Sign in to use this feature.

Years

Between: -

Subjects

remove_circle_outline
remove_circle_outline
remove_circle_outline
remove_circle_outline
remove_circle_outline
remove_circle_outline
remove_circle_outline
remove_circle_outline
remove_circle_outline

Journals

remove_circle_outline
remove_circle_outline
remove_circle_outline
remove_circle_outline
remove_circle_outline
remove_circle_outline

Article Types

Countries / Regions

remove_circle_outline
remove_circle_outline
remove_circle_outline
remove_circle_outline
remove_circle_outline

Search Results (1,386)

Search Parameters:
Keywords = ship detection

Order results
Result details
Results per page
Select all
Export citation of selected articles as:
31 pages, 6244 KB  
Article
Physics-Driven Multi-Modal Fusion for SAR Ship Detection Under Motion Defocusing
by Xinmei Qiang, Ze Yu, Xianxun Yao, Dongxu Li, Ruijuan Deng, Na Pu and Shengjie Zhong
Remote Sens. 2026, 18(8), 1166; https://doi.org/10.3390/rs18081166 - 14 Apr 2026
Viewed by 248
Abstract
Synthetic aperture radar (SAR) ship detection is severely limited by the artifacts caused by motion. Due to the complex six-degree-of-freedom (6-DOF) motion of ships, the ship imaging exhibits aberration phenomena including spatial blurring, discrete ghosting, and Lorentz linear blurring. Traditional detectors rely on [...] Read more.
Synthetic aperture radar (SAR) ship detection is severely limited by the artifacts caused by motion. Due to the complex six-degree-of-freedom (6-DOF) motion of ships, the ship imaging exhibits aberration phenomena including spatial blurring, discrete ghosting, and Lorentz linear blurring. Traditional detectors rely on the identification of static spatial features. When the phase coherence is disrupted, they tend to fail. To overcome this problem, we propose a multimodal fusion framework based on physical principles. This framework establishes a theoretical connection between the ship hydrodynamic response and imaging degradation through short, long, and ultra-long coherence processing intervals (CPI). The framework adopts a cascaded architecture: first, a lightweight YOLOv8 performs rapid global screening, followed by a signal backtracking mechanism that extracts high-fidelity time-frequency domain (TFD) and range instantaneous Doppler (RID) features from the original distance compressed data. In the second-level detection, these physical features are adaptively fused with spatial intensity through a YOLOv8 network integrated with the convolutional block attention module (CBAM) to reduce the false detection rate. The validation on high-fidelity simulations and real GF-3 datasets shows that this method consistently achieves an average precision (mAP) of over 95%, outperforming several widely used detectors, and demonstrates strong generalization ability in extreme imaging conditions, suitable for maritime detection scenarios. Full article
(This article belongs to the Special Issue Ship Imaging, Detection and Recognition for High-Resolution SAR)
Show Figures

Figure 1

22 pages, 3734 KB  
Article
CLEAR: A Cognitive LLM-Empowered Adaptive Restoration Framework for Robust Ship Detection in Complex Maritime Scenarios
by Min Li, Xinyu Zhao and Yunfeng Wan
Remote Sens. 2026, 18(8), 1142; https://doi.org/10.3390/rs18081142 - 12 Apr 2026
Viewed by 293
Abstract
Ship detection in remote sensing imagery serves as a cornerstone of modern maritime surveillance. Existing visible light detectors suffer from severe performance degradation in adverse environmental conditions (e.g., fog, low light) due to domain gaps. Traditional global enhancement methods often lack adaptability, leading [...] Read more.
Ship detection in remote sensing imagery serves as a cornerstone of modern maritime surveillance. Existing visible light detectors suffer from severe performance degradation in adverse environmental conditions (e.g., fog, low light) due to domain gaps. Traditional global enhancement methods often lack adaptability, leading to “negative transfer”—where artifacts are introduced into clean images or mismatched with degradation types. To address these challenges, we propose CLEAR (Cognitive Large Language Model (LLM)-Empowered Adaptive Restoration) framework. Inspired by the dual-process theory of cognition, we introduce a dynamic switching mechanism between fast perception and deep reasoning. Rather than processing all images indiscriminately, it utilizes a hybrid gating mechanism to efficiently filter nominal samples, triggering Vision–Language Model (VLM) only when necessary to diagnose degradation and dispatch targeted restoration operators. Extensive experiments on the constructed HRSC-Robust dataset demonstrate that CLEAR achieves an overall mean Average Precision (mAP) at 0.5 Intersection-over-Union (IoU) of 86.92%, outperforming the baseline by 7.74%. Notably, it establishes a “fail-safe” mechanism for optical degradations. By adaptively resolving fog and low-light, it effectively mitigates detector blindness—exemplified by a doubled Recall rate (52.52%) in dark scenarios. Furthermore, a confidence-based sparse triggering strategy ensures operational efficiency, maintaining a throughput of ~11.8 FPS in nominal conditions. This work validates the potential of VLMs for interpretable and robust remote sensing tasks. Full article
Show Figures

Figure 1

22 pages, 903 KB  
Review
Exploring Recent Maritime Research on AIS-Based Ship Behavior Analysis and Modeling
by Anila Duka, Houxiang Zhang, Pero Vidan and Guoyuan Li
J. Mar. Sci. Eng. 2026, 14(8), 712; https://doi.org/10.3390/jmse14080712 - 11 Apr 2026
Viewed by 190
Abstract
Automatic Identification System (AIS) data provide valuable insights into ship behavior, supporting maritime safety, situational awareness, and operational efficiency capabilities that are increasingly required for autonomous ship functions and harbor maneuvering assistance. This review synthesizes recent research on AIS-based ship behavior analysis and [...] Read more.
Automatic Identification System (AIS) data provide valuable insights into ship behavior, supporting maritime safety, situational awareness, and operational efficiency capabilities that are increasingly required for autonomous ship functions and harbor maneuvering assistance. This review synthesizes recent research on AIS-based ship behavior analysis and modeling published between 2022 and 2024 using a structured literature search and screening process informed by PRISMA principles. The review presents a five-stage workflow, spanning data processing, data analysis, knowledge extraction, modeling, and runtime applications with emphasis on how these stages contribute to perception, prediction, and decision support in automated navigation. Four dimensions are considered in data analysis, including statistical analysis, safety indicators, situational awareness, and anomaly detection. The modeling approaches are categorized into classification, regression, and optimization, highlighting current limitations such as data quality, algorithmic transparency, and real-time performance, while also assessing runtime feasibility for onboard or edge deployment. Three runtime application directions are identified: autonomous vessel functions, remote monitoring and control operations, and onboard decision-support tools, with numerous studies focusing on constrained waterways and port-approach scenarios. Future directions suggest integrating multi-source data and advancing machine learning models to improve robustness in complex traffic and harbor environments. By linking theoretical insights with practical onboard needs, this study provides guidance for developing intelligent, adaptive, and safety-enhancing maritime systems. Full article
(This article belongs to the Special Issue Autonomous Ship and Harbor Maneuvering: Modeling and Control)
Show Figures

Figure 1

24 pages, 4781 KB  
Article
DFDP-QuadDiff: A Dual-Frequency Dual-Polarization Quad-Differential Framework for Weak-Echo Ship Target Detection in GNSS-Based Bistatic Synthetic Aperture Radar
by Gang Yang, Tianwen Zhang, Zhen Chen, Bingxiu Yao, Yucong He, Dunyun He, Tianyi Wei and Qinglin He
Remote Sens. 2026, 18(8), 1130; https://doi.org/10.3390/rs18081130 - 10 Apr 2026
Viewed by 265
Abstract
Weak-echo ship target detection in GNSS-based bistatic synthetic aperture radar is severely limited by the coupled effects of burst-type strong windows and polarization mismatch, cross-frequency mis-registration, and long-sequence chain drift in dual-frequency dual-polarization observations. To address these issues, this paper proposes DFDP-QuadDiff, a [...] Read more.
Weak-echo ship target detection in GNSS-based bistatic synthetic aperture radar is severely limited by the coupled effects of burst-type strong windows and polarization mismatch, cross-frequency mis-registration, and long-sequence chain drift in dual-frequency dual-polarization observations. To address these issues, this paper proposes DFDP-QuadDiff, a dual-frequency dual-polarization quad-differential framework for weak-echo ship target detection using B1/B3 × horizontal–horizontal (HH)/vertical–vertical (VV) four-channel complex range-time data. The proposed framework integrates polarization-consistency-driven strong-window suppression, intra-band adaptive polarimetric synthesis, joint delay–Doppler–phase cross-frequency registration, segment-wise Jones drift calibration, and quality-aware final fusion in a unified hierarchical processing chain. In this way, multi-source inconsistencies are progressively constrained and suppressed from the polarization level to the segment level before final accumulation and detection are performed. Experimental results on self-developed four-channel GNSS-S demonstrate that, relative to the best raw single-channel result, the proposed framework increases the median SCR from 6.51 dB to 9.04 dB (+2.53 dB), improves the P10 SCR from −1.76 dB to 3.05 dB (+4.81 dB), and raises the track continuity from 0.85 to 0.97. In addition, the standard deviation of segment-wise delay drift is reduced from 0.97 bin to 0.29 bin, and positive multi-scale accumulation gains are maintained up to the second-long integration range. These results indicate that the proposed framework not only substantially enhances the stability, continuity, and long-time integrability of weak-target responses under low-SNR maritime conditions, but also maintains robust gains under weak-visibility, interference-dominant, and mismatch-sensitive local conditions in the stratified evaluation, thereby establishing a physically interpretable and implementation-ready solution for collaborative weak-target detection in dual-band dual-polarization GNSS-S. Full article
(This article belongs to the Special Issue Recent Advances in SAR Object Detection)
Show Figures

Figure 1

27 pages, 18185 KB  
Article
SAR-Based Rotated Ship Detection in Coastal Regions Combining Attention and Dynamic Angle Loss
by Ning Wang, Wenxing Mu, Yixuan An and Tao Liu
Electronics 2026, 15(8), 1557; https://doi.org/10.3390/electronics15081557 - 8 Apr 2026
Viewed by 257
Abstract
With the expanding application of synthetic aperture radar (SAR) in ocean monitoring and port regulation, nearshore ship detection based on SAR image faces notable challenges arising from strong background scattering, dense target occlusion, and large pose variations. Therefore, this paper proposes a two-stage [...] Read more.
With the expanding application of synthetic aperture radar (SAR) in ocean monitoring and port regulation, nearshore ship detection based on SAR image faces notable challenges arising from strong background scattering, dense target occlusion, and large pose variations. Therefore, this paper proposes a two-stage oriented detection network named EARS-Net to improve the accuracy of ship detection in complex nearshore environments. Specifically, a lightweight convolutional block attention module (CBAM) is embedded into the high-level semantic stages of ResNet50 to enhance discriminative ship features while suppressing interference from port infrastructures and shoreline structures. Then, the dynamic angle regression loss (DAL) is proposed, and the angle weight function is designed according to the ship direction distribution characteristics, which allocates higher regression weight to the ship target with larger tilt angle, improving the defect of insufficient positioning accuracy for large angle ships. Moreover, a training strategy that combines focal loss, multi-scale training, and rotated online hard example mining (ROHEM) is employed to alleviate sample imbalance and improve generalization in dense scenes. Experimental results on the nearshore subset of the SSDD show that EARS-Net achieves an average precision (AP) of 0.903 on the test set, demonstrating reliable detection capability under complex backgrounds and dense target distributions. These results validate the effectiveness of our method and highlight its potential as a practical engineering solution for enhancing port situational awareness and coastal security monitoring. Full article
Show Figures

Figure 1

24 pages, 3448 KB  
Article
Gaussian-Guided Stage-Aware Deformable FPN with Coarse-to-Fine Unit-Circle Resolver for Oriented SAR Ship Detection
by Liangjie Meng, Qingle Guo, Danxia Li, Jinrong He and Zhixin Li
Remote Sens. 2026, 18(7), 1019; https://doi.org/10.3390/rs18071019 - 29 Mar 2026
Viewed by 300
Abstract
Synthetic Aperture Radar (SAR) enables all-weather maritime surveillance, yet ship-oriented bounding box (OBB) detection remains challenging in complex scenes. Strong sea clutter and dense harbor scatterers often mask the slender characteristics of ships as well as the weak responses of small ships. Meanwhile, [...] Read more.
Synthetic Aperture Radar (SAR) enables all-weather maritime surveillance, yet ship-oriented bounding box (OBB) detection remains challenging in complex scenes. Strong sea clutter and dense harbor scatterers often mask the slender characteristics of ships as well as the weak responses of small ships. Meanwhile, the periodicity of angle parameterization introduces regression discontinuities, and near-symmetric, bright-scatterer-dominated signatures further cause heading ambiguity, undermining the stability of orientation prediction. Moreover, in most detectors, multi-scale feature fusion and angle estimation lack explicit coordination, and rotated-box localization performance is often jointly affected by feature degradation and unstable orientation prediction. To this end, we propose a unified framework that simultaneously strengthens multi-scale representations and stabilizes orientation modeling. Specifically, we design a Gaussian-Guided Stage-Aware Deformable Feature Pyramid Network (GSDFPN) and a Coarse-to-Fine Unit-Circle Resolver (CF-UCR). GSDFPN enhances multi-scale fusion with two plug-in components: (i) a Gaussian-guided High-level Semantic Refinement Module (GHSRM) that suppresses clutter-dominated semantics while strengthening ship-responsive cues, and (ii) a Stage-aware Deformable Fusion Module (SDFM) for low-level features, which disentangles channels into a geometry-preserving spatial stream and a clutter-resistant semantic stream, and couples them via deformable interaction with bidirectional cross-stream gating to better capture the inherent slender characteristics of ships and localize small ships. For orientation, CF-UCR decomposes angle prediction into direction-cluster classification and intra-cluster residual regression on the unit circle, effectively mitigating periodicity-induced discontinuities and stabilizing rotated-box estimation. On SSDD+ and RSDD, our method achieves AP/AP50/AP75 of 0.5390/0.9345/0.4529 and 0.4895/0.9210/0.4712, respectively, while reaching APs75/APm75/APl75 of 0.5614/0.8300/0.8392 and 0.4986/0.8163/0.8934, evidencing strong rotated-box localization across target scales in complex maritime scenes. Full article
(This article belongs to the Topic Computer Vision and Image Processing, 3rd Edition)
Show Figures

Figure 1

27 pages, 10703 KB  
Article
WE-KAN: SAR Image Rotated Object Detection Method Based on Wavelet Domain Feature Enhancement and KAN Prediction Head
by Mingchun Li, Yang Liu, Qiang Wang and Dali Chen
Sensors 2026, 26(7), 2011; https://doi.org/10.3390/s26072011 - 24 Mar 2026
Viewed by 289
Abstract
Synthetic aperture radar (SAR) imagery plays a vital role in critical applications such as military reconnaissance and disaster monitoring. These applications require high detection accuracy. Therefore, rotated object detection has gained increasing attention. By predicting an object orientation angle, it offers advantages over [...] Read more.
Synthetic aperture radar (SAR) imagery plays a vital role in critical applications such as military reconnaissance and disaster monitoring. These applications require high detection accuracy. Therefore, rotated object detection has gained increasing attention. By predicting an object orientation angle, it offers advantages over horizontal bounding boxes, especially for elongated structures such as ships and bridges in SAR scenes. However, challenges such as speckle noise and complex backgrounds in SAR imagery still hinder high-precision detection. To address this, we propose WE-KAN, a novel rotated object detection framework based on wavelet features and Kolmogorov–Arnold network (KAN) prediction. First, we enhance the backbone by incorporating wavelet domain features from SAR grayscale images. The extracted wavelet domain features and image features are fused by a proposed attention module. Second, considering the sensitivity to angle prediction, we design a angle predictor based on KAN. This architecture provides a powerful and dedicated solution for accurate angle regression. Finally, for precise rotated bounding box regression, we employ a joint loss function combining a rotated intersection over union (RIoU) with a Gaussian distance loss function. These designs improve the model’s robustness to noise and its perception of fine object structures. When evaluated on the large-scale public RSAR dataset, our method achieves an AP50 of 70.1 and a mAP of 35.9 under the same training schedule and backbone network, significantly outperforming existing baselines. This demonstrates the effectiveness and robustness of our method for dense, small, and highly oriented objects in complex SAR scenes. Full article
(This article belongs to the Section Sensing and Imaging)
Show Figures

Figure 1

28 pages, 3863 KB  
Article
DeepSORT-OCR: Design and Application Research of a Maritime Ship Target Tracking Algorithm Incorporating Hull Number Features
by Jing Ma, Xihang Su, Kehui Xu, Hongliang Yin, Zhihong Xiao, Jiale Wang and Peng Liu
Mathematics 2026, 14(6), 1062; https://doi.org/10.3390/math14061062 - 20 Mar 2026
Viewed by 298
Abstract
Maritime ship target tracking plays an important role in applications such as maritime patrol and maritime surveillance. However, complex sea conditions, similar target appearances, and long-distance imaging often lead to target identity confusion and unstable trajectories. To address these issues, in this paper, [...] Read more.
Maritime ship target tracking plays an important role in applications such as maritime patrol and maritime surveillance. However, complex sea conditions, similar target appearances, and long-distance imaging often lead to target identity confusion and unstable trajectories. To address these issues, in this paper, a ship multi-object tracking algorithm, DeepSORT-OCR, that integrates hull number semantic features is proposed. Based on the YOLO detection framework and the DeepSORT tracking architecture, a CBAM-ResNet network is introduced to enhance the representation of ship appearance features. An Inner-SIoU metric is adopted to improve the geometric matching of slender ship targets, while an LSTM-Adaptive Kalman Filter is employed to model the nonlinear motion patterns of ships and improve trajectory prediction stability. In addition, a Hull Number Feature Extraction module is designed in order to recognize ship hull numbers using OCR and match them with a hull number database. The extracted hull number semantic features are dynamically fused with visual appearance features to strengthen identity constraints during target association. The experimental results show that the proposed method achieves an MOTA of 66.53% on the MOT16 dataset, representing an improvement of 5.13% over DeepSORT. On the self-constructed maritime ship dataset, the method achieves an MOTA of 70.89% and an MOTP of 80.84%. Furthermore, on the hull-number subset, the MOTA further increases to 77.18%, an improvement of 7.31% compared with DeepSORT, while the number of ID switches is significantly reduced. In addition, experiments conducted on pure real data, pure synthetic data, and cross-domain evaluation settings demonstrate the stability and strong generalization capability of the proposed algorithm under different data distributions. The proposed method effectively improves the stability and identity consistency of ship multi-object tracking in complex maritime environments. Full article
Show Figures

Figure 1

29 pages, 3903 KB  
Article
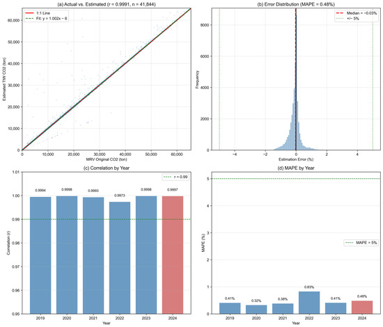
Quantitative Assessment of Consistency Between IMO DCS and EU MRV Frameworks Using Large-Scale Operational Data
by Hyunju Lee and Hyerim Bae
Appl. Sci. 2026, 16(6), 2911; https://doi.org/10.3390/app16062911 - 18 Mar 2026
Viewed by 238
Abstract
This study presents a large-scale empirical comparison of operational efficiency metrics derived from the IMO Data Collection System (DCS) and the EU Monitoring, Reporting and Verification (MRV) framework. Paired non-parametric tests, effect size estimation, and agreement diagnostics were applied to a matched dataset [...] Read more.
This study presents a large-scale empirical comparison of operational efficiency metrics derived from the IMO Data Collection System (DCS) and the EU Monitoring, Reporting and Verification (MRV) framework. Paired non-parametric tests, effect size estimation, and agreement diagnostics were applied to a matched dataset of 15,755 dual-reported vessels and over 50,000 ship-year observations from 2019 to 2024 to assess consistency across monitoring systems. The results indicate that, although statistically significant differences are detected (p < 0.001), practical differences are negligible (Cohen’s d < 0.025), with MRV-based values averaging approximately 1.4% lower in Annual Efficiency Ratio (AER) and fuel intensity than DCS values. Distributional analysis confirms substantial overlap between the datasets, and temporal trends show progressive convergence following the implementation of the Carbon Intensity Indicator (CII) regulation. However, pronounced vessel-type heterogeneity is observed. Flexible cargo vessels exhibit consistent efficiency improvements in EU-related voyages, whereas container ships show minimal variation, and LNG carriers demonstrate indicator-dependent patterns. Overall, the findings indicate that the DCS and MRV frameworks provide broadly comparable representations of operational efficiency, with observed differences primarily reflecting vessel-type-specific operational characteristics rather than structural inconsistencies in the reporting systems. This study provides a scalable statistical validation framework for cross-regulatory monitoring assessment. Full article
Show Figures

Figure 1

30 pages, 2408 KB  
Article
Capture, Sampling and Analysis of Biogenic CO2 Streams for Methanol Synthesis
by Evangelia Koliamitra, Vasileios Mitrousis, Tzouliana Kraia, Giorgos Kardaras, Nikoleta Lazaridou, Triantafyllia Grekou, Kyriakos Fotiadis, Dimitrios Koutsonikolas, Akrivi Asimakopoulou, Michael Bampaou and Kyriakos D. Panopoulos
Membranes 2026, 16(3), 106; https://doi.org/10.3390/membranes16030106 - 17 Mar 2026
Viewed by 745
Abstract
The shipping sector is responsible for a considerable share of global CO2 emissions and is under pressure to reduce emissions and adopt carbon-neutral fuels. Among the proposed alternatives, methanol produced from green hydrogen and biogenic CO2 represents a promising option. However, [...] Read more.
The shipping sector is responsible for a considerable share of global CO2 emissions and is under pressure to reduce emissions and adopt carbon-neutral fuels. Among the proposed alternatives, methanol produced from green hydrogen and biogenic CO2 represents a promising option. However, the feasibility of its production is significantly influenced by the composition and variability of the bio-CO2 feedstock, which can negatively impact the complete value chain. To address these challenges, sampling campaigns were carried out at actual bio-CO2-emitting sites, namely biogas and biomass combustion facilities, to characterize the impurity profiles and determine the appropriate conditioning requirements. A novel membrane gas absorption system with a Diethanolamine solution was deployed directly in the field to capture, as well as purify to a certain extent, the CO2 stream. The system demonstrated high efficiency in removing most impurities, achieving high CO2 capture rates and impurity reduction close to 90%. However, residual chlorine species were detected in the CO2 streams from biogas plants, suggesting the need for additional conditioning to meet the purity specifications required for methanol synthesis. Given that the feedstock composition and upstream process conditions could significantly affect the final output and present considerable variations, the implementation of additional cleaning measures is recommended before synthesis. Full article
(This article belongs to the Section Membrane Applications for Gas Separation)
Show Figures

Figure 1

17 pages, 2354 KB  
Article
Real-Time Intelligent Detection Algorithm for Ship Targets in High-Resolution Wide-Swath Sea Surface Images Captured by Airborne Cameras
by Haiying Liu, Qiang Fu, Haoyu Wang, Huaide Zhou, Yingchao Li and Huilin Jiang
Sensors 2026, 26(6), 1786; https://doi.org/10.3390/s26061786 - 12 Mar 2026
Viewed by 312
Abstract
The critical task of ship detection in aerial imagery for maritime monitoring faces significant challenges in achieving real-time performance on embedded platforms. These challenges arise from the large data volume inherent in wide-format aerial images and the pronounced scale variations among vessels. To [...] Read more.
The critical task of ship detection in aerial imagery for maritime monitoring faces significant challenges in achieving real-time performance on embedded platforms. These challenges arise from the large data volume inherent in wide-format aerial images and the pronounced scale variations among vessels. To address this issue, an optimized YOLOv8-based model is proposed. Scale adaptability is enhanced by incorporating a Multi-Scale Fusion (MSF) module into the backbone. In addition, a lightweight Group-Wise Scale Fusion Neck (GSF-Neck) with a parallel multi-branch structure is designed to facilitate adaptive multi-scale feature fusion while reducing computational overhead. The proposed model achieves a state-of-the-art mAP@0.5 of up to 94.55% on a dedicated aerial ship dataset, outperforming other major detectors. When deployed on an RK3588 embedded system using a sliding window strategy to process single 300 MB images, it maintains a stable processing speed of ≥2 fps. Compared to the baseline under identical conditions, the model proposed in this study improves mAP by 1.4% with a 6.6% reduction in FPS, effectively balancing detection performance and computational efficiency. Full article
(This article belongs to the Section Environmental Sensing)
Show Figures

Figure 1

24 pages, 5693 KB  
Article
From Geometric Alignment to Scale Balance: Directional Strip Convolution and Efficient Scale Fusion for Remote Sensing Ship Detection
by Jing Sun, Guoyou Shi, Yaxin Yang and Xiaolian Cheng
Remote Sens. 2026, 18(6), 873; https://doi.org/10.3390/rs18060873 - 12 Mar 2026
Viewed by 386
Abstract
Optical remote sensing ship detection faces significant challenges in realistic maritime scenes due to strong background clutter (e.g., docks, shorelines, wake streaks), extreme scale variation, and the elongated geometry of ships with diverse orientations. These factors frequently lead to geometric misalignment, unstable localization, [...] Read more.
Optical remote sensing ship detection faces significant challenges in realistic maritime scenes due to strong background clutter (e.g., docks, shorelines, wake streaks), extreme scale variation, and the elongated geometry of ships with diverse orientations. These factors frequently lead to geometric misalignment, unstable localization, and false alarms, particularly in congested ports and complex sea states. To enhance robustness under clutter while retaining the set prediction efficiency of DETR, we propose the Directional Efficient Network (DENet), a structure-aware enhancement built upon RT-DETR. DENet introduces two complementary components. First, Directional Strip Convolution (DSConv) replaces the standard 3×3 convolution for spatial mixing. By predicting offsets conditioned on input features, DSConv performs strip aggregation that aligns with slender hull structures, thereby suppressing interference from line-shaped background patterns. Second, Efficient Scale Fusion (ESF) augments the Hybrid Encoder as an additive residual correction. It combines multiple receptive field branches with lightweight differential compensation to balance low-frequency context and high-frequency structural transitions, ensuring stable multi-scale fusion in cluttered scenes. Extensive experiments demonstrate the effectiveness of DENet. On ShipRSImageNet, APval improves from 58.8% to 63.2% and AP50val increases from 68.5% to 73.6%. Consistent gains are also observed on NWPU VHR-10, where APval reaches 63.0% and AP50val reaches 94.6%, alongside improvements on the Infrared Ship Database and VisDrone2019-DET, validating the method’s generalization capabilities. Full article
Show Figures

Figure 1

25 pages, 6369 KB  
Article
A Lightweight Attention-Guided and Geometry-Aware Framework for Robust Maritime Ship Detection in Complex Electro-Optical Environments
by Zhe Zhang, Chang Lin and Bing Fang
Automation 2026, 7(2), 48; https://doi.org/10.3390/automation7020048 - 12 Mar 2026
Viewed by 395
Abstract
Reliable ship detection in complex maritime optical imagery is a fundamental requirement for intelligent maritime monitoring and maritime automation systems. However, severe image degradation, large-scale variations, and background clutter often lead to feature ambiguity and unstable detection performance in real-world maritime environments. To [...] Read more.
Reliable ship detection in complex maritime optical imagery is a fundamental requirement for intelligent maritime monitoring and maritime automation systems. However, severe image degradation, large-scale variations, and background clutter often lead to feature ambiguity and unstable detection performance in real-world maritime environments. To address these challenges, this paper proposes a lightweight one-stage ship detection framework designed for robust real-time perception under degraded maritime sensing conditions. The proposed method incorporates an Adaptive Expert Selection Attention (AESA) mechanism to perform adaptive feature selection and background suppression under visually degraded conditions, together with a Geometry-Aware MultiScale Fusion (GAMF) module that enables orientation-aware aggregation of contextual information for elongated ship targets near complex sea–sky boundaries. In addition, a geometry-aware bounding box regression refinement is introduced to improve localization consistency in image space. Extensive experiments conducted on a unified real-world maritime benchmark demonstrate that the proposed framework consistently outperforms the baseline YOLO11n model by approximately 2–5 percentage points in terms of mAP@0.5 and mAP@0.5:0.95, while maintaining moderate computational complexity and real-time inference capability. These results indicate that the proposed method provides a practical and deployment-oriented perception solution for maritime automation applications, including onboard electro-optical sensing and coastal surveillance. Full article
Show Figures

Figure 1

27 pages, 9169 KB  
Article
S2D-Net: A Synergistic Star-Attentive Network with Dynamic Feature Refinement for Robust Inshore SAR Ship Detection
by Shentao Wang, Byung-Won Min, Guoru Li, Depeng Gao, Jianlin Qiu and Yue Hong
Electronics 2026, 15(6), 1160; https://doi.org/10.3390/electronics15061160 - 11 Mar 2026
Viewed by 346
Abstract
Detecting ships using Synthetic Aperture Radar (SAR) in coastal areas is still difficult due to the impact of coherent speckle noise from the ocean surface, complex land clutter and having multi-scale target representations in the radar imagery. Most of the existing ship detection [...] Read more.
Detecting ships using Synthetic Aperture Radar (SAR) in coastal areas is still difficult due to the impact of coherent speckle noise from the ocean surface, complex land clutter and having multi-scale target representations in the radar imagery. Most of the existing ship detection algorithms lose important target features during downsampling and have difficulty recovering those features through upsampling, resulting in a high number of false detections and missed detections. In this work, we present a new ship detection algorithm called Synergistic Star-Attentive Network with Dynamic Feature Refinement (S2D-Net). First, we create a new backbone called Multi-scale PCCA-StarNet to generate robust feature representations. Within the backbone we implement a Progressive Channel-Coordinate Attention (PCCA) mechanism to create a synergy between global channel filtering and adaptive coordinate locking to decouple ship textures from granular speckle noise. Second, we create a Dynamic Feature Refinement Neck. We develop a content-aware dynamic upsampler called DySample to replace conventional interpolation to improve fidelity of the upsampled feature of small targets. Further, we design a Star-PCCA Feature Aggregation module which fuses features together. Using star-operations and the PCCA mechanism, this module refines semantic features and removes background clutter while aggregating features across multiple scales. Third, we develop a Lightweight Shared Convolutional Detection Head with Quality Estimation (LSCD-LQE). The LSCD-LQE decreases parameter redundancy by using shared convolutional layers and adds a localization quality estimation branch. Therefore, the LSCD-LQE effectively reduces false positive detections through alignment of classification scores with localization quality based on Intersection over Union (IoU) in difficult coastal environments. Our experimental results, using the SSDD and HRSID datasets, show that S2D-Net produces results comparable to representative ship detection algorithms. In particular, on the challenging HRSID inshore subset, our proposed method achieved a mean average precision (mAP) of 82.7%, which is 6.9% greater than the YOLOv11n baseline ship detection algorithm. These results demonstrate that S2D-Net is superior at detecting small coastal vessels and mitigating the detrimental effects of the nearshore complex environment on the performance ship detection using SAR. Full article
Show Figures

Figure 1

25 pages, 1645 KB  
Article
Integrated Approach to Modelling the Reliability of Gears in Ship Propulsion Systems
by Mate Jurjević, Nermin Hasanspahić and Tonći Biočić
Appl. Sci. 2026, 16(5), 2538; https://doi.org/10.3390/app16052538 - 6 Mar 2026
Viewed by 306
Abstract
The operational reliability of gears in ship propulsion systems is an important factor affecting safety, efficiency, and cost-effectiveness in ship operation. Gear failures may result in loss of propulsion, increased maintenance costs, and risks to crew safety. This paper presents an integrated methodological [...] Read more.
The operational reliability of gears in ship propulsion systems is an important factor affecting safety, efficiency, and cost-effectiveness in ship operation. Gear failures may result in loss of propulsion, increased maintenance costs, and risks to crew safety. This paper presents an integrated methodological framework for assessing gear reliability in ship propulsion systems by integrating qualitative causal analysis, quantitative reliability growth modelling, and system dynamics simulation. The analysis is based on empirical data collected from the AMOS computerised maintenance management system for ship propulsion gear over the course of 20,000 operating hours. The Ishikawa diagram is applied as a qualitative tool to structure potential failure causes related to human, technical, material, procedural, measurement, and environmental factors. Using a system dynamics approach, a qualitative conceptual model of cause-and-effect relationships and a quantitative simulation model were developed, where the mathematical model of Goel–Okumoto reliability growth was applied to quantitatively describe the process of detecting and eliminating failures, with an exponential decrease in failure intensity over time and a high level of agreement with empirical data (R2 = 0.9962), corresponding to the part of the bathtub curve related to the running-in of ship systems. The system dynamics simulation implemented in the POWERSIM environment integrates the analytically estimated model parameters and provides a dynamic representation of the relationships between failure intensity, cumulative failures, reliability, and the mean time between failures. The scientific contribution of this work lies in the structured integration of established methods into a single analytical framework, enabling coherent interpretation of empirical reliability data under real operating conditions. The results provide a methodological basis for developing predictive maintenance tools, optimising maintenance strategies, and improving the safety of ship propulsion systems. Full article
(This article belongs to the Section Marine Science and Engineering)
Show Figures

Figure 1

Back to TopTop