Marine Environmental Impact on CFAR Ship Detection as Measured by Wave Age in SAR Images
Abstract
1. Introduction
- (i)
- Detection process based on environmental situational awareness via a quantitative physical wave age parameter;
- (ii)
- Enhancement of CFAR performance by means of a discrimination scheme in which the detection threshold can be adjusted based on ocean conditions present during image acquisition and also based on WA values;
- (iii)
- A detection experiment conducted on real SAR very large data to evaluate their benefits, with false alarms and real ship targets validated with an AIS dataset and with the help of a statistical analysis of a cross-section of ships provided by OpenSARShip dataset. This experiment had the purpose of showing that the proposed scheme can successfully suppress most of the false alarms, and its results can be easily physically interpretable.
2. Data and Methods
2.1. Input Data
2.1.1. SAR Images
2.1.2. Auxiliary Information
2.2. Methodology
2.2.1. Setting up a SAR Image Dataset Containing Distinct Ocean Environments
- Images subdivision. Each S-1 image was subdivided into smaller sub-images of 667 × 667 pixels (equivalent to an area of 20 km × 20 km), resulting in a total of 26,657 sub-images analyzed. This subdivision size allows for a sub-image properly documented for segmentation and classification of distinct ocean geophysical features [11];
- Sub-images sorting according to the ocean environment. For this purpose, a wave age (WA) criterion was used to indicate the sea state condition and to estimate the local wave development stage. The used WA is based on the wave phase speed Cp and the friction velocity u*, which is related to the wind stress and its ability to generate ocean-short waves [12].where Cp is the phase speed at wave spectrum peak period (P) estimated from deep water gravity wave dispersion relation and u* is estimated from wind magnitude at 10 m height (U10) from eastward and northward wind components of ERA5 reanalysis product. Each sub-image was tagged as: Young wind–sea (WA ≤ 10), old wind–sea (10 < WA ≤ 35) or swell (WA > 35) [12].WA = Cp/u*,
- Sub-images sorting according to incidence angle range. Incidence angle (θ) was derived using S-1 product metadata. Sub-images were classified according to the following θ range regions: Near-range (30° < θ ≤ 35°), mid-range (35° < θ ≤ 40°), and far-range (40° < θ ≤ 45°).
- 4.
- Equivalent number of looks (ENL). ENL is calculated from the sub-image backscattering mean and variance [13]:
- 5.
- Signal-to-additive noise ratio (SNRA). SNRA measures the ratio between the desired information (ocean backscattering) and noise equivalent sigma-zero (NESZ), which is mainly dominated by the sensor thermal noise [14]:
2.2.2. Generalized Gamma Distribution CFAR Detection
2.2.3. Performance Metrics and Threshold Adjustments
3. Results
3.1. Wave Age Classification and Comparison of GΓD Fit
3.2. Backscattering Analysis
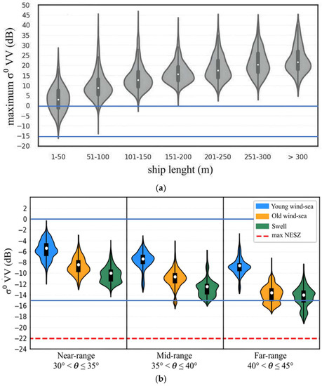
- The larger the ship size, the higher its detectability;
- The higher the incidence angle (or farther the radar range), the higher the ship detectability;
- The higher the wind magnitude (or lowest the wave age—young wind sea), the lower the ship detectability (more false alarms).
- The most challenging detection condition is for small ships (<50 m in length) present in young wind–sea conditions and at a near range;
- Below −10 dB, as indicated in Figure 6a, a pixel will rarely represent a ship. Even for small ships (up to 50 m), RCS is usually higher than 2 dB, as can be seen by its median in Figure 6a. Moreover, and particularly for larger ships, this threshold could be raised to reduce or prevent false alarms;
- Sea clutter is rarely above −2 dB, and depending on the presented wave age, radar range, and PFA utilized, this threshold can be lowered;
3.3. Detection Experiment
- (a)
- Correlated (present in both, CFAR and AIS);
- (b)
- SAR Uncorrelated (CFAR detections not present on AIS); or
- (c)
- AIS Uncorrelated (AIS ship positions not detected by CFAR).
4. Discussion
5. Conclusions
Author Contributions
Funding
Data Availability Statement
Acknowledgments
Conflicts of Interest
References
- Paes, R.L.; Lorenzzetti, J.A.; Gherardi, D.F.M. Ship detection using TerraSAR-X images in the Campos Basin (Brazil). IEEE Geosc. Remote Sens. Lett. 2010, 7, 545–548. [Google Scholar] [CrossRef]
- El-Darymli, K.; McGuire, P.; Power, D.; Moloney, C. Target detection in synthetic aperture radar imagery: A state-of-the-art survey. J. App. Remote Sens. 2013, 7, 071598. [Google Scholar] [CrossRef]
- Greidanus, H.; Alvarez, M.; Santamaria, C.; Thoorens, F.-X.; Kourti, N.; Argentieri, P. The SUMO Ship Detector Algorithm for Satellite Radar Images. Remote Sens. 2017, 9, 246. [Google Scholar] [CrossRef]
- Lang, H.; Xi, Y.; Zhang, X. Ship Detection in High-Resolution SAR Images by Clustering Spatially Enhanced Pixel Descriptor. IEEE Trans. Geosci. Remote Sens. 2019, 57, 5407–5423. [Google Scholar] [CrossRef]
- Gao, G.; Shi, G. CFAR ship detection in nonhomogeneous sea clutter using polarimetric SAR data based on the Notch Filter. IEEE Trans. Geosci. Remote Sens. 2017, 55, 4811–4824. [Google Scholar] [CrossRef]
- Ao, W.; Xu, F.; Li, Y.; Wang, H. Detection and discrimination of ship targets in complex background from spaceborne ALOS-2 SAR images. IEEE J. Sel. Top. Appl. Earth Obs. Remote Sens. 2018, 11, 536–550. [Google Scholar] [CrossRef]
- Li, J.; Zhang, M.; Nie, D. Facet-based investigation on microwave backscattering from sea surface with breaking waves: Sea spikes and SAR imaging. IEEE Trans. Geosci. Remote Sens. 2017, 55, 2313–2325. [Google Scholar] [CrossRef]
- Sun, J.; Wang, X.; Yuan, X.; Zhang, Q.; Guan, C.; Babanin, A.V. The dependence of sea SAR image distribution parameters on surface wave characteristics. Remote Sens. 2018, 10, 1843. [Google Scholar] [CrossRef]
- Hersbach, H.; Bell, B.; Berrisford, P.; Hirahara, S.; Horányi, A.; Muñoz-Sabater, J.; Nicolas, J.; Peubey, C.; Radu, R.; Schepers, D.; et al. The ERA5 global reanalysis. Q. J. R. Meteorol. Soc. 2020, 146, 1999–2049. [Google Scholar] [CrossRef]
- Li, B.; Liu, B.; Huang, L.; Guo, W.; Zhang, Z.; Yu, W. OpenSARShip 2.0: A large-volume dataset for deeper interpretation of ship targets in Sentinel-1 imagery. In Proceedings of the 2017 SAR in Big Data Era: Models, Methods and Applications (BIGSARDATA), Beijing, China, 13–14 November 2017. [Google Scholar]
- Wang, C.; Mouche, A.; Tandeo, P.; Stopa, J.E.; Longépé, N.; Erhard, G.; Foster, R.C.; Vandemark, D.; Chapron, B. A labelled ocean SAR imagery dataset of ten geophysical phenomena from Sentinel-1 wave mode. Geosci. Data J. 2019, 6, 105–115. [Google Scholar] [CrossRef]
- Komen, G.J.; Cavaleri, L.; A Donelan, M.; Hasselmann, K.; Hasselmann, S.; Janssen, P.A.E.M. Dynamics and Modelling of Ocean Waves; Cambridge University Press: New York, NY, USA, 1994. [Google Scholar]
- Vespe, M.; Greidanus, H. SAR image quality assessment and indicators for vessel and oil spill detection. IEEE Trans. Geosc. Remote Sens. 2012, 50, 4726–4734. [Google Scholar] [CrossRef]
- Espeseth, M.M.; Brekke, C.; Jones, C.E.; Holt, B.; Freeman, A. The Impact of System Noise in Polarimetric SAR Imagery on Oil Spill Observations. IEEE Trans. Geosc. Remote Sens. 2020, 58, 4194–4214. [Google Scholar] [CrossRef]
- Li, H.; Hong, W.; Wu, Y.; Fan, P. On the empirical-statistical modeling of SAR images with generalized gamma distribution. IEEE J. Sel. Top. Signal Process. 2011, 5, 386–397. [Google Scholar]
- Qin, X.; Zhou, S.; Zou, H.; Gao, G. A CFAR Detection Algorithm for Generalized Gamma Distributed Background in High-Resolution SAR Images. IEEE Geos. Remote Sens. Lett. 2013, 10, 806–810. [Google Scholar]
- Gao, G.; Ouyang, K.; Luo, Y.; Liang, S.; Zhou, S. Scheme of Parameter Estimation for Generalized Gamma Distribution and Its Application to Ship Detection in SAR Images. IEEE Trans. Geosc. Remote Sens. 2017, 55, 1812–1836. [Google Scholar] [CrossRef]
- DeVore, M.D.; O’Sullivan, J.A. Quantitative statistical assessment of conditional models for synthetic aperture radar. IEEE Trans. Image Process. 2004, 13, 113–125. [Google Scholar] [CrossRef]
- Zhao, Y.; Li, X.; Sha, J. Sea surface wind streaks in spaceborne synthetic aperture radar imagery. J. Geophys. Res. Ocean. 2016, 121, 6731–6741. [Google Scholar] [CrossRef]
- Velotto, D.; Soccorsi, M.; Lehner, S. Azimuth ambiguities removal for ship detection using full polarimetric X-band SAR data. IEEE Trans. Geosci. Remote Sens. 2014, 52, 76–88. [Google Scholar] [CrossRef]
- Krylov, V.A.; Moser, G.; Serpico, S.B.; Zerubia, J. On the Method of Logarithmic Cumulants for Parametric Probability Density Function Estimation. IEEE Trans. Image Proces. 2013, 22, 3791–3806. [Google Scholar] [CrossRef]
- Kudryavtsev, V.; Kozlov, I.; Chapron, B.; Johannessen, J.A. Quad-polarization SAR features of ocean currents. J. Geophys. Res. Ocean. 2014, 119, 6046–6065. [Google Scholar] [CrossRef]
- Vachon, P.W.; Campbell JW, M.; Bjerkelund, C.A.; Dobson, F.W.; Rey, M.T. Ship detection by the RADARSAT SAR: Validation of detection model predictions. Can. J. Remote Sens. 1997, 23, 48–59. [Google Scholar] [CrossRef]
- Tings, B.; Bentes, C.; Velotto, D.; Volnov, S. Modelling ship detectability depending on TerraSAR-X-derived metocean parameters. CEAS Space J. 2019, 11, 81–94. [Google Scholar] [CrossRef]
- Silva, G.K.; dos Santos, A.C.S.; da Silva, M.V.M.; Brabo Alves, J.M.; Barros Barbosa, A.C.; de Oliveira Freire, C.; Alcântara, C.R.; Sombra, S.S. Estudo dos padrões de ventos offshore no litoral do Ceará utilizando dados estimados pelo produto de satélites BSW. Rev. Bras. Meteorol. 2017, 32, 679–690. [Google Scholar] [CrossRef]
- Silva, A.C.; Façanha, P.; Bezerra, C.; Araújo, A.; Pitombeiras, E. Characteristics of “Sea” and “Swell” waves observed off the coast of Ceará-Brazil: Annual and inter-annual variability. Trop. Ocean. 2011, 39, 123–132. [Google Scholar]
- De Farias, E.G.G.; Lorenzzetti, J.A.; Chapron, B. Swell and wind-sea distributions over the mid-latitude and Tropical North Atlantic for the period 2002–2008. Int. J. Oceanogr. 2012, 2012, 306723. [Google Scholar] [CrossRef]
- Viana, R.D.; Lorenzzetti, J.A.; Carvalho, J.T.; Nunziata, F. Estimating energy dissipation rate from breaking waves using polarimetric SAR images. Sensors 2020, 20, 6540. [Google Scholar] [CrossRef] [PubMed]








| WA Class | Radar Range | n. of Sub-Images | Mean KS Distance |
|---|---|---|---|
| Young wind–sea | Near-range | 308 | 0.059 |
| Mid-range | 479 | 0.056 | |
| Far-range | 619 | 0.056 | |
| Old wind–sea | Near-range | 5600 | 0.060 |
| Mid-range | 8227 | 0.060 | |
| Far-range | 8102 | 0.060 | |
| Swell | Near-range | 958 | 0.063 |
| Mid-range | 1273 | 0.063 | |
| Far-range | 1091 | 0.064 |
| PFA | Young Wind Sea | Old Wind Sea | Swell | Expected NFA |
|---|---|---|---|---|
| 10−2 | 1.07 | 1.12 | 1.18 | 4449 |
| 10−3 | 1.14 | 1.25 | 1.32 | 444 |
| 10−4 | 1.21 | 1.35 | 1.45 | 44 |
| 10−5 | 1.32 | 1.52 | 1.65 | 4 |
| 10−6 | 1.49 | 1.80 | 1.90 | 1 |
| Method | PFA | Detections | # Detections |
|---|---|---|---|
| CFAR | 10−4 | Total detections (clusters) | 4430 |
| True detections (clusters) | 8 | ||
| False alarms (clusters) | 4418 | ||
| Lost ships | 4 | ||
| 10−5 | Total detections (clusters) | 1625 | |
| True detections (clusters) | 8 | ||
| False alarms (clusters) | 1613 | ||
| Lost ships | 4 | ||
| 10−6 | Total detections (clusters) | 690 | |
| True detections (clusters) | 8 | ||
| False alarms (clusters) | 678 | ||
| Lost ships | 4 | ||
| CFAR + f correction | 10−4 | Total detections (clusters) | 533 |
| True detections (clusters) | 8 | ||
| False alarms (clusters) | 521 | ||
| Lost ships | 4 | ||
| 10−5 | Total detections (clusters) | 100 | |
| True detections (clusters) | 8 | ||
| False alarms (clusters) | 88 | ||
| Lost ships | 4 | ||
| 10−6 | Total detections (clusters) | 39 | |
| True detections (clusters) | 8 | ||
| False alarms (clusters) | 27 | ||
| Lost ships | 4 |
| SAR | AIS | |
|---|---|---|
| Total | 41 | 22 |
| Correlated | 18 | 18 |
| Uncorrelated | 23 (15 ships & 8 oil platforms) | 4 |
Disclaimer/Publisher’s Note: The statements, opinions and data contained in all publications are solely those of the individual author(s) and contributor(s) and not of MDPI and/or the editor(s). MDPI and/or the editor(s) disclaim responsibility for any injury to people or property resulting from any ideas, methods, instructions or products referred to in the content. |
© 2023 by the authors. Licensee MDPI, Basel, Switzerland. This article is an open access article distributed under the terms and conditions of the Creative Commons Attribution (CC BY) license (https://creativecommons.org/licenses/by/4.0/).
Share and Cite
Bezerra, D.X.; Lorenzzetti, J.A.; Paes, R.L. Marine Environmental Impact on CFAR Ship Detection as Measured by Wave Age in SAR Images. Remote Sens. 2023, 15, 3441. https://doi.org/10.3390/rs15133441
Bezerra DX, Lorenzzetti JA, Paes RL. Marine Environmental Impact on CFAR Ship Detection as Measured by Wave Age in SAR Images. Remote Sensing. 2023; 15(13):3441. https://doi.org/10.3390/rs15133441
Chicago/Turabian StyleBezerra, Diego X., João A. Lorenzzetti, and Rafael L. Paes. 2023. "Marine Environmental Impact on CFAR Ship Detection as Measured by Wave Age in SAR Images" Remote Sensing 15, no. 13: 3441. https://doi.org/10.3390/rs15133441
APA StyleBezerra, D. X., Lorenzzetti, J. A., & Paes, R. L. (2023). Marine Environmental Impact on CFAR Ship Detection as Measured by Wave Age in SAR Images. Remote Sensing, 15(13), 3441. https://doi.org/10.3390/rs15133441

