Characterization of Black Sand Mining Activities and Their Environmental Impacts in the Philippines Using Remote Sensing
Abstract
:1. Introduction
2. Methods
2.1. Identification of Mining Sites
2.2. Evaluation of Environmental Effects

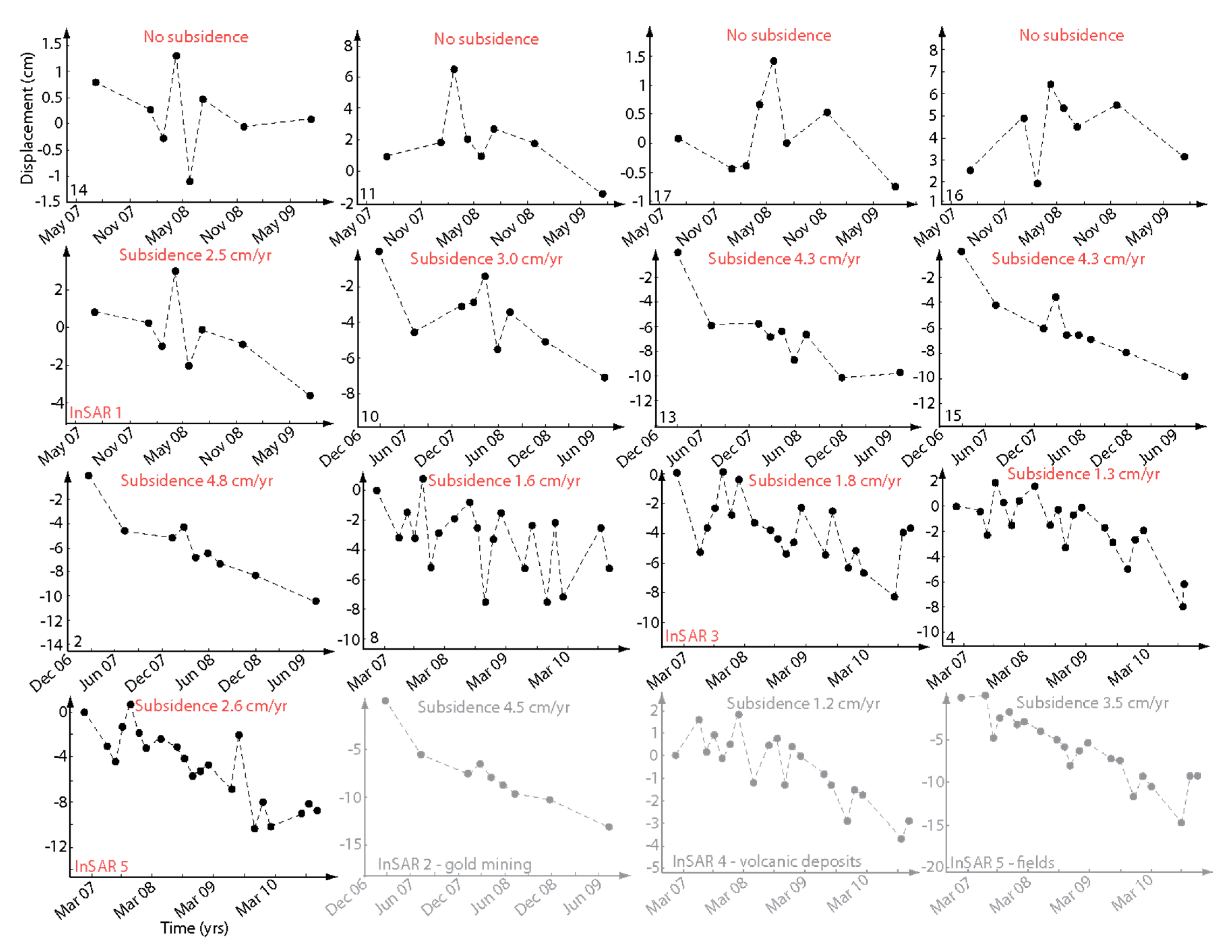
| Site | Lat/Long | Legal (y/n) | Source of Info. | Coher-Ence (y/n) | LOS Subs. cm/year | Municipality (Population) |
|---|---|---|---|---|---|---|
| 1 | 17°32′37′′N 120°21′25′′E | n | Ground contacts | n | Caoayan (18,551) | |
| 2 | 16° 2′10′′N 120°13′50′′E | n | News articles | y | 4.8 | Lingayen (98,740) |
| 3 | 18°56′53′′N 121°55′12′′E | n | News articles | n | n/a | |
| 4 | 14°58′54′′N 120°16′50′′E | n | News articles | y | 1.3 | San Marcelino (31,879) |
| 5 | 18°16′27′′N 121°40′30′′E | n | News articles | n | Camalaniugan (23,404) | |
| 6 | 18°17′35′′N 122° 0′53′′E | n | News articles | n | Gonzaga (36,303) | |
| 7 | 18°17′27′′N 121°49′46E | n | News + contacts | n | Buguey (28,455) | |
| 8 | 15°37′24′′N 119°54′50′′E | n | News articles | y | 1.6 | Candelaria (25,020) |
| 9 | 9°31′51′′N 123° 9′18′′E | n | News articles | Out of scope | Tanjay City (79,098) | |
| 10 | 17°12′22′′N 120°24′56′′E | y | MGB permit | y | 3.0 | Candon CIty (57,884) |
| 11 | 16°56′27′′N 120°26′8′′E | y | MGB permit | y | 0 | Tagudin (38,122) |
| 12 | 18° 3′39′′N 120°29′0′′E | y | MGB permit | n | Paoay (23,956) | |
| 13 | 17° 6′46′′N 120°26′8′′E | y | MGB permit | y | 4.3 | Santa Lucia (24,981) |
| 14 | 17° 1′4′′N 120°27′3′′E | y | MGB permit | y | 0 | Santa Cruz (37,911) |
| 15 | 16° 3′7′′N 120°19′57′′E | y | MGB permit | y | 4.3 | Dagupan (163,676) |
| 16 | 16°15′49′′N 120°23′38′′E | y | MGB permit | y | 0 | Santo Tomas (35,999) |
| 17 | 16°31′6′′N 120°18′46′′E | y | MGB permit | y | 0 | Bauang (70,735) |
| 18 | 18°33′57′′N 121°14′51′′E | y | MGB permit | n | Sanchez Mira (23,257) | |
| Laoag | 18°13′59′′N 120°30′57′′E | no mining | USGS rec. 10304314 | y | 0 | Laoag City (104,904) |
| Vigan | 17°35′59′′N 120°22′57′′E | no mining | USGS rec. 10134140 | n | Vigan City (49,747) | |
| Aringay | 16°22′59′′N 120°20′57′′E | no mining fields | USGS rec. 10183093 | y | 3.9 | Aringay (44,949) |
| InSAR 1 | 17°21′41′′N 120°27′23′′E | n | y | 2.5 | Santa Maria (28,597) | |
| InSAR 2 | 16°27′10′′N 120°34′33′′E | other mining | y | 4.5 | La Trinidad (107,188) | |
| InSAR 3 | 15°34′17′′N 120° 5′37′′E | n | y | 1.8 | Masinloc (44,342) | |
| InSAR 4 | 15° 7′56′′N 120°20′8′′E | volcanic deposits | y | 1.2 | Botolan (54,434) | |
| InSAR 5 | 14°54′15′′N 120°34′48′′E | fields | y | 3.5 | Lubao (150,843) | |
| InSAR 6 | 14°41′36′′N 120°33′37′′E | n | y | 2.6 | Balanga (87,920) |


3. Results
3.1. Identification of Mining Sites

3.2. Evaluation of Environmental Effects



| Site | Observed Mean LOS Subsidence (cm/Year) | Vertical Subsidence (cm/Year) | Vertical Subsidence + Sea Level Rise (0.5 cm/Year) | Mean Elevation above Sea Level (m) | Time to Sea Level Elevation (Years) without s.l. Rise | Time to Sea Level Elevation (Years) with Sea Level Rise |
|---|---|---|---|---|---|---|
| 10 | 3 | 3.6 | 4.1 | 2–4 | 60 | 50 |
| 13 | 4.3 | 5.2 | 5.7 | 2–4 | 40 | 40 |
| 15 | 4.6 | 5.5 | 6.0 | 2–4 | 40 | 30 |
| 2 | 4.3 | 5.2 | 5.7 | 2–4 | 40 | 30 |
| 8 | 1.8 | 2.2 | 2.7 | 2–4 | 90 | 70 |
4. Discussion
| Province (N to S) | Before 2007 | 2007–2010 | 2010–2013 | 2013–Present |
|---|---|---|---|---|
| Cagayan | 1 | 1 | 27 | 18 |
| Ilocos Norte | 1 | 1 | 0 | 0 |
| Ilocos Sur | 6 | 17 | 13 | 4 |
| Zambales | 2 |

5. Conclusions
Supplementary Materials
Acknowledgments
Author Contributions
Conflicts of Interest
References
- Legodi, M.; Dewaal, D. The preparation of magnetite, goethite, hematite and maghemite of pigment quality from mill scale iron waste. Dyes Pigments 2007, 74, 161–168. [Google Scholar]
- Domingo, E.G. The Philippine mining industry: Status and trends in mineral resources development. J. Southeast Asian Earth Sci. 1993, 8, 25–36. [Google Scholar] [CrossRef]
- Rappler Online Newspaper. Available online: http://www.rappler.com/business/special-report/whymining/whymining-latest-stories/74937-black-sand-mining-operations-under-scrutiny (accessed on 14 September 2015).
- Rabe, A.; (The Parish of St. Nicholas of Tolentino, Sinait, the Philippines; The Ilocos Sur Collective Action for the Preservation of the Environment, Vigan, the Philippines). Personal communication, 2014.
- Bernal, B. Pangasinan Gov to Face graft Cases over Black Sand Mining. Available online: http://www.rappler.com/nation/72659-black-sand-mining-espino-face-graft-charges (accessed on 30 December 2015).
- Terzaghi, K. Principles of soil mechanics: IV. Settlement and consolidation of clay. Erdbaummechanic 1925, 95, 874–878. [Google Scholar]
- Welhan, J.A. Interactions near the Highway Pond Gravel Pit, Pocatello, Idaho; Staff Report 01–3; Idaho Geological Survey: Moscow, Russia, 2001. [Google Scholar]
- Massonnet, D.; Rossi, M.; Carmona, C.; Adragna, F.; Peltzer, G.; Feigl, K.L.; Rabaute, T. The displacement field of the landers earthquake mapped by radar interferometry. Nature 1993, 364, 138–142. [Google Scholar] [CrossRef]
- Tralli, D.; Blom, R.; Zlotnicki, V.; Donnellan, A.; Evans, D. Satellite remote sensing of earthquake, volcano, flood, landslide and coastal inundation hazards. ISPRS J. Photogramm. Remote Sens. 2005, 59, 185–198. [Google Scholar] [CrossRef]
- Lu, Z. InSAR imaging of volcanic deformation over cloud-prone areas—Aleutian Islands. Photogramm Eng. Remote Sens. 2007, 73, 245–257. [Google Scholar] [CrossRef]
- Amelung, F.; Galloway, D.L.; Bell, J.W.; Zebker, H.A.; Laczniak, R.J. Sensing the ups and downs of Las Vegas: InSAR reveals structural control of land subsidence and aquifer-system deformation. Geology 1999, 27, 483–486. [Google Scholar] [CrossRef]
- Chaussard, E.; Amelung, F.; Aoki, Y. Characterization of open and closed volcanic systems in Indonesia and Mexico using InSAR time series. J. Geophys. Res.-Solid Earth 2013, 118, 1–13. [Google Scholar] [CrossRef]
- Chaussard, E.; Amelung, F.; Abidin, H.; Hong, S.-H. Sinking cities in Indonesia: ALOS PALSAR detects rapid subsidence due to groundwater and gas extraction. Remote Sens. Environ. 2013, 128, 150–161. [Google Scholar] [CrossRef]
- Chaussard, E.; Burgmann, R.; Shirzaei, M.; Fielding, E.J.; Baker, B. Predictability of hydraulic head changes and characterization of aquifer-system and fault properties from InSAR-derived ground deformation. J. Geophys. Res.-Solid Earth 2014, 119, 6572–6590. [Google Scholar] [CrossRef]
- Chaussard, E.; Wdowinski, S.; Cabral-Cano, E.; Amelung, F. Land subsidence in central Mexico detected by ALOS InSAR time-series. Remote Sens. Environ. 2014, 140, 94–106. [Google Scholar] [CrossRef]
- An Act Instituting a New System of Mineral Resources Exploration, Development, Utilization, and Conservation, Republic Act 7942; The House of Representatives and the Senate of the Philippines in Congress: Manilla, the Philippines, 1995.
- Chaussard, E.; Amelung, F. Characterization of geological hazards using a globally observing spaceborne SAR. Photogramm. Eng. Remote Sens. 2013, 79, 982–986. [Google Scholar]
- Rosen, P.A.; Hensley, S.; Peltzer, G.; Simons, M. Updated repeat orbit interferometry package released. Eos Trans. AGU 2004, 85, 47. [Google Scholar] [CrossRef]
- Farr, T.G.; Rosen, P.A.; Caro, E.; Crippen, R.; Duren, R.; Hensley, S.; Kobrick, M.; Paller, M.; Rodriguez, E.; Roth, L.; et al. The shuttle radar topography mission. Rev. Geophys. 2007, 45, RG2004. [Google Scholar] [CrossRef]
- Chen, C.W.; Zebker, H.A. Two-Dimensional Phase Unwrapping with use of statistical models for cost functions in nonlinear optimization. J. Opt. Soc. Am. A 2001, 18, 338–351. [Google Scholar] [CrossRef]
- Berardino, P.; Fornaro, G.; Lanari, R.; Sansosti, E. A new algorithm for surface deformation monitoring based on small baseline differential SAR interferograms. IEEE Trans. Geosci. Remote Sens. 2002, 40, 2375–2383. [Google Scholar] [CrossRef]
- Fattahi, H.; Amelung, F. DEM error correction in InSAR time series. IEEE Trans. Geosci. Remote Sens. 2013, 51, 4249–4259. [Google Scholar] [CrossRef]
- Pepe, A.; Lanari, R. On the Extension of the minimum cost flow algorithm for phase unwrapping of multitemporal differential SAR interferograms. IEEE Trans. Geosci. Remote Sens. 2006, 44, 2374–2383. [Google Scholar] [CrossRef]
- Casu, F.; Manzo, M.; Lanari, R. A Quantitative assessment of the SBAS algorithm performance for surface deformation retrieval from DInSAR data. Remote Sens. Environ. 2006, 102, 195–210. [Google Scholar] [CrossRef]
- Tizzani, P.; Berardino, P.; Casu, F.; Euillades, P.; Manzo, M.; Ricciardi, G.P.; Zeni, G.; Lanari, R. Surface deformation of Long Valley Caldera and Mono Basin, California, investigated with the SBAS-InSAR approach. Remote Sens. Environ. 2007, 108, 277–289. [Google Scholar] [CrossRef]
- Ryan, W.B.F.; Carbotte, S.M.; Coplan, J.O.; O’Hara, S.; Melkonian, A.; Arko, R.; Weissel, R.A.; Ferrini, V.; Goodwillie, A.; Nitsche, F.; et al. Global multi-resolution topography synthesis. Geochem. Geophys. Geosyst. 2009, 10. [Google Scholar] [CrossRef]
- National Oceanic and Atmospheric Administration Tide Gauges Monitoring. Available online: http://tidesandcurrents.noaa.gov/sltrends/sltrends.html (accessed on 14 September 2015).
- Raucoules, D.; Le Cozannet, G.; Wöppelmann, G.; de Michele, M.; Gravelle, M.; Daag, A.; Marcos, M. High nonlinear urban ground motion in Manila (Philippines) from 1993 to 2010 observed by DInSAR: implications for sea-level measurement. Remote Sens. Environ. 2013, 139, 386–397. [Google Scholar] [CrossRef]
- Moon, J.-H.; Tony Song, Y. Sea level and heat content changes in the western north Pacific. J. Geophys. Res. Oceans 2013, 118, 2014–2022. [Google Scholar] [CrossRef]
- Cazenave, A.; Llovel, W. Contemporary sea level rise. Annu. Rev. Mar. Sci. 2015, 2, 145–173. [Google Scholar] [CrossRef]
- Dixon, T.H.; Amelung, F.; Ferretti, A.; Novali, F.; Rocca, F.; Dokka, R.; Sella, G.; Kim, S.-W.W.; Wdowinski, S.; Whitman, D. Space geodesy: subsidence and flooding in new Orleans. Nature 2006, 441, 587–588. [Google Scholar] [CrossRef]
- Teatini, P.; Tosi, L.; Strozzi, T. Quantitative evidence that compaction of Holocene sediments drives the present land subsidence of the Po Delta, Italy. J. Geophys. Res. 2011, 116, B08407. [Google Scholar] [CrossRef]
- Lei, L.; Zhou, Y.; Li, J.; Burgmann, R. Monitoring slow moving landslides in the Berkeley hills with TerraSAR-X data. In Proceedings of the IEEE International Geoscience and Remote Sensing Symposium (IGARSS), Holonunu, HI, USA, 25–30 July 2010; pp. 230–232.
- Nof, R.N.; Baer, G.; Ziv, A.; Raz, E.; Atzori, S.; Salvi, S. Sinkhole precursors along the dead sea, Israel, revealed by SAR interferometry. Geology 2013, 41, 1019–1022. [Google Scholar] [CrossRef]
- Pritchard, M.E.; Jay, J.A.; Aron, F.; Henderson, S.T.; Lara, L.E. Subsidence at southern Andes volcanoes induced by the 2010 Maule, Chile earthquake. Nat. Geosci. 2013, 6, 632–636. [Google Scholar] [CrossRef]
- Törnqvist, T.E.; Wallace, D.J.; Storms, J.E.A.; Wallinga, J.; van Dam, R.L.; Blaauw, M.; Derksen, M.S.; Klerks, C.J.W.; Meijneken, C.; Snijders, E.M.A. Mississippi delta subsidence primarily caused by compaction of Holocene strata. Nat. Geosci. 2008, 1, 173–176. [Google Scholar]
© 2016 by the authors; licensee MDPI, Basel, Switzerland. This article is an open access article distributed under the terms and conditions of the Creative Commons by Attribution (CC-BY) license (http://creativecommons.org/licenses/by/4.0/).
Share and Cite
Chaussard, E.; Kerosky, S. Characterization of Black Sand Mining Activities and Their Environmental Impacts in the Philippines Using Remote Sensing. Remote Sens. 2016, 8, 100. https://doi.org/10.3390/rs8020100
Chaussard E, Kerosky S. Characterization of Black Sand Mining Activities and Their Environmental Impacts in the Philippines Using Remote Sensing. Remote Sensing. 2016; 8(2):100. https://doi.org/10.3390/rs8020100
Chicago/Turabian StyleChaussard, Estelle, and Sara Kerosky. 2016. "Characterization of Black Sand Mining Activities and Their Environmental Impacts in the Philippines Using Remote Sensing" Remote Sensing 8, no. 2: 100. https://doi.org/10.3390/rs8020100
APA StyleChaussard, E., & Kerosky, S. (2016). Characterization of Black Sand Mining Activities and Their Environmental Impacts in the Philippines Using Remote Sensing. Remote Sensing, 8(2), 100. https://doi.org/10.3390/rs8020100

