Investigating the Influence of the Weed Layer on Crop Canopy Reflectance and LAI Inversion Using Simulations and Measurements in a Sugarcane Field
Abstract
1. Introduction
2. Materials and Methods
2.1. Study Site and Experimental Design
2.2. Canopy Reflectance Measurements
2.2.1. Background Modification Scheme
2.2.2. Tower-Based Canopy Spectrum
2.2.3. UAV-Based Canopy Spectrum
2.3. LAI Measurements of Sugarcane Canopies
2.4. Leaf Chlorophyll Content Measurements
2.5. Model Simulations
2.5.1. Forward Simulations
2.5.2. LAI Inversion Using Machine Learning
| Model | Variable Name | Symbol | Unit | Typical Range | References |
|---|---|---|---|---|---|
| PROSPECT-D (leaf model) | Leaf structure index | N | Unitless | 1.2–2 | [30] |
| Chlorophyll a + b content | Cab | μg/cm2 | 0.1–60 | [31] | |
| Total carotenoid content | Car | μg/cm2 | Cab/7 | [32] | |
| Dry matter content | Cm | g/cm2 | 0.01–0.07 | [33] | |
| Leaf water depth | Cw | cm | 0.01–0.03 | [34] | |
| SAIL (Canopy model) | Leaf area index | LAI | m2/m2 | 0.1–7 | [35] |
| Leaf angle distribution function | LADF | Unitless | Spherical | [36] | |
| Hotspot parameter | Hot | Unitless | 0 | [37] | |
| Soil reflectance | ρsoil | (%) | Measured (Figure 3) | - | |
| Soil brightness factor | αsoil | Unitless | 1 | [38] | |
| Solar zenith angle | SZA | (◦) | 10–90 | [39] | |
| Solar azimuth angle | SAA | (◦) | 30–270 | [39] | |
| View zenith angle | VZA | (◦) | 10–90 | [40] |
3. Results
3.1. Simulation-Based Evaluation of the Influence of Weed Layer on Crop Canopy Reflectance
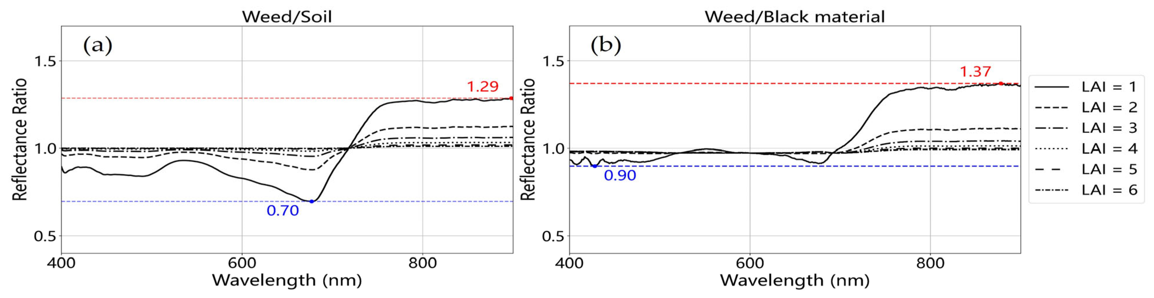
3.2. Measurement-Based Evaluation of the Influence of the Weed Layer on Crop Canopy Reflectance
3.3. LAI Inversion with Different Background
4. Discussion
4.1. Influence of Weed Layer on Crop Canopy Reflectance
4.2. Influence of Weed Layer on LAI Inversion
4.3. Background Modification Scheme for Experimental Investigation
4.4. Implications, Limitations, and Future Improvements
5. Conclusions
Author Contributions
Funding
Data Availability Statement
Conflicts of Interest
References
- Ke, L.; Zhou, Q.; Wu, W.; Tian, X.; Tang, H. Estimating the crop leaf area index using hyperspectral remote sensing. J. Integr. Agric. 2016, 15, 475–491. [Google Scholar] [CrossRef]
- Dong, T.; Liu, J.; Qian, B.; He, L.; Liu, J.; Wang, R.; Jing, Q.; Champagne, C.; McNairn, H.; Powers, J.; et al. Estimating crop biomass using leaf area index derived from Landsat 8 and Sentinel-2 data. ISPRS J. Photogramm. Remote Sens. 2020, 168, 236–250. [Google Scholar] [CrossRef]
- Duchemin, B.; Hadria, R.; Erraki, S.; Boulet, G.; Maisongrande, P.; Chehbouni, A.; Escadafal, R.; Ezzahar, J.; Hoedjes, J.C.B.; Kharrou, M.H.; et al. Monitoring wheat phenology and irrigation in Central Morocco: On the use of relationships between evapotranspiration, crops coefficients, leaf area index and remotely-sensed vegetation indices. Agric. Water Manag. 2006, 79, 1–27. [Google Scholar] [CrossRef]
- Simic Milas, A.; Romanko, M.; Reil, P.; Abeysinghe, T.; Marambe, A. The importance of leaf area index in mapping chlorophyll content of corn under different agricultural treatments using UAV images. Int. J. Remote Sens. 2018, 39, 5415–5431. [Google Scholar] [CrossRef]
- Baez-Gonzalez, A.D.; Kiniry, J.R.; Maas, S.J.; Tiscareno, M.; Macias, J.; Mendoza, J.L.; Richardson, C.W.; Salinas, J.; Manjarrez, J.R. Large-area maize yield forecasting using leaf area index based yield model. Agron. J. 2005, 97, 418–425. [Google Scholar] [CrossRef]
- Zhang, H.; Wang, L.; Tian, T.; Yin, J. A Review of Unmanned Aerial Vehicle Low-Altitude Remote Sensing (UAV-LARS) Use in Agricultural Monitoring in China. Remote Sens. 2021, 13, 1221. [Google Scholar] [CrossRef]
- Verrelst, J.; Malenovsky, Z.; Van der Tol, C.; Camps-Valls, G.; Gastellu-Etchegorry, J.P.; Lewis, P.; North, P.; Moreno, J. Quantifying Vegetation Biophysical Variables from Imaging Spectroscopy Data: A Review on Retrieval Methods. Surv. Geophys. 2019, 40, 589–629. [Google Scholar] [CrossRef]
- Fang, H.; Baret, F.; Plummer, S.; Schaepman-Strub, G. An Overview of Global Leaf Area Index (LAI): Methods, Products, Validation, and Applications. Rev. Geophys. 2019, 57, 739–799. [Google Scholar] [CrossRef]
- Sahoo, R.N.; Rejith, R.G.; Gakhar, S.; Verrelst, J.; Ranjan, R.; Kondraju, T.; Meena, M.C.; Mukherjee, J.; Dass, A.; Kumar, S.; et al. Estimation of wheat biophysical variables through UAV hyperspectral remote sensing using machine learning and radiative transfer models. Comput. Electron. Agric. 2024, 221, 108942. [Google Scholar] [CrossRef]
- Berger, K.; Atzberger, C.; Danner, M.; D’Urso, G.; Mauser, W.; Vuolo, F.; Hank, T. Evaluation of the PROSAIL Model Capabilities for Future Hyperspectral Model Environments: A Review Study. Remote Sens. 2018, 10, 85. [Google Scholar] [CrossRef]
- Han, D.; Liu, J.; Zhang, R.; Liu, Z.; Guo, T.; Jiang, H.; Wang, J.; Zhao, H.; Ren, S.; Yang, P. Evaluation of the SAIL Radiative Transfer Model for Simulating Canopy Reflectance of Row Crop Canopies. Remote Sens. 2023, 15, 5433. [Google Scholar] [CrossRef]
- Spanner, M.A.; Pierce, L.L.; Peterson, D.L.; Running, S.W. Remote sensing of temperate coniferous forest leaf area index The influence of canopy closure, understory vegetation and background reflectance. Int. J. Remote Sens. 2007, 11, 95–111. [Google Scholar] [CrossRef]
- Pathak, H.; Igathinathane, C.; Howatt, K.; Zhang, Z. Machine learning and handcrafted image processing methods for classifying common weeds in corn field. Smart Agric. Technol. 2023, 5, 100249. [Google Scholar] [CrossRef]
- Nong, C.; Fan, X.; Wang, J. Semi-supervised Learning for Weed and Crop Segmentation Using UAV Imagery. Front. Plant Sci. 2022, 13, 927368. [Google Scholar] [CrossRef]
- Kuusk, A. A two-layer canopy reflectance model. J. Quant. Spectrosc. Radiat. Transf. 2001, 71, 1–9. [Google Scholar] [CrossRef]
- Caetano, M.; Pereira, J. Effect of the Understory on the Estimation of Coniferous Forest Leaf Area Index (LAI) Based on Remotely Sensed Data; SPIE: Bellingham, WA, USA, 1996; Volume 2955. [Google Scholar]
- Mu, X.; Yang, Y.; Xu, H.; Guo, Y.; Lai, Y.; McVicar, T.R.; Xie, D.; Yan, G. Improvement of NDVI mixture model for fractional vegetation cover estimation with consideration of shaded vegetation and soil components. Remote Sens. Environ. 2024, 314, 114409. [Google Scholar] [CrossRef]
- Darvishzadeh, R.; Skidmore, A.; Atzberger, C.; van Wieren, S. Estimation of vegetation LAI from hyperspectral reflectance data: Effects of soil type and plant architecture. Int. J. Appl. Earth Obs. Geoinf. 2008, 10, 358–373. [Google Scholar] [CrossRef]
- Eriksson, H.M.; Eklundh, L.; Kuusk, A.; Nilson, T. Impact of understory vegetation on forest canopy reflectance and remotely sensed LAI estimates. Remote Sens. Environ. 2006, 103, 408–418. [Google Scholar] [CrossRef]
- Liu, S.; Jin, X.; Bai, Y.; Wu, W.; Cui, N.; Cheng, M.; Liu, Y.; Meng, L.; Jia, X.; Nie, C.; et al. UAV multispectral images for accurate estimation of the maize LAI considering the effect of soil background. Int. J. Appl. Earth Obs. Geoinf. 2023, 121, 103383. [Google Scholar] [CrossRef]
- Fang, H.; Li, W.; Wei, S.; Jiang, C. Seasonal variation of leaf area index (LAI) over paddy rice fields in NE China: Intercomparison of destructive sampling, LAI-2200, digital hemispherical photography (DHP), and AccuPAR methods. Agric. For. Meteorol. 2014, 198–199, 126–141. [Google Scholar] [CrossRef]
- Weiss, M.; Baret, F. CAN_EYE V6. 4.91 User Manual. 2017. Available online: https://can-eye.paca.hub.inrae.fr/documentation/documentation (accessed on 10 July 2024).
- Jacquemoud, S.; Verhoef, W.; Baret, F.; Bacour, C.; Zarco-Tejada, P.J.; Asner, G.P.; François, C.; Ustin, S.L. PROSPECT+SAIL models: A review of use for vegetation characterization. Remote Sens. Environ. 2009, 113, S56–S66. [Google Scholar] [CrossRef]
- Breiman, L. Random forests. Mach. Learn. 2001, 45, 5–32. [Google Scholar] [CrossRef]
- Yuan, H.; Yang, G.; Li, C.; Wang, Y.; Liu, J.; Yu, H.; Feng, H.; Xu, B.; Zhao, X.; Yang, X. Retrieving Soybean Leaf Area Index from Unmanned Aerial Vehicle Hyperspectral Remote Sensing: Analysis of RF, ANN, and SVM Regression Models. Remote Sens. 2017, 9, 309. [Google Scholar] [CrossRef]
- Geurts, P.; Wehenkel, L. Comments on: A random forest guided tour. Test 2016, 25, 247–253. [Google Scholar] [CrossRef]
- Parmar, A.; Katariya, R.; Patel, V. A Review on Random Forest: An Ensemble Classifier. In International Conference on Intelligent Data Communication Technologies and Internet of Things (ICICI) 2018; Lecture Notes on Data Engineering and Communications Technologies; Springer: Berlin/Heidelberg, Germany, 2019; pp. 758–763. [Google Scholar]
- Zhou, L.; Lai, K.K.; Yu, L. Credit scoring using support vector machines with direct search for parameters selection. Soft Comput. 2008, 13, 149–155. [Google Scholar] [CrossRef]
- Mao, H.; Meng, J.; Ji, F.; Zhang, Q.; Fang, H. Comparison of Machine Learning Regression Algorithms for Cotton Leaf Area Index Retrieval Using Sentinel-2 Spectral Bands. Appl. Sci. 2019, 9, 1459. [Google Scholar] [CrossRef]
- Baret, F.; Weiss, M.; Lacaze, R.; Camacho, F.; Makhmara, H.; Pacholcyzk, P.; Smets, B. GEOV1: LAI and FAPAR essential climate variables and FCOVER global time series capitalizing over existing products. Part1: Principles of development and production. Remote Sens. Environ. 2013, 137, 299–309. [Google Scholar] [CrossRef]
- Morcillo-Pallares, P.; Rivera-Caicedo, J.P.; Belda, S.; De Grave, C.; Burriel, H.; Moreno, J.; Verrelst, J. Quantifying the Robustness of Vegetation Indices through Global Sensitivity Analysis of Homogeneous and Forest Leaf-Canopy Radiative Transfer Models. Remote Sens. 2019, 11, 2418. [Google Scholar] [CrossRef]
- Wang, S.; Gao, W.; Ming, J.; Li, L.; Xu, D.; Liu, S.; Lu, J. A TPE based inversion of PROSAIL for estimating canopy biophysical and biochemical variables of oilseed rape. Comput. Electron. Agric. 2018, 152, 350–362. [Google Scholar] [CrossRef]
- Lunagaria, M.M.; Patel, H.R. Evaluation of PROSAIL inversion for retrieval of chlorophyll, leaf dry matter, leaf angle, and leaf area index of wheat using spectrodirectional measurements. Int. J. Remote Sens. 2018, 40, 8125–8145. [Google Scholar] [CrossRef]
- Li, M.; Chu, R.; Sha, X.; Ni, F.; Xie, P.; Shen, S.; Islam, A.R.M.T. Hyperspectral Characteristics and Scale Effects of Leaf and Canopy of Summer Maize under Continuous Water Stresses. Agriculture 2021, 11, 1180. [Google Scholar] [CrossRef]
- Jin, Z.; Liu, H.; Cao, H.; Li, S.; Yu, F.; Xu, T. Hyperspectral Remote Sensing Estimation of Rice Canopy LAI and LCC by UAV Coupled RTM and Machine Learning. Agriculture 2024, 15, 11. [Google Scholar] [CrossRef]
- Chakhvashvili, E.; Siegmann, B.; Muller, O.; Verrelst, J.; Bendig, J.; Kraska, T.; Rascher, U. Retrieval of Crop Variables from Proximal Multispectral UAV Image Data Using PROSAIL in Maize Canopy. Remote Sens. 2022, 14, 1247. [Google Scholar] [CrossRef]
- Darvishzadeh, R.; Skidmore, A.; Schlerf, M.; Atzberger, C. Inversion of a radiative transfer model for estimating vegetation LAI and chlorophyll in a heterogeneous grassland. Remote Sens. Environ. 2008, 112, 2592–2604. [Google Scholar] [CrossRef]
- Bhadra, S.; Sagan, V.; Sarkar, S.; Braud, M.; Mockler, T.C.; Eveland, A.L. PROSAIL-Net: A transfer learning-based dual stream neural network to estimate leaf chlorophyll and leaf angle of crops from UAV hyperspectral images. ISPRS J. Photogramm. Remote Sens. 2024, 210, 1–24. [Google Scholar] [CrossRef]
- Breunig, F.M.; Galvão, L.S.; dos Santos, J.R.; Gitelson, A.A.; de Moura, Y.M.; Teles, T.S.; Gaida, W. Spectral anisotropy of subtropical deciduous forest using MISR and MODIS data acquired under large seasonal variation in solar zenith angle. Int. J. Appl. Earth Obs. Geoinf. 2015, 35, 294–304. [Google Scholar] [CrossRef]
- Shi, H.; Xiao, Z. The 4SAILT Model: An Improved 4SAIL Canopy Radiative Transfer Model for Sloping Terrain. IEEE Trans. Geosci. Remote Sens. 2021, 59, 5515–5525. [Google Scholar] [CrossRef]
- Hornero, A.; North, P.R.J.; Zarco-Tejada, P.J.; Rascher, U.; Martín, M.P.; Migliavacca, M.; Hernandez-Clemente, R. Assessing the contribution of understory sun-induced chlorophyll fluorescence through 3-D radiative transfer modelling and field data. Remote Sens. Environ. 2021, 253, 112195. [Google Scholar] [CrossRef]
- Iqbal, J.; Phillip, R.; Ali, I. Application of remote sensing data to assess weed infestation in cotton. Agric. J. 2006, 1, 186–191. [Google Scholar]
- Rautiainen, M.; Heiskanen, J. Seasonal Contribution of Understory Vegetation to the Reflectance of a Boreal Landscape at Different Spatial Scales. IEEE Geosci. Remote Sens. Lett. 2013, 10, 923–927. [Google Scholar] [CrossRef]
- Fang, H. Canopy clumping index (CI): A review of methods, characteristics, and applications. Agric. For. Meteorol. 2021, 303, 108374. [Google Scholar] [CrossRef]
- Verrelst, J.; Muñoz, J.; Alonso, L.; Delegido, J.; Rivera, J.P.; Camps-Valls, G.; Moreno, J. Machine learning regression algorithms for biophysical parameter retrieval: Opportunities for Sentinel-2 and -3. Remote Sens. Environ. 2012, 118, 127–139. [Google Scholar] [CrossRef]
- Liu, Y.; Liu, R.; Pisek, J.; Chen, J.M. Separating overstory and understory leaf area indices for global needleleaf and deciduous broadleaf forests by fusion of MODIS and MISR data. Biogeosciences 2017, 14, 1093–1110. [Google Scholar] [CrossRef]
- Li, D.; Chen, J.M.; Yu, W.; Zheng, H.; Yao, X.; Cao, W.; Wei, D.; Xiao, C.; Zhu, Y.; Cheng, T. Assessing a soil-removed semi-empirical model for estimating leaf chlorophyll content. Remote Sens. Environ. 2022, 282, 113284. [Google Scholar] [CrossRef]
- Wang, R.; Springer, K.R.; Gamon, J.A. Confounding effects of snow cover on remotely sensed vegetation indices of evergreen and deciduous trees: An experimental study. Glob. Change Biol. 2023, 29, 6120–6138. [Google Scholar] [CrossRef]
- Fang, H. Photon recollision probability and the spectral invariant theory: Principles, methods, and applications. Remote Sens. Environ. 2023, 299, 113859. [Google Scholar] [CrossRef]
- Rautiainen, M.; Stenberg, P. Application of photon recollision probability in coniferous canopy reflectance simulations. Remote Sens. Environ. 2005, 96, 98–107. [Google Scholar] [CrossRef]
- Zeng, Y.; Xu, B.; Yin, G.; Wu, S.; Hu, G.; Yan, K.; Yang, B.; Song, W.; Li, J. Spectral Invariant Provides a Practical Modeling Approach for Future Biophysical Variable Estimations. Remote Sens. 2018, 10, 1508. [Google Scholar] [CrossRef]
- Rautiainen, M.; Suomalainen, J.; Mõttus, M.; Stenberg, P.; Voipio, P.; Peltoniemi, J.; Manninen, T. Coupling forest canopy and understory reflectance in the Arctic latitudes of Finland. Remote Sens. Environ. 2007, 110, 332–343. [Google Scholar] [CrossRef]
- Pisek, J.; Chen, J.M. Mapping forest background reflectivity over North America with Multi-angle Imaging SpectroRadiometer (MISR) data. Remote Sens. Environ. 2009, 113, 2412–2423. [Google Scholar] [CrossRef]
- Jiao, T.; Liu, R.; Liu, Y.; Pisek, J.; Chen, J.M. Mapping global seasonal forest background reflectivity with Multi-angle Imaging Spectroradiometer data. J. Geophys. Res. Biogeosciences 2014, 119, 1063–1077. [Google Scholar] [CrossRef]
- Pisek, J.; Chen, J.M.; Kobayashi, H.; Rautiainen, M.; Schaepman, M.E.; Karnieli, A.; Sprinstin, M.; Ryu, Y.; Nikopensius, M.; Raabe, K. Retrieval of seasonal dynamics of forest understory reflectance from semiarid to boreal forests using MODIS BRDF data. J. Geophys. Res. Biogeosciences 2016, 121, 855–863. [Google Scholar] [CrossRef]
- Liu, W.; Mõttus, M.; Malenovský, Z.; Shi, S.; Alonso, L.; Atherton, J.; Porcar-Castell, A. An in situ approach for validation of canopy chlorophyll fluorescence radiative transfer models using the full emission spectrum. Remote Sens. Environ. 2025, 316, 114490. [Google Scholar] [CrossRef]
- Peltoniemi, J.I.; Kaasalainen, S.; Näränen, J.; Rautiainen, M.; Stenberg, P.; Smolander, H.; Smolander, S.; Voipio, P. BRDF measurement of understory vegetation in pine forests: Dwarf shrubs, lichen, and moss. Remote Sens. Environ. 2005, 94, 343–354. [Google Scholar] [CrossRef]









| Model | Variable Name | Symbol | Unit | Value and Range |
|---|---|---|---|---|
| PROSPECT-D (leaf model) | Leaf structure index | N | Unitless | 1.5 |
| Chlorophyll a + b content | Cab | μg/cm2 | 42 (measurement) | |
| Total carotenoid content | Car | μg/cm2 | Cab/7 | |
| Dry matter content | Cm | g/cm2 | 0.01 | |
| Leaf water depth | Cw | cm | 0.01 | |
| SAIL (Canopy model) | Leaf area index | LAI | m2/m2 | 1–6 |
| Leaf angle distribution function | LADF | Unitless | Planophile, Erectophile, Plagiophile, Extremophile, Spherical, Uniform | |
| Hotspot parameter | Hot | Unitless | 0 | |
| Soil reflectance | ρsoil | (%) | - | |
| Soil brightness factor | αsoil | Unitless | 1 | |
| Solar zenith angle | SZA | (◦) | 26 | |
| Solar azimuth angle | SAA | (◦) | 140 | |
| View zenith angle | VZA | (◦) | 0 |
Disclaimer/Publisher’s Note: The statements, opinions and data contained in all publications are solely those of the individual author(s) and contributor(s) and not of MDPI and/or the editor(s). MDPI and/or the editor(s) disclaim responsibility for any injury to people or property resulting from any ideas, methods, instructions or products referred to in the content. |
© 2025 by the authors. Licensee MDPI, Basel, Switzerland. This article is an open access article distributed under the terms and conditions of the Creative Commons Attribution (CC BY) license (https://creativecommons.org/licenses/by/4.0/).
Share and Cite
Qiu, L.; Ke, X.; Sun, X.; Lu, Y.; Shi, S.; Liu, W. Investigating the Influence of the Weed Layer on Crop Canopy Reflectance and LAI Inversion Using Simulations and Measurements in a Sugarcane Field. Remote Sens. 2025, 17, 2014. https://doi.org/10.3390/rs17122014
Qiu L, Ke X, Sun X, Lu Y, Shi S, Liu W. Investigating the Influence of the Weed Layer on Crop Canopy Reflectance and LAI Inversion Using Simulations and Measurements in a Sugarcane Field. Remote Sensing. 2025; 17(12):2014. https://doi.org/10.3390/rs17122014
Chicago/Turabian StyleQiu, Longxia, Xiangqi Ke, Xiyue Sun, Yanzi Lu, Shengwei Shi, and Weiwei Liu. 2025. "Investigating the Influence of the Weed Layer on Crop Canopy Reflectance and LAI Inversion Using Simulations and Measurements in a Sugarcane Field" Remote Sensing 17, no. 12: 2014. https://doi.org/10.3390/rs17122014
APA StyleQiu, L., Ke, X., Sun, X., Lu, Y., Shi, S., & Liu, W. (2025). Investigating the Influence of the Weed Layer on Crop Canopy Reflectance and LAI Inversion Using Simulations and Measurements in a Sugarcane Field. Remote Sensing, 17(12), 2014. https://doi.org/10.3390/rs17122014
