/foods15050892 - 5 Mar 2026
Viewed by 154
Abstract
Rosehip-based products are rich in polyphenols with recognized health benefits, making accurate characterization essential for quality control and functional evaluation. Conventional analytical approaches for polyphenol determination are often time-consuming, costly, and environmentally demanding. In this study, a sustainable analytical method based on capillary [...] Read more.
Rosehip-based products are rich in polyphenols with recognized health benefits, making accurate characterization essential for quality control and functional evaluation. Conventional analytical approaches for polyphenol determination are often time-consuming, costly, and environmentally demanding. In this study, a sustainable analytical method based on capillary zone electrophoresis coupled with diode array detection (CE–DAD) was developed as a green and accessible screening method for polyphenol analysis in rosehip-based products. Twelve polyphenolic compounds belonging to different classes (stilbenes, flavonols, flavanols, flavanones, and flavones) were used to optimize the electrophoretic conditions, including the buffer pH, voltage, and electrolyte concentration. Herbal tea and supplement samples were analyzed before and after a simple cartridge-based clean-up step to reduce matrix interferences. The method enabled simultaneous profiling of multiple polyphenol classes in a single CE–DAD run, showing excellent linearity (R2 > 0.99), run to run reproducibility (RSD 0.8–1.6%), and sensitivity (LOD 0.4–1.4 μg/mL; LOQ 0.9–4.7 μg/mL). Eight target polyphenols were identified and quantified in real samples. Polyphenol profiling was complemented by DPPH and ABTS antioxidant assays, allowing a functional interpretation of compositional data and a case-based comparison between different product formulations. Specifically, the herbal tea showed the values of a 13.8 mg Trolox/g sample (80.5% DPPH inhibition) and 15.3 mg Trolox/g sample (98.5% ABTS inhibition), whereas the food supplement presented a 7.4 mg Trolox/g sample (34.2% DPPH inhibition) and 7.4 mg Trolox/g sample (54.1% ABTS inhibition). Method sustainability and applicability were also evaluated using the Blue Applicability Grade Index (BAGI), confirming a low environmental footprint. Full article
(This article belongs to the Section Nutraceuticals, Functional Foods, and Novel Foods)
Show Figures

Graphical abstract

17 pages, 3787 KB  
Article
(-)-Epicatechin Promotes Epigenetic and Metabolic Changes in an Obesity Model
by Javier Pérez-Durán, Miguel Ortiz-Flores, Sarai Mendoza-Bustos, Yuridia Martínez-Meza, Aglae Luna-Flores, Guillermo Ceballos and Nayelli Nájera
Biomolecules 2026, 16(3), 343; https://doi.org/10.3390/biom16030343 - 24 Feb 2026
Viewed by 335
Abstract
Background: Obesity is a multifactorial chronic disease resulting from sustained energy imbalance and modulated by environmental and demographic factors, and it is associated with numerous comorbidities. DNA methylation is an epigenetic modification associated with obesity. Modulation of DNA methylation is a viable target [...] Read more.
Background: Obesity is a multifactorial chronic disease resulting from sustained energy imbalance and modulated by environmental and demographic factors, and it is associated with numerous comorbidities. DNA methylation is an epigenetic modification associated with obesity. Modulation of DNA methylation is a viable target for obesity control strategies. The flavanol (-)-epicatechin (EC) exerts beneficial effects in overweight individuals, suggesting that EC may influence gene regulation through signaling pathways and epigenetic mechanisms. We evaluated whether EC modulates obesity-associated DNA methylation changes using complementary in silico, in vitro, and in vivo approaches. Methods. In silico analyses were performed to explore potential EC interactions with the DNA methyltransferases DNMT1, DNMT3A, and DNMT3B. DNMT activity was measured in nuclear extracts of 4T1 cells in the presence of EC. Finally, in a C57BL/6 mouse model of diet- induced obesity, we assessed global DNA methylation and the expression of the DNA methyltransferases, as well as metabolism-related genes; peroxisome proliferator-activated receptor gamma coactivator 1 alpha (Pgc-1α), pyruvate dehydrogenase kinase isozyme 4 (Pdk4), and nuclear factor erythroid 2–related factor 2 (Nrf2) and relative mitochondrial DNA content (mtDNA/nDNA ratio) in visceral adipose tissue (VAT) and skeletal muscle. Results. EC showed stable in silico interactions within catalytic/cofactor-binding regions of DNMTs and inhibited DNMT activity in vitro in a concentration-dependent manner. In vivo, the obesogenic diet reduced global DNA methylation and decreased transcript levels of Dnmt1, Dnmt3a, and Dnmt3b in skeletal muscle and adipose tissue. EC counteracted obesity-associated DNA methylation changes in skeletal muscle, restoring global methylation and Dnmt expression toward control levels, whereas effects in VAT were limited. EC increased mitochondrial DNA content. Discussion. In silico and enzymatic data suggest that EC may bind DNMT active sites and inhibit DNMT activity in a concentration-dependent manner, supporting a role for EC in obesity-related epigenetic remodeling, particularly in skeletal muscle. EC also increased relative mitochondrial DNA content in VAT and skeletal muscle despite no obesogenic diet effect on relative mitochondrial abundance, consistent with favorable mitochondrial modulation. In conclusion, EC is an epigenetic modulator and may have positive effects in obesity related dysfunctional tissues. Full article
(This article belongs to the Section Natural and Bio-derived Molecules)
Show Figures

Figure 1

19 pages, 950 KB  
Review
Antimutagenic and Anticarcinogenic Evidence of the Genus Ficus L.
by Eduardo Madrigal-Santillán, Jacqueline Portillo-Reyes, Luis Fernando García-Melo, José A. Morales-González, Marvin Antonio Soriano Ursúa, Manuel Sánchez-Gutiérrez, Jeannett A. Izquierdo-Vega, Aleli Julieta Izquierdo-Vega, Isela Álvarez-González, Ángel Morales-González, Nikola Batina and Eduardo Madrigal-Bujaidar
Plants 2026, 15(4), 654; https://doi.org/10.3390/plants15040654 - 20 Feb 2026
Viewed by 629
Abstract
Among the most important species of Ficus L. genus are F. deltoidea, F. exasperata, F. sycomorus, F. religiosa, F. microcarpa, F. hirta Vahl., F. benghalensis, F. racemosa, F. elastica, and F. carica. The genus [...] Read more.
Among the most important species of Ficus L. genus are F. deltoidea, F. exasperata, F. sycomorus, F. religiosa, F. microcarpa, F. hirta Vahl., F. benghalensis, F. racemosa, F. elastica, and F. carica. The genus has more than 30 traditional ethnomedicinal uses, attributed to the combination of different bioactive compounds, including flavonoids, (flavanols, flavones, flavonols, isoflavones, chalcones, anthocyanins), phenolic acids (hydroxycinnamic acids, hydroxybenzoic acids), terpenes (triterpenes, tetraterpenes, diterpenes, sesquiterpenes, monoterpenes), phytosterols, coumarins, hydroxybenzoates, phenylpropanoids, chlorins, pheophytins, megastigmans, chitinases, organic acids, fatty acids, amino acids, alkaloids, and glycosides. With this in mind, the objective of this manuscript was to conduct a scientific search in the main electronic databases (PubMed, SciELO, Latindex, Redalyc, BiologyBrowser, ScienceResearch, ScienceDirect, World Wide Science, Web of Science, Academic Journals, Etnobotany, Scopus, and Google Scholar) to gather information on published research regarding the genoprotective potential of the Ficus L. genus. Unlike most scientific articles, which primarily describe the individual characteristics and properties of each species, this document compiles the largest number of studies (in vitro and in vivo) on Ficus plants described by different authors. Thus, we aim to promote more detailed scientific research and expand studies on the protective capacity of these angiosperm plants to the genetic material. Full article
Show Figures

Figure 1

32 pages, 3474 KB  
Review
Beyond Taste: The Impact of Chocolate on Cardiovascular and Steatotic Liver Disease Risk Factors
by Júlia Mayumi Tomaru, Iara Ribeiro Nunes, Caroline Fernandes de Souza Santiago, Alda Maria Machado Bueno Otoboni, Claudemir Gregorio Mendes, Adriana Maria Ragassi Fiorini, Elen Landgraf Guiguer, Claudia Cristina Teixeira Nicolau, Antonelly Cassio Alves Carvalho, Caio Sérgio Galina Spilla, José Luiz Yanaguizawa Junior, Vitor Engrácia Valenti, Ricardo de Alvares Goulart, Luiz Carlos de Abreu, Lucas Fornari Laurindo and Sandra Maria Barbalho
Nutrients 2026, 18(4), 636; https://doi.org/10.3390/nu18040636 - 14 Feb 2026
Viewed by 1807
Abstract
Cardiovascular diseases and metabolic dysfunction-associated steatotic liver disease (MASLD) are increasing sharply worldwide and share overlapping pathophysiological pathways, including oxidative stress, inflammation, hyperglycemia, obesity, dyslipidemia, and hypertension. Dark chocolate, rich in cocoa flavanols such as epicatechin and catechin, exhibits antioxidant and anti-inflammatory effects. [...] Read more.
Cardiovascular diseases and metabolic dysfunction-associated steatotic liver disease (MASLD) are increasing sharply worldwide and share overlapping pathophysiological pathways, including oxidative stress, inflammation, hyperglycemia, obesity, dyslipidemia, and hypertension. Dark chocolate, rich in cocoa flavanols such as epicatechin and catechin, exhibits antioxidant and anti-inflammatory effects. Based on these properties, this narrative review uniquely integrates evidence on chocolate’s effects on both cardiovascular and hepatic health, exploring shared mechanisms and clinical implications. Evidence from clinical studies suggests that chocolate modulates nitric oxide bioavailability and NADPH oxidase activity. Clinical findings demonstrate improvements in flow-mediated dilation, decreased NT-proBNP, reduced intestinal permeability and endotoxemia, improved lipid profile (increased HDL-c and reduced total cholesterol, LDL-c, and triglycerides), increased plasma polyphenols, improved platelet function, and attenuated hepatocyte apoptosis. These findings suggest a potential role for cocoa flavanol-rich dark chocolate in cardiometabolic health; however, the evidence remains preliminary and is limited by heterogeneous study designs, small sample sizes, and short intervention durations. Despite these limitations, current evidence supports the inclusion of moderate dark chocolate consumption as a possible adjunct strategy to mitigate cardiometabolic and hepatic metabolic risks. Further large-scale, long-term trials are needed to confirm these beneficial effects and to standardize the dosage and formulation of cocoa flavanols. Full article
Show Figures

Figure 1

13 pages, 1442 KB  
Article
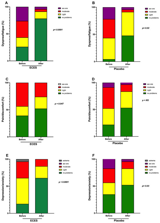
Effects of Cacao Flavonoids in Long COVID-19 Patients with Chronic Fatigue: FLALOC, a Placebo-Controlled Randomized Clinical Trial
by Levy Munguía, Selene Silva, Francisco Villarreal, Nayelli Nájera and Guillermo Ceballos
J. Clin. Med. 2026, 15(4), 1468; https://doi.org/10.3390/jcm15041468 - 13 Feb 2026
Viewed by 1159
Abstract
Background: In the context of long COVID, persistent fatigue is among the most prevalent symptoms that can develop after SARS-CoV-2 infection. Mitochondrial myopathy and endothelial dysfunction, which are triggers of inflammation, have emerged as prominent causes of long COVID-induced fatigue. Interestingly, the intake [...] Read more.
Background: In the context of long COVID, persistent fatigue is among the most prevalent symptoms that can develop after SARS-CoV-2 infection. Mitochondrial myopathy and endothelial dysfunction, which are triggers of inflammation, have emerged as prominent causes of long COVID-induced fatigue. Interestingly, the intake of flavanols, particularly (−)-epicatechin (EC), has been associated with the positive modulation of endothelial and mitochondrial structure and function. Methods: In this work, we conducted a randomized, double-blind, placebo-controlled clinical trial to determine whether an EC-enriched supplement (ECES) improves plasma markers of inflammation, endothelial structure, and fatigue-related endpoints in patients with long COVID-19. Results: The study included 46 subjects (mean age 52 years) who were instructed to consume two capsules/day for 90 days of either ECES (n = 23) or placebo (n = 23). Endpoints assessed included mean changes in plasma inflammatory markers (IL-1β, IL-6, and TNF-α) and endothelial dysfunction markers (syndecan-1), handgrip strength, fatigue scale, and quality of life (QoL). The results showed significant improvements in the ECES group for inflammatory markers, syndecan-1, and fatigue compared with the placebo group. Conclusions: The results yield intriguing positive findings for EC and open a new avenue for treating long COVID. Full article
Show Figures

Figure 1

25 pages, 1869 KB  
Article
Effects of Grapevine Leafroll-Associated Virus 3 on the Chemical and Sensory Properties of Cabernet Sauvignon Grape and Wine
by Na Liu, Wenguang Jiang, Huixuan Zhou, Xinyi Hao, Guotian Liu, Wenwu Bao, Xinming Zhou, Tengfei Xu and Yan Xu
Foods 2026, 15(4), 624; https://doi.org/10.3390/foods15040624 - 9 Feb 2026
Viewed by 291
Abstract
Grapevine leafroll-associated virus (GLRaV) is a globally widespread disease that causes substantial economic losses in the wine industry. In severely affected vineyards, GLRaV can reduce grape yield by 20–40%. This study aimed to evaluate the effects of GLRaV infection on polyphenolic and volatile [...] Read more.
Grapevine leafroll-associated virus (GLRaV) is a globally widespread disease that causes substantial economic losses in the wine industry. In severely affected vineyards, GLRaV can reduce grape yield by 20–40%. This study aimed to evaluate the effects of GLRaV infection on polyphenolic and volatile organic compound contents, as well as on the sensory profiles of the resulting wines. A comparative analysis was conducted between GLRaV-3-infected and healthy Cabernet Sauvignon grapes and their corresponding wines. Results show GLRaV-3 significantly alters grape and wine quality. In infected grapes, sugar content decreased while titratable acidity increased. Polyphenol composition was notably altered: phenolic acids and flavonols increased by 22.46% and 15.27%, respectively, whereas flavanols decreased by 17.86%. The levels of aldehydes and C6 compounds also rose significantly in the berries. Wines produced from infected grapes showed lower alcohol content and reduced dry extract. Phenolic acids and flavanols were decreased, but total flavonols increased by 12.54%. Among volatile compounds, alcohols, phenols, and fatty acids were elevated, while esters declined by 13.36%. These chemical changes directly influenced sensory attributes. Compared with wines from healthy grapes, those from infected grapes exhibited improved tannin texture and longer aftertaste. However, they were inferior in color intensity, aroma intensity, body fullness, and varietal typicity. Full article
(This article belongs to the Section Drinks and Liquid Nutrition)
Show Figures

Figure 1

21 pages, 1963 KB  
Article
Juniperus communis L. Needle Extract Modulates Oxidative and Inflammatory Pathways in an Experimental Model of Acute Inflammation
by Dinu Bolunduț, Alina Elena Pârvu, Andra Diana Cecan, Anca Elena But, Florica Ranga, Marcel Pârvu, Iulia Ioana Morar and Ciprian Ovidiu Dalai
Molecules 2026, 31(2), 247; https://doi.org/10.3390/molecules31020247 - 11 Jan 2026
Viewed by 472
Abstract
Juniperus communis L. is a conifer widely used in traditional European medicine for the management of inflammatory disorders. However, its effects on oxidative stress and inflammation remain incompletely characterized. The present study investigated the antioxidant and anti-inflammatory potential of an ethanolic needle extract [...] Read more.
Juniperus communis L. is a conifer widely used in traditional European medicine for the management of inflammatory disorders. However, its effects on oxidative stress and inflammation remain incompletely characterized. The present study investigated the antioxidant and anti-inflammatory potential of an ethanolic needle extract of J. communis using in vitro assays and an in vivo model of acute inflammation induced by turpentine oil in rats. Phytochemical profiling by HPLC–DAD–ESI–MS revealed a polyphenol-rich extract dominated by flavonols, flavanols, and hydroxybenzoic acids, with quercetin derivatives and taxifolin as major constituents. In vitro analyses demonstrated radical-scavenging and reducing capacities, exceeding or comparable to reference antioxidants in DPPH, hydrogen peroxide, ferric-reducing, and nitric oxide scavenging assays. In vivo, both therapeutic and prophylactic administration of the extract significantly attenuated oxidative and nitrosative stress, as evidenced by reductions in total oxidant status, oxidative stress index, malondialdehyde, advanced oxidation protein products, nitric oxide, 3-nitrotyrosine, and 8-hydroxy-2′-deoxyguanosine, alongside restoration of total antioxidant capacity and thiol levels. These effects were concentration-dependent. Concomitantly, inflammatory signaling was suppressed, with decreased NF-κB activity and reduced levels of interleukin-1β and interleukin-18. These results support the use of these extracts, whose benefits have been observed in traditional medicine, providing scientific support for the anti-inflammatory and antioxidant capacity of J. communis extract. Full article
Show Figures

Graphical abstract

19 pages, 2750 KB  
Article
The Metabolic Diversity of Different Salsola Species Valorized Through Untargeted Metabolomics and In Vitro Bioassays: The Importance of Phenolic Constituents
by Hajar Salehi, Marco Armando De Gregorio, Gokhan Zengin, Sakina Yagi, Gunes Ak, Enver Saka, Fevzi Elbasan, Evren Yildiztugay, Leilei Zhang, Stefano Dall’Acqua and Luigi Lucini
Plants 2026, 15(2), 199; https://doi.org/10.3390/plants15020199 - 8 Jan 2026
Cited by 1 | Viewed by 528
Abstract
Five Salsola species have been studied as sources of bioactive compounds using a comprehensive, untargeted metabolomic and bioactivity assessment. Plant material was extracted using ethyl acetate (EA), water, and methanol (MeOH). S. ruthenica exhibited the highest total phenolic content (46.04 mg GAE/g, MeOH [...] Read more.
Five Salsola species have been studied as sources of bioactive compounds using a comprehensive, untargeted metabolomic and bioactivity assessment. Plant material was extracted using ethyl acetate (EA), water, and methanol (MeOH). S. ruthenica exhibited the highest total phenolic content (46.04 mg GAE/g, MeOH extract) and antioxidant capacity (DPPH: 47.21 mg TE/g; ABTS: 97.40 mg TE/g; CUPRAC: 141.38 mg TE/g; FRAP: 80.30 mg TE/g). Extracts of S. stenoptera and S. ruthenica showed potent cholinesterase inhibition, while S. crassa was notably active against tyrosinase. A total of 265 metabolites were annotated, revealing strong solvent- and species-specific differences in phenolic composition, as confirmed by AMOPLS analysis. Flavanols, anthocyanins, and lignans emerged as the major chemotaxonomic markers, based on PCA, contributing the most to the total variance. Strong correlations were observed between TPC and CUPRAC (r = 0.93) and between flavanols and DPPH (r = 0.70), suggesting functional relevance of these compounds in redox activity, confirming the importance of different classes of phenolic constituents. VIP markers also revealed species- and solvent-specific enrichments of metabolites. Regularized canonical correlation analysis (rCCA) further linked specific metabolites, namely Quercetin 3-O-glucosyl-xyloside and 6″-O-Acetylgenistin, the flavanone sakuranetin, the lignans Secoisolariciresinol, Anhydro-secoisolariciresinol, and Medioresinol, and p-Coumaric acid ethyl ester, with antioxidant functions. These findings underscore the pharmacological potential of Salsola species and highlight the importance of valorizing metabolic diversity in the search for new sources of health-promoting natural compounds. Furthermore, the work shows the need for a tailored solvent selection in bioactivity-guided phytochemical research. Full article
Show Figures

Graphical abstract

18 pages, 3566 KB  
Review
Flavonoids in Plants and Human Health: From Biosynthesis to Neurodevelopmental and Neurodegenerative Disorders
by Joanna Lemanowicz, Kinga Gawlińska, Iwona Jaskulska, Dariusz Jaskulski and Mateusz Sar
Molecules 2026, 31(1), 66; https://doi.org/10.3390/molecules31010066 - 24 Dec 2025
Cited by 1 | Viewed by 1406
Abstract
Flavonoids are a class of natural plant compounds that are categorised within the polyphenolic group. It is widely acknowledged that their structural diversity results in a wide distribution within food sources, thus leading to a concomitant wide spectrum of biological activity. This review [...] Read more.
Flavonoids are a class of natural plant compounds that are categorised within the polyphenolic group. It is widely acknowledged that their structural diversity results in a wide distribution within food sources, thus leading to a concomitant wide spectrum of biological activity. This review provides an updated overview of the main flavonoid subclasses, including flavonols, flavones, flavanones, flavanols, anthocyanins, and isoflavones, and includes an examination of their chemical properties and biosynthetic pathways. The present study will discuss the influence of biotic and abiotic factors on flavonoid function in plants, including their role in ultraviolet protection, stress tolerance, and defence signalling. The regular consumption of foods rich in flavonoids has been demonstrated to be associated with a reduced risk of chronic diseases, including cardiovascular, metabolic diseases, neurodegenerative and neurodevelopmental disorders. This observation underscores the significance of flavonoids in a balanced diet. Medicinal plants play an important role in this task. The mechanisms of action of this substance include antioxidant and anti-inflammatory effects, modulation of signalling pathways, and neuroprotective functions. The present findings underscore the significance of flavonoids as multifunctional bioactive molecules, which hold considerable potential for preventive and therapeutic applications. However, further well-designed human studies are necessary to determine effective dosage, long-term safety, and clinical relevance. Full article
Show Figures

Graphical abstract

17 pages, 1562 KB  
Article
Ultrasound-Assisted Green Extraction and Hydrogel Encapsulation of Polyphenols from Bean Processing Waste
by Alessandro Bosio, Matteo Beccaria and Vera Lavelli
Foods 2026, 15(1), 30; https://doi.org/10.3390/foods15010030 - 22 Dec 2025
Viewed by 443
Abstract
Pod is the major solid waste from bean processing, and its accumulation is expected to increase in the coming years due to the increases in pulse consumption. This study aimed to investigate (a) the efficacy ultrasound (US)-assisted extraction of polyphenols from bean pod; [...] Read more.
Pod is the major solid waste from bean processing, and its accumulation is expected to increase in the coming years due to the increases in pulse consumption. This study aimed to investigate (a) the efficacy ultrasound (US)-assisted extraction of polyphenols from bean pod; (b) their solubilization rate constants and effective diffusivities (De), which are relevant parameters for scaling-up the process; and (c) the encapsulation efficiencies of the recovered phenolic compounds in hydrogel microbeads. Extracts were obtained either in water with US assistance (50–350 W·L−1) at 30 °C; in water at 30, 45 and 60 °C; or in water/ethanol mixtures at room temperature. Extracts were analyzed using HPLC with diode array and fluorometric detectors. The extract from US-assisted extraction, selected as the most promising treatment among those evaluated, was then encapsulated in alginate or alginate/chitosan microbeads. Changes in the solubilization rate constants (from 0.097 to 0.480 min−1) and De (from 3.4·10−11 to 4.6·10−9 m2·s−1) were observed upon the application of US. Increasing the acoustic energy density was more effective at accelerating solubilization than either increasing the temperature or using ethanol as a cosolvent. Polyphenols were better encapsulated in an alginate/chitosan matrix than in alginate alone, achieving 71% recovery of ferric reducing antioxidant power and 69% recovery of 2,2-diphenyl-1-picrylhydrazyl radical-scavenging activity. The cost-effective alginate/chitosan matrix entrapping of pod polyphenols is potentially useful in various food applications. Full article
Show Figures

Graphical abstract

16 pages, 2998 KB  
Article
Development and Validation of a Selective Method to Quantify Low-Molecular-Mass Flavan-3-ols in Grapes and Wines
by Guzmán Favre, Gustavo González-Neves, Diego Piccardo, Yamila Celio-Ackermann, Florencia Pereyra-Farina and Alejandro Cammarota
Foods 2025, 14(24), 4257; https://doi.org/10.3390/foods14244257 - 10 Dec 2025
Viewed by 364
Abstract
Quantifying low-molecular-mass (LMM) flavanols in wines is relevant because these compounds, though typically minor, reflect flavanol structural composition (seed vs. skin contributions) and relate to cultivar and winemaking technique. Their determination is challenging because oligomeric and polymeric tannins interfere with standard spectrophotometric assays. [...] Read more.
Quantifying low-molecular-mass (LMM) flavanols in wines is relevant because these compounds, though typically minor, reflect flavanol structural composition (seed vs. skin contributions) and relate to cultivar and winemaking technique. Their determination is challenging because oligomeric and polymeric tannins interfere with standard spectrophotometric assays. This study introduces a coupled procedure that isolates and selectively quantifies LMM flavan-3-ols by combining the well-established methylcellulose precipitation assay (MCP) to remove oligomers and polymers with dimethylaminocinnamaldehyde (DMAC) determination of the MCP supernatant. The sequential workflow uses DMAC specificity and sensitivity and minimizes interference caused by higher-mass flavanols. Additionally, samples are quantified following dilution in the highly stable MCP supernatant medium. A Small Flavanol Index (SFI, %) is also introduced, expressing the LMM fraction relative to methylcellulose-precipitable tannins and providing a descriptor of flavanol composition. The method was validated in terms of linearity, limits of detection and quantification (LOQ in the supernatant, 1.58 mg L−1), precision, and recovery. Applicability is demonstrated in Marselan and Tannat (Vitis vinifera), resolving compositional differences by cultivar, grape tissue (skins vs. seeds), and maceration technique. Compatible with microplate formats and simple instrumentation, this robust analysis enables tandem determination of LMM flavanols and condensed tannins and represents an analytically valuable tool for commercial wineries and research. Full article
Show Figures

Graphical abstract

Back to TopTop