Continental-Scale Investigation of Underlying Electrical Conductivity Structure in Mainland China Using Geomagnetic Data
Abstract
1. Introduction
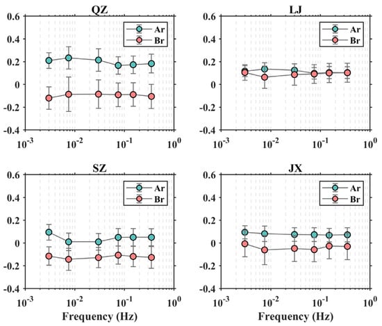
2. Methodology and Results
3. Discussions
4. Conclusions
Author Contributions
Funding
Data Availability Statement
Acknowledgments
Conflicts of Interest
References
- Gao, J.; Zhang, H.; Zhang, S.; Xin, H.; Li, Z.; Tian, W.; Bao, F.; Cheng, Z.; Jia, X.; Fu, L. Magma recharging beneath the Weishan volcano of the intraplate Wudalianchi volcanic field, northeast China, implied from 3-D magnetotelluric imaging. Geology 2020, 48, 913–918. [Google Scholar] [CrossRef]
- Han, Q.; Kelbert, A.; Hu, X. An electrical conductivity model of a coastal geothermal field in southeastern China based on 3D magnetotelluric imaging. Geophysics 2021, 86, B265–B276. [Google Scholar] [CrossRef]
- Kang, M.; Xin, H.-l.; Kang, J.; Xiong, W. Crustal Structure and Seismogenic Background Beneath Zhumadian, Henan, China: Evidence from Magnetotelluric Data. Pure Appl. Geophys. 2021, 178, 1643–1659. [Google Scholar] [CrossRef]
- Tang, Y.; Weng, A.; Yang, Y.; Li, S.; Niu, J.; Zhang, Y.; Li, Y.; Li, J. Connection between earthquakes and deep fluids revealed by magnetotelluric imaging in Songyuan, China. Sci. China Earth Sci. 2021, 64, 161–176. [Google Scholar] [CrossRef]
- Wei, W.; Jin, S.; Ye, G.; Deng, M.; Jing, J.; Unsworth, M.; Jones, A.G. Conductivity structure and rheological property of lithosphere in Southern Tibet inferred from super-broadband magnetotelluric sounding. Sci. China Earth Sci. 2010, 53, 189–202. [Google Scholar] [CrossRef]
- Wu, C.; Hu, X.; Wang, G.; Xi, Y.; Lin, W.; Liu, S.; Yang, B.; Cai, J. Magnetotelluric imaging of the Zhangzhou Basin geothermal zone, Southeastern China. Energies 2018, 11, 2170. [Google Scholar] [CrossRef]
- Xiao, Q.; Shao, G.; Liu-Zeng, J.; Oskin, M.E.; Zhang, J.; Zhao, G.; Wang, J. Eastern termination of the Altyn Tagh Fault, western China: Constraints from a magnetotelluric survey. J. Geophys. Res. Solid Earth 2015, 120, 2838–2858. [Google Scholar] [CrossRef]
- Xiao, Q.; Zhang, J.; Zhao, G.; Wang, J. Electrical resistivity structures northeast of the Eastern Kunlun Fault in the Northeastern Tibet: Tectonic implications. Tectonophysics 2013, 601, 125–138. [Google Scholar] [CrossRef]
- Xu, Y.; Yang, B.; Zhang, A.; Wu, S.; Zhu, L.; Yang, Y.; Wang, Q.; Xia, Q. Magnetotelluric imaging of a fossil oceanic plate in northwestern Xinjiang, China. Geology 2020, 48, 385–389. [Google Scholar] [CrossRef]
- Ye, T.; Chen, X.; Huang, Q.; Zhao, L.; Zhang, Y.; Uyeshima, M. Bifurcated crustal channel flow and seismogenic structures of intraplate earthquakes in Western Yunnan, China as revealed by three-dimensional magnetotelluric imaging. J. Geophys. Res. Solid Earth 2020, 125, e2019JB018991. [Google Scholar] [CrossRef]
- Zhang, H.; Huang, Q.; Zhao, G.; Guo, Z.; Chen, Y.J. Three-dimensional conductivity model of crust and uppermost mantle at the northern Trans North China Orogen: Evidence for a mantle source of Datong volcanoes. Earth Planet. Sci. Lett. 2016, 453, 182–192. [Google Scholar] [CrossRef]
- Zhang, L.; Jin, S.; Wei, W.; Ye, G.; Jing, J.; Dong, H.; Xie, C. Lithospheric electrical structure of South China imaged by magnetotelluric data and its tectonic implications. J. Asian Earth Sci. 2015, 98, 178–187. [Google Scholar] [CrossRef]
- Zhang, L.; Zhao, C.; Yu, P.; Xiang, Y.; Peng, X.; Koyama, T.; Yang, W. The electrical conductivity structure of the Tarim basin in NW China as revealed by three-dimensional magnetotelluric inversion. J. Asian Earth Sci. 2020, 187, 104093. [Google Scholar] [CrossRef]
- Zhang, P.; Fang, H.; Zhong, Q.; Zhang, X.; Yuan, Y.; Liu, J. Structural features and tectonic evolution of the Nenjiang–Balihan fault in the western margin of the Songliao Basin, NE China, inferred from 2D inversion of magnetotelluric data. J. Asian Earth Sci. 2021, 206, 104628. [Google Scholar] [CrossRef]
- Bai, D.; Unsworth, M.J.; Meju, M.A.; Ma, X.; Teng, J.; Kong, X.; Sun, Y.; Sun, J.; Wang, L.; Jiang, C. Crustal deformation of the eastern Tibetan plateau revealed by magnetotelluric imaging. Nat. Geosci. 2010, 3, 358–362. [Google Scholar] [CrossRef]
- Zhao, G.; Unsworth, M.J.; Zhan, Y.; Wang, L.; Chen, X.; Jones, A.G.; Tang, J.; Xiao, Q.; Wang, J.; Cai, J. Crustal structure and rheology of the Longmenshan and Wenchuan Mw 7.9 earthquake epicentral area from magnetotelluric data. Geology 2012, 40, 1139–1142. [Google Scholar] [CrossRef]
- Li, X.; Bai, D.; Ma, X.; Chen, Y.; Varentsov, I.M.; Xue, G.; Xue, S.; Lozovsky, I. Electrical resistivity structure of the Xiaojiang strike-slip fault system (SW China) and its tectonic implications. J. Asian Earth Sci. 2019, 176, 57–67. [Google Scholar] [CrossRef]
- Hu, X.; Lin, W.; Yang, W.; Yang, B. A review on developments in the electrical structure of craton lithosphere. Sci. China Earth Sci. 2020, 63, 1661–1677. [Google Scholar] [CrossRef]
- Wei, W.; Ye, G.; Jin, S.; Deng, M.; Jing, J.; Peng, Z.; Lin, X.; Song, S.; Tang, B.; Qu, S.; et al. Geoelectric structure of lithosphere beneath Eastern North China: Features of thinned lithosphere from magnetotelluric soundings. Earth Sci. Front. 2008, 15, 204–216. [Google Scholar] [CrossRef]
- Xiao, Q.; Zhao, G.; Wang, J.; Zhan, Y.; Chen, X.; Tang, J.; Cai, J.; Wan, Z.; Wang, L.; Ma, W. Deep electrical structure of the Sulu orogen and neighboring areas. Sci. China Ser. D Earth Sci. 2009, 52, 420–430. [Google Scholar] [CrossRef]
- Ye, G.; Liu, C.; Luo, X.; Jin, S.; Wei, W.; Dong, H.; Yin, Y. Dynamical significance of the Tanlu Fault Zone in the destruction of the North China Craton: The evidence provided by the three-dimensional Magnetotelluric array study. Tectonophysics 2021, 813, 228910. [Google Scholar] [CrossRef]
- Yin, Y.; Jin, S.; Wei, W.; Santosh, M.; Dong, H.; Xie, C. Construction and destruction of the North China Craton with implications for metallogeny: Magnetotelluric evidence from the Hengshan–Wutai–Fuping region within Trans-North China Orogen. Gondwana Res. 2016, 40, 21–42. [Google Scholar] [CrossRef]
- Dong, H.; Wei, W.; Ye, G.; Jin, S.; Jones, A.G.; Jing, J.; Zhang, L.; Xie, C.; Zhang, F.; Wang, H. Three-dimensional electrical structure of the crust and upper mantle in Ordos Block and adjacent area: Evidence of regional lithospheric modification. Geochem. Geophys. Geosyst. 2014, 15, 2414–2425. [Google Scholar] [CrossRef]
- Yuan, Y.; Uyeshima, M.; Huang, Q.; Tang, J.; Li, Q.; Teng, Y. Continental-scale deep electrical resistivity structure beneath China. Tectonophysics 2020, 790, 228559. [Google Scholar] [CrossRef]
- Siripunvaraporn, W. Three-dimensional magnetotelluric inversion: An introductory guide for developers and users. Surv. Geophys. 2012, 33, 5–27. [Google Scholar] [CrossRef]
- Chen, C.-H.; Sun, Y.-Y.; Lin, K.; Zhou, C.; Xu, R.; Qing, H.; Gao, Y.; Chen, T.; Wang, F.; Yu, H. A new instrumental array in Sichuan, China, to monitor vibrations and perturbations of the lithosphere, atmosphere, and ionosphere. Surv. Geophys. 2021, 42, 1425–1442. [Google Scholar] [CrossRef]
- Smith, Z.; Murtagh, W.; Smithtro, C. Relationship between solar wind low-energy energetic ion enhancements and large geomagnetic storms. J. Geophys. Res. Space Phys. 2004, 109. [Google Scholar] [CrossRef]
- Vassiliadis, D.; Sharma, A.; Eastman, T.; Papadopoulos, K. Low-dimensional chaos in magnetospheric activity from AE time series. Geophys. Res. Lett. 1990, 17, 1841–1844. [Google Scholar] [CrossRef]
- Wen, S.; Chen, C.H.; Yen, H.Y.; Yeh, T.K.; Liu, J.Y.; Hattori, K.; Han, P.; Wang, C.H.; Shin, T.C. Magnetic storm free ULF analysis in relation with earthquakes in Taiwan. Nat. Hazards Earth Syst. Sci. 2012, 12, 1747–1754. [Google Scholar] [CrossRef]
- Chen, C.H.; Lin, J.Y.; Gao, Y.; Lin, C.H.; Han, P.; Chen, C.R.; Lin, L.C.; Huang, R.; Liu, J.Y. Magnetic pulsations triggered by microseismic ground motion. J. Geophys. Res. Solid Earth 2021, 126, e2020JB021416. [Google Scholar] [CrossRef]
- Gao, Y.; Harris, J.M.; Wen, J.; Huang, Y.; Twardzik, C.; Chen, X.; Hu, H. Modeling of the coseismic electromagnetic fields observed during the 2004 Mw 6.0 Parkfield earthquake. Geophys. Res. Lett. 2016, 43, 620–627. [Google Scholar] [CrossRef]
- Chen, C.-H.; Sun, Y.-Y.; Zhang, X.; Wang, F.; Lin, K.; Gao, Y.; Tang, C.-C.; Lyu, J.; Huang, R.; Huang, Q. Far-field coupling and interactions in multiple geospheres after the Tonga volcano eruptions. Surv. Geophys. 2022, 19, 1–5. [Google Scholar] [CrossRef]
- Mao, Z.; Chen, C.-H.; Zhang, S.; Yisimayili, A.; Yu, H.; Yu, C.; Liu, J.-Y. Locating Seismo-Conductivity Anomaly before the 2017 MW 6.5 Jiuzhaigou Earthquake in China Using Far Magnetic Stations. Remote Sens. 2020, 12, 1777. [Google Scholar] [CrossRef]
- Chen, C.H.; Hsu, H.L.; Wen, S.; Yeh, T.K.; Chang, F.Y.; Wang, C.H.; Liu, J.Y.; Sun, Y.Y.; Hattori, K.; Yen, H.Y.; et al. Evaluation of seismo-electric anomalies using magnetic data in Taiwan. Nat. Hazards Earth Syst. Sci. 2013, 13, 597–604. [Google Scholar] [CrossRef]
- Chen, C.H.; Lin, C.H.; Wang, C.H.; Liu, J.Y.; Yeh, T.K.; Yen, H.Y.; Lin, T.W. Potential relationships between seismo-deformation and seismo-conductivity anomalies. J. Asian Earth Sci. 2015, 114, 327–337. [Google Scholar] [CrossRef]
- Parkinson, W. Directions of rapid geomagnetic fluctuations. Geophys. J. Int. 1959, 2, 1–14. [Google Scholar] [CrossRef]
- Parkinson, W. The influence of continents and oceans on geomagnetic variations. Geophys. J. Int. 1962, 6, 441–449. [Google Scholar] [CrossRef]
- Schmucker, U. Regional induction studies: A review of methods and results. Phys. Earth Planet. Inter. 1973, 7, 365–378. [Google Scholar] [CrossRef]
- Parkinson, W.; Jones, F. The geomagnetic coast effect. Rev. Geophys. 1979, 17, 1999–2015. [Google Scholar] [CrossRef]
- Edwards, R.; Greenhouse, J. Geomagnetic variations in the eastern United States: Evidence for a highly conducting lower crust? Science 1975, 188, 726–728. [Google Scholar] [CrossRef]
- Gong, S.; Liu, S.; Liang, M. Characteristics of geomagnetic Parkinson vector in Chinese mainland and their tectonic implication. Acta Seismol. Sin. 2017, 39, 47–63. [Google Scholar] [CrossRef]
- Niblett, E.; DeLaurier, J.; Law, L.; Plet, F. Geomagnetic variation anomalies in the Canadian Arctic I. Ellesmere Island and Lincoln Sea. J. Geomagn. Geoelectr. 1974, 26, 203–221. [Google Scholar] [CrossRef]
- Schmucker, U. Anomalies of geomagnetic variations in the southwestern United States. J. Geomagn. Geoelectr. 1964, 15, 193–221. [Google Scholar] [CrossRef]
- White, A.; Polatajko, O. The coast effect in geomagnetic variations in South Australia. J. Geomagn. Geoelectr. 1978, 30, 109–120. [Google Scholar] [CrossRef]
- Favetto, A.; Pomposiello, C.; de Luchi, M.G.L.; Booker, J. 2D Magnetotelluric interpretation of the crust electrical resistivity across the Pampean terrane–Río de la Plata suture, in central Argentina. Tectonophysics 2008, 459, 54–65. [Google Scholar] [CrossRef]
- Wang, C.-Y.; Sandvol, E.; Zhu, L.; Lou, H.; Yao, Z.; Luo, X. Lateral variation of crustal structure in the Ordos block and surrounding regions, North China, and its tectonic implications. Earth Planet. Sci. Lett. 2014, 387, 198–211. [Google Scholar] [CrossRef]
- Zhang, S.; Xu, Y.; Jiang, L.; Yang, B.; Liu, Y.; Griffin, W.; Luo, Y.; Huang, R.; Zhou, Y.; Zhang, L. Electrical structures in the northwest margin of the Junggar basin: Implications for its late Paleozoic geodynamics. Tectonophysics 2017, 717, 473–483. [Google Scholar] [CrossRef]
- Araya Vargas, J.; Ritter, O. Source effects in mid-latitude geomagnetic transfer functions. Geophys. J. Int. 2016, 204, 606–630. [Google Scholar] [CrossRef]
- Rokityansky, I.; Klymkovych, T.; Babak, V.; Isac, A. Annual and diurnal variations of induction vectors in relation to geodynamic processes. Geomat. Nat. Hazards Risk 2012, 3, 239–249. [Google Scholar] [CrossRef]
- Simpson, F.; Bahr, K. Practical Magnetotellurics; Cambridge University Press: Cambridge, UK, 2005. [Google Scholar] [CrossRef]
- Yuan, Y.; Huang, Q.; Li, Q.; Teng, Y. Geomagnetic vertical transfer function revealed from multi-interval geomagnetic data. Earthq. Sci. 2019, 32, 229–234. [Google Scholar] [CrossRef]
- DeLaurier, J.M.; Auld, D.; Law, L. The Geomagnetic Response Across the Continental Margin off Vancouver Island Comparison of Results from Numerical Modelling and Field Data. J. Geomagn. Geoelectr. 1983, 35, 517–528. [Google Scholar] [CrossRef]
- Bao, X.; Sun, X.; Xu, M.; Eaton, D.W.; Song, X.; Wang, L.; Ding, Z.; Mi, N.; Li, H.; Yu, D. Two crustal low-velocity channels beneath SE Tibet revealed by joint inversion of Rayleigh wave dispersion and receiver functions. Earth Planet. Sci. Lett. 2015, 415, 16–24. [Google Scholar] [CrossRef]
- Chen, H.; Zhu, L.; Su, Y. Low velocity crustal flow and crust–mantle coupling mechanism in Yunnan, SE Tibet, revealed by 3D S-wave velocity and azimuthal anisotropy. Tectonophysics 2016, 685, 8–20. [Google Scholar] [CrossRef]
- Dong, X.; Yang, D.; Zhu, H. Adjoint Tomography of the Lithospheric Structure beneath Northeastern Tibet. Seismol. Soc. Am. 2020, 91, 3304–3312. [Google Scholar] [CrossRef]
- Li, H.; Fang, J. Crustal and upper mantle density structure beneath the Qinghai-Tibet plateau and surrounding areas derived from EGM2008 geoid anomalies. ISPRS Int. J. Geo-Inf. 2017, 6, 4. [Google Scholar] [CrossRef]
- Li, M.; Zhang, S.; Wang, F.; Wu, T.; Qin, W. Crustal and upper-mantle structure of the southeastern Tibetan Plateau from joint analysis of surface wave dispersion and receiver functions. J. Asian Earth Sci. 2016, 117, 52–63. [Google Scholar] [CrossRef]
- Wang, M.; Shen, Z.K. Present-day crustal deformation of continental China derived from GPS and its tectonic implications. J. Geophys. Res. Solid Earth 2020, 125, e2019JB018774. [Google Scholar] [CrossRef]
- Xin, Z.; Han, J.; Gao, R.; Guo, X.; Liang, H.; Kang, J.; Liu, L. Electrical structure of the eastern segment of the Qilian orogenic belt revealed by 3-D inversion of magnetotelluric data: New insights into the evolution of the northeastern margin of the Qinghai-Tibet Plateau. J. Asian Earth Sci. 2021, 210, 104707. [Google Scholar] [CrossRef]
- LI, C.-J.; BAI, D.-H.; XUE, S.; LI, X.; MA, X.-B.; YAN, Y.-L.; KONG, X.-R. A magnetotelluric study of the deep electric structure beneath the Ordos Block. Chin. J. Geophys. 2017, 60, 1788–1799. [Google Scholar] [CrossRef]
- Xu, X.; Wen, X.; Yu, G.; Chen, G.; Klinger, Y.; Hubbard, J.; Shaw, J. Coseismic reverse-and oblique-slip surface faulting generated by the 2008 Mw 7.9 Wenchuan earthquake, China. Geology 2009, 37, 515–518. [Google Scholar] [CrossRef]
- Gürer, A.; Bayrak, M. Relation between electrical resistivity and earthquake generation in the crust of West Anatolia, Turkey. Tectonophysics 2007, 445, 49–65. [Google Scholar] [CrossRef]
- Yin, Y.; Jin, S.; Wei, W.; Ye, G.; Zhang, L.; Dong, H.; Xie, C.; Liang, H. Lithospheric rheological heterogeneity across an intraplate rift basin (Linfen Basin, North China) constrained from magnetotelluric data: Implications for seismicity and rift evolution. Tectonophysics 2017, 717, 1–15. [Google Scholar] [CrossRef]
- Wei, W.; Ye, G.; Jin, S.; Jing, J.; Ji, L.; Dong, H.; Zhang, L.; Yin, Y.; Xie, C. Experiments of magnetotelluric observation network on North China and lithospheric conductivity structure from fast imaging method. Chin. J. Geophys. 2018, 61, 2508–2524. [Google Scholar] [CrossRef]
- Kusky, T.M.; Li, J. Paleoproterozoic tectonic evolution of the North China Craton. J. Asian Earth Sci. 2003, 22, 383–397. [Google Scholar] [CrossRef]
- Zhao, G.; Wilde, S.A.; Cawood, P.A.; Sun, M. Archean blocks and their boundaries in the North China Craton: Lithological, geochemical, structural and P–T path constraints and tectonic evolution. Precambrian Res. 2001, 107, 45–73. [Google Scholar] [CrossRef]







| Frequency (Hz) | 0.001–0.005 | 0.005–0.01 | 0.01–0.05 | 0.05–0.1 | 0.1–0.2 | 0.2–0.5 |
| Depth (km) | 44–100 | 30–44 | 14–30 | 10–14 | 7–10 | 4–7 |
Disclaimer/Publisher’s Note: The statements, opinions and data contained in all publications are solely those of the individual author(s) and contributor(s) and not of MDPI and/or the editor(s). MDPI and/or the editor(s) disclaim responsibility for any injury to people or property resulting from any ideas, methods, instructions or products referred to in the content. |
© 2023 by the authors. Licensee MDPI, Basel, Switzerland. This article is an open access article distributed under the terms and conditions of the Creative Commons Attribution (CC BY) license (https://creativecommons.org/licenses/by/4.0/).
Share and Cite
Mao, Z.; Chen, C.-H.; Yisimayili, A.; Chen, B.; Yuan, J.; Gao, Y.; Sun, Y.-Y.; Lin, K. Continental-Scale Investigation of Underlying Electrical Conductivity Structure in Mainland China Using Geomagnetic Data. Remote Sens. 2023, 15, 1375. https://doi.org/10.3390/rs15051375
Mao Z, Chen C-H, Yisimayili A, Chen B, Yuan J, Gao Y, Sun Y-Y, Lin K. Continental-Scale Investigation of Underlying Electrical Conductivity Structure in Mainland China Using Geomagnetic Data. Remote Sensing. 2023; 15(5):1375. https://doi.org/10.3390/rs15051375
Chicago/Turabian StyleMao, Zhiqiang, Chieh-Hung Chen, Aisa Yisimayili, Bin Chen, Jiehao Yuan, Yongxin Gao, Yang-Yi Sun, and Kai Lin. 2023. "Continental-Scale Investigation of Underlying Electrical Conductivity Structure in Mainland China Using Geomagnetic Data" Remote Sensing 15, no. 5: 1375. https://doi.org/10.3390/rs15051375
APA StyleMao, Z., Chen, C.-H., Yisimayili, A., Chen, B., Yuan, J., Gao, Y., Sun, Y.-Y., & Lin, K. (2023). Continental-Scale Investigation of Underlying Electrical Conductivity Structure in Mainland China Using Geomagnetic Data. Remote Sensing, 15(5), 1375. https://doi.org/10.3390/rs15051375

