Unveiling Illumination Variations During a Lunar Eclipse: Multi-Wavelength Spaceborne Observations of the January 21, 2019 Event
Abstract
1. Introduction
2. Data Description
3. Methods
3.1. Data Processing
3.1.1. Dark Current Subtraction
3.1.2. The Removal of Bad Pixels and Bad Columns
3.1.3. Flat-Field Correction
3.1.4. Absolute Radiometric Calibration
3.2. Disk-Integrated Irradiance and Photometric Model
4. Results
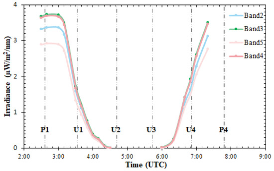
4.1. Disk-Integrated Irradiance Curve During the Lunar Eclipse
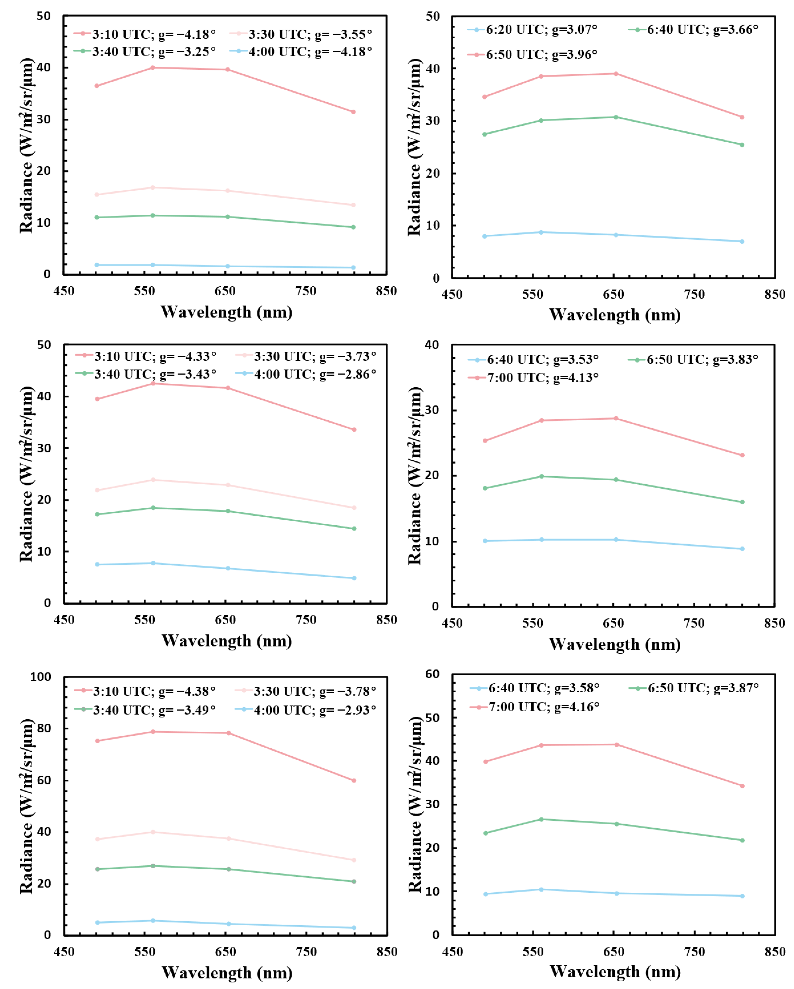
4.2. Variations in Disk-Resolved Radiance Spectra During the Lunar Eclipse
5. Discussion
5.1. Increased Lunar Brightness upon Initial Entry into Penumbra
5.2. Blue-Banded Moon at Penumbra–Umbra Border
6. Conclusions
- Based on the observations, the luminosity of the Moon decreases to below about 0.19% before it fully enters the umbra.
- The observed increase in Moon brightness at the onset of the penumbral phase before 3:10 UTC is attributed to the small phase angles during the observation period. During this phase, the phenomenon of the opposition effect exerts a greater influence on brightness compared to the obscuration of Earth’s shadow.
- The presence of ozone absorption in Earth’s upper atmosphere and the local titanium content of the lunar surface contribute to the formation of the “blue ribbon” at the umbra boundary, which remains imperceptible to naked-eye observers. The lunar mare regions generally appear bluer compared to the highlands at the boundary.
Author Contributions
Funding
Data Availability Statement
Acknowledgments
Conflicts of Interest
References
- Wolfschmidt, G. Harmony and Symmetry. Celestial Regularities Shaping Human Culture: Proceedings of the SEAC 2018 Conference in Graz; Draxler, S., Lippitsch, M.E., Wolfschmidt, G., Eds.; SEAC Publications; Tredition: Hamburg, Germany, 2020; Volume 1. [Google Scholar]
- Link, F. Lunar eclipses. Adv. Astron. Astrophys. 1972, 9, 67–148. [Google Scholar]
- Wolf, R. Astronomische Mittheilungen XLII. Astron. Mitteilungen Eidgenössischen Sternwarte Zürich 1877, 5, 29–60. [Google Scholar]
- Price, S.D.; Mizuno, D.; Murdock, T.L. Thermal profiles of the eclipsed Moon. Adv. Space Res. 2003, 31, 2299–2304. [Google Scholar] [CrossRef]
- Hayne, P.; Lucey, P.; Swindle, T.; Bandfield, J.; Siegler, M.; Greenhagen, B.; Paige, D. Thermal infrared observations of the moon during lunar eclipse using the air force Maui space surveillance system. In Proceedings of the 46th Annual Lunar and Planetary Science Conference, The Woodlands, TX, USA, 16–20 March 2015; Volume 2015. [Google Scholar]
- Powell, T.; Horvath, T.; Robles, V.L.; Williams, J.P.; Hayne, P.; Gallinger, C.; Greenhagen, B.; McDougall, D.; Paige, D. High-Resolution Nighttime Temperature and Rock Abundance Mapping of the Moon Using the Diviner Lunar Radiometer Experiment With a Model for Topographic Removal. J. Geophys. Res. Planets 2023, 128, e2022JE007532. [Google Scholar] [CrossRef]
- Schober, H.; Schroll, A. Photoelectric and visual observation of the total eclipse of the Moon of August 6, 1971. Icarus 1973, 20, 48–51. [Google Scholar] [CrossRef]
- Sekiguchi, N. Photometry of the lunar surface during lunar eclipses. Moon Planets 1980, 23, 99–107. [Google Scholar] [CrossRef]
- Schmude, R., Jr.; Davies, C.; Hallsworth, W. Wideband photoelectric photometry of the Jan. 20/21, 2000 lunar eclipse. Int. Amat.-Prof. Photoelectr. Photom. Commun. 1999, 76, 75. [Google Scholar]
- Dvorak, S. Serendipitous photometric observations of the October 2004 Lunar eclipse. J. Am. Assoc. Var. Star Obs. 2005, 34, 72–80. [Google Scholar]
- Ugolnikov, O.S.; Maslov, I.A.; Korotkiy, S.A. Lunar Eclipse of June, 15, 2011: Three-color umbra surface photometry. arXiv 2011, arXiv:1106.6178. [Google Scholar]
- Birriel, J.J.; Adkins, J.K.; Bertolo, A.; Ehlert, R.; McKeag, M.; Ribas, S.J.; Tekatch, A. A Gallery of Sky Brightness Curves from the January 2019 Total Lunar Eclipse. J. Am. Assoc. Var. Star Obs. (JAAVSO) 2020, 48, 76. [Google Scholar]
- Shu, M.; Wen, S.; Cai, W.; Xu, T.; Wu, Y. Multiwavelength Observations of the Lunar Eclipse on January 21, 2019 from Space. LPI Contrib. 2024, 3040, 1349. [Google Scholar]
- Shorthill, R.W. Infrared atlas charts of the eclipsed Moon. Moon 1973, 7, 22–45. [Google Scholar] [CrossRef]
- Fukui, Y.; Hata, S.; Miyaji, T.; Chikada, Y. Observations of the total lunar eclipse on March 24, 1978, at 3.4-mm wavelength. Icarus 1979, 40, 309–314. [Google Scholar] [CrossRef]
- Murphy Jr, T.; McMillan, R.; Johnson, N.; Goodrow, S. Lunar eclipse observations reveal anomalous thermal performance of Apollo reflectors. Icarus 2014, 231, 183–192. [Google Scholar] [CrossRef]
- Maghrabi, A. Infrared radiometric measurements of lunar disk temperatures during lunar eclipse on 15th June 2011. Adv. Space Res. 2016, 58, 1044–1049. [Google Scholar] [CrossRef]
- Keen, R.A. Volcanic aerosols and lunar eclipses. Science 1983, 222, 1011–1013. [Google Scholar] [CrossRef]
- García Muñoz, A.; Pallé, E.; Zapatero Osorio, M.; Martín, E. The impact of the Kasatochi eruption on the Moon’s illumination during the August 2008 lunar eclipse. Geophys. Res. Lett. 2011, 38, L14805. [Google Scholar] [CrossRef]
- Muñoz, A.G.; Pallé, E. Lunar eclipse theory revisited: Scattered sunlight in both the quiescent and the volcanically perturbed atmosphere. J. Quant. Spectrosc. Radiat. Transf. 2011, 112, 1609–1621. [Google Scholar] [CrossRef]
- Guillet, S.; Corona, C.; Oppenheimer, C.; Lavigne, F.; Khodri, M.; Ludlow, F.; Sigl, M.; Toohey, M.; Atkins, P.S.; Yang, Z.; et al. Lunar eclipses illuminate timing and climate impact of medieval volcanism. Nature 2023, 616, 90–95. [Google Scholar] [CrossRef]
- Pallé, E.; Osorio, M.R.Z.; Barrena, R.; Montañés-Rodríguez, P.; Martín, E.L. Earth’s transmission spectrum from lunar eclipse observations. Nature 2009, 459, 814–816. [Google Scholar] [CrossRef]
- Strassmeier, K.; Ilyin, I.; Keles, E.; Mallonn, M.; Järvinen, A.; Weber, M.; Mackebrandt, F.; Hill, J. High-resolution spectroscopy and spectropolarimetry of the total lunar eclipse January 2019. Astron. Astrophys. 2020, 635, A156. [Google Scholar] [CrossRef]
- Vollmer, M.; Gedzelman, S.D. Simulating irradiance during lunar eclipses: The spherically symmetric case. Appl. Opt. 2008, 47, H52–H61. [Google Scholar] [CrossRef] [PubMed]
- Gedzelman, S.D.; Vollmer, M. Simulating irradiance and color during lunar eclipses using satellite data. Appl. Opt. 2008, 47, H149–H156. [Google Scholar] [CrossRef] [PubMed]
- Hernitschek, N.; Schmidt, E.; Vollmer, M. Lunar eclipse photometry: Absolute luminance measurements and modeling. Appl. Opt. 2008, 47, H62–H71. [Google Scholar] [CrossRef] [PubMed]
- Mallama, A. Lunar Eclipse Phenomena: Modeled and Explained. arXiv 2021, arXiv:2112.08966. [Google Scholar]
- Hayne, P.; Greenhagen, B.; Siegler, M.; Vasavada, A.; Aharonson, O.; Bandfield, J.; Ghent, R.; Elphic, R.; Paige, D. The Moon’s Extremely Insulating Near-Surface: Diviner Infrared Observations of a Total Lunar Eclipse. In Proceedings of the AGU Fall Meeting Abstracts, San Francisco, CA, USA, 4–8 December 2011; Volume 2011, p. 1712. [Google Scholar]
- Wu, Y. The ‘super blood wolf Moon’ from space. Nat. Astron. 2019, 3, 204. [Google Scholar] [CrossRef]
- Wu, Y.; Jin, Q.; Li, C.; Xu, T.; Qi, W.; Tan, W.; Li, X.; Shi, Z.; He, H.; Dai, S.; et al. Unveiling the Secrets of the Midinfrared (3–5 μm) Moon. Geophys. Res. Lett. 2021, 48, e2020GL088393. [Google Scholar] [CrossRef]
- Cai, W.; Xu, T.; Shu, M.; Wu, Y. Using the Moon for On-Orbit Absolute Radiometric Calibration of GaoFen-4 PMS. IEEE Trans. Geosci. Remote Sens. 2024, 62, 1–13. [Google Scholar] [CrossRef]
- Kieffer, H.H.; Stone, T.C. The Spectral Irradiance of the Moon. Astron. J. 2005, 129, 2887. [Google Scholar] [CrossRef]
- Xu, T.; Cai, W.; Shu, M.; Zhang, X.; Zhang, P.; Liu, C.; Yang, H.; Wu, Y. Disk-integrated and disk-resolved photometry of the Moon with GaoFen-4 space observations. Icarus 2023, 405, 115696. [Google Scholar] [CrossRef]
- Hapke, B. Theory of Reflectance and Emittance Spectroscopy; Cambridge University Press: Cambridge, UK, 2012. [Google Scholar]
- Gueymard, C.A. The sun’s total and spectral irradiance for solar energy applications and solar radiation models. Sol. Energy 2004, 76, 423–453. [Google Scholar] [CrossRef]
- Wu, Y.; Wang, Z.; Cai, W.; Lu, Y. The absolute reflectance and new calibration site of the Moon. Astron. J. 2018, 155, 213. [Google Scholar] [CrossRef]
- Pieters, C.M.; Head, J.W., III; Isaacson, P.; Petro, N.; Runyon, C.; Ohtake, M.; Föing, B.; Grande, M. Lunar international science coordination/calibration targets (L-ISCT). Adv. Space Res. 2008, 42, 248–258. [Google Scholar] [CrossRef]








| Satellite Characteristic | VNIR | MWIR |
|---|---|---|
| Lunar Effective Wavelength (nm) | B1: 611.93 nm B2: 491.17 nm B3: 560.58 nm B4: 653.53 nm B5: 809.43 nm | 3.77 μm |
| FOV | 0.8° | 0.66° |
| IFOV ( rad/pixel) | 1.363 | 11.249 |
| Ground sampling distance (m/pixel) | 50 | 400 |
| Spatial resolution for the Moon (m/pixel) | ∼500 | ∼4000 |
| Swath width (km) | 500 | 400 |
| Time (UTC) | Sun-Moon Distance (AU) | Viewer-Moon Distance (ME) | Selenographic Subsolar Longitude (°) | Selenographic Subsolar Latitude (°) | Selenographic Sub-Observer Longitude (°) | Selenographic Sub-Observer Latitude (°) | Phase Angle (°) |
|---|---|---|---|---|---|---|---|
| 2:30 | 0.9856 | 1.0149 | 359.9029 | −0.1051 | 354.9822 | 2.2756 | −5.47 |
| 2:40 | 0.9849 | 1.0172 | 359.8187 | −0.1054 | 355.2189 | 2.2620 | −5.17 |
| 3:00 | 0.9871 | 1.0214 | 359.6503 | −0.1059 | 355.7053 | 2.2214 | −4.58 |
| 3:10 | 0.9874 | 1.0233 | 359.5661 | −0.1062 | 355.9527 | 2.1945 | −4.28 |
| 3:30 | 0.9864 | 1.0267 | 359.3977 | −0.1067 | 356.4575 | 2.1276 | −3.69 |
| 3:40 | 0.9853 | 1.0281 | 359.3135 | −0.1070 | 356.7137 | 2.0877 | −3.40 |
| 3:50 | 0.9856 | 1.0298 | 359.2293 | −0.1072 | 356.9269 | 2.0432 | −3.10 |
| 4:00 | 0.9883 | 1.0306 | 359.1451 | −0.1075 | 357.2304 | 1.9954 | −2.84 |
| 4:10 | 0.9897 | 1.0316 | 359.0609 | −0.1078 | 357.4902 | 1.9432 | −2.58 |
| 4:20 | 0.9845 | 1.0324 | 358.9767 | −0.1080 | 357.7516 | 1.8868 | −2.34 |
| 4:30 | 0.9873 | 1.0331 | 358.8925 | −0.1083 | 358.0142 | 1.8264 | −2.12 |
| 6:00 | 0.9831 | 1.0319 | 358.1347 | −0.1107 | 0.3471 | 1.1189 | 2.53 |
| 6:20 | 0.9882 | 1.0299 | 357.9663 | −0.1112 | 0.8456 | 0.9255 | 3.06 |
| 6:40 | 0.9875 | 1.0272 | 357.7979 | −0.1118 | 1.3316 | 0.7207 | 3.63 |
| 6:50 | 0.9879 | 1.0256 | 357.7137 | −0.1120 | 1.5690 | 0.6143 | 3.92 |
| 7:00 | 0.9858 | 1.0239 | 357.6295 | −0.1123 | 1.8019 | 0.5057 | 4.22 |
| 7:20 | 0.9844 | 1.0201 | 357.4611 | −0.1128 | 2.2558 | 0.2809 | 4.81 |
| B2 | B3 | B4 | B5 | |||||
|---|---|---|---|---|---|---|---|---|
| Before | After | Before | After | Before | After | Before | After | |
| Mean | 7339.69 | 7311.82 | 13,952 | 13,816.6 | 10,961.6 | 10,765.3 | 12,191.3 | 11,882.4 |
| Standard deviation | 3064.15 | 2953.4 | 5205.08 | 4999.63 | 4142.58 | 3935.5 | 4431.31 | 4203.1 |
| Image entropy | 8.46 | 12.25 | 9.23 | 13.05 | 8.94 | 12.79 | 9.02 | 12.95 |
| Band | The Expression for Radiometric Calibration |
|---|---|
| B1 | |
| B2 | |
| B3 | |
| B4 | |
| B5 |
Disclaimer/Publisher’s Note: The statements, opinions and data contained in all publications are solely those of the individual author(s) and contributor(s) and not of MDPI and/or the editor(s). MDPI and/or the editor(s) disclaim responsibility for any injury to people or property resulting from any ideas, methods, instructions or products referred to in the content. |
© 2024 by the authors. Licensee MDPI, Basel, Switzerland. This article is an open access article distributed under the terms and conditions of the Creative Commons Attribution (CC BY) license (https://creativecommons.org/licenses/by/4.0/).
Share and Cite
Shu, M.; Xu, T.; Cai, W.; Wen, S.; Jiao, H.; Wu, Y. Unveiling Illumination Variations During a Lunar Eclipse: Multi-Wavelength Spaceborne Observations of the January 21, 2019 Event. Remote Sens. 2024, 16, 4181. https://doi.org/10.3390/rs16224181
Shu M, Xu T, Cai W, Wen S, Jiao H, Wu Y. Unveiling Illumination Variations During a Lunar Eclipse: Multi-Wavelength Spaceborne Observations of the January 21, 2019 Event. Remote Sensing. 2024; 16(22):4181. https://doi.org/10.3390/rs16224181
Chicago/Turabian StyleShu, Min, Tianyi Xu, Wei Cai, Shibo Wen, Hengyue Jiao, and Yunzhao Wu. 2024. "Unveiling Illumination Variations During a Lunar Eclipse: Multi-Wavelength Spaceborne Observations of the January 21, 2019 Event" Remote Sensing 16, no. 22: 4181. https://doi.org/10.3390/rs16224181
APA StyleShu, M., Xu, T., Cai, W., Wen, S., Jiao, H., & Wu, Y. (2024). Unveiling Illumination Variations During a Lunar Eclipse: Multi-Wavelength Spaceborne Observations of the January 21, 2019 Event. Remote Sensing, 16(22), 4181. https://doi.org/10.3390/rs16224181

